KEMBAR78
DSP Practice Problems 1 | PDF | Digital Signal Processing | Signal Processing
0% found this document useful (0 votes)
61 views4 pages

DSP Practice Problems 1

practice problems for dsp

Uploaded by

tve22ae062
Copyright
© © All Rights Reserved
We take content rights seriously. If you suspect this is your content, claim it here.
Available Formats
Download as PDF, TXT or read online on Scribd
0% found this document useful (0 votes)
61 views4 pages

DSP Practice Problems 1

practice problems for dsp

Uploaded by

tve22ae062
Copyright
© © All Rights Reserved
We take content rights seriously. If you suspect this is your content, claim it here.
Available Formats
Download as PDF, TXT or read online on Scribd
You are on page 1/ 4

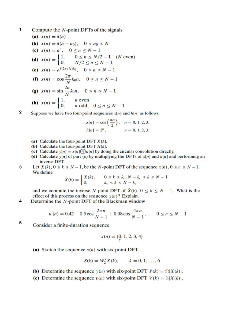
Compute the N-point DFTs of the signals

@) x(n) =48(n)
() x(n)=8(n—ng), O0<ng<N
() x(n)=ad", 0<n<N-1

d) x(n) = {(1) (I]sznssnli/jzv——_ll b


(€ x(n)=e/@/Nk 0<p<N-1

(13] x(n)=cos%rkon, 0<n<N-1

(g) x(n) =sin Zfinkon, 0<n<N-1

1 neven
® "‘""{0 nodd, 0<n<N-—1
Suppose we have two four-point sequences x[n] and k[n] as follows:
mn
x[n] = cos(T) . w=10,1,23

h[n] =2", n=10;1,2;3.

(a) Calculate the four-point DFT X [k].


(b) Calculate the four-point DFT H[k].
(¢) Calculate y[n] = x[n]@h[n] by doing the circular convolution directly.
(d) Calculate y[n] of part (c) by multiplying the DFTs of x[n] and i[n] and performing an
inverse DFT.
Let X(k), 0 <k < N —1, be the N-point DFT
of the sequence x(n),0 <n < N —1.
We define
X (k). 0<k<k,N—-k.<k<N-1
X“‘)={0, ke <k <N—ke
and we compute the inverse N-point DFT of b (k), 0 < k < N —1. What is the
effect of this process on the sequence x(n)? Explain.
Determine the N-point DFT of the Blackman window

w(n)=0.42—0.5c05%+0.08cos
2 4 == 0O<n<N-1
N-1
Consider a finite-duration sequence

x(n) = (?, 1,2,3,4}

(a) Sketch the sequence s(n) with six-point DFT

S(k) = WX (k). E=8 L0 6

(b) Determine the sequence y(n) with six-point DFT Y (k) = %|X (k)|.
(¢) Determine the sequence v(n) with six-point DFT V (k) = 3| X (k).
A linear time-invariant system with frequency response H(w) is excited with the
periodic input

x(n) = Z 8(n —kN)

Suppose that we compute the N-point DFT Y (k) of the samples y(n),0 <n < N—1
of the output sequence. How is Y (k) related to H(w)?

Let x,(r) be an analog signal with bandwidth B = 3 kHz. We wishtouse an N = 2"~


point DFT to compute the spectrum of the signal with a resolution less than or equal
to 50 Hz. Determine (a) the minimum sampling rate, (b) the minimum number of
required samples, and (c) the minimum length of the analog signal record.
Figure P24 shows a finite-length sequence x[n]. Sketch the sequences
x1[n] = x[((n — 2))4], 0<n<3,
and
x2[n] = x[((—=n))4], 0<n<3.

x[n]

" Figure P24

The two eight-point sequences x[n] and x[n] shown in Figure P10 have DFTs X |[k] and
X [k], respectively. Determine the relationship between X |[k] and X »[k].

i
s xi[n]
T

A f—an
f—

l. ..
—es

3
ce
-

.
8 " Figure P10
10 Consider the real finite-length sequence x[n] shown in Figure P23.

4 x[n]

[N}
Il
- - -
2 -1 0 1 2 3 4 5 6 ™ Figure P23

(a) Sketch the finite-length sequence y[n] whose six-point DFT is

Y (k] = WX [K1,
11 Figure P11 shows two finite-length sequences xj[n] and x;[n]. Sketch their six-point circular
convolution.

s 6 x,[n) x[n]

i1 [
2 3 1 1

—— Y *—o—o ——e *—o *


01 2 3 4 5 Lo 0 1 2 #*

Figure P11
12 Figure P15-1 shows two sequences xi[n] and x2[n]. The value of x3[n] at time n = 3 is
not known, but is shown as a variable a. Figure P15-2 shows y[n], the four-point circular
convolution of xi[n] and x;[n]. Based on the graph of y[n], can you specify a uniquely? If
so, what is a? If not, give two possible values of a that would yield the sequence y[n] as
shown.

2 xy[n]

Xa[n]

H—OL L—e—o——
-1 01 2 3 45 Figure P15-1

[1 ]
1 1 yln]

4 l 3 4 5
=1 =1 Figure P15-2
13 Consider the finite-length sequence x[n] in Figure P13. The five-point DFT of x[n] is denoted
by X [k]. Plot the scquence y[n] whose DFT is
YK = w5 X [k].

14
2 -l Lyl I 2 4 5 6 7
Figure P17 shows two finite-length sequences x;[r] and x[n]. What is the smallest N such
n Figure P13

that the N-point circular convolution of x;[n] and x3[n] are equal to the linear convolution
of these sequences, i.e., such that x;[n] @ x2[n] = x1[n] * x2[n]?

3 xy[n]

Figure P17
15 Consider two sequences x[n] and h[n],and let y[n] denote their ordinary (linear) convolution,
y[n] = x[n] * h[n]. Assume that x[n] is zero outside the interval 21 < n < 31,and h[n] is zero
outside the interval 18 < n < 31.
(a) The signal y[n] will be zero outside of an interval N; < n < N,. Determine numerical
values for Ny and N».
(b) Now suppose that we compute the 32-point DFTs of

wm= [0 m=01..2
W= xn] n=2
and
0 m=01...17
h'["I=lhln] n=18,19,...,31
(i.e., the zero samples at the beginning of each sequence are included). Then, we form
the product Y{[k] = X;[k]H[k]. If we define y;[n] to be the 32-point inverse DFT of
Y [k], how is y;[n] related to the ordinary convolution y[z]? That is, give an equation
that expresses yj[n] in terms of y[n] for 0 <n < 31.
(¢) Suppose that you are free to choose the DFT length (N) in part (b) so that the sequences
are also zero-padded at their ends. What is the minimum value of N so that y[n] = y[n]
for0O<n<N-1?

You might also like