KEMBAR78
Logarithm Problem Solutions | PDF
0% found this document useful (0 votes)
3K views1 page

Logarithm Problem Solutions

The document provides examples of logarithmic calculations and their solutions, demonstrating various logarithmic laws. It includes specific problems that involve finding values using logarithmic identities and properties. The examples illustrate the application of logarithms in mathematical expressions and equations.

Uploaded by

svenkatk737
Copyright
© © All Rights Reserved
We take content rights seriously. If you suspect this is your content, claim it here.
Available Formats
Download as PDF, TXT or read online on Scribd
0% found this document useful (0 votes)
3K views1 page

Logarithm Problem Solutions

The document provides examples of logarithmic calculations and their solutions, demonstrating various logarithmic laws. It includes specific problems that involve finding values using logarithmic identities and properties. The examples illustrate the application of logarithms in mathematical expressions and equations.

Uploaded by

svenkatk737
Copyright
© © All Rights Reserved
We take content rights seriously. If you suspect this is your content, claim it here.
Available Formats
Download as PDF, TXT or read online on Scribd
You are on page 1/ 1

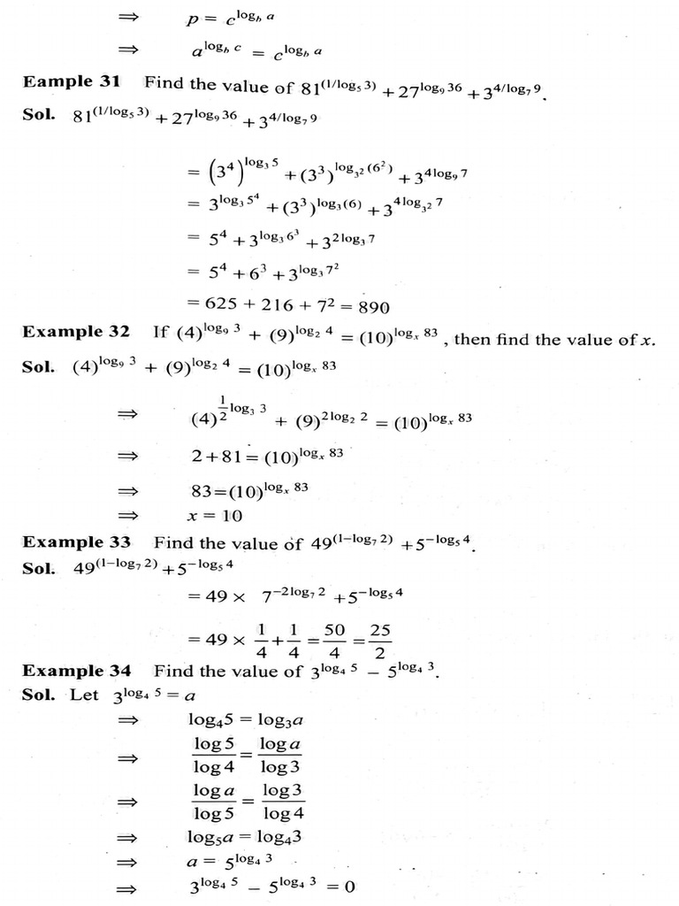
Laws Related to Logarithmn 21

p clog, a

Eample 31 Find the value of 81/log, 3) +27l0g, 36 434/log,9

Sol. 81log, 3) +27lg, 36+34/log,9

- (3"+3s,6)+g4log,7
- 3og,5" + (3 ylog,(6)+34og,:?

= 5 +3log,6 +32log,7

= 5 +6 +3log,7

= 625 +216+ 7² = 890

Example32 If (4)og, + (9)g, =(10)og,83,then ndthevalueof x.


Sol. (4)°8, + (9)8, 4 -(10)0g,83

(a2s+(9y2log3 =(1o,-. 83
2+81= (1o)log,83

83=(10)og, 83

x= 10

Example 33 Find the value of 49-log, 2) +5-log,4


Sol. 49(-log, 2) +5-log, 4

= 49 x 72log, 2 +5-log, 4

= 49 x

Example 34 Find the value of 3log, 5 – slog, 3.


Sol. Let 3log, 5 = a

log,5 = log,a
log5 log a
log4 log3
loga _ log3
log5 log4
logga = log43
a= şlog, 3

glog, 5 slog, 3 = 0
fi

You might also like