KEMBAR78
Problem Set 2 - Ly | PDF | Lease | Water Heating
0% found this document useful (0 votes)
26 views5 pages

Problem Set 2 - Ly

Uploaded by

Ailsa May
Copyright
© © All Rights Reserved
We take content rights seriously. If you suspect this is your content, claim it here.
Available Formats
Download as PDF, TXT or read online on Scribd
0% found this document useful (0 votes)
26 views5 pages

Problem Set 2 - Ly

Uploaded by

Ailsa May
Copyright
© © All Rights Reserved
We take content rights seriously. If you suspect this is your content, claim it here.
Available Formats
Download as PDF, TXT or read online on Scribd
You are on page 1/ 5

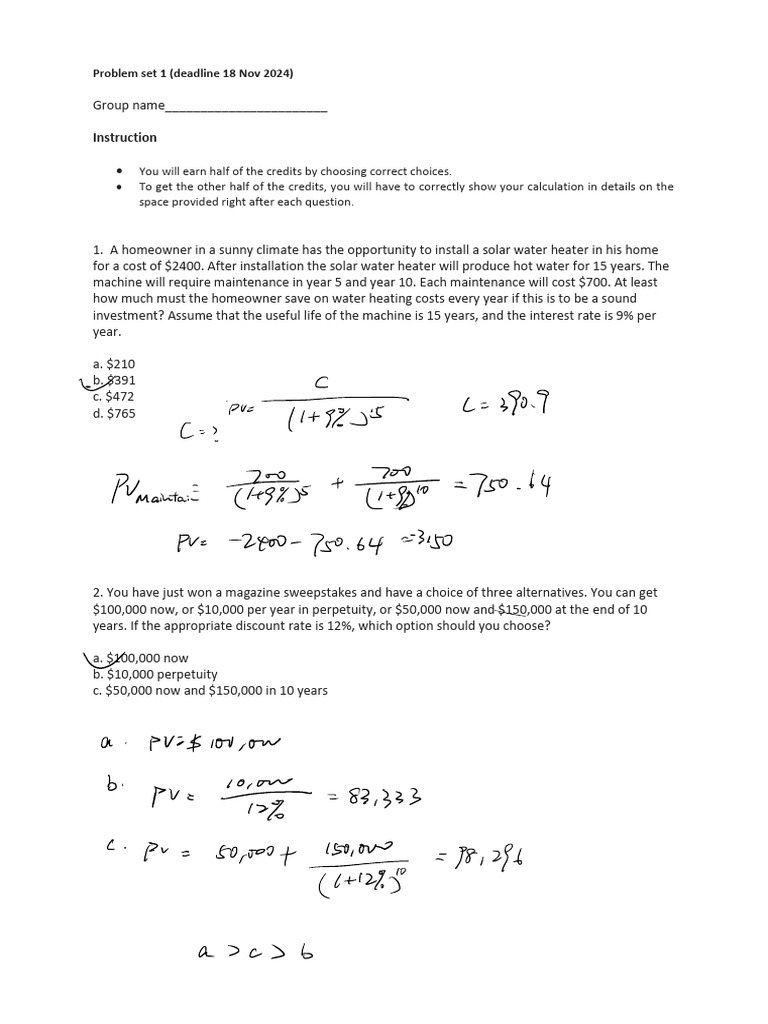
Problem set 1 (deadline 18 Nov 2024)

Group name_______________________

Instruction

 You will earn half of the credits by choosing correct choices.


 To get the other half of the credits, you will have to correctly show your calculation in details on the
space provided right after each question.

1. A homeowner in a sunny climate has the opportunity to install a solar water heater in his home
for a cost of $2400. After installation the solar water heater will produce hot water for 15 years. The
machine will require maintenance in year 5 and year 10. Each maintenance will cost $700. At least
how much must the homeowner save on water heating costs every year if this is to be a sound
investment? Assume that the useful life of the machine is 15 years, and the interest rate is 9% per
year.

a. $210
~
b. $391
c. $472
d. $765
pr =
2909

PVmaintai + 5 10
=
750 .
14

Pr =
=

2400 -

750 24 .
=
3150

2. You have just won a magazine sweepstakes and have a choice of three alternatives. You can get
$100,000 now, or $10,000 per year in perpetuity, or $50,000 now and- $150,000 at the end of 10
years. If the appropriate discount rate is 12%, which option should you choose?

~
a. $100,000 now
b. $10,000 perpetuity
c. $50,000 now and $150,000 in 10 years

a .

PVE$100 ,our

b
r
pr
.

=
83 , 333
%
C

o
pr
+ 98
50
,000
.

=
=

a) c) b
3. If you put $200 in a savings account at the end of each year for the next 10 years and then allow
the account to compound for an additional 10 years, how much will be in the account at the end of
the 20th year? Assume that the account earns 10%.

a. $8,267
- Fu =?
b. $9,133
c. $8,967
d. $9,733
Pr = ( + (1)
=
200 x 11 -i)
=
1228 .
91
Fr =

1228 , 91 x / :
10 =
8267 5 .

4. Your lease calls for payments of $500 at the end of each month for the next 12 months. Now your
landlord offers you a new 1-year lease that calls for zero rent for the first 3 months, then rental
payments of $700 at the end of each month for the next 9 months. You keep your money in a bank
time deposit that pays 5 percent APR compounded monthly. By what amount would your net worth
change if you accept the new lease?

a. -$509.81
5% - 12 = 0 .
%
42 monthly
.500 So

b. -$253.62
-
...

c. +$125.30
d. +$253.62
e. +$509.81
1
pr = <X * 11-i ) 500 x 11-T =

= 5839 36 .

x -Fors)
2 PV =

700

=
6169 71 :

T
Dr. = 6093

5093 .
23 -

5839 . 36 =
253 .

.
87

-
5. Today is your 20th birthday. Your parents just gave you $5,000 that you plan to use to open a
stock brokerage account. Your plan is to add $500 to the account each year on your birthday. Your
first $500 contribution will come one year from now on your 21st birthday. Your 45th and final $500
contribution will occur on your 65th birthday. You plan to withdraw $5,000 from the account five
years from now on your 25th birthday to take a trip to Europe. You also anticipate that you will
need to withdraw $10,000 from the account 10 years from now on your 30th birthday to take a trip
to Asia. You expect that the account will have an average annual return of 12 percent. How much
money do you anticipate that you will have in the account on your 65th birthday, following your final
2
65
contribution? I 1
5000 202Sz I
500
=? so .

F
a. $385,863 -

,000
5
-
10 ,or

b. $413,028
c. $457,911
d. $505,803
- Fr = ?

e. $566,498 Fu =
-

5, 00x11240 -
10
, 000 x/11235
or
Pr 500 U 45, 2 500

!
= = = ·

993 , 251
,

+ 1(r)N-
=
Ev =
(x 1)
V= 0 . 12

=
500XTt (1 :245 1)
Fu
-

1 , 499 , 853
=

=
679 , 115 1 499 053
,
- 993 25)
,
=
505, 802
,
675 , 115+ 5000x11245
=
1 499 053
,
,

6. A baseball player is offered a 5-year contract that pays him the following amounts:

Year 1: $1.2 million


Year 2: 1.6 million
Year 3: 2.0 million
Year 4: 2.4 million
Year 5: 2.8 million

Under the terms of the agreement all payments are made at the end of each year.

Instead of accepting the contract, the baseball player asks his agent
to negotiate a contract that has a present value of $1 million more
than that which has been offered. Moreover, the player wants to
receive his payments in the form of a 5-year annuity. The first
payment is at t=0 and the last payment is at t=4. All cash flows are
discounted at 10 percent. If the team were to agree to the player’s
-
terms, what would be the player’s annual salary (in millions of
dollars)?

a. $1.500
= 10 % PV =++
b. $1.659
c. $1.989
-
= 7 .

29.
d. $2.343
e. $2.500
Ask .
7 .
29+ 1 = 8 .
.
29

* C= 2 m= .
5 Fro Type) -
29 , ,

Annuity Pr = 8 .
. ,

c= 1 .

99
-
& 7. Five years ago you borrowed $3,000,000, a 30-year mortgage with 6.5% APR compounded
monthly. The payments are made monthly. If you were to refinance the mortgage today for 20
years at an APR of 4.25%, how much would your monthly payment change by?

A. The monthly payment will decrease by $1,572


B. The monthly payment will decrease by $3,747
C. The monthly payment will decrease by $5,147.
D. The monthly payment will increase by $1,572.
E. The monthly payment will increase by $5,147.

=%
6 5%
.
= 12 =
8 54
.

% PV =
836 , 644
,
2 ,
V
25
x12
360 months -

n = 20x12 = 240·
20yr
=

PMT =? PMF 17 565 5


,
C =? 18 , 922 6
.

C = .

3 000 + 65 %=12 16 .
200
=

is
135)
,
,
18, 922 6 .
-

17565 .
5:

↑ : 18 , 922 6-16, 200 .


= ,
2 122 .
6

2836 644
6 x 5x12
%22
=
5y 3 000 , 000
,
:
, 2, -
:

8. Today you opened up a local bank account. Your plan is make five $1,000 contributions to this
account. The first $1,000 contribution will occur today and then every six months you will
contribute another $1,000 to the account. (So your final $1,000 contribution will be made two years
from today). The bank account pays a 6 percent APR compounded monthly. After two years, you
plan to leave the money in the account earning interest, but you will not make any further
contributions to the account. How much will you have in the account 8 years from today?
4
i
I

a. $7,092
b. $7,569 100 how . loo
c. $7,609
-
d. $7,969
(1+ - %
e. $8,070 EAR =

) 1 = 3 , 04

PV =
000 +
1, 1000 11-4)
= 473

# 8x12
= 4713 x
( + 95 %
= 7 , 608 .
34
9. Your employer has agreed to make 80 quarterly payments of $400 each into a trust account to
fund your early retirement. The first payment will be made 3 months from now. At the end of 20
years (80 payments), you will be paid 10 equal annual payments, with the first payment to be made
at the beginning of Year 21 (or the end of Year 20). The funds will be invested at a nominal rate of 8
percent, quarterly compounding, during both the accumulation and the distribution periods. How
large will each of your 10 receipts be?

a. $ 7,561
b. $10,789
-
o
0
um
!
400.
sory s

c. $11,678
d. $12,342
EAR
(183 -1 %%
e. $13,119 .
= 2 ,

n So PMT 400 %
V 201
=
,
·
= =

-L p .

! --
Pr =
78 =
71918
L
f

77, 88
.
c

=
-
= 10 863
,
.

You might also like