KEMBAR78
Class XI Computer Science Exam 2021 | PDF | Reserved Word | Computer Programming
0% found this document useful (0 votes)
109 views6 pages

Class XI Computer Science Exam 2021

11 term 1 ip

Uploaded by

preeti
Copyright
© © All Rights Reserved
We take content rights seriously. If you suspect this is your content, claim it here.
Available Formats
Download as PDF, TXT or read online on Scribd
0% found this document useful (0 votes)
109 views6 pages

Class XI Computer Science Exam 2021

11 term 1 ip

Uploaded by

preeti
Copyright
© © All Rights Reserved
We take content rights seriously. If you suspect this is your content, claim it here.
Available Formats
Download as PDF, TXT or read online on Scribd
You are on page 1/ 6

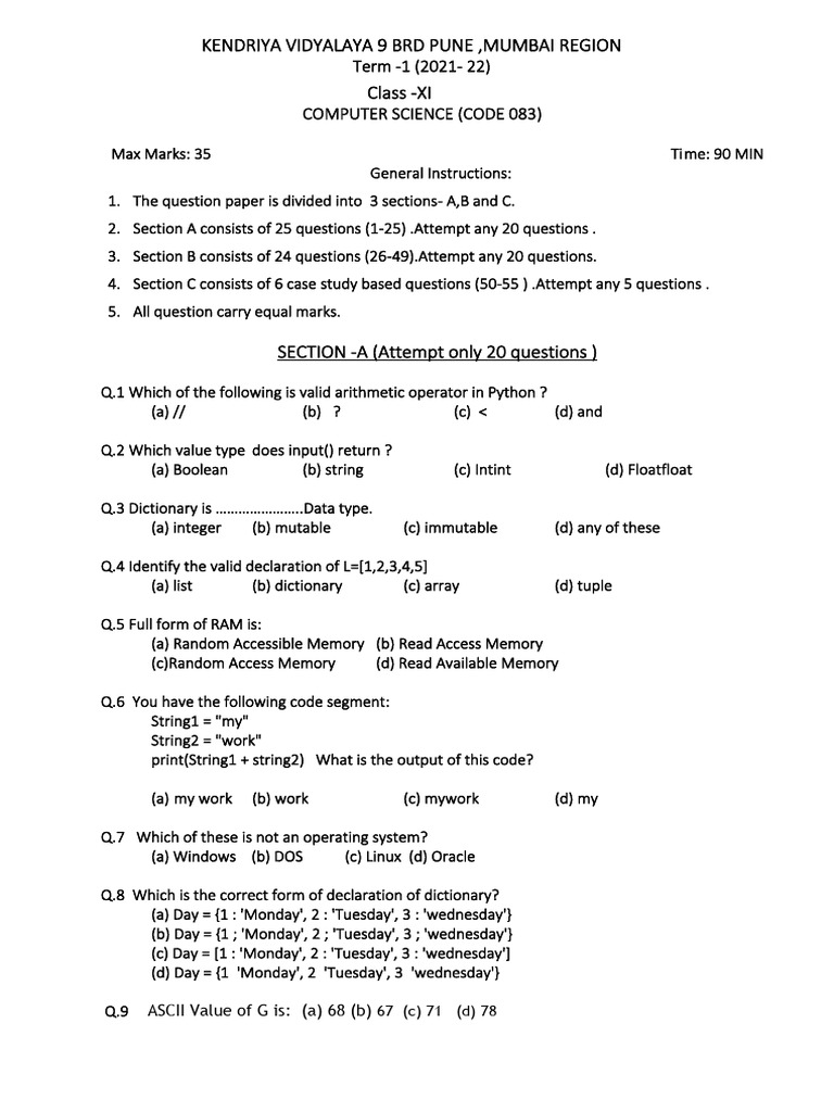
KENDRIYA VIDYALAYA 9 BRD PUNE ,MUMBAI REGION

Term -1 (2021- 22)


Class -XI
COMPUTER SCIENCE (CODE 083)

Max Marks: 35 Time: 90 MIN


General Instructions:
1. The question paper is divided into 3 sections- A,B and C.
2. Section A consists of 25 questions (1-25) .Attempt any 20 questions .
3. Section B consists of 24 questions (26-49).Attempt any 20 questions.
4. Section C consists of 6 case study based questions (50-55 ) .Attempt any 5 questions .
5. All question carry equal marks.

SECTION -A (Attempt only 20 questions )

Q.1 Which of the following is valid arithmetic operator in Python ?


(a) // (b) ? (c) < (d) and

Q.2 Which value type does input() return ?


(a) Boolean (b) string (c) Intint (d) Floatfloat

Q.3 Dictionary is …………………..Data type.


(a) integer (b) mutable (c) immutable (d) any of these

Q.4 Identify the valid declaration of L=[1,2,3,4,5]


(a) list (b) dictionary (c) array (d) tuple

Q.5 Full form of RAM is:


(a) Random Accessible Memory (b) Read Access Memory
(c)Random Access Memory (d) Read Available Memory

Q.6 You have the following code segment:


String1 = "my"
String2 = "work"
print(String1 + string2) What is the output of this code?

(a) my work (b) work (c) mywork (d) my

Q.7 Which of these is not an operating system?


(a) Windows (b) DOS (c) Linux (d) Oracle

Q.8 Which is the correct form of declaration of dictionary?


(a) Day = {1 : 'Monday', 2 : 'Tuesday', 3 : 'wednesday'}
(b) Day = {1 ; 'Monday', 2 ; 'Tuesday', 3 ; 'wednesday'}
(c) Day = [1 : 'Monday', 2 : 'Tuesday', 3 : 'wednesday']
(d) Day = {1 'Monday', 2 'Tuesday', 3 'wednesday'}

Q.9 ASCII Value of G is: (a) 68 (b) 67 (c) 71 (d) 78


Q.10 Arrange in ascending order of size:
(a) MB, KB, Byte, Nibble (b) Nibble, KB, MB, GB
(b) Bit, KB, Nibble, MB (d) Bit, GB, KB, MB

Q.11 It is a type of system software that translate and execute


the instructions line-by-line:
(a) Object Code (b) Assembler (c) Compiler (d) Interpreter

Q.12 Convert (2C9)16 to Decimal:


(a)731 (b)173 (c)317 (d)713

Q.13 You have given some statements as:


P=What is your name?
Q=Is today Sunday?
R=Is Pankaj a PGT-CS in Vidyalaya?
S=What is your favorite food?
Identify the Boolean valued statement(s)
(a) R, S (b) P, S (c) P, R (d) Q, R

Q.14 De Morgan’s law states that:


A.(P.Q)’ = P’ + Q’ B.(P+Q)’= P’ + Q’ C. P’+Q’ = P’.Q’ D.(P.Q)’= P’.Q

Q.15 Drive the Boolean expression for the logic circuit shown below:

(a) CA + CB + CD (b) C(A+B)D’ (c) C(A+B) + D (d)CA + CB + D

Q.16 The logic gate that will have HIGH or “1” at its output when any one of its input
is HIGH is a(n):
(a) NOT operation (b) OR gate (c) AND gate (d) NOR gate

Q.17 The sum of 1111 + 1111 in binary equals to:


(a) 0000 (b)11110 (c) 2222 (d) 1111

Q.18 How many bytes does 4 kilobytes represent?


(a) 4096 (b)1024 (c) 512 (d) 8192

Q.19 Modern Computers are very reliable but they are not:
(a)Fast (b) Powerful (c) Infallible (d)Cheap

Q.20 Which of the following is not the computer language?


(a) C++ (b) UNIX (c) Java (d) All of the above

Q.21 Which of the following is valid membership operator?


(a) in (b) not in (c) both a and b (d) none of the above

Q.22 Statement x += y is equivalent to _____________


(a) x = x + y (b) x=x*y (c) x=y+x (d) y=y*x
Q.23 Which escape sequence represents newline character?
(a) \n (b) \t (c) \T (d) \e

Q.24 Which of the following is an assignment operator?


(a) = (b)/= (c) *= (d) all of the above

Q.25 Write the output of following code:


>>> n1 = 5
>>> n2 = n1
>>> n2 is n1
(a) True (b) False (c) Error (d) 5

SECTION -B (Attempt only 20 questions )

Q.26 Write the output of the following :


>>> a = 'India'
>>> a *= 3
>>> a
(a) IndiaIndiaIndia (b) India (c) India3 (d)3India

Q.27 >>> 14 + 2 ** 2 evaluates to _________________


(a) 256 (b) 18 (c) 28 (d) None of the above

Q.28 Which of the following is a sequence data type?


(a) string (b) integer (c) float (d) Dictionary

Q.29 Write the output of the following code :


>>> s = None
>>> s
(a) nothing will be printed (b) None (c) Error (d) None of the above

Q.30 Which of the following is invalid Identifier?


(a) Breakbreak (b) FILE34 (c) F_L (d) Myname

Q.31 Ahaana wants to make a fun program , if user enters any postitive number a “Good” or if
number is negative a “funny” message will appear . She is confused that which is the most suitable
control to be used to make such program. Help her to choose correct option.
(a) if (b) if else (c) if elif (d)nested if

Q.32 Which one of the following is a invalid Python if statement :


(a) if a>=2: (b) if(a>=2): (c) if(a >=2) (d) if (a==2):

Q.33 Find output :


i=0
while i < 3:
print(i,end=””)
i += 1
else:
print(0)
(a) 0 1 (b) 0 1 2 (c) 0 1 2 0 (d) 0 1 2 3
Q. 34 Consider the loop control structure in programming. Which term describes a loop that
continues repeating without a terminating (ending) condition?
(a) Conditional loop (b) Infinite loop (c) sequence loop (d) Unlimited loop

Q.35 sum = 0
values = [1,3,5,7]
for number in values:
sum = sum + number
print(sum)
find output of the above given code :
(a) 0 (b) 12 (c) 16 (d) 7
Q.36
z = "xyz"
j = "j"
while j in z:
print(j, end=" ")

What will be the output of this statement?


(a) xyz (b) j (c) no output (d)jjjjjj……

Q.37 for i in range(10,20,4):


print(i)
(a) 10 (b) 10 (c) 10 14 18 (d) none of the above
14 13
18 17
20
Q. 38 if var1= “HELLO WORLD”
>>>print(var1[-8])
(a) H (b) O (c) l (d) L

Q. 39 Which from the following is a jumping statement?


(a) break (b) continue (c) pass (d) all of them

Q.40 Can we write if/else into one line in python?


(a)Yes (b) No (c) if/else not used in python (d) none of the above
Q.40 Assertion (A) : List is a mutable data type of Python.
Reason (R) : In place change is not possible in list elements.

(A) Both(A) and (R) are true and (R) is a correct explanation of Assertion
(B) Both (A) and (R) are true, but (R) is not the explanation of Assertion
(C) If the assertion is true but Reason is false.
(D) If both Assertion and Reason are false.

Q. 41 Q. 41 ……………….are reserved word.


(a) identifier (b) keyword (c) token (d) variable
Q.42 Assertion (A) : The Hexadecimal system uses base 16.
Reason (R) : It uses the digits 0 through 9 and letters A- F as symbols

(a) Both(A) and (R) are true and (R) is a correct explanation of Assertion
(b) Both (A) and (R) are true, but (R) is not the explanation of Assertion
(c) If the assertion is true but Reason is false.
(d) If both Assertion and Reason are false.

Q.43 x=3
if x>2 or x<5 and x==6:
print("ok")
else:
print("no output") # find output
(a) no output (b) Error (c) ok (d) first ok than no output

Q.44 Error in which statements are not meaning full is known as:
(a) syntax error (b) run time error (c) compile time error (d) semantic error

Q.45 find output :


x=3
if x == 0:
print ("Am I learning python?", end = ' ')
elif x == 3:
print("Or learning python?", end = ' ')
else :
pass
print ("Or learning python 4 cbse?")
(a) Am I learning python? (b) Or learning python?
(c) Or learning python 4 cbse? (d) none of the above

Q. 46 find output :
name = "maya"
if name == "saya":
print("delhi")
elif name == "mana":
print("mumbai")
else:
print("india")

(a) Delhi (b)delhi (c) india (d) Mumbai

Q.47 find output:


car_color = "blue"
if 3 > 2:
if car_color == "black":
print("You rock!")
else:
print("Boring")
(a) Boring (b) You rock! (b) blue (d) black
Q.48 Which of the following symbol is used to write comment :
(a) & (b) $ (c) # (d) *

Q.49 Who developed the Python language?


(a) Zim Den (b) Wick van Rossum (c) Guido van Rossum (d) Niene Stom

SECTION -C (Attempt only 5 questions )

Case Studies Based Questions ( 50 to 55 )

Expressions in programming are like formulas in mathematics: both use values (in Python
literals and names bound to values) to compute a result. But unlike mathematics, expressions in
Python can compute results of a wide variety of types (e.g., boolean and string) not just mathematical
results.
We classify these operators, both symbols and identifiers, into four categories and examine
them separately: Arithmetic (+ -* / // % **), Relational: (== != < > <= >= is in), Logical (and not or),
and finally Bitwise (& | ~ ^ << >>)
When two or more operators share an operand with the same precedence, such as a * b / c, the
expression is evaluated according to associativity. When all of the operators in an expression have
the same precedence, the expression is evaluated using left to right associativity.Now, since the **
operator has right-to-left associativity, a ** b ** c will be evaluated as a ** (b ** c). For
exponentiation, the expression on the right is evaluated first. On the other hand, since the * operator
has left-to-right associativity, a * b * c is treated as (a * b) * c. For multiplication, the expression on
the left is evaluated first.

Q.50 A python expression contains :


a) Only Operator b) Only Operands
c) both Operators and Operands d) None of these

Q.51 if a =1 and b =2 and c =3 then a **b ** c evaluate to :


a) 1 b) 8 c) 9 d) 15

Q.52 if a= 3 and b = 5 then ( a > b and b>a) evaluate to :


(a)True b) False c) True and True d) None of these

Q.53 % is known as the modulus operator and if a =13 and b =2 then a % b evaluate to __.
(a) False , 0 b) True , 6 c) True , None d) None of These

Q.54 State true or false the statement : ** operator is evaluate right to left and * is left to right

(a) True b) False c) True and False d) None of These


Q.55 Out of following which is not a bitwise operator :
(a) << (b)>> (c) & (d) >=

&&&&&&&&&&&&&&&&&&&&&&&&&&&&&&&&&&&&&&&&&&&&&&&&&&

You might also like