KEMBAR78
CPP Logarithm | PDF | Logarithm | Arithmetic
0% found this document useful (0 votes)
418 views5 pages

CPP Logarithm

CLASS 11 LOGARITHMS ADV JEE PROBLEMS

Uploaded by

gouranshnegi229
Copyright
© © All Rights Reserved
We take content rights seriously. If you suspect this is your content, claim it here.
Available Formats
Download as PDF, TXT or read online on Scribd
0% found this document useful (0 votes)
418 views5 pages

CPP Logarithm

CLASS 11 LOGARITHMS ADV JEE PROBLEMS

Uploaded by

gouranshnegi229
Copyright
© © All Rights Reserved
We take content rights seriously. If you suspect this is your content, claim it here.
Available Formats
Download as PDF, TXT or read online on Scribd
You are on page 1/ 5

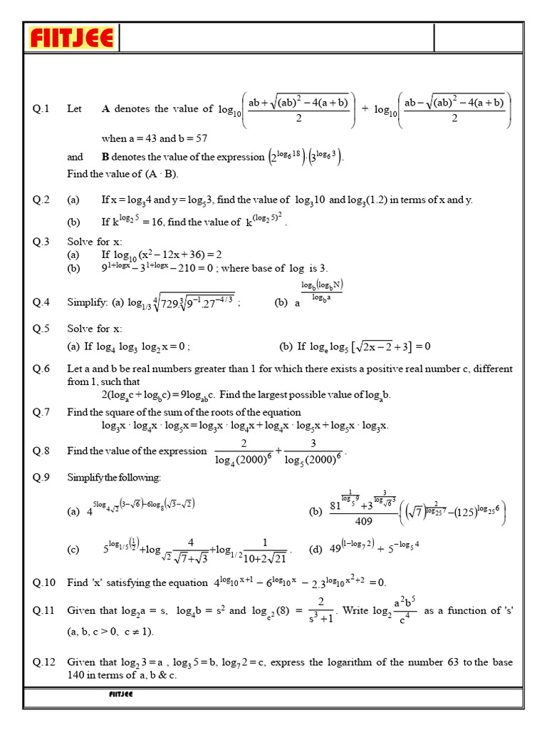
MATHEMATICS

CPP (Logarithm) IIT-JEE

Exercise-1
 ab  (ab) 2  4(a  b)   2 
Q.1 Let A denotes the value of log10   + log  ab  (ab)  4(a  b) 
 2  10 
2 
   
when a = 43 and b = 57
and B denotes the value of the expression 2log6 18 · 3log6 3 .  
Find the value of (A · B).

Q.2 (a) If x = log34 and y = log53, find the value of log310 and log3(1.2) in terms of x and y.
log2 5 (log 2 5) 2
(b) If k = 16, find the value of k .
Q.3 Solve for x:
(a) If log10 (x2  12x + 36) = 2
(b) 91+logx  31+logx  210 = 0 ; where base of log is 3.

log b log b N 
log b a
Q.4 Simplify: (a) log1/3 4 729.3 9 1.27 4 / 3 ; (b) a

Q.5 Solve for x:


(a) If log4 log3 log2 x = 0 ; (b) If loge log5 [ 2 x  2  3] = 0

Q.6 Let a and b be real numbers greater than 1 for which there exists a positive real number c, different
from 1, such that
2(logac + logbc) = 9logabc. Find the largest possible value of logab.
Q.7 Find the square of the sum of the roots of the equation
log3x · log4x · log5x = log3x · log4x + log4x · log5x + log5x · log3x.
2 3
Q.8 Find the value of the expression  .
log 4 (2000) 6 log 5 (2000) 6
Q.9 Simplify the following:
1 3
3 6 6log8   log 9 log 3
3 2 81 3 
 7 
5log 5 6 2
(a) 4 4 2
(b) . log 25 7
125log 25 6 
409  

(c) 5
 log
log1 / 5 12 4
log1 / 2
1
. (d) 49
1log 7 2 
+5
 log 5 4
2 7 3 10 2 21
2 2
Q.10 Find 'x' satisfying the equation 4log10 x 1 – 6 log10 x – 2.3log10 x = 0.
2 a 2 b5
Q.11 Given that log2a = s, log4b = s2 and log 2 (8) = . Write log2 4 as a function of 's'
c s3  1 c
(a, b, c > 0, c  1).

Q.12 Given that log2 3 = a , log3 5 = b, log7 2 = c, express the logarithm of the number 63 to the base
140 in terms of a, b & c.
FIITJEE Ltd., Indore Centre: 27, 2nd Floor, Scheme No -54, PU -3, Opp. Orbit Mall, A.B. Road, Indore
Phone:0731-4274702, 4044447, 4274763; website: www.fiitjeeindore.com
MATHEMATICS CPP (Logarithm) [2]

log 2 24 log 2192


Q.13 Prove that  = 3.
log 96 2 log12 2
log3 7 log7 11 log11 25
Q.14 If a, b, c are positive real numbers such that a = 27 ; b = 49 and c = 11
 (log 7 )2
Find the value of  a 3  b 7
(log 11) 2 (log 25) 2 
 c 11 .
 
Q.15 (a) log (log x) + log (log x  2) = 0 ; where base of log is 10 everywhere.
3

(b) logx2 . log2x2 = log4x2


(c) 5logx + 5 xlog5 = 3 (a > 0) ; where base of log is a.
(d) xlogx+4 = 32, where base of logarithm is 2.

Q.16 Solve the system of equations:


log a x log a ( xyz )  48
log a y log a ( xyz )  12 , a > 0, a  1.
log a z log a ( xyz )  84

Q.17 Let y = log 2 3 ·log 2 12 ·log 2 48 ·log 2 192  16 – log212 · log248 + 10. Find y  N.

Q.18 Column-I Column-II

(A) The expression x  log 2 log 9 6  6  6  .....  simplifies to (P) an integer

(B) The number N = 2


log 2 3·log 3 4 ·log 4 5.........·log99 100 simplifies to (Q) a prime
1 1 1
(C) The expression   simplifies to (R) a natural
log 5 3 log 6 3 log10 3

(D) The number N = 2  5  6  3 5  14  6 5 simplifies to (S) a composite


Q.19 Column-I Column-II
(A) For positive real numbers a (a > 1), let pa and qa (P) 3
be the maximum and minimum values, respectively, of
1
loga(x) for a  x  2a. If pa – qa = , then the value of a is (Q) 4
2
1023
 1
(B)  log 2 1  n  is equal to (R) 6
n 1

 
(C) If A = log  3 3 3 3  , then the value of log
3  2
8A  1 is equal to (S) 8
 
(D) The value of expression (T) 10
log27 8 log32 243 log625 81 log9 25 log 2 9
3 2 5 3 + 2  3log 4 25  5log 4 9 , is

FIITJEE Ltd., Indore Centre: 27, 2nd Floor, Scheme No -54, PU -3, Opp. Orbit Mall, A.B. Road, Indore
Phone:0731-4274702, 4044447, 4274763; website: www.fiitjeeindore.com
MATHEMATICS CPP (Logarithm) [3]

Q.20 Column-I Column-II


(A) The value(s) of x, which does not satisfy the equation (P) 2
log22 (x2 – x) – 4 log2(x – 1) log2x = 1, is (are)

(B) The value of x satisfying the equation (Q) 3


log 7 10 log10 ( 8 x 3)
ln 5log5 7
2log2 e = 13, is (R) 4

 1 1 
(C) The number N =  log   log   is less than (S) 5
 2 6 

(D) Let l = (log34 + log29)2 – (log34 – log29)2 and m = (0.8) 1  9log3 8  log 65 5
(T) 6
then (l + m) is divisible by

Exercise-2
Q.1 logx+1 (x² + x  6)2 = 4
Q.2 x + log10(1 + 2x) = x . log105 + log106.
Q.3 5logx – 3logx-1 = 3logx+1 – 5logx-1, where the base of logarithm is 10.
Q.4 log5 120 + (x  3)  2 . log5 (1  5x-3) =  log5(0.2  5x-4)
 1 
Q.5 log 4 + 1   log 3 = log
 2x 
x 3  27  .
x
Q.6 If 'x' and 'y' are real numbers such that, 2 log(2y – 3x) = log x + log y, find .
y
Q.7 The real x and y satisfy log8x + log4y2 = 5 and log8y + log4x2 = 7, find xy.
Q.8 If a = log1218 & b = log2454 then find the value of ab + 5 (a  b).
9
(log9 x ) 2  log x 5
2 9
Q.9 Find the sum of all solutions of the equation 3 3 3.
Q.10 Positive numbers x, y and z satisfy xyz = 1081 and (log10x)(log10yz) + (log10y)(log10z) = 468.
Find the value of log10 x 2  log10 y 2  log10 z 2 .
3 5
Q.11 Let a, b, c, d are positive integers such that logab = and logcd = . If (a – c) = 9, find the value of ( b  d ) .
2 4
Q.12 (a) Given : log1034.56 = 1.5386, find log103.456 ; log100.3456 & log100.003456.
(b) Find the number of positive integers which have the characteristic 3, when the base of the logarithm
is 7.
(c) If log102 = 0.3010 & log103 = 0.4771, find the value of log10(2.25).
(d) Find the antilogarithm of 0.75, if the base of the logarithm is 2401.
Q.13 If log102 = 0.3010, log103 = 0.4771. Find the number of integers in :
(a) 5200 (b) 615 & (c) the number of zeros after the decimal in 3100.

FIITJEE Ltd., Indore Centre: 27, 2nd Floor, Scheme No -54, PU -3, Opp. Orbit Mall, A.B. Road, Indore
Phone:0731-4274702, 4044447, 4274763; website: www.fiitjeeindore.com
MATHEMATICS CPP (Logarithm) [4]

Q.14 (a) 'L' denotes the antilog of 0.4 to the base 1024.
'M' denotes the number of digits in 610 (Given log102 = 0.3010, log103 = 0.4771)
'N' denotes the number of positive integers which have the characteristic 2,
when base of the logarithm is 6. Find the value of LMN.
(b) If log3x45 = log4x 40 3 then find the characteristic of x3 to the base 7.

 4  4  2 2 
Q.15 Find x satisfying the equation log 2 1    log 2 1    2 log   1 .
 x  x4  x 1 
Q.16 Find the real solutions to the system of equations
log10(2000xy) – log10x · log10y = 4
log10(2yz) – log10y · log10z = 1
and log10(zx) – log10z · log10x = 0

Q.17 If (x1, y1) and (x2, y2) are the solution of the system of equation
log225(x) + log64(y) = 4
logx(225) – logy(64) = 1,
then find the value of log30(x1y1x2y2).

Q.18 Solve : log3  x x 1  = log  4


9 x 3 4 x 1 
 1  1
Q.19 Solve for x : log2 (4  x) + log (4  x) . log  x    2 log2  x   = 0.
 2  2
 
 log 4 ab  log 4 ab  log 4 b  log 4 a  · log b
 a b a a b b  a  2 if ba 1
Q.20 Prove that : 2  =  loga b
2 if 1ba
Q.21 Find the value of x satisfying the equation,
log 3
3

3x  log x 3 3x ·log3 x 3  log 3
3 
x 3  log x 3 3 x ·log3 x 3 = 2.
3
Q.22 Solve the equation log4(x + 2)2 + 3 = log4(4 – x)3 + log4(6 + x)3.
2
Q.23 Let (x0, y0) be the solution of the following equations
(2 x )ln 2  (3y)ln 3
3ln x = 2ln y.
Then x0 is
1 1 1
(A) (B) (C) (D) 6
6 3 2


FIITJEE Ltd., Indore Centre: 27, 2nd Floor, Scheme No -54, PU -3, Opp. Orbit Mall, A.B. Road, Indore
Phone:0731-4274702, 4044447, 4274763; website: www.fiitjeeindore.com
MATHEMATICS CPP (Logarithm) [5]

ANSWER KEY

Exercise-1
xy  2 xy  2 y  2
Q.1 12 Q.2 (a) , ; (b) 625 Q.3 (a) x = 16 or x =  4 (b) x = 5
2y 2y

Q.4 (a)  1 (b) logbN Q.5 (a) 8 (b) x = 3 Q.6 2 Q.7 3721 Q.8 1/6

25 1
Q.9 (a) 9, (b) 1, (c) 6, (d) Q.10 x = Q.11 2s + 10s2 – 3(s3 + 1)
2 100

1  2ac
Q.12 Q.14 469
2c  abc  1

2
Q.15 (a) x=10 (b) x = 2 or 2  2
(c) x = 2–loga where base of log is 5, (d) x = 2 or 1 32

 1 1 1 
Q.16 (a4, a, a7) or  4 , , 7  Q.17 y=6
a a a 

Q.18 (A) P, (B) P, R, S, (C) P, R, (D) P, Q, R Q.19 (A) Q; (B) T ; (C) S; (D) P

Q.20 (A) Q, R, S, T; (B) P; (C) Q, R, S, T; (D) P, R, S

Exercise-2
Q.1 x = 1 Q.2 x = 1 Q.3 x = 100 Q.4 x = 1 Q.5 x 

Q.6 4/9 Q.7 xy = 29 Q.8 1 Q.9 2196 Q.10 5625

Q.11 93 Q.12 (a) 0.5386; 1.5386 ; 3.5386 (b) 2058 (c) 0.3522 (d) 343

Q.13 (a) 140 (b) 12 (c) 47 Q.14 (a) 23040; (b) 2

Q.15 x 2 or 6 Q.16 x = 1, y = 5, z = 1 or x =100, y =20, z =100

 7 3  24 
Q.17 12 Q.18 [0, 1]  {4} Q.19 0 , , 
 4 2 

Q.21 x  [1/3, 3] – {1} Q.22 x = 2 or 1 – 33 Q.23 C

FIITJEE Ltd., Indore Centre: 27, 2nd Floor, Scheme No -54, PU -3, Opp. Orbit Mall, A.B. Road, Indore
Phone:0731-4274702, 4044447, 4274763; website: www.fiitjeeindore.com

You might also like