KEMBAR78
Chapter3 ProblemSet | PDF | Tangent | Subtraction
0% found this document useful (0 votes)
55 views47 pages

Chapter3 ProblemSet

The document contains evaluations of tangent and normal lines for various functions at specified points, along with calculations for the acute angles between given curves. Each section details the process of finding derivatives, equations of tangents and normals, and points of intersection. The evaluations include multiple functions such as polynomials, square roots, and implicit equations.

Uploaded by

Aycelle Guzman
Copyright
© © All Rights Reserved
We take content rights seriously. If you suspect this is your content, claim it here.
Available Formats
Download as PDF, TXT or read online on Scribd
0% found this document useful (0 votes)
55 views47 pages

Chapter3 ProblemSet

The document contains evaluations of tangent and normal lines for various functions at specified points, along with calculations for the acute angles between given curves. Each section details the process of finding derivatives, equations of tangents and normals, and points of intersection. The evaluations include multiple functions such as polynomials, square roots, and implicit equations.

Uploaded by

Aycelle Guzman
Copyright
© © All Rights Reserved
We take content rights seriously. If you suspect this is your content, claim it here.
Available Formats
Download as PDF, TXT or read online on Scribd
You are on page 1/ 47

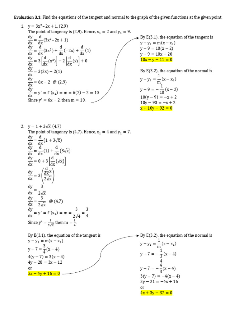
Evaluation 3.

1: Find the equations of the tangent and normal to the graph of the given functions at the given point.

1. y = 3x 2 – 2x + 1, (2,9)
The point of tangency is (2,9). Hence, x1 = 2 and y1 = 9.
dy d By E(3.1), the equation of the tangent is
= (3x 2 – 2x + 1)
dx dx y − y1 = m(x − x1 )
dy d d d y − 9 = 10(x − 2)
= (3x 2 ) + (– 2x) + (1)
dx dx dx dx y − 9 = 10x − 20
dy d 2 d 10x − y − 11 = 0
= 3 [ (x )] − 2 [ (x)] + 0
dx dx dx
dy
= 3(2x) − 2(1) By E(3.2), the equation of the normal is
dx 1
dy y − y1 = (x − x1 )
= 6x − 2 @ (2,9) m
dx 1
dy y − 9 = − (x − 2)
= y ′ = f ′ (x1 ) = m = 6(2) − 2 = 10 10
dx 10(y − 9) = −x + 2
Since y ′ = 6x − 2, then m = 10.
10y − 90 = −x + 2
x + 10y − 92 = 0

2. y = 1 + 3√x, (4,7)
The point of tangency is (4,7). Hence, x1 = 4 and y1 = 7.
dy d
= (1 + 3√x)
dx dx
dy d d
= (1) + (3√x)
dx dx dx
dy d
= 0 + 3 [ (√x)]
dx dx
d
dy x
= 3 (dx )
dx 2√x
dy 3
=
dx 2√x
dy 3
= @ (4,7)
dx 2√x
dy 3 3
= y ′ = f ′ (x1 ) = m = =
dx 2√4 4
3 3
Since y ′ = , then m= .
2√x 4

By E(3.1), the equation of the tangent is By E(3.2), the equation of the normal is
y − y1 = m(x − x1 ) 1
y − y1 = (x − x1 )
3 m
y − 7 = (x − 4) 1
4 y − 7 = − (x − 4)
4(y − 7) = 3(x − 4) 3
4y − 28 = 3x − 12 4
4
or y − 7 = − (x − 4)
3x − 4y + 16 = 0 3
3(y − 7) = −4(x − 4)
3y − 21 = −4x + 16
or
4x + 3y − 37 = 0
3. y = x√x − 1, (5,10)
The point of tangency is (5,10). Hence, x1 = 5 and y1 = 10.
dy d
= (x√x − 1)
dx dx
dy d d
= (x) [ (√x − 1)] + (√x − 1) [ (x)]
dx dx dx
d
dy (x − 1)
= (x) [dx ] + (√x − 1)(1) By E(3.1), the equation of the tangent is
dx 2√x − 1
y − y1 = m(x − x1 )
d d 13
dy (x) + (−1) y − 10 = (x − 5)
= (x) [ dx dx ] + (√x − 1) 4
dx 2√x − 1 4(y − 10) = 13(x − 5)
dy 1 4y − 40 = 13x − 65
= (x) [ ] + (√x − 1) or
dx 2√x − 1
dy x 13x − 4y − 25 = 0
= + √x − 1
dx 2√x − 1
dy x + 2(x − 1) By E(3.2), the equation of the normal is
= 1
dx 2√x − 1 y − y1 = (x − x1 )
dy x + 2x − 2 m
= 1
dx 2√x − 1 y − 10 = − (x − 5)
13
dy 3x − 2 4
= 4
dx 2√x − 1 y − 10 = − (x − 5)
dy 3x − 2 13
= @ (5,10) 13(y − 10) = −4(x − 5)
dx 2√x − 1
dy 3x − 2 13 13y − 130 = −4x + 20
= y ′ = f ′ (x1 ) = m = = or
dx 2√x − 1 4
3x−2 13 4x + 13y − 150 = 0
Since y ′ = , then m=
2√x−1 4

x3
4. y 2 = , (2,2)
4−x
The point of tangency is (2,2). Hence, x1 = 2 and y1 = 2.
d x3 dy (22 )(6 − 2) (4)(4) 8
(y 2 = ) = f ′ (x1 ) = 2 = 2 = =2
dx 4−x dx (2)(4 − 2) (2)(2) 4
d 3 d (x2 )(6−x)
3
dy (4 − x) [dx (x )] − (x ) [dx (4 − x)] Since y ′ = (y)(4−x)2, then m = 2.
2y =
dx (4 − x)2
(4 − x)(3x ) − (x 3 )(−1)
2 By E(3.1), the equation of the tangent is
dy (4 − x)2 y − y1 = m(x − x1 )
=
dx 2y y − 2 = 2(x − 2)
dy (12x 2 − 3x 3 ) − (−x 3 ) y − 2 = 2x − 4
= 2x − y − 2 = 0
dx (2y)(4 − x)2
dy 12x 2 − 3x 3 + x 3
= By E(3.2), the equation of the normal is
dx (2y)(4 − x)2
dy 12x 2 − 2x 3 1
= y − y1 = (x − x1 )
dx (2y)(4 − x)2 m
1
dy (2x 2 )(6 − x) y − 2 = − (x − 2)
= 2
dx (2y)(4 − x)2 2(y − 2) = −x + 2
dy (x 2 )(6 − x) 2y − 4 = −x + 2
= @ (2,2)
dx (y)(4 − x)2 x + 2y − 6 = 0
2
5. y = , (1,2)
x
The point of tangency is (1,2). Hence, x1 = 1 and y1 = 2.
dy d 2 By E(3.1), the equation of the tangent is
= ( )
dx dx x y − y1 = m(x − x1 )
d d y − 2 = −2(x − 1)
dy (x) (dx 2) − (2) (dx x)
= y − 2 = −2x + 2
dx x2
dy (x)(0) − (2)(1) 2x + y − 4 = 0
=
dx x2
dy −2 By E(3.2), the equation of the normal is
= 1
dx x 2 y − y1 = (x − x1 )
dy −2 m
= @ (1,2) 1
dx x 2 y−2 =− (x − 1)
dy −2 −2 −2
= y ′ = f ′ (x1 ) = m = 2 = = −2 1
dx x 1 y − 2 = (x − 1)
−2 2
Since y ′ = 2 , then m = −2
x 2(y − 2) = x − 1
2y − 4 = x − 1
x − 2y + 3 = 0

Evaluation 3.2: Find the acute angle between the given curves.

1. y 2 = 2x and 4x 2 + 4y 2 + 5y = 0
y2
Let x = be in the equation 4x 2 + 4y 2 + 5y = 0,
2
2 2
4x + 4y + 5y = 0
2
y2
4 ( ) + 4y 2 + 5y = 0
2
y + 4y 2 + 5y = 0
4

(y)(y + 1)(y 2 − y + 5) = 0
y = 0 and y = −1
Let y = 0 be in the equation y 2 = 2x, Let y= −1 be in the equation y 2 = 2x,
y 2 = 2x y 2 = 2x
2 (−1)2 = 2x
0 = 2x
0 = 2x 1 = 2x
0 1
x= x=
2 2
x=0
1
By substitution, we get x = 0 & and y = 0 & − 1, respectively. Hence the points of intersection are p0 =
2
1
(x0, y0 ) = (0,0) & ( , −1).
2

Differentiating the first equation, y 2 = 2x, we get


d 2
(y = 2x)
dx
dy
2y =2
dx
dy 2
=
dx 2y
dy 1
= = m1
dx y
Similarly, differentiating the second equation, 4x 2 + 4y 2 + 5y = 0, we get
d
(4x 2 + 4y 2 + 5y = 0)
dx
dy dy
8x + 8y + 5 =0
dx dx
dy dy
8y + 5 = −8x
dx dx
dy
(8y + 5) = −8x
dx
dy −8x
= = m2
dx 8y + 5
Therefore at the point (0,0), we have 1
Therefore at the point ( , −1), we have
1 1 2
m1 = = = undefined 1 1
y 0 m1 = = = −1
−8x −8(0) 0 y −1
m2 = = = =0 1
−8x −8 ( )
8y + 5 8(0) + 5 5
m2 = =− 2 = −4 = 4
8y + 5 8(−1) + 5 −3 3

Then by E(3.3), we obtain


m2 − m1
tan∅ = | |
1 + m2 m1
4
− (−1)
tan∅ = | 3 |
4
1+( ) (−1)
3
7
tan∅ = | 3 |
1

3
tan∅ = |−7|
tan∅ = 7

Hence,
∅ = arctan 7 or 81.87°

2. x 2 + y 2 = 5 and y 2 = 4x + 8
Solving the given equation simultaneously, we get x = −1 and y = ±2. Hence the points of intersection are
p0 = (x0, y0 ) = (−1, ±2),
y 2 = −x 2 + 5 and y 2 = 4x + 8
y2 = y2
−x 2 + 5 = 4x + 8
x 2 + 4x + 3 = 0
(x + 1)(x + 3) = 0
x = −1 and x = −3
Let x = −1 be in the equation y 2 = 4x + 8, Let x = −3 be in the equation y 2 = 4x + 8,
2
y = 4x + 8 y 2 = 4x + 8
y 2 = 4(−1) + 8 y 2 = 4(−3) + 8
2
y = −4 + 8 y 2 = −12 + 8
y = √4 y = √−4
y = ±2 y = ±2i
Differentiating the first equation, x 2 + y 2 = 5, we get
d 2
(x + y 2 = 5)
dx
dy
2x + 2y = 0
dx
dy
2y = −2x
dx
dy 2x
=−
dx 2y
dy x
= − = m1
dx y

Similarly, differentiating the second equation, y 2 = 4x + 8, we get


d 2
(y = 4x + 8)
dx
dy
2y =4
dx
dy 4
=
dx 2y
dy 2
= = m2
dx y
Therefore at the point (−1,2), we have Therefore at the point (−1, −2), we have
x −1 1 x −1 1
m1 = − = − = m1 = − = − =−
y 2 2 y −2 2
2 2 1 2 2 1
m2 = = = = 1 m2 = = = − = −1
y 2 1 y −2 1

Then by E(3.3), we obtain Then by E(3.3), we obtain


m2 − m1 m2 − m1
tan∅ = | | tan∅ = | |
1 + m2 m1 1 + m2 m1
1 1
1− −1 − (− )
tan∅ = | 2 | tan∅ = | 2 |
1 1
1 + (1) ( ) 1 + (−1) (− )
2 2
1 1

tan∅ = | 2 | tan∅ = | 2 |
3 3
2 2
1 1
tan∅ = | | tan∅ = |− |
3 3
1 1
tan∅ = tan∅ =
3 3

Hence,
1
∅ = arctan or 18.43°
3
3. x 2 y + 4a2 y = 8a3 and x 2 = 4ay
By substitution, we get x = ±2a and y = a. Hence the points of intersection are p0 = (x0, y0 ) = (±2a, a),
x = ±√4ay
x 2 y + 4a2 y = 8a3
2
(±√4ay) y + 4a2 y = 8a3
4ayy + 4a2 y = 8a3
4ay 2 + 4a2 y − 8a3 = 0
4a(y 2 + ay − 2a2 ) = 0
y 2 + ay − 2a2 = 0
(y + 2a)(y − a) = 0
y = −2a and y = a
Let y = −2a be in the equation x 2 = 4ay, Let y = a be in the equation x 2 = 4ay,
x 2 = 4ay x 2 = 4ay
x = ±√4ay x = ±√4ay
x = ±√4a(−2a) x = ±√4a(a)
x = ±√−8a2 x = ±√4a2
x = ±2ai√2 x = ±2a

Differentiating the first equation, x 2 y + 4a2 y = 8a3 , we get


d 2
(x y + 4a2 y = 8a3 )
dx
d 2 d d
(x y) + (4a2 = 8a3 ) = (8a3 )
dx dx dx
d d 2 d
(x ) ( y) + (y) ( x ) + 4a2 [ (y)] = 0
2
dx dx dx
dy dy
(x 2 ) ( ) + (y)(2x) + 4a2 ( ) = 0
dx dx
dy dy
(x 2 ) ( ) + 4a2 ( ) = −2xy
dx dx
dy
( ) (x 2 + 4a2 ) = 8a3 − 2xy
dx
dy −2xy
= 2 = m1
dx x + 4a2

Similarly, differentiating the second equation, x 2 = 4ay, we get


d 2
(x = 4ay)
dx
dy
2x = 4a
dx
dy 2x
=
dx 4a
dy x
= = m2
dx 2a

Therefore at the point (2a, a), we have Therefore at the point (−2a, a), we have
−2xy −2(2a)(a) −4a2 −2xy −2(−2a)(a) 4a2
m1 = 2 = = m1 = 2 = =
x + 4a2 (2a)2 + 4a2 4a2 + 4a2 x + 4a2 (−2a)2 + 4a2 4a2 + 4a2
−4a2 −1 4a2 1
= = = 2=
8a2 2 8a 2
x 2a x 2a
m2 = = =1 m2 = = = −1
2a 2a 2a −2a
Then by E(3.3), we obtain Then by E(3.3), we obtain
m2 − m1 m2 − m1
tan∅ = | | tan∅ = | |
1 + m2 m1 1 + m2 m1
1 1
1 − (− ) −1 −
tan∅ = | 2 | tan∅ = | 2 |
1 1
1 + (1) (− ) 1 + (−1) ( )
2 2
3 3

tan∅ = | 2 | tan∅ = | 2 |
1 1
2 2
tan∅ = |3| tan∅ = |−3|
tan∅ = 3 tan∅ = 3

Hence,
∅ = arctan 3 or 71.57°

4. 2y 2 = 9x and 3x 2 = −4y
Solving the given equation simultaneously, we get x = 2 and y = −3. Hence the point of intersection is
p0 = (x0, y0 ) = (2, −3),
9x 3x2
y2 = and y = −
2 4
y 2 = (y)(y)
2
9x 3x 2
= (− )
2 4
9x 9x 4
=
2 16
16(9x) = 2(9x 4 )
72x = 9x 4
9x 4
1=
72x
x3
1=
8
x3 = 8
x=2
3x 2
y=−
4
3(2)2
y=−
4
3(4)
y=−
4
y = −3

Differentiating the first equation, 2y 2 = 9x, we get


2y 2 = 9x
dy
(2)(2)(y) ( ) = (9)(1)
dx
dy
4y =9
dx
dy 9
= = m1
dx 4y
Similarly, differentiating the second equation, x 2 y = 4, we get
3x 2 = −4y
3x 2
y=−
4
dy d 3x 2 3 d 3 3x
= (− ) = − ( x 2 ) = − (2x) = − = m2
dx dx 4 4 dx 4 2

Therefore at the point (2, −3), we have


9 9 3(3) 3
m1 = = =− =−
4(−3) −12 3(4) 4
3(2) 6
m2 = − = − = −3
2 2
Then by E(3.3), we obtain
m2 − m1
tan∅ = | |
1 + m2 m1
3
−3 − (− )
tan∅ = | 4 |
3
1 + (−3) (− )
4
9

tan∅ = | 4 |
−13
4
9
tan∅ = | |
13
9
tan∅ =
13

Hence,
9
∅ = arctan or 34.70°
13

5. x 2 y + 4y = 8 and x 2 y = 4
Solving the given equation simultaneously, we get x = ±2 and y = 1. Hence the point of intersection is
p0 = (x0, y0 ) = (±2,1),
x 2 y = 8 − 4y and x 2 y = 4
x 2y = x2y
8 − 4y = 4
−4y = 4 − 8
−4y = −4
y=1
x 2y = 4
x 2 (1) = 4
x = √4
x = ±2

Differentiating the first equation, x 2 y + 4y = 8, we get


y(x 2 + 4) = 8
8
y= 2
x +4
d d
(x 2 + 4) ( 8) − (8) ( (x 2 + 4))
dy d 8 dx dx (x 2 + 4)(0) − (8)(2x) −16x
= ( 2 )= = = 2 = m1
dx dx x + 4 (x 2 + 4)2 2
(x + 4) 2 (x + 4)2

Similarly, differentiating the second equation, x 2 y = 4, we get


x 2y = 4
4
y= 2
x
d d
(x 2 ) ( 4) − (4) ( (x 2 ))
dy d 4 dx dx (x 2 )(0) − (4)(2x) −8x
= ( 2) = = = 4 = m2
dx dx x (x 2 )2 x4 x

Therefore at the point (2,1), we have Therefore at the point (−2,1), we have
−16x −16(2) −32 −32 −1 −16x −16(−2) 32 32 1
m1 = 2 2 = 2 2 = 2 = = m1 = 2 2 = 2 2 = 2 = =
(x + 4) (2 + 4) (4 + 4) 64 2 (x + 4) ((−2) + 4) (4 + 4) 64 2
−8x −8(2) −16 −8x −8(−2) 16
m2 = 4 = = = −1 m2 = 4 = = =1
x 24 16 x 24 16

Then by E(3.3), we obtain Then by E(3.3), we obtain


m2 − m1 m2 − m1
tan∅ = | | tan∅ = | |
1 + m2 m1 1 + m2 m1
1 1
−1 − (− ) 1−
tan∅ = | 2 | tan∅ = | 2 |
1 1
1 + (−1) (− ) 1 + (1) ( )
2 2
1 1

tan∅ = | 2 | tan∅ = | 2 |
3 3
2 2
1 1
tan∅ = |− | tan∅ = | |
3 3
1 1
tan∅ = tan∅ =
3 3
Hence,
1
∅ = arctan or 18.43°
3

Evaluation 3.3: Find the interval/s where the function is increasing and where it is decreasing.

1. f(x) = 2x 3 + 3x 2 − 36x
Differentiating the function, we have
d
f ′ (x) = (2x 3 + 3x 2 − 36x)
dx
d d d
f (x) = (2x 3 ) + (3x 2 ) + (−36x)

dx dx dx
d d d
f ′ (x) = 2 [ (x 3 )] + 3 [ (x 2 )] − 36 [ (x)]
dx dx dx
f ′ (x) = 2(3x 2 ) + 3(2x) − 36(1)
f ′ (x) = 6x 2 + 6x − 36
f ′ (x) = 6(x 2 + x − 6)
f ′ (x) = 6(x + 3)(x − 2)
x+3 =0
x = −3
x−2 =0
x=2

The critical numbers of critical values are 2 and -3 since f ′ (x) = 0 at these values. These critical numbers
divide the x-axis into three subintervals, namely I1 , I2 , and I3 .

In the equation 6x 2 + 6x − 36,


I1 = (−∞, −3] I2 = [−3,2] I3 = [2, +∞)
let x = −4, therefore, let x = 0, therefore, let x = 3, therefore,
f ′ (x) = 6x 2 + 6x − 36 f ′ (x) = 6x 2 + 6x − 36 f ′ (x) = 6x 2 + 6x − 36
f ′ (−4) = 6(−4)2 + 6(−4) − 36 f ′ (0) = 6(0)2 + 6(0) − 36 f ′ (3) = 6(3)2 + 6(3) − 36
f ′ (−4) = 6(16) − 24 − 36 f ′ (0) = 6(0) + 0 − 36 f ′ (3) = 6(9) + 18 − 36
f ′ (−4) = 96 − 60 f ′ (0) = 0 − 36 f ′ (3) = 54 − 18
f ′ (−4) = +36 f ′ (0) = −36 f ′ (3) = +36
+ - +

increasing in (−∞, −3] and [2, +∞)


decreasing in [−3,2]

2. f(x) = x 3 − 3x + 3
Differentiating the function, we have
d
f ′ (x) = (x 3 − 3x + 3)
dx
d d d
f ′ (x) = (x 3 ) + (−3x) + (3)
dx dx dx
d
f ′ (x) = 3x 2 − 3 ( x) + 0
dx
f ′ (x) = 3x 2 − 3(1)
f ′ (x) = 3x 2 − 3
f ′ (x) = 3(x 2 − 1)
f ′ (x) = 3(x + 1)(x − 1)
x+1 =0
x = −1
x−1 =0
x=1

The critical numbers of critical values are 1 and -1 since f ′ (x) = 0 at these values. These critical numbers
divide the x-axis into three subintervals, namely I1 , I2 , and I3 .

In the equation 3x 2 − 3,
I1 = (−∞, −1] I2 = [−1,1] I3 = [1, +∞)
let x = −2, therefore, let x = 0, therefore, let x = 2, therefore,
f ′ (x) = 3x 2 − 3 f ′ (x) = 3x 2 − 3 f ′ (x) = 3x 2 − 3
f ′ (−2) = 3(−2)2 − 3 f ′ (0) = 3(0)2 − 3 f ′ (2) = 3(2)2 − 3
f ′ (−2) = 3(4) − 3 f ′ (0) = 3(0) − 3 f ′ (2) = 3(4) − 3
f ′ (−2) = 12 − 3 f ′ (0) = 0 − 3 f ′ (2) = 12 − 3
f ′ (−2) = +9 f ′ (0) = −3 f ′ (2) = +9
+ - +

increasing in (−∞, −1] and [1, +∞)


decreasing in [−1,1]
3. f(x) = (x 2 − 9)2
Differentiating the function, we have
d
f ′ (x) = [(x 2 − 9)2 ]
dx
d
f ′ (x) = (2)(x 2 − 9) [ (x 2 − 9)]
dx
f ′ (x) = (2)(x 2 − 9)(2x)
f ′ (x) = 4x 3 − 36x
f ′ (x) = (2)(2x)(x + 3)(x − 3)
2x = 0
x=0
x+3 =0
x = −3
x−3 =0
x=3

The critical numbers of critical values are 3, 0 and -3 since f ′ (x) = 0 at these values. These critical numbers
divide the x-axis into four subintervals, namely I1 , I2 , I3 and I4 .

In the equation 4x 3 − 36x,


I1 = (−∞, −3] I2 = [−3,0] I3 = [0,3] I4 = [3, +∞)
let x = −4, therefore, let x = −1, therefore, let x = 1, therefore, let x = 4, therefore,
f ′ (x) = 4x 3 − 36x f ′ (x) = 4x 3 − 36x f ′ (x) = 4x 3 − 36x f ′ (x) = 4x 3 − 36x
f ′ (−4) = 4(−4)3 − 36(−4) f ′ (−1) = 4(−1)3 − 36(−1) f ′ (1) = 4(1)3 − 36(1) f ′ (4) = 4(4)3 − 36(4)
f ′ (−4) = 4(−64) + 144 f ′ (−1) = 4(−1) + 36 f ′ (1) = 4(1) − 36 f ′ (4) = 4(64) − 144
f ′ (−4) = −256 + 144 f ′ (−1) = −4 + 36 f ′ (1) = 4 − 36 f ′ (4) = 256 − 144
f ′ (−4) = −112 f ′ (−1) = +32 f ′ (1) = −32 f ′ (4) = +112
- + - +

increasing in [−3,0] and [3, +∞)


decreasing in (−∞, −3] and [0,3]

4. f(x) = 3x 2 − 6x − 9
Differentiating the function, we have
d
f ′ (x) = (3x 2 − 6x − 9)
dx
d d d
f ′ (x) = (3x 2 ) + (−6x) + (−9)
dx dx dx

d 2 d
f (x) = 3 [ (x )] − 6 ( x) + 0
dx dx
f ′ (x) = 3(2x) − 6(1)
f ′ (x) = 6x − 6
f ′ (x) = 6(x − 1)
x−1 =0
x=1

The critical number of critical value is 1 since f ′ (x) = 0 at this value. This critical number divide the x-axis
into two subintervals, namely I1 , and I2 .

In the equation 6x − 6,
I1 = (−∞, 1] I2 = [1, +∞)
let x = 0, therefore, let x = 2, therefore,
f ′ (x) = 6x − 6 f ′ (x) = 6x − 6
f ′ (0) = 6(0) − 6 f ′ (2) = 6(2) − 6
f ′ (0) = 0 − 6 f ′ (2) = 12 − 6
f ′ (0) = −6 f ′ (2) = +6
- +

increasing in [1, +∞)


decreasing in (−∞, 1]

5. f(x) = x 4 − 8x 3 + 22x 2 − 24x + 12


Differentiating the function, we have
d
f ′ (x) = (x 4 − 8x 3 + 22x 2 + 12)
dx
d d d d d
f ′ (x) = (x 4 ) + (−8x 3 ) + (22x 2 ) + (−24x) + (12)
dx dx dx dx dx
d d d
f ′ (x) = 4x 3 − 8 [ (x 3 )] + 22 [ (x 2 )] − 24 ( x) + 0
dx dx dx
f ′ (x) = 4x 3 − 8(3x 2 ) + 22(2x) − 24(1)
f ′ (x) = 4x 3 − 24x 2 + 44x − 24
f ′ (x) = 4(x 3 − 6x 2 + 11x − 6)
f ′ (x) = 4(x − 1)(x − 2)(x − 3)
x−1 =0
x=1
x−2 =0
x=2
x−3 =0
x=3

The critical numbers of critical values are 3, 2, and 1 since f ′ (x) = 0 at these values. These critical numbers
divide the x-axis into four subintervals, namely I1 , I2 , and I3 .

In the equation 4x 3 − 24x 2 + 44x − 24,


I1 = (−∞, 1] I2 = [1,2]
3
let x = 0, therefore, let x = 2, therefore,
f ′ (x) = 4x 3 − 24x 2 + 44x − 24 f ′ (x) = 4x 3 − 24x 2 + 44x − 24
f ′ (0) = 4(0)3 − 24(0)2 + 44(0) − 24
3 3 3 3 2 3
f ′ (0) = 4(0) − 24(0) + 0 − 24 f ′ ( ) = 4 ( ) − 24 ( ) + 44 ( ) − 24
f ′ (0) = 0 − 0 − 24 2 2 2 2
3 27 9
f ′ (0) = −24 f ′ ( ) = 4 ( ) − 24 ( ) + 66 − 24
2 8 4

3 27
f ( )= − 54 + 42
2 2
3 3
f′ ( ) = +
2 2
- +

I3 = [2,3] I4 = [3, +∞)


5 let x = 4, therefore,
let x = 2, therefore,
f ′ (x) = 4x 3 − 24x 2 + 44x − 24
f ′ (x) = 4x 3 − 24x 2 + 44x − 24
f ′ (4) = 4(4)3 − 24(4)2 + 44(4) − 24
5 5 3 5 2 5
f ′ ( ) = 4 ( ) − 24 ( ) + 44 ( ) − 24 f ′ (4) = 4(64) − 24(16) + 176 − 24
2 2 2 2 f ′ (4) = 256 − 384 + 152
5 125 25 f ′ (4) = +24
f′ ( ) = 4 ( ) − 24 ( ) + 110 − 24
2 8 4
5 125
f′ ( ) = − 150 + 86
2 2
5 3
f′ ( ) = −
2 2 +
-

increasing in [1,2] and [3, +∞)


decreasing in (−∞, 1] and [2,3]

Evaluation 3.4: Find the value of x for which the given function has a maximum or a minimum value.
1. y = 8x 3 – 9x 2 + 1
Differentiating the given function,
d
y ′ = (8x 3 – 9x 2 + 1)
dx
y ′ = 24x 2 − 18x
y ′ = (6x)(4x − 3)

Setting y ′ = 0,
y ′ = (6x)(4x − 3)
0 = (6x)(4x − 3)
6x = 0
x=0
4x − 3 = 0
4x = 3
3
x=
4

x=0
x<0 x>0
y ′ = (−)(−) = (+) or y ′ > 0 y ′ = (+)(−) = (−) or y ′ < 0
Hence by (1) of FDT, y is a maximum at x = 0.

3
x=
4
3 3
x< x>
4 4
y ′ = (+)(−) = (−) or y ′ < 0 y ′ = (+)(+) = (+) or y ′ > 0
3
Hence by (2) of FDT, y is a minimum at x = .
4
2. y = x 3 − 4x 2 + 4x
Differentiating the given function,
d
y ′ = (x 3 − 4x 2 + 4x)
dx
y ′ = 3x 2 − 8x + 4
y ′ = (3x − 2)(x − 2)

Setting y ′ = 0,
y ′ = (3x − 2)(x − 2)
0 = (3x − 2)(x − 2)
3x − 2 = 0
3x = 2
2
x=
3
x−2 =0
x=2

2
x=
3
2 2
x< x>
3 3
y ′ = (−)(−) = (+) or y ′ > 0 y ′ = (+)(−) = (−) or y ′ < 0
2
Hence by (1) of FDT, y is a maximum at x =
3

x=2
x<2 x>2
y ′ = (+)(−) = (−) or y ′ < 0 y ′ = (+)(+) = (+) or y ′ > 0
Hence by (2) of FDT, y is a minimum at x = 2.

3. y = 9x −1 + x
Differentiating the given function,
d
y ′ = (9x −1 + x)
dx
y ′ = −9x −2 + 1
9
y′ = 1 − 2
x
2−9
x
y′ =
x2
(x + 3)(x − 3)
y′ =
x2

Setting y ′ = 0,
(x + 3)(x − 3)
y′ =
x2
(x + 3)(x − 3)
0=
x2
0 = (x + 3)(x − 3)
x+3 =0
x = −3
x−3 =0
x=3
x = −3
x < −3 x > −3
(−)(−) (+) (+)(−) (−)
y′ = (+)
= = (+) or y ′ > 0 y′ = (+)
= = (−) or y ′ < 0
(+) (+)
Hence by (1) of FDT, y is a maximum at x = −3

x=3
x<3 x>3
(+)(−) (−) (+)(+) (+)
y′ = (+)
= = (−) or y′ <0 y′ = (+)
= = (+) or y ′ > 0
(+) (+)
Hence by (2) of FDT, y is a minimum at x = 3.

4. y = x 3 − 3x 2 + 3x
Differentiating the given function,
d
y ′ = (x 3 − 3x 2 + 3x)
dx
y ′ = 3x 2 − 6x + 3
y ′ = (3)(x 2 − 2x + 1)
y ′ = (3)(x − 1)(x − 1)

Setting y ′ = 0,
y ′ = (3)(x − 1)(x − 1)
0 = (3)(x − 1)(x − 1)
x−1 =0
x=1

x=1
x<1 x>1
y ′ = (−)(−) = (+) or y ′ > 0 y ′ = (+)(+) = (+) or y ′ > 0
Since neither by (1) nor (2) of FDT is satisfied, hence, there is no maximum and no minimum.

5. y = x 4
Differentiating the given function,
d
y ′ = (x 4 )
dx
y ′ = 4x 3

Setting y ′ = 0,
y ′ = 4x 3
0 = 4x 3
x3 = 0
(x)(x)(x) = 0
x=0

x=0
x<0 x>0
y ′ = (−)(−)(−) = (−) or y ′ < 0 y ′ = (+)(+)(+) = (+) or y ′ > 0
Hence by (2) of FDT, y is a minimum at x = 0
Evaluation 3.5:

Find the value/s of x for which the curve of the given function has a point of inflection.

1. y = (x − 1)4 (x − 6)
y ′ = (x − 1)4 (1) + (x − 6)(4)(x − 1)3 (1) = (x − 1)4 + (4x − 24)(x − 1)3 = (x − 1)3 (x − 1 + 4x − 24)
= (x − 1)3 (5x − 25) = (5)(x − 5)(x − 1)3
y ′′ = (5)[(x − 5)(3)(x − 1)2 (1) + (x − 1)3 (1)] = (5)[(3x − 15)(x − 1)2 + (x − 1)3 ]
= (5)(x − 1)2 (3x − 15 + x − 1) = (5)(x − 1)2 (4x − 16) = (20)(x − 1)2 (x − 4)

Setting y ′′ = 0,
y ′′ = (20)(x − 1)2 (x − 4)
y ′′ = (20)(x − 1)(x − 1)(x − 4)
0 = (20)(x − 1)(x − 1)(x − 4)
x−1 =0
x=1
x−4 =0
x=4

(a) By statement (1)


For x = 1: when x < 1, y ′′ = (−)(−)(−) = (−) or y ′′ < 0
when x > 1, y ′′ = (+)(+)(−) = (−) or y ′′ < 0
For x = 4: when x < 4, y ′′ = (+)(+)(−) = (−) or y ′′ < 0
when x > 4, y ′′ = (+)(+)(+) = (+) or y ′′ > 0
Since the sign of y’’ changes for x = 4, then the curve of the function has point of inflection at x =
4.

(b) By statement (2)


Differentiating further y’’, we get
y ′′′ = (20)[(2)(x − 1)(1)(x − 4) + (x − 1)2 (1)] = (20)[(x − 1)(2x − 8) + (x − 1)2 ]
= (20)(x − 1)(2x − 8 + x − 1) = (20)(x − 1)(3x − 9) = (60)(x − 1)(x − 3)
When x = 1, y ′′′ = (60)(1 − 1)(1 − 3) = (60)(0)(−2) = 0
When x = 4, y ′′′ = (60)(4 − 1)(4 − 3) = (60)(3)(1) = 180 ≠ 0
Since y ′′′ ≠ 0, then the curve of the function has point of inflection at x = 4.

The curve of the function has point of inflection at x = 4.

2. y = 2x 3 – 3x 2 − 36x + 25
y ′ = 6x 2 – 6x − 36 = (6)(x 2 – x − 6)
y ′′ = 12x − 6 = (6)(2x − 1)

Setting y ′′ = 0,
y ′′ = (6)(2x − 1)
0 = (6)(2x − 1)
2x − 1 = 0
2x = 1
1
x=
2
(a) By statement (1)
1 1
For x = : when x < , y ′′ = (−) or y ′′ < 0
2 2
1
when x > , y ′′ = (+) or y ′′ > 0
2
1
Since the sign of y’’ changes, then the curve of the function has point of inflection at x = .
2

(b) By statement (2)


Differentiating further y’’, we get
y ′′′ = 12
1
When x = , y ′′′ = 12 ≠ 0
2
1
Since y ′′′ ≠ 0, then the curve of the function has point of inflection at x = .
2

1
The curve of the function has point of inflection at x = .
2

Find the maximum, minimum or inflection point of each of the given curves. Sketch the graph.

3. y = x 3 − 3x 2 + 4
Differentiating the given function,
y ′ = 3x 2 − 6x = (3x)(x − 2)
y ′′ = 6x − 6 = (6)(x − 1)

Setting y ′ = 0,
y ′ = (3x)(x − 2)
0 = (3x)(x − 2)
x = 0 and x = 2

For the points:


If x = 0, If x = 2,
y = x 3 − 3x 2 + 4 y = x 3 − 3x 2 + 4
f(0) = 03 − 3(02 ) + 4 f(2) = 23 − 3(22 ) + 4
f(0) = 0 − 0 + 4 f(2) = 8 − 12 + 4
f(0) = 4 f(2) = 0
(0,4) (2,0)

Using the First Derivative Test (FDT),


(0,4)
x<0 x>0
y ′ = (−)(−) = (+) or y ′ > 0 y ′ = (+)(−) = (−) or y ′ < 0
Since the slope changes from (+) to (-), therefore, (0,4) is a maximum point.

(2,0)
x<2 x>2
y ′ = (+)(−) = (−) or y ′ < 0 y ′ = (+)(+) = (+) or y ′ > 0
Since the slope changes from (-) to (+), therefore, (2,0) is a minimum point.

Setting y ′′ = 0,
y ′′ = (6)(x − 1)
0 = (6)(x − 1)
x−1 =0
x=1
For the point:
If x = 1,
y = x 3 − 3x 2 + 4
f(1) = 13 − 3(12 ) + 4
f(1) = 1 − 3 + 4
f(1) = 2
(1,2)

(a) By statement (1)


For x = 1: when x < 1, y ′′ = (−) or y ′′ < 0
when x > 1, y ′′ = (+) or y ′′ > 0
Since the sign of y’’ changes, then the curve of the function has point of inflection at (1,2).

(b) By statement (2)


Differentiating further y’’, we get
y ′′′ = 6
When x = 1, y ′′′ = 6 ≠ 0
Since y ′′′ ≠ 0, then the curve of the function has point of inflection at (1,2).

minimum point: (2,0)


maximum point: (0,4)
point of inflection: (1,2)

4. y = 5x − x 5
Differentiating the given function,
y ′ = 5 − 5x 4 = (5)(1 − x 4 )
y ′′ = −20x 3

Setting y ′ = 0,
y ′ = (5)(1 − x 4 )
0 = (5)(1 − x 4 )
1 − x4 = 0
x4 = 1
x = ±1

For the points:


If x = −1, If x = 1,
y = 5x − x 5 y = 5x − x 5
f(−1) = 5(−1) − (−15 ) f(1) = 5(1) − (15 )
f(−1) = −5 + 1 f(1) = 5 − 1
f(−1) = −4 f(1) = 4
(−1, −4) (1,4)

Using the First Derivative Test (FDT),


(−1, −4)
x < −1 x > −1
y ′ = (−) or y ′ < 0 y ′ = (+) or y ′ > 0
Since the slope changes from (-) to (+), therefore, (−1, −4) is a minimum point.

(1,4)
x<1 x>1
y ′ = (+) or y ′ > 0 y ′ = (−) or y ′ < 0
Since the slope changes from (+) to (-), therefore, (1,4) is a maximum point.

Setting y ′′ = 0,
y ′′ = −20x 3
0 = −20x 3
x3 = 0
x=0

For the point:


If x = 0,
y = 5x − x 5
f(0) = 5(0) − (05 )
f(0) = 0 − 0
f(0) = 0
(0,0)

Using the First Derivative Test (FDT),


(0,0)
x<0 x>0
y ′ = (+)(+) = (+) or y ′ > 0 y ′ = (+)(+) = (+) or y ′ > 0
Since there is no change in slope from (+) to (+), therefore, (0,0) is an inflection point.

Using the Second Derivative Test (SDT),


(0,0)
x<1 x>1
y ′ = (−)(−) = (+) or y ′ > 0 y ′ = (−)(+) = (−) or y ′ < 0
Since the slope changes from (+) to (-), therefore, (0,0) is an inflection point.

minimum point: (−1, −4)


maximum point: (1,4)
point of inflection: (0,0)
6x
5. y =
x2 +3
Differentiating the given function,
−6x 2 + 18 (−6)(x 2 − 3) (−6)(x 2 − 3)
y′ = = =
(x 2 + 3)2 (x 2 + 3)2 (x 2 + 3)(x 2 + 3)
3 2
12x − 108x (12x)(x − 9) (12x)(x + 3)(x − 3) (12x)(x + 3)(x − 3)
y ′′ = 2 3 = 2 3 = 2 3 = 2
(x + 3) (x + 3) (x + 3) (x + 3)(x 2 + 3)(x 2 + 3)

Setting y ′ = 0,
(−6)(x 2 − 3)
y′ =
(x 2 + 3)2
(−6)(x 2 − 3)
0=
(x 2 + 3)2
0 = (−6)(x 2 − 3)
x2 − 3 = 0
x2 = 3
x = ±√3

For the points:


If x = −√3, If x = √3,
6x 6x
y= 2 y= 2
x +3 x +3
(6)(−√3) (6)(√3)
f(−√3) = 2 f(√3) = 2
(−√3) + 3 (√3) + 3
−6√3 6√3
f(−√3) = f(√3) =
6 6
f(−√3) = −√3 f(√3) = √3
(−√3, −√3) (√3, √3)
Using the First Derivative Test (FDT),
(−√3, −√3)
x < −√3 x > −√3
(−)(+) (−) (−)(−) (+)
y′ = (+)(+)
= (+) = (−) or y ′ < 0 y′ = (+)(+)
= (+) = (+) or y ′ > 0
Since the slope changes from (-) to (+), therefore, (−√3, −√3) is a minimum point.

(√3, √3)
x<2 x>2
(−)(−) (+) (−)(+) (−)
y′ = (+)(+)
= = (+) or y ′ > 0
(+)
y′ = (+)(+)
= = (−) or y ′ < 0
(+)
Since the slope changes from (+) to (-), therefore, (√3, √3) is a maximum point.

Setting y ′′ = 0,
(12x)(x + 3)(x − 3)
y ′′ = 2
(x + 3)(x 2 + 3)(x 2 + 3)
(12x)(x + 3)(x − 3)
0= 2
(x + 3)(x 2 + 3)(x 2 + 3)
(12x)(x + 3)(x − 3) = 0
x = 0, x = −3, and x = 3

For the point:


If x = 0, If x = −3, If x = 3,
6x 6x 6x
y= 2 y= 2 y= 2
x +3 x +3 x +3
(6)(0) (6)(−3) (6)(3)
f(0) = 2 f(−3) = f(3) =
0 +3 (−3)2 + 3 (3)2 + 3
0 −18 18
f(0) = f(−3) = f(3) =
3 12 12
f(0) = 0 3 3
(0,0) f(−3) = − f(3) =
2 2
3 3
(−3, − ) (3, )
2 2

(a) By statement (1)


For x = 0: (−)(+)(−) (+)
when x < 0, y ′′ = (+)(+)(+) = (+) = (+) or y ′′ > 0
(+)(+)(−) (−)
when x > 0, y ′′ = (+)(+)(+) = (+) = (−) or y ′′ < 0
For x = −3: (−)(−)(−) (−)
when x < −3, y ′′ = (+)(+)(+) = (+) = (−) or y ′′ < 0
(−)(+)(−) (+)
when x > −3, y ′′ = (+)(+)(+) = (+) = (+) or y ′′ > 0
For x = 3: (+)(+)(−) (−)
when x < 3, y ′′ = (+)(+)(+) = (+) = (−) or y ′′ < 0
(+)(+)(+) (+)
when x > 3, y ′′ = (+)(+)(+) = (+) = (+) or y ′′ > 0
Since the sign of y’’ changes, then the curve of the function has points of inflection at
3 3
(0,0), (−3, − ), and (3, ).
2 2

(b) By statement (2)


Differentiating further y’’, we get
−36x 4 + 648x 2 − 324 (−36)(x 4 − 18x 2 + 9)
y ′′′ = =
(x 2 + 3)4 (x 2 + 3)4
′′′
When x = 0, y = −4 ≠ 0
1
When x = −3, y ′′′ = ≠ 0
8
1
When x = 3, y ′′′ = ≠0
8
3
Since y ′′′ ≠ 0, then the curve of the function has points of inflection at (0,0), (−3, − ), and
2
3
(3, ).
2

minimum point: (−√3, −√3)


maximum point: (√3, √3)
3 3
point of inflection: (0,0), (−3, − ), and (3, )
2 2

Evaluation 3.6:
3. Find the volume of the largest right circular cylinder that can be cut from a circular cone of radius 6 cm and
height 9 cm.
Let h = height of the right circular cylinder
r = radius of the right circular cylinder
V = maximum volume of the right circular cylinder that can be inscribed in the circular cone
Ratio’s of the same triangles,
9 9−h h
= =
6 r 6−r
3 9−h
=
2 r
3r = 18 − 2h
2h = 18 − 3r
18 − 3r
h=
2
or
3r
h=9−
2

The volume of the largest right circular cylinder is V = πr 2 h. Substituting h,


V = πr 2 h
18 − 3r
V = πr 2 ( )
2
18πr 2 − 3πr 3
V=
2
3πr 2 (6 − r)
V=
2

Differentiating the calculated formula with respect to r, thus,


d 18πr 2 − 3πr 3
(V = )
dr 2
dV (2)(36πr − 9πr 2 ) − (18πr 2 − 3πr 3 )(0)
=
dr 22
2
dV 36πr − 9πr
=
dr 2
dV 9πr(4 − r)
=
dr 2

dV
Setting = 0,
dr
9πr(4 − r)
0=
2
9πr(4 − r) = 0
4−r=0
r = 4 cm

Substituting the value of r in order to get the value of h,


18 − 3(4)
h=
2
18 − 12
h=
2
h = 3 cm

Substituting the values of r and h in order to get the value of V,


V = π42 (3)
V = π(16)(3)
V = 48π cm3
5. Find the dimensions of the largest rectangle that can be inscribed in the ellipse 9x 2 + 16y 2 = 144. The
sides of the rectangle are parallel to the axes of the ellipse.

9x 2 16y 2
+ =1
144 144
x2 y2
+ =1
16 9
(x−h)2 (y−k)2
The equation of an ellipse is 2 + 2 = 1, thus the values of a and b are
a b
a2 = 16 b2 = 9
a = √16 b = √9
a = ±4 b = ±3
Distance from the center to Distance from the center to
the right/left point(s), the up/down point(s),
x=4 y=3
respectively and the center of the ellipse is
x 2 = (x − h)2 y 2 = (y − k)2
2 2 2
x = x − 2xh − h y 2 = y 2 − 2yk − k 2
0 = −2xh − h2 0 = −2yk − k 2
0 = h(−2x − h) 0 = k(−2y − k)
0 0
h= y=
−2x − h −2y − k
h=0 k=0
center of the ellipse = (h, k) = (0,0)

Let x = distance from the center to the right/left point(s)


y = distance from the center to the up/down point(s)
A = area of the largest rectangle that can be inscribed in the ellipse

The area of the largest rectangle that can be inscribed in the ellipse is
A = lw
A = (2x)(2y)
A = 4xy

Differentiating the equation of the area of the rectangle with respect to x, thus,
d
(A = 4xy)
dx
dA dy
= 4x + 4y
dx dx
dA
Setting = 0,
dx
dy
0 = 4x + 4y
dx
dy
4x = −4y
dx
dy y
=−
dx x

Differentiating the equation of the ellipse with respect to x, thus,


d
(9x 2 + 16y 2 = 144)
dx
dy
18x + 32y =0
dx
dy
32y = −18x
dx
dy 18x
=−
dx 32y
dy 9x
=−
dx 16y

dy dy
=
dx dx
9x y
− =−
16y x
−9x 2 = −16y 2
−16y 2
x2 =
−9
16y 2
x=√
9
4y
x=
3

Substituting the value of x in order to get the value of y,


4y 2
9 ( ) + 16y 2 = 144
3
16y 2
9( ) + 16y 2 = 144
9
16y 2 + 16y 2 = 144
32y 2 = 144
144
y2 = √
32

9
y=√
2
3√2
y=
2
Substituting the value of y in order to get the value of x,
3√2
4( )
2
x=
3
2(3√2)
x=
3
x = 2√2

Substituting the values of x and y in order to get the values of l and w respectively,
l = 2x w = 2y
l = 2(2√2) 3√2
w = 2( )
l = 4√2 units 2
w = 3√2 units
Dimensions: 4√2 units by 2√2 units

7. A trapezoidal gutter is to be made from a sheet of tin 22 cm wide by bending up the edges. If the base is 14
cm wide, what width across the top gives the greatest carrying capacity?
Let b1 = width across the top
Atriangle = area of the triangle
Arectangle = area of the rectangle
A = area of the trapezoid

The area of a trapezoid is expressed in the equation by adding the areas of the 2 triangle and 1 rectangle,
bh (4 cos θ)(4 sin θ)
Atriangle = = = 8 cos θ sin θ
2 2
Arectangle = lw = (14)(4 sin θ) = 56 sin θ
A = 2Atriangle + Arectangle
A = 2(8 cos θ sin θ) + (56 sin θ)
A = 16 cos θ sin θ + 56 sin θ

Differentiating in terms of θ,
d
(A = 16 cos θ sin θ + 56 sin θ)

dA
= (16)[(cos θ)(cos θ) + (sin θ)(− sin θ)] + 56 cos θ

dA
= (16)(cos 2 θ − sin2 θ) + 56 cos θ

dA
= (16)[cos 2 θ − (1 − cos 2 θ)] + 56 cos θ

dA
= (16)(cos 2 θ − 1 + cos 2 θ) + 56 cos θ

dA
= (16)(2 cos 2 θ − 1) + 56 cos θ

dA
= 32 cos 2 θ + 56 cos θ − 16

dA
= (8)(4 cos 2 θ + 7 cos θ − 2)

dA
= (8)(4 cos θ − 1)

dA
Setting = 0,

0 = (8)(4 cos θ − 1)
0 = 4 cos θ − 1
4 cos θ = 1
1
cos θ =
4

Width across the top is expressed in the equation


b1 = 4 cos θ + 14 + 4 cos θ
b1 = 8 cos θ + 14

1
Substituting cos θ = in the equation for b1
4
b1 = 8 cos θ + 14
1
b1 = 8 ( ) + 14
4
b1 = 2 + 14
b1 = 16 cm

9. A building with a rectangular base is to be constructed on a lot in the form of a right tringle with legs 18 m
and 24 m. If the building has one side along the hypotenuse of the triangle, find the dimensions of the base
of the building for maximum floor area.
Let l = length of the rectangle along the hypotenuse of the triangle
w = width of the rectangle perpendicular the hypotenuse of the triangle
h = hypotenuse of the right triangle
x = a fraction of the total length of the hypotenuse of the rectangle
A = area of the rectangle
Since the two sides are given, we can find the length of the hypotenuse,
h2 = 182 + 242
h2 = 324 + 576
h2 = 900
h = ±30
h = 30

Ratio’s of the same triangles,


18 x w
= =
24 w 30 − l − x
18 x 18 w
= =
24 w 24 30 − l − x
3 x 3 w
= =
4 w 4 30 − l − x
3 90 − 3l − 3x = 4w
x= w
4 3x = 90 − 3l − 4w
90 − 3l − 4w
x=
3
x=x
3w 90 − 3l − 4w
=
4 3
9w = 360 − 12l − 16w
12l = 360 − 25w
360 − 25w
l=
12

Area of a rectangle and substituting the w,


A = lw
360 − 25w
A=( ) (w)
12
360w − 25w 2
A=
12

Differentiating in terms of l,
d 360w − 25w 2
(A = )
dl 12
dA 5
= ( ) (72w − 5w 2 )
dl 12
dA 5
= ( ) (72 − 10w)
dl 12
dA 10
= ( ) (36 − 5w)
dl 12
dA
Setting = 0,
dl
10
0 = ( ) (36 − 5w)
12
0 = 36 − 5w
5w = 36
36
w=
5
or
w = 7.2 m

Substituting the value of w in the equation of l,


36
360 − 25 ( )
l= 5
12
360 − 5(36)
l=
12
(12)(30 − 15)
l=
12
l = 30 − 15
l = 15 m

Dimensions: 15 m by 7.2 m

11. A room of floor area 18 m2 is divided into six cubicles of equal floor area by erecting two wooden partitions
2 m high parallel to one wall and another partition 2 m high parallel to another wall. Find the dimensions of
the room if the least amount of wood used.
Let l = length of the room
w = width of the room
x = length of the cubicle
y = width of the cubicle
A = area of the room
P = total length used wood as partitions

Length of the room parallel to the length of the cubicle,


l = 2x

Width of the room parallel to the width of the cubicle,


w = 3y

The area of the room is in rectangular shape,


A = lw
18 = (2x)(3y)
18 = 6xy
3
x=
y
Total length of wood partition used and substituting x,
P = (2)(2x) + 3y
P = 4x + 3y
3
P = (4) ( ) + 3y
y
12
P= + 3y
y
12 + 3y 2
P=
y

Differentiating with respect to y,


d 12 + 3y 2
(P = )
dy y
dP (y)(6y) − (12 + 3y 2 )(1)
=
dy y2
dP 6y 2 − 12 − 3y 2
=
dy y2
2
dP 3y − 12
=
dy y2

dP
Setting = 0,
dy
3y 2 − 12
0=
y2
0= 3y 2
− 12
2
3y = 12
y2 = 4
y = ±2
y=2

Substituting the value of y,


3
x=
y
3
x=
2

Substituting the values of x and y in order to get the values of l and w respectively,
l = 2x w = 3y
3 w = 3(2)
l = 2( )
2 w=6m
l = 3m
Dimensions: 6 m by 3m
13. A right circular cone of radius R and altitude H is circumscribed about a sphere of radius r. Find the relation
between H and r if the volume of the cone is to be a minimum.
Let H = height of the right circular cone
R = radius of the right circular cone
r = radius of the sphere
V = volume of the right circular cone

The volume of the right circular cone


1
V = πR2 H
3

Ratio of triangles,
r R
=
H − r √H 2 + R2
r√H 2 + R2 = (R)(H − r)
(r 2 )(H 2 + R2 ) = (R2 )(H 2 − 2Hr + r 2 )
H 2 r 2 + R2 r 2 = R2 H 2 − 2R2 Hr + R2 r 2
H 2 r 2 + R2 r 2 − R2 r 2 = R2 H 2 − 2R2 Hr
H 2 r 2 = R2 H 2 − 2R2 Hr
H 2 r 2 = (R2 H)(H − 2r)
H2r2
R2 H =
H − 2r

Substituting H,
1
V = πR2 H
3
1 H2r2
V = ( π) ( )
3 H − 2r
1
1 H2r2 H 2
V = ( π) ( )( )
3 H − 2r 1
H2
1 r2
V = ( π) ( )
3 H − 2r
H2

Let,
H − 2r
a=
H2
Differentiating a with respect to H, thus,
d H − 2r
[a = ]
dH H2
da (H 2 )(1 − 0) − (H − 2r)(2H)
=
dH H4
2 2
da H − 2H + 4Hr
=
dH H4
2
da −H + 4Hr
=
dH H4
da −H + 4r
=
dH H3

da
Setting = 0,
dr
−H + 4r
0=
H3
0 = −H + 4r
H = 4r

15. An oil can with a given volume is made in the shape of a cylinder surmounted by a cone. If the radius r of
the cone is equal to 3/4 of its altitude h, find the relation between h and the height H of the cylinder for
minimum surface area of the can.
Let h = height of the cone
r = radius of the cylinder and/or the cone
l = slant height of the cylinder
H = height of the cylinder
SAcan = surface area of the can
SAcone = surface area of the cone
SAcylinder = surface area of the cylinder
Slant height of the cone,
l2 = r 2 + h2
3 2
l = ( h) + h2
2
4
9
l2 = h2 + h2
16
25 2
l2 = h
16
25
l = √ h2
16
5
l= h
4

Surface area of the cone exposed,


SAcone = πrl
3 5
SAcone = (π) ( h) ( h)
4 4
15 2
SAcone = πh
16

Surface area of the cylinder exposed,


SAcylinder = πr 2 + 2πrh
3 2 3
SAcylinder = (π) ( h) + (2π) ( h) (H)
4 4
9 2 3
SAcylinder = (π) ( h ) + (2π) ( hH)
16 4
9 3
SAcylinder = πh2 + πhH
16 2

Surface area of the can,


SAcan = SAcone + SAcylinder
15 2 9 3
SAcan = πh + πh2 + πhH
16 16 2
24 2 3
SAcan = πh + πhH
16 2
3 2 3
SAcan = πh + πhH
2 2
3
SAcan = ( ) (π)(h2 + hH)
2
3
SAcan = ( ) (π)(h)(h + H)
2

3
SAcan = ( ) (π)[(1)(h + H) + (h)(1)]
2
Differentiating with respect to h,
d 3
[SAcan = ( ) (π)(h2 + hH)]
dh 2
dSAcan 3
= ( ) (π)(2h + H)
dh 2
3
0 = ( ) (π)(2h + H)
2
0 = 2h + H

Differentiating with respect to H,


d 3
[SAcan = ( ) (π)(h)]
dh 2
dSAcan 3
= ( ) (π)(h)
dh 2
3
0 = ( ) (π)(h)
2
0=h

0=0
2h + H = h
2h − h = H
h=H

17. A rectangle is inscribed in the ellipse b2 x 2 + a2 y 2 = a2 b2 with each of its sides parallel to an axis of the
ellipse. Find the greatest perimeter which the rectangle can have.
b2 x 2 + a2 y 2 = a2 b2
b2 x 2 a2 y 2
+ =1
a2 b 2 a 2 b 2
2 2
x y
2 + 2=1
a b

(x−h)2 (y−k)2
The equation of an ellipse is + = 1, thus the values of a and b are
a2 b2
2 2 2 2
a =a b =b
a = √a 2 b = √b 2
a = ±a b = ±b
Distance from the center to Distance from the center to
the right/left point(s), the up/down point(s),
x=a y=b
respectively and the center of the ellipse is
x 2 = (x − h)2 y 2 = (y − k)2
2 2 2
x = x − 2xh − h y 2 = y 2 − 2yk − k 2
2
0 = −2xh − h 0 = −2yk − k 2
0 = h(−2x − h) 0 = k(−2y − k)
0 0
h= y=
−2x − h −2y − k
h=0 k=0
center of the ellipse = (h, k) = (0,0)
Let x = distance from the center to the right/left point(s)
y = distance from the center to the up/down point(s)
A = area of the largest rectangle that can be inscribed in the ellipse

b2 x 2 + a2 y 2 = a2 b2
b2 x 2 = a2 b2 − a2 y 2
a2 b2 − a2 y 2
x2 =
b2
a 2 b 2 − a2 y 2
x=√
b2
a√b 2 − y 2
x=
b

Perimeter of the rectangle,


P = 2l + 2w
P = 2(2x) + 2(2y)
P = 4(x + y)
a√b 2 − y 2
P = 4( + y)
b

Differentiating the equation of the perimeter of the rectangle with respect to y, thus,
d a√b 2 − y 2
[P = 4 ( + y)]
dy b
dP a 1
= 4 [( ) ( ) (−2y) + 1]
dy b 2√b 2 − y 2
dP ay
= 4 (1 − )
dy b√b 2 − y 2
ay
0 = 4 (1 − )
b√b 2 − y 2
ay
0=1−
b√b 2 − y 2
ay
=1
b√b 2 − y 2
√b 2 − y 2 a
=
y b
b2 − y 2 a2
= 2
y2 b
2
b a2
− 1 =
y2 b2
2 2
b a
2 = 2+1
y b
b2 a2 + b2
=
y2 b2
b4
y2 = 2
a + b2
b2
y=
√a2 + b 2

a√b 2 − y 2
P = 4( + y)
b
2
b2
a√b 2 − ( 2 )
√a + b 2 b2
P=4 +
b √a2 + b 2

[ ]
b4
a√b 2 − b 2
a2 + b 2
P=4 +
b √a2 + b 2
( )
(b 2 )(a2 + b 2 ) − b 4
a√ b2
a2 + b 2
P=4 +
b √a2 + b 2
( )
a 2 b2 + b4 − b4
a√ b2
a2 + b 2
P=4 +
b √a2 + b 2
( )
2
a b 2
a√ 2 b2
a + b2
P=4 +
b √a2 + b 2
( )
a2 b
2 2 b2
P = 4 √a + b +
b √a2 + b 2
( )
a2 b b2
P = 4( + )
b√a2 + b 2 √a2 + b 2
a2 b + b3
P = 4( )
b√a2 + b 2
a2 + b2
P = 4( )
√a2 + b 2
P = 4√a2 + b 2
19. Find the length of the longest beam that can be moved horizontally from a corridor of width a into a
corridor of width b if the two corridors are perpendicular to each other.

a b
cos θ = sin θ =
x y
a
x= b
cos θ y=
sin θ

l = x+y
a b
l= +
cos θ sin θ
a b
l(θ) = +
cos θ sin θ
(cos θ)(0) − (1)(− sin θ) (sin θ)(0) − (1)(cos θ)
l′ (θ) = (a) [ 2 ] + (b) [ ]
cos θ sin2 θ
a sin θ −b cos θ
l′ (θ) = +
cos 2 θ sin2 θ
a sin θ − b cos 3 θ
3
l′ (θ) =
cos 2 θ sin2 θ
a sin θ − b cos 3 θ
3
0=
cos 2 θ sin2 θ
a sin θ − b cos 3 θ = 0
3

a sin3 θ = b cos 3 θ
sin3 θ b
=
cos 3 θ a
b
tan3 θ =
a
3 b
tan θ = √
a

3 b
θ = arctan √
a
a b 2
l= + 1 b3
cos θ sin θ 2 a3 b√1 + 2
a b b3 a3
l= + l = a√1 + 2 + 1
b
3 3 b
a3 b3
cos arctan √ sin arctan √
a a
a b 2 2 2 2
l= + a3 + b 3 1 2 a3 + b 3
1 3 b l = a√ + a 3b3 √
2
√ 2 2
3 b
a a3 a3
√1 + ( √ ) 2 1 2
a
√1 + ( √b)
3
a 2 2 a3 b 3 2 2
a l = 1 √a3 + b 3 + 1 √a3 + b 3
2
a3 a3
b 3 2 2 2 2 2 2
2 b√1 + 2 l = a3 √a3 + b 3 + b 3 √a3 + b 3
b3 a3
l = a√1 + 2 + 1 2 2 2 2
a3 b3 l = (a3 + b 3 ) (√a3 + b 3 )
1
a3 3
2 2 2
l= (a3 + b3)

21. A line is drawn perpendicular to the x-axis cutting the parabola y = 4x − x 2 and the line y = 12 − 2x at
points P and L respectively. Find the value of x which makes the distance from L to P a minimum.

P(x, 4x − x 2 )
L(x, 12 − 2x)
D = √(x − x)2 + [(4x − x 2 ) − (12 − 2x)]2
D = √02 + (4x − x 2 − 12 + 2x)2
D = √(−x 2 + 6x − 12)2
D = −x 2 + 6x − 12

dD
= −2x + 6
dx
0 = −2x + 6
2x = 6
x=3
Evaluation 3.7:

3. A boy 5 ft tall is walking away from a street light at the rate of 3 ft/sec. If the light is 12 ft above the level
ground, determine (a) the rate at which his shadow is lengthening, (b) the rate at which the tip of his
shadow is moving and (c) the rate at which his head is receding from the light when he is 24 ft from the
point directly below the light.
Let D = distance between the street light and the boy
s = shadow of the boy

(a) Similar triagles,


12 5
=
D+s s
12s = 5D + 5s
5D = 7s
7
D= s
5

Differentiating with respect to s,


dD 7 ds
=
ds 5 ds
dD 7
=
ds 5

ds ds dD
= ∗
dt dD dt
ds 1 ft
= ∗3
dt 7 s
5
ds 15 ft
=
dt 7 sec

(b) Let T = tip of the shadow


dT dD ds
= +
dt dt dt
dT ft 15 ft
=3 +
dt s 7 s
dT 21 ft 15 ft
= +
dt 7 s 7 s
dT 36 ft
=
dt 7 sec
(c)

Solving for H,
H 2 = 242 + 72
H 2 = 576 + 49
H 2 = 625
H = 25

dH
Solving for ,
dx
H2 = D2 + 72
H 2 = D2 + 49
H = √D2 + 49
Differentiating with respect to D,
dH 2D
=
dD 2√D2 + 49
dH D
=
dD √D2 + 49
Let D = 24,
dH 24
=
dD √242 + 49
dH 24
=
dD √576 + 49
dH 24
=
dD √625
dH 24
=
dD 25

dH dH dD
= ∗
dt dD dt
dH 24
= ∗3
dt 25
dH 72 ft
=
dt 25 sec
5. A reservoir is in the form of a frustum of a cone with upper base of radius 9 ft and lower base of radius 4 ft
and altitude of 10 ft. The water in the reservoir is x ft deep. If the level of the water is increasing at 4 ft/min,
how fast is the volume in the reservoir increasing when its depth is 2 ft? NOTE: The volume of a frustum of
1
a cone of upper base radius R and lower base radius r and height h is V = πh(R2 + r 2 + Rr).
3

y 10 + y
=
4 9
9y = 40 + 4y
5y = 40
y=8

8 8+x
=
4 r
8r = 32 + 4x
8+x
r=
2

8+x 2
(π) ( ) (x + 8) (π)(4)2 (8)
V= 2 −
3 3
π 2
( ) (x + 8) (x + 8) − (π)(16)(8)
V= 4
3
π(x + 8)3
− 128π
V= 4
3
π(x + 8)3 − 512π
V=
12
π 128π
V= (x + 8)3 −
12 4

dV π
= ( ) (3)(x + 8)2 (1) − 0
dx 12
dV π
= ( ) (x + 8)2
dx 4
dx
=4
dt
x=2

dV dV dx π ft 3
= ( ) ( ) = ( ) (2 + 8)2 (4) = (π)(10)2 = 100π
dt dx dt 4 min
7. A ship is sailing north at 22 km/hr. A second ship sailing east at 16 km/hr crosses the path of the first ship
85 km ahead of it. How fast is the distance between them changing one hour later? When are they closest
together?

t=1
x = 22t = 22
y = 16t = 16
dx
= 22
dt
dy
= 16
dt

D2 = (85 − x)2 + y 2 dD
D2 = (85 − 22)2 + 162 =0
dt
D2 = (63)2 + 256 D2 = (85 − x)2 + y 2
D2 = 3969 + 256 dD dx dy
2D = (2)(85 − x)(−1) ( ) + (2y) ( )
D2 = 4225 dt dt dt
D = √4225 dD
2D = (−2)(85 − 22t)(22) + (2)(16t)(16)
D = 65 dt
dD
2D = (−44)(85 − 22t) + 512t
D2 = (85 − x)2 + y 2 dt
dD
dD dx dy 2D = −3740 + 968t + 512t
2D = (2)(85 − x)(−1) ( ) + (2y) ( ) dt
dt dt dt dD
dD (2)(85 − 22)(−1)(22) + (2)(16)(16) 2D = −3740 + 1480t
= dt
dt 2D dD −1870 + 740t
dD (−22)(63) + (16)(16) =
= dt D
dt 65 dD −1870 + 740t
dD −1386 + 256 =
= dt 65
dt 65 −1870 + 740t
dD −1130 0=
= 65
dt 65 −1870 + 740t = 0
dD −1130
= 740t = 1870
dt 65 1870 187
dD −226 km t= = hr
= 740 74
dt 13 hr
9. A bridge is 10 m above a railroad track and at right angles to it. A train running at the rate of 20 m/s passes
under the center of the bridge at the same instant that a car running 15 m/s reaches that point. How
rapidly are they separating 3 seconds later?

x = 15t
y = 20t

b2 = y 2 + 102
b2 = (20t)2 + 100
b2 = 400t 2 + 100

l2 = x 2 + b2
l2 = (15t)2 + 400t 2 + 100
l2 = 225t 2 + 400t 2 + 100
l2 = 625t 2 + 100

t=3
l2 = 625t 2 + 100
l2 = (625)(32 ) + 100
l2 = (625)(9) + 100
l2 = 5625 + 100
l2 = 5725
l = √5725
l = 5√229

dl
2l = (625)(2)(t) + 0
dt
dl
2l = 1250t
dt
dl 1250t
=
dt 2l
dl (625)(3)
=
dt 5√229
dl 375
=
dt √229
dl
≈ 24.78069752
dt
dl m
≈ 24.78
dt s
11. A lamp post 3 m high is 6 m from a wall. A man 2 m tall is walking directly from the post toward the wall at
2.5 m/s. How fast is his shadow moving up the wall when he is 1.5 m from the wall?

6 6−x
=
3−y 3−2
6 6−x
=
3−y 1
(3 − y)(6 − x) = 6
18 − 3x − 6y + xy = 6
−6y + xy = 6 − 18 + 3x
(y)(x − 6) = −12 + 3x
3x − 12
y=
x−6
x−4
y = (3) ( )
x−6

3
x=
2
dy (x − 6)(1) − (x − 4)(1)
= (3) [ ]
dx (x − 6)2
dy x−6−x+4
= (3) [ ]
dx (x − 6)2
dy −2 dx 5
= (3) [ ] = −2.5 = −
dx (x − 6)2 dt 2
dy −6 dy −8
= =
dx (x − 6)2 dx 27
dy −6 dy dy dx
= = ( )( )
dx 3 2 dt dx dt
( − 6) dy 8 5
2 = (− ) (− )
dy −6 dt 27 2
= dy 40
dx 9 2 =
(− ) dt 54
2
dy −6 dy 20
= =
dx 81 dt 27
4 dy
≈ 0. ̅̅̅̅̅
740
dy −24 dt
= dy m
dx 81 ≈ 0.74
dy −8 dt sec
=
dx 27
Practice Exercise 3.6 – 3.8:

1. Find 2 numbers whose sum is 20, if the product of one by the cube of the other is to be a maximum.
Solution:
x + y = 20
(x)(y 3 ) = z

y = 20 − x
(x)(y 3 ) = z
(x)(20 − x)3 = z

dz
= (x)(3)(20 − x)2 (−1) + (1)(20 − x)3
dx
dz
= (−3x)(20 − x)2 + (20 − x)3
dx
dz
= (20 − x)2 (−3x + 20 − x)
dx
dz
= (20 − x)2 (20 − 4x)
dx

dz
=0
dx
0 = (20 − x)2 (20 − 4x)

0 = (20 − x)2
0 = 20 − 4x
0 = 20 − x
4x = 20
x = 20
x=5
didn’t satisfy the second condition

x=5
y = 20 − x
y = 20 − 5
y = 15

Answer: 5 and 15

2. A rectangular box with square base and open at the top is to have a capacity of 16823 cm 3. Find the height
of the box that requires minimum amount of material required.
Solution:
s
s

V = r2h
SA = r 2 + 4rh
16823 = r 2 h
16823
h=
r2
SA = r 2 + 4rh
16823
SA = r 2 + (4r) ( 2 )
r
2
67292
SA = r +
r
r 3 + 67292
SA =
r

dSA (r)(3r 2 ) − (r 3 + 67292)(1)


=
dr r2
dSA 3r 3 − r 3 − 67292
=
dr r2
3
dSA 2r − 67292
=
dr r2

dSA
=0
dr
2r 3 − 67292 3
r = √33646
0=
r2 16823
3
0 = 2r − 67292 h= 2
3
2r 3 = 67292 √33646
h ≈ 16.1416459716
r 3 = 33646
3 h ≈ 16.14 cm
r = √33646

12500
3. The total cost of production of a shipment of a certain product is C = 500x + , where x is the number
x
of machines. How many machines will maximize the cost?
12500
C = 500x +
x
500x 2 + 12500
C=
x
dC (x)(1000x) − (500x 2 + 12500)(1)
=
dx x2
2 2
dC 1000x − 500x − 12500
=
dx x2
2
dC 500x − 12500
=
dx x2
dC
=0
dx
500x 2 − 12500
0=
x2
2
0 = 500x − 12500
500x 2 = 12500
x 2 = 25
x = ±5
x=5
x = 5 machines
4. Water is poured at the rate of 8 ft3/min into a conical shaped tank, 20 ft deep and 10 ft diameter at top. If
the tank has a leak in the bottom and the water is rising at the rate of 1 inch/min, where the water is 16 ft.
How fast is the water leaking?
Solution:
5

20
r

16

h 20
=
r 5
5h
r=
20
h 1
r= dh in in 12 ft 1 ft
4 =1 =1 ∗ =
dt min min 1 in 12 min
h dt
r= = 12
4 dh
h2 h = 16
(πh) ( ) dV dV dt
4 = ∗
V= dh dt dh
3
h2 π(162 ) dV
(πh) ( ) = ( ) (12)
16 16 dt
V= dV
3 16π = ( ) (12)
πh3 dt
V= dV 16π
48 =
dt 12
dV π dV 4π ft
= ( ) (3h2 ) =
dh 48 dt 3 min
dV πh2
=
dh 16

5. If S = 3t 2 − 16t −2 , when will the acceleration be zero (time in seconds)?


S = 3t 2 − 16t −2
dS
= 6t + 32t −3
dt
dS 2
= 6 − 96t −4
d2 t

dS 2
=0
d2 t
0 = 6 − 96t −4
96
t4 =
6
t 4 = 16
t = ±2
t = 2 seconds

You might also like