KEMBAR78
Solution 1123989 | PDF | Functions And Mappings | Geometric Measurement
0% found this document useful (0 votes)
34 views31 pages

Solution 1123989

Solution 1

Uploaded by

Amalesh Pradhan
Copyright
© © All Rights Reserved
We take content rights seriously. If you suspect this is your content, claim it here.
Available Formats
Download as PDF, TXT or read online on Scribd
0% found this document useful (0 votes)
34 views31 pages

Solution 1123989

Solution 1

Uploaded by

Amalesh Pradhan
Copyright
© © All Rights Reserved
We take content rights seriously. If you suspect this is your content, claim it here.
Available Formats
Download as PDF, TXT or read online on Scribd
You are on page 1/ 31

Solution

DERIVATIVE 12 UPTO 2ND ODER

Class 12 - Mathematics
Section A
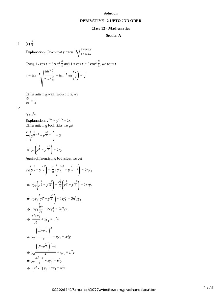
1
1. (a) 2
1 − cos x
Explanation: Given that y = tan − 1
√ 1 + cos x

x x
Using 1 - cos x = 2 sin2 2
and 1 + cos x = 2 cos2 2 , we obtain
x

√ ()
2sin 2 2 x x
y = tan − 1 x = tan − 1tan 2
= 2
2cos 2 2

Differentiating with respect to x, we


dy 1
dx
= 2

2.
(c) n2y
Explanation: y1/n + y-1/n = 2x
Differentiating both sides we get
y1

n ( 1
y n −1 − y
−1
n −1
) =2


(
y1 y n − y
1 −1
n
) = 2ny

Again differentiating both sides we get

( ) ( y1

)
1 −1 1 −1 −1
y2 y n − y n + yn +y n −1 = 2ny 1
n

( ) ( )
2
1 −1 y1 1 −1
⇒ ny 2 y n − y n + y
yn + y n = 2n 2y 1

( )
1 −1
2
⇒ nyy 2 y n − y n + 2xy 1 = 2n 2yy 1

2ny 2
⇒ nyy 2 y1
+ 2xy 1 = 2n 2yy 1
n 2y 2y 2

2 + xy 1 = n 2y
y1

( )
1 −1 2
yn −y n

⇒ y2 4
+ xy 1 = n 2y

( )
1 −1 2
yn +y n −4

⇒ y2 + xy 1 = n 2y
4
4x 2 − 4
⇒ y2 + xy 1 = n 2y
4

⇒ (x2 - 1) y2 + xy1 = n2y

1 / 31
9830284417amalesh1977.wixsite.com/pradhaneducation
y ( y − xlog y )
3. (a) x ( x − ylog x )

Explanation: given that xy = yy


Taking log both sides, we obtain
y logex = c logey

(Since logabc = c logab)


Differentiating with respect to x, we obtain
y dy x dy
+ log ex = + log ey
x dx y dx
x − ylog e x dy y − xlog e y

y dx
= x

dy (
y y − xlog e y )
Hence dx
=
x ( x − ylog e x )

4.
log x
(c)
( 1 + log x ) 2

Explanation: xy = ex-y
Taking log on both sides,
log xy = log ex-y
y log x = x - y
y log x + y = x
x
y= log x + 1
Differentiate with respect to x,
1
dy ( log x + 1 ) − x × x
=
dx ( log x + 1 ) 2
dy ( log x + 1 ) − 1
=
dx ( log x + 1 ) 2
dy log x
=
dx ( log x + 1 ) 2

5.

(c) x √x
{ } 2 + log x
2√ x

Explanation: Let y = f(x) = x √x


Taking log both sides, we obtain
loge y = √x × log ex − (1)
(Since loga bc = c loga b)
Differentiating (i) with respect to x, we obtain
1 dy 1 1
y dx
= √x × x
+ log ex ×
2√ x


dy
dx

dy
=y×
( ) 2 + log e x

2√ x


dx
= f ′(x)

= x √x
( ) 2 + log e x

2√ x

6. (a) x sin x
{ sin x + xlog x ⋅ sin x
x }
Explanation: Let y = f(x) = xsinx

2 / 31
9830284417amalesh1977.wixsite.com/pradhaneducation
Taking log both sides, we obtain
loge y = sin x loge x -(1) (Since loga bc = c loga b)
Differentiating (i) with respect to x, we obtain
1 dy 1
y dx
= sinx × x
+ log ex × cosx


dy
dx
=y× ( sin x
x
+ log excosx )

dy
dx
= f ′(x) = x sinx ( sin x + xlog xsin x
x )
.

Which is the required solution.


7.
−2
(b)
√1 − x 2

Explanation:

1
⇒ y = sec − 1
( ) 1
2x 2 − 1

⇒ secy =
2x 2 − 1

⇒ cos y = 2x2 - 1
⇒ y = cos-1 (2x2 - 1)
Put x = cos θ ,we get
⇒ y =cos-1 (2cos2 θ - 1)
⇒ y =cos-1 (cos 2θ)
⇒ y = 2θ
But θ = cos-1 x, we get

dy (
d cos − 1 x )

dx
= dx

dy (
d cos − 1 x )
⇒ =2⋅
dx dx


dy
dx

dy
=2⋅
( )
−2
−1

√1 − x 2

dx
=
√1 − x 2
8.
−b
(d) a

Explanation: x = a.cos2θ ,we get


dx


= − 2acosθ ⋅ sinθ
dθ −1

dx
= 2a ⋅ cos θ ⋅ sin θ

y = b.sin2θ ,we get


dy


= 2bsinθ ⋅ cosθ
dy dy dθ

dx
= dθ
× dx
dy −1

dx
= 2bsinθ ⋅ cosθ × 2acos θ ⋅ sin θ
dy −b

dx
= a

3 / 31
9830284417amalesh1977.wixsite.com/pradhaneducation
9.
y
(b) x

Explanation: We have, sin − 1

x2 − y2
( ) x2 − y2
x2 + y2
= loga

⇒ = sinloga
x2 + y2

( x + y ) ( 2x − 2y ) ) ( 2x + 2y )
dy dy
2 2
dx (
− x2 − y2 dx

⇒ =0
(x +y )
2 2 2

dy dy dy dy
2x 3 − 2x 2y dx + 2xy 2 − 2y 3 dx − 2x 3 − 2x 2y dx + 2xy 2 + 2y 3 dx
⇒ =0
(x +y ) 2 2 2

dy
⇒ − 4x 2y dx + 4xy 2 = 0
dy
⇒ − 4x 2y dx = − 4xy 2
dy 4xy 2
⇒ =
dx 4x 2y
dy y

dx
= x.
Which is the required solution.

10.
−1
(d) 2

Explanation: Given that y = tan − 1 ( cos x


1 + sin x )
x x x x
Using cosx = cos 2 − sin 2 , sinx = 2sin cos and cos 2θ + sin 2θ = 1
2 2 2 2
Therefore,

( ) ( ( )( )
)
x x x x
x x cos 2 − sin 2 cos 2 + sin 2
cos 2 2 − sin 2 2
y = tan − 1 x x x x = tan − 1
cos 2 2 + sin 2 2 + 2sin 2 cos 2
( x
cos 2 + sin 2
x
) 2

x x
cos 2 − sin 2
⇒ y= tan − 1 x x
cos 2 + sin 2
x
Dividing by cos 2
in numerator and denominator, we get
x
1 − tan 2
y = tan − 1 x
1 + tan 2

Using tan ( ) π
4
−x =
1 − tan x
1 + tan x
, we obtain

y = tan − 1tan ( ) π
4

x
2
π x
= 4
− 2
Differentiating with respect to x, we
dy 1
dx
= − 2

4 / 31
9830284417amalesh1977.wixsite.com/pradhaneducation
Section B
11. Given that, y = sin − 1x + sin − 1 √1 − x2
Put, x = sin θ, we get
y = sin − 1(sinθ) + sin − 1(cosθ)
We have,
π
x ∈ (-1, 0) and x = sinθ ⇒ − 1 < sinθ < 0 ⇒ − 2
<θ<0

⇒ sin − 1(sinθ) = θ and sin − 1(cosθ) = sin − 1 sin


{ ( )} π
2
+θ =
π
2

π π
∴ y = sin − 1(sinθ) + sin − 1(cosθ) = θ + 2
+θ= 2
+ 2sin − 1x
dy 2 2

dx
=0+ =
√1 − x 2 √1 − x 2
12. Let y = cos-1 (cot x)
Putting cot x = t, we get y = cos-1 t and t = cot x.
dy −1
Now, y = cos-1 t ⇒
dt
=
√1 − t 2
dt
And t = cot x ⇒
dx
= -cosec2 x


dy
dx
= ( dy
dt
×
dt
dx ) =
cosec 2x

√1 − t 2
=
cosec 2x

√1 − cot 2 x
[ ∵ t = cot x]

cosec 2x
( ]
d
Hence, cos − 1(cotx) =
dx
√1 − cot 2 x

13. Let y = tan − 1


( ) 2x
1 − x2

Put, x = tan θ, we get


y = tan-1(tan 2 θ)
If x ∈ (1, ∞), then
x = tanθ ⇒ 1 < tanθ < ∞
π π π
| ⇒
4
<θ< 2 2
⇒ < 2θ < π
∴ y= tan − 1(tan2θ)
⇒ y = tan − 1{ − tan(π − 2θ)}
⇒ y = tan − 1(tan(2θ − π)}

⇒ y = 2θ − π [ ∵
π
2
< 2θ < π ⇒ −
π
2
< 2θ − π < 0 ]
⇒ y = 2tan − 1x − π
dy 2 2
⇒ = −0=
dx 1 + x2 1 + x2
14. We have,
x = 3 sin t - sin 3t
dx

dt
= 3 cos t - 3 cos 3t .....(i)
And, y = 3 cos t - cos 3t
dy

dt
= -3 sin t + 3 sin 3t .....(ii)
dy ( dy / dt ) − 3sin t + 3sin 3t sin 3t − sin t

dx
=
( dx / dt )
= 3cos t − 3cos 3t
= cos t − cos 3t
2cos 2tsin t
= 2sin 2tsin t
= cot 2t
d 2y dt − 2cosec 22t − 2cosec 22t
∴ = − 2cosec 22t ⋅ = = [from equation (i)]
dx 2 dx ( dx / dt ) 3 ( cos t − cos 3t )

5 / 31
9830284417amalesh1977.wixsite.com/pradhaneducation

( )(
d 2y
dx 2
t= 3
π
)
=
− 2csc 2 ( 2π / 3 )
π
3cos 3 − cos π
= −2 ×
( ) 2

√3
2

3
1

( )
1
2 +1

= ( −2×
4
3
×
2
9 ) =
− 16
27

15. We have,
y = cos − 1{x√1 − x + √x 1 − x 2} √


y = cos − 1{x 1 − (√x) 2 + √x 1 − x 2} √
π
⇒ y= 2 √
− sin − 1{x 1 − (√x) 2 + √x 1 − x 2} √
{ } (√ )
π
⇒ y= 2
− sin − 1x + sin − 1√x [sin − 1 X 1 − Y 2 + Y 1 − X 2 √ = Sin-1X + Sin-1Y]

⇒ y= ( π
2
− sin − 1x − sin − 1√x )
⇒ y = cos − 1x − sin − 1√x
Differentiating with respect to x, we get
dy 1 1 d 1 1
dx
= − − dx
(√x) = − −
√ 1 − x2 √1 − ( √ x )2 √ 1 − x2 2√ x 1 − x 2

16. We have,
1
y=x+ 1
x+ 1
x+ x+ …
1
⇒ y=x+ y

⇒ y2 = xy + 1
dy dy
⇒ 2y dx = y + x dx + 0 [DIfferentiating both sides with respect to x]
dy

dx
(2y − x) = y
dy y

dx
= 2y − x
Hence proved.
17. We have,
x = sinθ, y = cos pθ
dy
dy dθ − psin pθ √
− p 1 − cos 2 pθ

dx
= dx = cos θ
=

√1 − sin 2 θ
dy √
− p 1 − y2

dx
=
√1 − x 2
p2 1 − y2( )

()
dy 2
dx
=
(1−x ) 2
... [Squaring both sides]

(1 − x ) ( )
dy 2

2
dx
= p2 (1 - y2)

Differentiating both sides with respect to x, we get

(1 − x )2 × 2
dy
dx
d 2y
dx 2
− 2x () (dy 2
dx
dy
= p 2 0 − 2y dx )
d 2y dy

(1 − x ) 2
dx 2
− x dx + p 2y = 0

18. We have, ex+y - x = 0


⇒ ex+y = x ...(i)

6 / 31
9830284417amalesh1977.wixsite.com/pradhaneducation
Differentiating both sides with respect to x using chain rule,
d d
dx
(ex + y) = dx
(x)
d
⇒ ex + y dx
(x+y)=1

⇒ x 1+
[ ] dy
dx
= 1 [Using equation (i)]

dy 1
⇒ 1+ dx
= x
dy 1

dx
= x
-1
dy 1−x

dx
= x
19. Let, y = tan − 1( 1 + x 2 − x). √
Put x = cot θ, we get

( )
θ

( )
1 − cos θ 2sin 2 2
y = tan − 1(cosecθ − cotθ) = tan − 1 sin θ
= tan − 1 θ θ
2sin 2 cos 2

⇒ y = tan − 1 tan
( ) θ
2
=
1
2
θ=
1
2
cot − 1x [ x=cotθ ==> θ = cot-1x]


dy
dx
=
1
2 ( ) −
1
1 + x2
= −
(
1

2 1 + x2 )
20. We have, y = x sin y .....(i)
Differentiating both sides with respect to x,
dy d
dx
= dx
(xsiny)
dy d d

dx
= x dx (siny) + siny dx (x) [using product rule]
dy dy

dx
= xcosy dx + siny(1) [using chain rule]
dy dy
⇒ − xcosy = siny
dx dx
dy

dx
(1 - x cos y) = sin y
dy sin y

dx
= ( 1 − xcos y )


dy
dx
= x ( 1 − xcos y )
y
[ ∵ siny =
y
x ]
21. Given: 2x + 3y = siny
d d d

dx
(2x) + dx
(3y) = dx
siny
dy dy
⇒ 2+3 = cosy
dx dx
dy dy
⇒ − cosy dx + 3 dx = − 2
dy
⇒ − dx
(cosy − 3) = − 2
dy 2

dx
= cos y − 3
22. It is given that
x = 2at2, y = at4

dx (
d 2at 2 )
Clearly, =
dt dt

( )
d t 2

= 2a dt

7 / 31
9830284417amalesh1977.wixsite.com/pradhaneducation
= 2a × 2t
= 4at ......(i)

dy
d at 4 ( )
And, =
dt dt
d t ( ) 4

=a dt

= a.4.t3
= 4at3 ......(ii)
Therefore, form equation (i) and (ii), we get
dy
dy dt 4at 3
dx
= dx = 4at
= t2
dt
dy
Hence, dx
= t2

23. Let y = tan-1(sec x + tan x)


dy d

dx
= dx
tan − 1(secx + tanx)

=
1 + ( sec x + tan x )
1
2 ⋅
d
dx
(secx + tanx) ...
[ ∵
d
dx (tan x ) =
−1
1
1 + x2 ]
(secx )
1
= ⋅ ⋅ tanx + sec 2x
1 + sec 2 x + tan 2 x + 2sec x ⋅ tan x
1
= ⋅ secx ⋅ (secx + tanx)
( sec 2 x + sec 2 x + 2sec x ⋅ tan x )
1
= 2sec x ( tan x + sec x )
⋅ secx(secx + tanx)
1
= 2

24. Let xx = u. Then, y = xu


∴ x log x = log u and log y = u log x

Now, log u = x log x


1 du d d

u

dx
=x⋅ dx
(logx) + logx ⋅ dx
(x) [on differentiating with respect to x]


du
dx
=u⋅ x⋅ [ 1
x
+ logx ⋅ 1 ]
du
⇒ = xx(1 + log x)
dx
And, log y = u log x
1 dy d d
⇒ ⋅ =u⋅ (log x) + (log x) ⋅ (u)
y dx dx dx
1 du
=u⋅ x
+ (logx) ⋅ dx


dy
dx
=y⋅ [ u
x
+ (logx) ⋅
du
dx ]
=x (x ) x

[ xx
x
+ (log x){xx(1 + log x)}]

=x (x ) x

[x (x−1) + xx (log x) + xx(log x)2]
25. Let y = √x + 1 − √x − 1 ........(1)
dy 1 1
So dx
= − ...........(2)
2√ x + 1 2√ x − 1

√x − 1 − √x + 1
=

4 x2 − 1

8 / 31
9830284417amalesh1977.wixsite.com/pradhaneducation
dy √x − 1 − √x + 1
dx
=
4 x2 − 1

d 2y
√x 2 − 1 ( 1
2√x − 1

1
2√x + 1 ) − ( √x − 1 − √x + 1 ) ×
x

√x 2 − 1
=
dx 2
(
4 x2 − 1 )
(
4 x2 − 1 )
d 2y
dx 2
= √x − 1 × √x + 1 ( 1
2√ x − 1
, −,
1
2√ x + 1 ) − (√x − 1 − √x + 1) ×
x

√x − 1 × √x + 1

(
4 x2 − 1 )
d 2y
dx 2
=
1
2
[√x + 1 − √x − 1] − x
( 1

√x + 1
, −,
1

√x − 1 )
d 2y y dy
(
4 x2 − 1 ) dx 2
= 2
− 2x dx
d 2y x dy y
(x 2 −1 ) dx 2
+ 2 dx
− 8
=0

26. Let, y = √ { ( )}
log sin
x2
3
−1

Put,
x2
3 ( )
− 1 = v, sin
x2
3
− 1 = sinv = u

and log sin


{ ( )} x2
3
−1 = logu = z, we get

x2
y = √z, z = log u, u = sin v and v = 3
−1
dy 1 dz 1 du dv 2x

dz
= , du
= u
, dv
= cosv and dx
= 3
2√ z
dy dy dz du dv
Now, dx
= dz
× du
× dv
× dx


dy
dx
=
( )( ) ( )
2√ z
1 1
u
(cosv)
2x
3
=
x
3
×
cos v
u√log u
[ ∵ z = log u]


dy
=
x
×
( ) ( ) cos
x2
3 −1

=
xcot
x2
3 −1

dx 3

( )√ { ( ) } √ { ( ) }
2 2 x2
x x
sin 3 −1 log sin 3 −1 3 log sin 3 −1

27. Here, x = 3 cot t - 2cos3 t, y = 3 sin t - 2sin3 t


Now, differentiating x and y with respect to t
dy d
= (3 sin t - 2 sin3 t)
dt dt

= 3 cos t - 2 × 3 sin2 t × cos t


= 3 cos t(1 - 2 sin2 t)
= 3 cos t cos 2t
Also,
dx
dt
= -3 sin t - 2 × 3 cos2 t × (-sin t)

= -3 sint (1- 2 cos2 t)


= 3 sin t cos 2t
dy
dy dt 3cos t cos 2t

dx
= dx = 3sin t cos 2t
= cot t
dt

Differentiating Again w.r.t. x, we get

9 / 31
9830284417amalesh1977.wixsite.com/pradhaneducation
d 2y d d 1
= (cot t) = cot t ×
dx 2 dx dt dx
dt
− cosec 2 t
= 3sin t cos 2t
d 2y − cosec 2 t
⇒ =
dx 2 3sin t cos 2t
28. According to the chain rule of differentiation

(
d y2 / b2 ) ( )
2
d y / b2
dy 2y dy
= × = ×
dx dy dx b2 dx
Therefore,
(
d x2 / a2 ) (
d y2 / b2 ) d(1)
dx
+ dx
= dx
2x 2y dy
+ × =0
a2 b2 dx
2x

dy a2

dx
= 2y
b2
dy − b 2x
=
dx a 2y

( )

( x − 3 ) x2 + 4
29. Let y =
( 3x + 4x + 5 )
2

Taking logarithm on both sides, we have


1
log y = 2 [log (x – 3) + log (x2 + 4) – log (3x2 + 4x + 5)]
Now, differentiating both sides w.r.t. x, we get

1
y

dy
dx
=
1
2[ (x−3)
1
+
2x
x2 + 4

6x + 4
3x 2 + 4x + 5 ]
or
dy
dx
=
y
2 [ 1
(x−3)
+
2x
x2 + 4

6x + 4
3x 2 + 4x + 5 ]
( )
√ [ ]
( x − 3 ) x2 + 4
dy 1 1 2x 6x + 4
⇒ = + −
dx 2 3x 2 + 4x + 5 (x−3) x2 + 4 3x 2 + 4x + 5

30. We have,
x = a(θ + sin θ) and y = a(1 - cos θ)
dx dy


= a(1 + cos θ) and dθ
= a sin θ
dy ( dy / dθ )

dx
=
( dx / dθ )
asin θ sin θ 2sin ( θ / 2 ) cos ( θ / 2 ) θ
= a ( 1 + cos θ )
= ( 1 + cos θ )
= 2 = tan 2
2cos ( θ / 2 )


d 2y
dx 2
=
d
dx ( )
tan 2
θ 1
= 2 sec 2 2
θ


dx
= ( 1
2
θ
sec 2 2 ) ×
1
a ( 1 + cos θ )


( )
d 2y
dx 2
θ= 2
π
,= sec 2
1
2
π
4

(
a 1 + cos 2
1

π
)
=
1
2
(√2)2
1
a(1+0)
=
1
a

Section C
31. Given, y = 2sin x + 3cos x ...(i)
d 2y
As we have to prove: +y=0
dx 2
To prove the above we will find differentiation two times .

10 / 31
9830284417amalesh1977.wixsite.com/pradhaneducation
As
d 2y
dx 2
=
d
dx () dy
dx

So lets first find dy/d x and differentiate it again.


dy d d d

dx
= dx
(2sinx + 3cosx) = 2 dx (sinx) + 3 dx (cosx)

[ ∵
d
dx
(sinx) = cosx& dx (cosx) = − sinx
d
]
= 2cos x - 3 sinx
dy
∴ = 2cos x - 3sin x
dx
Differentiating again with respect to x:
d
dx () dy
dx
=
d
dx
(2cosx − 3sinx) =
2d
dx
cosx − 3 dx sinx
d

d 2y
= -2 sin x - 3cos x
dx 2
From equation (i) we can write:
y = 2sin x + 3cos x
d 2y
∴ = -(2sin x + 3cos x) = -y
dx 2
d 2y
∴ +y=0
dx 2
Hence proved.
32. According to the question, x = a cos3 θ and y = a sin3 θ
d 2y π
We are required to find the value of at θ =
dx 2 6
Therefore,on differentiating both sides of x and y w.r.t θ ,we get,
dx d

= 3acos 2θ dθ (cosθ)
= 3acos 2θ ⋅ ( − sinθ)
= − 3acos 2θ ⋅ sinθ
dy d
and = 3asin 2θ (sinθ)
dθ dθ
= 3asin 2θ ⋅ (cosθ) = 3asin 2θ ⋅ cosθ

Now,
dy
dx
=
( ) dy / dθ
dx / dθ

3asin 2 θ ⋅ cos θ
= = − tanθ
− 3acos 2 θ ⋅ sin θ
Again, On differentiating both sides w.r.t x, we get,
d 2y d d dθ
= ( − tanθ) = − (tanθ) dx
dx 2 dx dθ

= − sec 2θ ⋅
dx

= − sec 2θ ⋅

π
( 3acos 2
−1
θ ⋅ sin θ ) (
=
3acos 4
1
θ ⋅ sin θ )
∴ At θ = 6

( ) d 2y
dx 2
atθ = 6
π
=

( )( )
3a cos 6
π
1

4
sin 6
π

11 / 31
9830284417amalesh1977.wixsite.com/pradhaneducation
1
=

( )( )
√3 4 1
3a 2 2

1 32
= =
27a
3a
( )( )
9
16
1
2

33. According to the question, y = x + ( √1 + x 2 ) ..........(i)


n

Differentiating both sides w.r.t x,


dy
dx
=n x+ ( √1 + x 2 )
n−1

( 1+
) √
2 1 + x2
2x
[ Using chain rule of derivative]

( ) √1 + x 2
x+

( )
dy
2 n−1

dx
=n x+ √1 + x √1 + x 2

dy (
n x+ √1 + x 2 )
n


dx
=
√1 + x 2
dy ny

dx
= [ From Equation(i)]
√1 + x 2
dy

√1 + x 2 dx = ny.........(ii)
Differentiating both sides w.r.t x again,
d 2y 2x dy dy

√ 1 + x2
dx 2
+
2 √ 1 + x2
. dx
= n dx

d 2y dy dy

(1 + x ) 2
dx 2
+ x dx = n ⋅ √1 + x 2 dx [ multiplying both sides by √1 + x 2]
d 2y dy ny

(1 + x ) 2
dx 2
+ x dx = n 1 + x 2 ⋅√ √1 + x 2
[ From Equation(ii)]

d 2y
(1 + x )
dy

2 + x dx = n 2y
dx 2
Hence Proved
34. We have, tan(x + y) + tan(x - y) = 1
Differentiating with respect to x, we get,
d d d

dx
tan(x + y) + dx
tan(x − y) = dx
(1)
d d
⟹ sec 2(x + y) dx (x + y) + sec 2(x − y) dx (x − y) = 0

⇒ sec 2(x + y) 1 + [ ] dy
dx
+ sec 2(x − y) 1 − [ ] dy
dx
=0

dy dy
⇒ sec 2(x + y) − sec 2(x − y) = -[sec2(x + y) + sec2(x - y)]
dx dx
dy

dx
[sec2(x + y) - sec2(x - y)] = -[sec2(x + y) + sec2(x - y)]
dy sec 2 ( x + y ) + sec 2 ( x − y )
⇒ =
dx sec 2 ( x − y ) − sec 2 ( x + y )

35. xy ⋅ yx = xx
⇒ y log x + x log y = x log x (taking log both sides)
differentiate both sides w.r.t. x, we get


( y⋅
1
x )(
+ logx ⋅
dy
dx
+ x⋅
1
y

dy
dx
+ logy ⋅ 1 =x ⋅
) 1
x
+ logx ⋅ 1


y
x
+ log
() (
y
x
− 1 =− logx +
x
y ) ⋅
dy
dx

12 / 31
9830284417amalesh1977.wixsite.com/pradhaneducation
dy
y
1 − x − log () y
x


dx
= x
log x + y

or
y
x [ x + xlog x − y − xlog y
ylog x + x ]
sin − 1 x d 2y
( )
dy
36. According to the question, if y = , then we have to show that 1 − x 2 − 3x dx − y = 0.
√1 − x 2 dx 2

sin − 1 x
Now,we have, y =
√1 − x 2
Therefore,on differentiating both sides w.r.t x, we get,
d d
dy √1 − x 2 × dx ( sin − 1 x ) − ( sin − 1 x ) × dx √1 − x 2
dx
=
(√ ) 1 − x2
2

=
[ √1 − x 2 × √1 − x
1
2
− sin − 1x .
2√
1

1 − x2

d
dx (1−x ) 2
]
(√ ) 1 − x2
2

=
[√ 1 − x2 ⋅

1

1 − x2
(
− sin − 1x ) ⋅

− 2x

2 1 − x2 ]
1 − x2
xsin − 1 x
1+
√1 − x 2
=
(1−x ) 2

dy 1 + xy
⇒ =
dx 1 − x2

(1 − )
dy
⇒ x2 = 1 + xy
dx
Therefore,on differentiating both sides of above equation w.r.t x, we get,

(1 − x ) ( ) (1 − x ) =
d dy dy d d
2 2

dx dx
+ dx ⋅
dx dx
(1 + xy) [By using product rule of derivative]

d 2y
(1 − x )
dy dy
2
⇒ + ( − 2x) = 0 + x dx + y.1
dx 2 dx
d 2y
(1 − x )
dy dy
2
⇒ − 2x dx − x dx − y = 0
dx 2
d 2y
(1 − x )
dy

2 − 3x −y=0
dx 2 dx

[ √( ) √( )
][
x x 2 x x 2

)]
cos 2 + sin 2 + cos 2 − sin 2

37. y = cot − 1 ∵ √1 ± sinx = √( x


cos 2 ± sin 2
x 2

√( x
cos 2 + sin 2
x
) √(2

x
cos 2 − sin 2
x
) 2

x x x x
cos 2 + sin 2 + cos 2 − sin 2
= cot − 1 x x x x
cos 2 + sin 2 − cos 2 + sin 2

( )
x
2cos 2
= cot − 1 x
2sin 2

13 / 31
9830284417amalesh1977.wixsite.com/pradhaneducation
= cot − 1 cot 2 ( ) x

x
=
2
x
y= 2
dy 1
dx
= 2

38. We have, y = ex + 10x + xx


x
⇒ y = e x + 10 x + e log x
⇒ y = ex + 10x + ex log x
Differentiating with respect to x,

(e ) + (10 ) + (e )
dy d d d
= x x xlog x
dx dx dx dx
d
= e x + 10 xlog10 + e xlog x (xlogx)
dx

[
= e x + 10 xlog10 + e xlog x x dx (logx) + logx dx (x)
d d
]
= e x + 10 xlog10 + e log x x
x
[() ] 1
x
+ logx

= ex + 10x log 10 + xx[1 + log x]


= ex + 10xlog10 + xx [log e + log x] ... [ ∵ loge e = 1]

= ex + 10x log 10 + xx (log ex) ...[ ∵ log A + log B = log AB]


The differentiation of the given function y is as above.
39. We have,

{
− log ex, for 0 < x < 1
|
f(x) = log ex = | log ex, for x ≥ 1

Clearly, f(x) is differentiable for all x > 1 as well as for all x < 1.
So, we have to check its differentiability at x = 1.
We have,
f(x) −f(1)
(LHD at x = 1) = lim x−1
x→1−
− log x − log 1
⇒ (LHD at x = 1) = lim x−1
.... [ ∵ f(x) = − log xx for 0 < x < 1]
x→1−
log x
⇒ (LHD at x = 1) = − lim x−1
x→1−
log ( 1 − h ) log ( 1 − h )
= − lim 1−h−1
= − lim −h
= −1
h→0 h→0
and,
f(x) −f(1)
(RHD at x = 1) = lim
x−1
x→1+
log x − log 1 log ( 1 + h ) log ( 1 + h )
⇒ (RHD at x = 1) = lim x−1
= lim 1+h−1
= lim h
=1
x→1+ h→0 h→0
Clearly, (LHD at x = 1) ≠ (RHD at x = 1).
So, f (x) is not differentiable at x = 1

40. Given, y 2 + ()
dy 2
dx
= a2 + b2.......(i)

dy
We shall first find dx
and then use it in L.H.S of (i).
Now, y = a sin x + b cos x..........(ii)
Therefore,on differentiating both sides of Eq.(ii) w.r.t x, we get,

14 / 31
9830284417amalesh1977.wixsite.com/pradhaneducation
dy
dx
= a cos x - b sin x
Now, let us take LHS of Eq.(i),

Here, LHS = y2 +
()
dy 2
dx

Therefore,on putting the value of y and dy/dx, we get


LHS = (a sin x + b cos x)2 + ( a cos x - b sin x)2
= a2 sin2 x + b2 cos2 x + 2ab sin x cos x + a2 cos2 x - b2 sin2 x +2ab sin x cos x
= a2 sin2 x + b2 cos2 x + a2 cos2 x - b2 sin2 x
= a2 (sin2 x + cos2 x) + b2 (sin2x + cos2 x)
= a2 + b2
= RHS
41. Let y = sin-1 (sin x). Then,

{
x, if x ∈
[ ] 0,
π
2

y = sin − 1(sinx) = π − x, if x ∈
[ ]π 3π
2
, 2

− 2π + x, if x ∈
[ ] 3π
2
, 2π

We observe that

( LHD at x =
π
2 ) = 1 and RHD at x =
( π
2 ) = −1

( LHD at x =

2 ) = − 1 and
( RHD at x =

2
π 3π
) =1

So, y = sin-1(sin x) is not differentiable at x = 2


, 2

{
1, it x = 0,
[ ) 2
x


dy
dx
= − 1, 4x =
( )
π 3π
2
, 2

1, is x ∈
( )

2
, 2x

Hence, above is the differentiatiate of the function y .


42. Let, y = sin − 1{ 1 − x 2}

Put, x = cosθ
y = sin − 1{ 1 − cos 2θ}

y= sin − 1(sinθ)
....(i)
Here, 0 < x < 1
⇒ 0 < cosθ < 1
π
⇒ 0<θ<
2
So, from equation (i),

[
y = θ since sin − 1(sinθ) = θ, if θ ∈
[ − 2,
π π
2 ]]
y = cos − 1x[ since x = cosθ]

15 / 31
9830284417amalesh1977.wixsite.com/pradhaneducation
Differentiating it with respect to x,
dy 1
dx
= −
√1 − x 2
43. Let, y = sin-1{1 - 2x2)
put x = sin θ

⇒ {
y = sin − 1 1 − 2sin 2θ }
⇒ y= sin − 1(cos2θ)

⇒ y = sin − 1 sin { ( )} π
2
− 2θ ...(i)

Here, 0 < x < 1


⇒ 0 < sinθ < 1

π
⇒ 0<θ< 2
⇒ 0 < 2θ < π
⇒ 0 > − 2θ > − π


π
2
>
( ) π
2
− 2θ >
π
2
−π


π
2
> ( ) π
2
− 2θ > −
π
2

⇒ −
π
2
<( ) π
2
− 2θ <
π
2

So, from equation (i),

y=
π
2 [
− 2θ since , sin − 1(sinθ) = θ, if θ ∈
[ π π
− 2, 2 ]]
π
⇒ y= 2
− 2sin − 1x[ since , x = sinθ]
Differentiating it with respect to x,

dy
dx

dy
=0−2
( )
2
1

√1 − x 2

dx
= −
√1 − x 2
44. We have, x√1 + y + y√1 + x = 0
⇒ x√ 1 + y = − y√ 1 + x
Squaring both sides, we get,
⇒ (x 1 + y)
2 = ( − y 1 + x) 2
√ √
⇒ x2(1 + y) = y2(1 + x)
⇒ x2 + x2y = y2 + y2x
⇒ x2 - y2 = y2x - x2y
⇒ (x - y)(x + y) = xy(y - x)
⇒ (x + y) = -xy
⇒ y + xy = -x
⇒ y (1 + x) = -x
−x
⇒ y= (1+x)
Differentiating with respect to x, we get

16 / 31
9830284417amalesh1977.wixsite.com/pradhaneducation
[ ]
d d
dy − ( 1 + x ) dx ( x ) − ( − x ) dx ( x + 1 )
⇒ =
dx ( 1 + x )2


dy
dx
=
[ ]
− (1+x) (1) +x(1)
( 1 + x )2


dy
dx

dy
=
[ ] −1−x+x
( 1 + x )2

−1
⇒ =
dx ( 1 + x )2
dy
⇒ (1 + x) 2 dx = − 1
dy
⇒ (1 + x) 2 dx + 1 = 0
LHS=RHS
Hence Proved.
45. According to the question, x py q = (x + y) p + q
Taking log both side
⇒ plogx + qlogy = (p + q)log(x + y)

Differentiate both side w.r.t. to x


p
x
+ y.
q dy
dx
= (p + q). ( )
(x+y)
1
1+
dy
dx
+ log(x + y). (0)


p
x
+ .
q dy
y dx
=
(p+q)
(x+y) ( )
1+
dy
dx


dy
dx ( q
y

p+q
x+y ) =
p+q
x+y

p
x


dy
dx [ qx + qy − py − qy
y(x+y) ] =
px + qx − px − py
(x+y) .x


dy
dx [ qx − py
y(x+y) ] =
qx − py
(x+y) .x
dy y

dx
= x
π 3π
46. We have, y = (sin x - cos x)(sin x - cos x), 4
<x< 4
,
Therefore, on taking logarithm both sides, we get,
log y = log (sin x - cos x)(sin x - cos x),
⇒ log y= (sin x - cos x). log(sin x - cos x)

Therefore,on differentiating both sides w.r.t x, we get,


1 dy d d
y

dx
= (sinx − cosx) × dx
log(sinx − cosx)+ log(sin x - cos x) × dx
(sinx − cosx)[By using product rule of derivative]
1 dy 1 d

y dx
= (sin x - cos x) ( sin x − cos x ) dx
(sinx − cosx)+ log(sin x - cos x).(cos x + sin x)
1 dy 1

y dx
= (sinx − cosx) ( sin x − cos x ) (cos x + sin x) + log(sin x - cos x).(cos x + sin x)
1 dy
⇒ = (cosx + sinx)+(cos x + sin x) + log(sin x - cos x)
y dx
dy

dx
= y(cos x + sin x)[ 1+log(sin x - cos x)]
dy

dx
= (sin x - cos x)(sin x - cos x)(cos x + sin x)[ 1+log(sin x - cos x)]

17 / 31
9830284417amalesh1977.wixsite.com/pradhaneducation
47. Let u = tan − 1
( ) √1 − x 2
x

du
and v = cos − 1(2x 1 − x 2). √
du dx
We want to find dv
= dv
dx

Now u = tan − 1
( ) √1 − x 2
x
. Put x = sinθ ⋅ ( π
4
<θ<
π
2 )
Then u = tan − 1
( ) √1 − sin 2 θ
sin θ
= tan − 1(cotθ)

= tan − 1 tan { ( )} π
2
−θ =
π
2
−θ=
π
2
− sin − 1x

du −1
Hence dx
=
√1 − x 2
Now v = cos − 1(2x 1 − x 2) √
π
= 2
− sin − 1(2x 1 − x 2) √
π π
= 2
− sin − 1(2sinθ 1 − sin 2θ) = √ 2
− sin − 1(sin2θ)

=
π
2
− sin − 1{sin(π − 2θ)} [ since
π
2
< 2θ < π ]
π −π
= 2
− (π − 2θ) = 2
+ 2θ
−π
⇒ v= 2
+ 2sin − 1x
dv 2

dx
=
√1 − x 2
−1
du
du dx √1 − x 2 −1
Hence dv
= dv = 2 = 2
dx
√1 − x 2
48. To find: value of cos-1( 1 − x 2) √
The formula used cos θ = sin
( ) n
2
−θ

(
d sin − 1 x ) 1
dx
=
√1 − x 2
We have, cos-1 ( 1 − x 2) √
Putting x = sin θ
θ = sin-1 x ......(i)
Putting x = sin θ in the equation


cos-1( 1 − (sinθ) 2)

⇒ cos-1 ( √1 − sin2θ)
⇒ cos-1 (cos θ)
⇒ θ
Now, we can see that cos-1 ( 1 − x 2) = θ √
⇒ θ= sin-1 x

18 / 31
9830284417amalesh1977.wixsite.com/pradhaneducation
d(θ)

dx
d
= dx (sin x ) −1

1
= .
√1 − x 2

49. Let, y = tan − 1


{ a+
x

√a 2 − x 2 }
Put x = a sin θ

⇒ y = tan − 1
{ a+
asin θ

√a 2 − a 2sin 2 θ }
⇒ y = tan − 1
( a+
asin θ

√a 2 ( 1 − sin 2 θ ) )
⇒ y = tan − 1
{ asin θ
a + acos θ }
⇒ y = tan − 1 { asin θ
a ( 1 + cos θ ) }
⇒ y = tan − 1 { sin θ
1 + cos θ }

{ }
θ θ
2sin 2 cos 2
⇒ y = tan − 1 θ
2cos 2 2

⇒ y = tan − 1 tan 2
( ) θ
...(i)

Here, -a < x < a


x
⇒ −1< <1
a
⇒ - 1 < sin θ < 1
π π
⇒ − <θ<
2 2
π θ π
⇒ − 4
< 2
< 4
So, from equation (i),

y=
θ
2 [ since , tan − 1(tanθ) = θ, if θ ∈
[ π π
− 2, 2 ]]
⇒ y=
1
2
sin − 1 () x
a
[Since, x = a sin θ]

Differentiating it with respect to x,


dy
dx
=
1
2
×
1 d
dx () x
a

√ ()1−
x
a
2


dy
dx
=
2 √
a

a2 − x2
×
() 1
a

19 / 31
9830284417amalesh1977.wixsite.com/pradhaneducation
dy 1

dx
=

2 a2 − x2

The required differentiation of the given function is as above.


d 2y
50. Let y2 represents second order derivative i.e,, and y1 = dy/dx
dx 2
Given,
log y = tan-1x
−1
∴ y = e tan x
...(i)
To prove: (1 + x2) y2 + (2x - 1) y1 = 0
To find the above equation we will do the double differentiation of function y wrt x .

As
d 2y
dx 2
= dx
d
() dy
dx

So, lets first find dy/dx


dy d −1
dx
= dx
e tan x

Using chain rule, we will differentiate the above expression


dt 1
Let t = tan-1 ⇒ =
dx 1 + x2

[ d
dx
tan − 1x =
1 + x2
1

]
And y = et
dy dy dt
dx
= dt dx
−1
dy 1 e tan x
= et = ...(ii)
dx 1 + x2 1 + x2
Again differentiating with respect to x applying product rule:

d 2y
dx 2
= e tan
−1 x
d
dx ( ) 1
1 + x2
+
1
1 + x2
d
dx
e tan
−1 x

Using chain rule we will differentiate the above expression-

( )
−1 −1
d 2y e tan x
2xe tan x
= −
dx 2
(1+x ) 2 2
(1+x ) 2 2

(x ) = nx
d d 1
[using equation (ii); n n − 1& tan − 1x = ]
dx dx 1 + x2
d 2y tan − 1 x tan − 1 x

( )
e 2xe
1 + x2 = −
dx 2 1 + x2 1 + x2
−1
d 2y e tan x
(1 + x ) 2
dx 2
=
1 + x2
(1 − 2x)

Using equation (ii)


d 2y dy
( 1 + x2 ) dx 2
= dx
(1 − 2x)

∴ (1 + x2) y2 + (2x - 1) y1 = 0
Hence proved
51. Given,
y = (log(x + √x2 + 1)) 2


dy
dx
= 2(log(x + √x2 + 1)) x + √x + 1
1
2 ( 1+

1

2 x2 + 1
(2x)
)
20 / 31
9830284417amalesh1977.wixsite.com/pradhaneducation

dy
dx
= 2(log(x + √x2 + 1)) x + √x + 1
1
2 ( ) 1+
x

√x 2 + 1

( ) √x 2 + 1
dy 1 x+

dx
= 2(log(x + √ x2 + 1))
x+ √x 2 + 1 √x 2 + 1
dy
2 ( log ( x + √x 2 + 1 )
⇒ =
dx
√x 2 + 1

( )
x
1+
√1 + x 2 x
2
x + √1 + x 2
× √1 + x 2 − 2 ( log ( x + √1 + x 2 ) ) ×
√1 + x 2
d 2y
⇒ =
dx 2
(√ ) 1 + x2
2


d 2y
=
2
( )√

1

1 + x2
× 1 + x 2 − 2 ( log ( x + √1 + x 2 ) ) × √1 + x
x
2

dx 2
(1+x ) 2

2
2 − 2 ( log ( x + √1 + x 2 ) ) × √1 + x 2
d y
⇒ =
dx 2
(1+x ) 2

We have to find out ,


d 2y
( )
dy
LHS = x 2 + 1 2 + x dx
dx
x
2 − 2 ( log ( x + √1 + x 2 ) ) × √1 + x 2 2 ( log ( x + √x 2 + 1 )
= ( x2 +1 × ) (1+x ) 2
+x×
√x 2 + 1
x 2x ( log ( x + √x 2 + 1 )
= 2 − 2(log(x + √1 + x 2)) × +
√1 + x 2 √x 2 + 1
=2
= RHS
Hence Proved.
52. To find: Value of sin-1(2x 1 − x 2) √
The formula used cos θ = sin
( )
n
2
−θ

(
d sin − 1 x ) 1
dx
=
√1 − x 2
We have, sin-1(2x 1 − x 2) √
Putting x = sin θ
θ = sin-1 x .....(i)
Putting x = sin θ in the equation


sin-1 (2sinθ 1 − (sinθ) 2)

⇒ sin-1 (2sinθ√1 − sin 2θ)

⇒ sin-1 (2 sin θ cos θ)


⇒ sin-1 (sin 2θ)
⇒ 2θ

21 / 31
9830284417amalesh1977.wixsite.com/pradhaneducation
⇒ 2 sin-1 x
Now, we can see that sin-1 (2x 1 − x 2) = 2 sin-1 x √
Now Differentiating

d2θ (
d 2sin − 1 x )

dx
= dx

( )
d
= 2 dx sin − 1x
2
=
√1 − x 2
53. According to the question, if, y = sin − 1 x√1 − x − √x 1 − x 2 . [ √ ]
We have to find the derivative of y w.r.t x.We shall make use of the substitution to find the derivative.

Now,y can be rewritten as y = sin − 1 x 1 − (√x) 2 − √x 1 − x 2 [√ √ ]


Now, put √x = sinθ and x =sinϕ, so that

[
y = sin − 1 sinϕ 1 − sin 2θ − sinθ 1 − sin 2ϕ
√ √ ]
⇒ y = sin − 1[sinϕcosθ − sinθcosϕ] [ ∵
√1 − sin2x = cosx ]
⇒ y = sin − 1sin(ϕ − θ)[ ∵ sinϕcosθ − cosϕsinθ = sin(ϕ − θ)]

⇒ y=ϕ−θ [ ∵ sin − 1sinθ = θ ]


⇒ y = sin − 1x − sin − 1√x [ ∵ ϕ = sin − 1x and θ = sin − 1√x ]
On differentiating both sides w.r.t x, we get

dy
dx
=
√1 − x 2
dy
1

1

√ 1 − ( √x ) 2
1 1
×
d
dx √
( x)

1
[ ∵
d
dθ (sin θ ) = √
−1
1

1 − θ2 ]

dx
= − ⋅
√ 1 − x2 √1 − x 2√ x
dy 1 1
Hence, = −
dx
√1 − x 2 √
2 x − x2
1
54. y = a t + t

dy
dt
1
= a t + t . loga. 1 −
( ) 1
t2

x= t+ ( ) 1 a
t

dx
dt ( )
=a t+
1 a−1
t
. 1−
( ) 1
t2

dy
=
( ) 1
a t + t . log a 1 −
t2
1

dx

( ) ( )
a t+ t
1 a−1
1−
1
t2

1
a t + t . log a
=

( )
a t+ t
1 a−1

22 / 31
9830284417amalesh1977.wixsite.com/pradhaneducation
55. We have, x13y7 = (x + y)20
Taking log on both sides,
log(x13y7) = log(x + y)20
⇒ 13 log x + 7 log y = 20 log(x + y)
Differentiating with respect to x using chain rule,
d d d
13 dx (log x) + 7 dx
(log y) = 20 dx
log (x + y)
13 7 dy 20 d
⇒ + = (x + y)
x y dx x + y dx


13
x
7 dy
+
7 dy
y dx
20 dy
=
20
x+y [ ] 1+

20
dy
dx
13

y dx
− x + y dx
= x+y
− x


dy
dx [ 7
y

20
x+y ] =
20
x+y

13
x


dy
dx [ ] [
7 ( x + y ) − 20y
y(x+y)
=
20x − 13 ( x + y )
x(x+y) ]

dy
dx
=
[ ][
20x − 13x − 13y
x(x+y)
y(x+y)
7x + 7y − 20y ]

dy
dx
=
y
x ( ) 7x − 13y
7x − 13y
dy y

dx
= x
2t
56. Here, sinx = .... (i)
1 + t2
2t
And tany = .... (ii)
1 − t2


d
dx
sinx dt =
dx d
dt ( ) 2t
1 + t2

(1+t ) ( )
d d
2 ⋅ ( 2t ) − ( 2t ) ⋅ dt 1 + t 2
dx dt
⇒ cosx dt =
(1+t ) 2 2

(
2 1 + t 2 − 2t ⋅ 2t) 2 + 2t 2 − 4t 2
= =
(1+t ) 2 2
(1+t ) 2 2

2 (1−t ) 2
dx 1

dt
= ⋅
cos x
(1+t ) 2 2

2 (1−t ) 2
( )
2 1 − t2
dx 1 1

dt
= ⋅ = ⋅

(1+t ) √1 − sin 2
(1 + t )
√ ( )
2 2 x 2 2
2t 2
1−
1 + t2

dx ( ) (1+t )
2 1 − t2 2
2
= ⋅ = ..... (iii)
dt 1 + t2
(1 + t ) ( 1 − t )
2 2 2

Also,
d
dy
tany ⋅
dy
dt
=
d
dt ( ) 2t
1 − t2

(1 − t ) ( )
d d
2 ⋅ ( 2t ) − 2t ⋅ dt 1 − t 2
dy dt
sec 2y dt =
(1 − t ) 2 2

23 / 31
9830284417amalesh1977.wixsite.com/pradhaneducation
dy 2 − 2t 2 + 4t 2 1
dt
= ⋅
2
( 1 − t ) sec y 2 2

2 (1+t ) 2
(
2 1 + t2 )
1 1
= ⋅ = ⋅

( 1 − t ) ( 1 + tan y )
2 2 2
(1−t ) 2 2
1+
4t 2

(1−t ) 2 2

(
2 1 + t2 ) (1−t ) 2 2
2
= ⋅ = .... (iv)
1 + t2
( 1 − t2 ) (1+t )
2 2 2

dy dy / dt 2 / 1 + t2
∴ = = = 1 [from eqs. (iii) and (iv)]
dx dx / dt 2 / 1 + t2

[ √
]
6x − 4 1 − 4x 2
57. Given y = sin − 1 5

1
Put, x = 2 sinθ

[ √ ( )
]
sin θ sin θ 2
6× 2 −4 1−4× 2

Therefore, y = sin − 1 5

( )
3sin θ − 4 1 − sin 2 θ √
= sin − 1 5

= sin − 1 ( 3sin θ − 4cos θ


5 )
= sin − 1 ( 3
5
4
sinθ − 5 cosθ ...........(i) )
Let cos ϕ =
3
5
, therefore,sinϕ = √1 − cos 2ϕ = √ ()1−
3
5
2

9 16 4
=
√ 1− 25
=
√ 25
= 5

Now, Eq(i) becomes,


y = sin − 1(cosϕsinθ − sinϕcosθ)
= sin − 1[sin(θ − ϕ)] = θ − ϕ

⇒ y = sin − 1(2x) − cos − 1


()
3
5

Therefore,on differentiating both sides w.r.t x, we get,


dy 1 d
dx
= dx
(2x) − 0
√1 − ( 2x ) 2
2
=
√1 − 4x 2

24 / 31
9830284417amalesh1977.wixsite.com/pradhaneducation
58. ATQ , x = cos − 1
( ) √1 + t 2
1


dx
dt
=

√ ( ) 1−
−1

1 2
d
dt ( )
√1 + t 2
1

√1 + t 2


dx
dt
=

√ 1−
−1

(1+t )
1

1
2
{ } (
2 1 + t2
−1

)
3
2
d
dt (1 + t )
2

dx ( 1 + t2 ) 2
1

dt
= × 3 (2t)
√1 + t 2 − 1 (
2 1 + t2 ) 2

dx t
⇒ =
dt
√t2 × ( 1 + t2 )
dx 1
⇒ = ...(i)
dt 1 + t2

Now, y = sin − 1
( ) √1 + t 2
1


dy
dt
=

√ ( ) 1−
1

1 2
d
dt ( )
√1 + t 2
1

√1 + t 2


dy
dt
=

√ 1−
1

(1+t )
1

1
2
{ } (
2 1 + t2
−1

)
3
2
d
dt (1 + t )
2

dx (1+t ) 2 2
−1

dt
= × 3 (2t)
√1 + t 2 − 1 (
2 1 + t2 ) 2

dx −1

dt
= (2t)

2 t2 × 1 + t2 ( )
dx −1
⇒ = ...(ii)
dt 1 + t2
Dividing equation (ii) by (i),
dy
dt 1 (1+t ) 2

dx = × −1
dt ( 1+t ) 2

dy

dx
= −1

59. Let, y = tan − 1


{ } 1+
x

√1 − x 2
Put x = sin θ

25 / 31
9830284417amalesh1977.wixsite.com/pradhaneducation
y = tan − 1
{ 1+
sin θ

√1 − sin 2 θ }
y = tan − 1 ( sin θ
1 + cos θ )

{ }
θ θ
2sin 2 cos 2
y = tan − 1 θ
2cos 2 2

y = tan − 1 tan 2
{ } θ
...(i)

Here, -1 < x < 1


⇒ -1 < sin θ < 1

π π
⇒ − 2
<θ< 2
π θ π
⇒ − 4
< 2
< 4
So, from equation (i),

y=
θ
2
1
[ Since tan − 1(tanθ) = θ, if θ ∈
[ π π
− 2, 2 ]]
y= 2
sin − 1x [Since, x = sin θ]
Differentiating it with respect to x,
dy 1
dx
=
2 1 − x2

60. We have, y = e 3x × sin4x × 2 x ...(i)
Taking log on both sides,
log y = log e3x + log sin 4x + log 2x
⇒ log y = 3x log e + log sin 4x + x log 2

⇒ log y = 3x + log sin 4x + x log 2

Differentiating with respect to x,


1 dy d d d
y dx
= dx
(3x) + dx
(logsin4x) + dx
(xlog2)
1 dy 1 d

y dx
=3+ sin 4x dx
(sin4x) + log2(1)
1 dy 1 d

y dx
=3+ sin 4x
(cos4x) dx (4x) + log2
1 dy
⇒ = 3 + cot 4x(4) + log 2
y dx
1 dy

y dx
= 3 + 4 cot 4x + log 2
dy

dx
= y [3 + 4 cot 4x + log 2]
dy

dx
= e3x sin 4x 2x[3 + 4 cot 4x + log 2] [Using equation (i)]
The differentiation of the given function y is as above.
sin y
61. Given, x = cos ( a + y )
gives
dx cos ( a + y ) cos y + sin ysin ( a + y )
=
dy cos 2 ( a + y )
dy cos 2 ( a + y ) cos 2 ( a + y )
⇒ = = therefore,
dx cos ( a + y − y ) cos a
dy
dx
=cos a when x = 0 i.e. y = 0

62. To find: value of cot-1(cosec x + cot x)


Formula used, sin 2θ = 2 sin θ cos θ

26 / 31
9830284417amalesh1977.wixsite.com/pradhaneducation
θ
1 + cos θ = 2 cos2 2

We have, cot-1 (cosec x + cot x)

⇒ cot-1
( 1
sin x
+
cos x
sin x )
⇒ cot-1
( 1 + cos x
sin x )

( )
x
2cos 2 2
⇒ cot-1 sin x

( )
x
2cos 2 2
⇒ cot-1 x x
2sin 2 cos 2

()
x
cos 2
⇒ cot-1 x
sin 2

⇒ cot-1 cot
( ) x
2
x

2
x
Now, we can see that cot-1(cosec x + cot x) = 2
Now, differentiating,


d
dx ()
x
2
1

2
1 + cos 3x
63. We have, cot-1 (
√ 1 − cos 3x
)

1 + cos 3x


⇒ cot-1 ( 3x )
2sin 2 2

1 + cos 3x


⇒ cot-1 ( 3x )
2sin 2 2

3x


2cos 2 2
⇒ cot-1 ( 3x )
2sin 2 2


√ ()
cot-1 ( cot 2
3x
2
)

⇒ cot-1 cot( ( )) 3x
2

27 / 31
9830284417amalesh1977.wixsite.com/pradhaneducation
3x

2
1 + cos 3x 3x
Now, we can see that cot-1 (
√ 1 − cos 3x
)= 2

Now, differentiating,


d
dx () 3x
2
3
=
2
64. Given,
y = a (θ + sinθ) ...(i)
x = a (1 + cosθ) ...(ii)
d 2y 1 π
To prove: = − at θ =
dx 2 a 2
To prove above equation we need to find double derivative of function y wrt x .

As,
d 2y
dx 2
=
d
dx ()
dy
dx

Similarly,
dx d

= dθ
a(1 + cosθ) = − asinθ ...(iv)

[ ∵
d
dx
cosx = − sinx,
dy
d
dx
sinx = cosx ]
dy dx a ( 1 + cos θ ) ( 1 + cos θ )

dx
= dx = − asinθ
= − sin θ
...(v)

Differentiating again w.r.t x:


d
dx () (dy
dx
=
dx
d

( 1 + cos θ )
sin θ ) = −
dx
d
(1 + cosθ)cscθ

Using product rule and chain rule of differentiation together:


d 2y
dx 2
= −
{ cscθ
d

(1 + cosθ) + (1 + cosθ)
d

cscθ
} dθ
dx

d 2y 1
= − {cscθ( − sinθ) + (1 + cosθ)( − cscθcotθ)} [using equation (iv)]
dx 2 ( − asinθ )
d 2y
{ − 1 − cscθcotθ − cot θ}
1
= 2
dx 2 asin θ
d 2y 1 π
As we have to find = − at θ =
dx 2 a 2
∴ put θ = π / 2 in above equation:

{ }
2
d y π π π 1 { −1−0−0}1
2 = − 1 − csc 2 cot 2 − cot 2 2 π = a
dx asin 2
d 2y 1
= −
dx 2 a
65. We have,
x5 + y5 = 5xy
Differentiating with respect to x, we get
d d d
dx (x ) + (y ) =
5
dx
5
dx
(5xy)


dy
5x 4 + 5y 4 dx = 5 x dx + y dx (x) [ dy d
]

dy
5x 4 + 5y 4 dx = 5 x dx + y(1) [ dy
]
28 / 31
9830284417amalesh1977.wixsite.com/pradhaneducation
dy dy
⇒ 5x 4 + 5y 4 dx = 5x dx + 5y
dy dy
⇒ 5y 4 − 5x = 5y − 5x 4
dx dx
dy
⇒ 5 dx (y4 - x) = 5(y - x4)

dy ( )
5 y − x4
⇒ =
dx
5 (y −x ) 4

dy y − x4
⇒ =
dx y4 − x
The differentiation of the given function y is as above.
Section D
66. y = 3cos(log x) + 4 sin(log x)
Diff. both side w.r.t. to x
− 3sin ( log x ) 4cos ( log x )
y1 = x
+ x
xy1 = -3sin(log x) + 4cos(logx)
Again diff.
− 3cos ( log x ) 4sin ( log x )
xy 2 + y 1.1 = x
− x

x2y 2+ xy1 = 3cos(log x) - 4sin(log x)

x2y2 + xy1 = -y

x2y2 + xy1 + y = 0
x2 + 1


dy
67. We have, dx
, if y = x tan x + 2

x2 + 1
Taking, u = x tan x and v =
√ 2

logu = tanxlogx ...(ii)


x2 + 1
and v 2 = 2
...(iii)
On, differentiating Eq. (ii) w.r.t. x, we get
1 du 1
u
. dx
= tanx. x
+ logxsec 2x


du
dx
=u
[ tan x
x
+ logx. sec 2x
]
= x tan x
[ tan x
x
+ logx. sec 2x ...(iv)
]
also, differentiating Eq. (iii) w.r.t. x, we get
dv 1 dv 1
2v. dx
= 2
(2x) ⇒
dx
= 4v
. (2x)
dv 1 x . √2

dx
= .2x =

2 x2 + 1

x2 + 1
4. 2

dv x
⇒ = ...(v)
dx
√2 ( x 2 + 1 )
Now, y = u + v
dy du dv

dx
= dx
+ dx

= x tan x [ tan x
x
+ logx. sec 2x + ] x

√2 ( x 2 + 1 )

29 / 31
9830284417amalesh1977.wixsite.com/pradhaneducation
68. Let u = sin − 1( 1 − x 2)√
Put x = cosθ
⇒ θ = cos-1x
We get, u = sin-1(sin θ) ...(i)

Let v = cot − 1
( ) x

√1 − x 2

⇒ v = cot − 1
( ) cos θ

√1 − cos 2 θ

⇒ v = cot − 1
( )
cos θ
sin θ

⇒ v = cot-1(cot θ) ....(ii)
Here,
0<x<1
⇒ 0 < cos θ < 1

π
⇒ 0<θ< 2
So, from equation (i),

[
u = θ since, sin − 1(sinθ) = θ, if θ ∈
[ π π
− 2, 2 ]]
⇒ u = cos-1x
Differentiating it with respect to x,
du −1
dx
= ...(iii)
√1 − x 2
From equation (ii),

[
v = θ since , cot − 1(cotθ) = θ, if θ ∈ (0, π) ]
⇒ v = cos-1x
Differentiating it with respect to x,
dv −1
dx
= ...(iv)
√1 − x 2
Dividing equation (iii) by (iv)

( )( )
du
dx −1 √1 − x 2
dv = −1
dx √1 − x 2
du

dv
= 1.
69. x = a(cosθ + θ. sinθ)
dx

= a[− sinθ + θ. cosθ + sinθ.1]
dx

= aθ. cosθ ...(1)
y = a(sinθ − θ. cosθ)
dy

= a[cosθ − (− θsinθ + cosθ.1)]
= a[cosθ + θ. sinθ − cosθ]
= aθ. sinθ ...(2)
(2) ÷ (1)
dy a θ . sin θ
dx
= a θ . cos θ
= tanθ

30 / 31
9830284417amalesh1977.wixsite.com/pradhaneducation
(
70. x = a cost + logtan 2
t
)
dx
dt
[
= a − sint +
tan 2
1
t
. sec 2 .
t
2 2
1

[ ]
= a − sint +
1

sin

cos
t
2

2
t
×
1

cos 2 2
t ×
1
2

[
= a − sint + t
2sin 2 . cos 2
1
t
]
[
= a − sint +
1
sin t ]
=a
[ ] − sin 2t + 1
sin t

=a

dx
[ ] cos 2t
sin t

cos 2t
=a
dt sin t
y = a sin t
dy
= acost
dt
dy acos t sin t
dx
= 2 = cos t
cos t
a sin t
dy
dx
= tant

31 / 31
9830284417amalesh1977.wixsite.com/pradhaneducation

You might also like