KEMBAR78
Harmonize - 4 - End-Of-Term Test 2 - Basic | PDF
0% found this document useful (0 votes)
776 views6 pages

Harmonize - 4 - End-Of-Term Test 2 - Basic

The document is an end-of-term test covering grammar, vocabulary, reading, listening, and writing exercises. It includes dialogues for sentence completion, multiple-choice questions, and a writing prompt for a customer review of a holiday. The test assesses students' understanding of English language concepts and their ability to apply them in various contexts.
Copyright
© © All Rights Reserved
We take content rights seriously. If you suspect this is your content, claim it here.
Available Formats
Download as DOCX, PDF, TXT or read online on Scribd
0% found this document useful (0 votes)
776 views6 pages

Harmonize - 4 - End-Of-Term Test 2 - Basic

The document is an end-of-term test covering grammar, vocabulary, reading, listening, and writing exercises. It includes dialogues for sentence completion, multiple-choice questions, and a writing prompt for a customer review of a holiday. The test assesses students' understanding of English language concepts and their ability to apply them in various contexts.
Copyright
© © All Rights Reserved
We take content rights seriously. If you suspect this is your content, claim it here.
Available Formats
Download as DOCX, PDF, TXT or read online on Scribd
You are on page 1/ 6

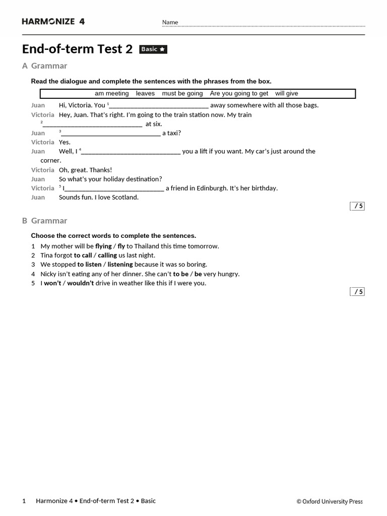
End-of-term Test 2

A Grammar
Read the dialogue and complete the sentences with the phrases from the box.

am meeting leaves must be going Are you going to get will give
1
Juan Hi, Victoria. You ____________________________ away somewhere with all those bags.
Victoria Hey, Juan. That’s right. I’m going to the train station now. My train
2
____________________________ at six.
3
Juan ____________________________ a taxi?
Victoria Yes.
Juan Well, I 4____________________________ you a lift if you want. My car’s just around the
corner.
Victoria Oh, great. Thanks!
Juan So what’s your holiday destination?
Victoria 5 I____________________________ a friend in Edinburgh. It’s her birthday.
Juan Sounds fun. I love Scotland.
/5

B Grammar
Choose the correct words to complete the sentences.
1 My mother will be flying / fly to Thailand this time tomorrow.
2 Tina forgot to call / calling us last night.
3 We stopped to listen / listening because it was so boring.
4 Nicky isn’t eating any of her dinner. She can’t to be / be very hungry.
5 I won’t / wouldn’t drive in weather like this if I were you.
/5

1 Harmonize 4 • End-of-term Test 2 • Basic


C Vocabulary
Choose the correct option to complete the sentences.
1 Orang-utans are ___ on their mothers for their first eight years.
A hopeless B dependent
2 Did you bring any ___ so we can start a fire?
A matches B torches
3 There was a ___ on our company so we can’t use any of the computers.
A cyber attack B nuclear explosion
4 There’s a problem with the camera on my phone. None of the photos I take are ___.
A in focus B close-up
5 If we all sign this ___ about fuel prices, maybe we can make the government do something.
A target B petition
6 I try to reduce my ___ by cycling everywhere.
A climate change B carbon footprint
7 Simon has cut his finger. Do you know where the ___ is?
A first-aid kit B multi-tool
8 My brother won’t go skiing with us because he’s scared of ___!
A flooding B avalanches
9 It’s ___ trying to get home early – the traffic is always terrible.
A hopeless B impressive
10 What I love about this city are all the ___. There are parks everywhere.
A greenhouse gases B green spaces
/ 10

2 Harmonize 4 • End-of-term Test 2 • Basic


D Reading
You ask, we answer Live webchat!

Question from Amber Fry, Cambridge

I need information for a Media Studies assignment: what do students do for entertainment around the world?

Martha: Hey Amber! Maybe I can help? I’m from Seattle.

Amber: Hi! Seattle must be an exciting place to live.

Martha Yes, it is. A trip to the EMP Museum is definitely worth it. It was a music museum, but it’s now got science fiction and
film exhibits.

Amber That sounds AWESOME!! Thanks!

Martha Good luck with your assignment!

Amber Hello Ji-Min! Where are you from?

Ji-Min Hi Amber! I’m from Seoul. Have you heard of K-pop?

Amber No. What’s that?

Ji-Min Korean pop music. It’s great to dance to! We also love the internet and social media sites for chatting. Cyworld is the
main networking site. We play a lot of online games. I’ve made a lot of virtual friends that way. We also love uploading photos of
different fashions and commenting on them!

Amber Thanks for your time Ji-Min!

Kofi Hello Amber! It’s Kofi from Accra. I can tell you all about what Ghanaians do. We love having parties and dancing. If there
isn’t a party, then we go to a club. Music and dancing are a big part of our culture. Personally, I like reading, but watching movies
is popular here, especially Nollywood films.

Amber Nollywood?

Kofi It’s the Nigerian Hollywood. There are some excellent comedies and dramas.

Amber Thanks so much! I’ve got lots of info for my assignment now! :-)

Read the dialogue. Complete the sentence which describes what Amber has done for her assignment.
_
She has chatted to teenagers in different ____________ about what ____________ is popular with students in their
country.

Read the text again. Then complete the answers to the questions.
1 What has changed about the EMP Museum?
It was a m____________ museum but now it has s____________ f____________ and film exhibits
2 How does Ji-Min socialize without meeting anyone in person?
She c____________ online, plays online games and u____________ pictures.
3 What do Ghanaians do if there aren’t any parties?
They go to c____________.
4 What kind of Nigerian films are very good?
C____________ and d____________ are very good.

3 Harmonize 4 • End-of-term Test 2 • Basic


/5

E Listening

Listen to two friends, Lottie and Omar, chatting about entertainment and free-time activities. What does
Omar agree to see at the end of their conversation? Complete the sentence.
Omar agrees to see ___ on 16th May.
A a film
B a play

Listen again. Complete the answers to the questions.


1 What did Omar think about Freddie Mercury’s biography?
It was quite b____________.
2 What has Lottie been doing to promote the drama club?
Sending out l____________ and hosting a b____________.
3 What musical abilities does Omar have?
He s____________ and plays the g____________.
4 What does Lottie want to be in the future?
A professional a____________ and s____________.

/5

F Writing
You saw the advert below, went to France, and had a fantastic holiday. Write a customer review of the
holiday and your experiences. Use the notes, questions and prompts to help you. Use formal language and
linking expressions to join your ideas together. Write about 150 words.

The Luxury Travel Company


Room was
Offer of the Month! huge, lovely
bathroom!
Fantastic holiday for two in the South of France!
~ only £300 per person for 1 week ~ View of the sea and
a balcony!
Come and stay at a beautiful 4-star hotel!

¨ All rooms are clean and spacious


Friendly staff and a
¨ Beautiful views from all rooms delicious meal!
¨ Breakfast included
25% off at award-winning local restaurant near the hotel

Paragraph 1: Describe the holiday you went on and give a few basic details. When did you go? Who
did you go with? How did you feel after you had booked it?
I recently booked ... / I needed to ...
I went on holiday with ...
It cost …
I felt ... after I had booked it.

Paragraph 2: Give details about the hotel. How did you feel when you arrived / saw your room? How was it the
same or different from what the advert promised?
When we arrived / walked into ...
The hotel / Our room was …
Our experience was completely …

4 Harmonize 4 • End-of-term Test 2 • Basic


The advert was very …

5 Harmonize 4 • End-of-term Test 2 • Basic


Paragraph 3: Give information about another aspect of your holiday and what you experienced.
During the day, we ...
One day we decided to ...
Our visit to an award-winning local restaurant was ...

Paragraph 4: Give your opinion of the holiday and recommend it to others.


We are so glad we went!
I have never ...
It was a bargain ... / It was excellent value ...
I can thoroughly recommend ...
____________________________________________________________________________________________
____________________________________________________________________________________________
____________________________________________________________________________________________
____________________________________________________________________________________________
____________________________________________________________________________________________
____________________________________________________________________________________________
____________________________________________________________________________________________
____________________________________________________________________________________________
____________________________________________________________________________________________
____________________________________________________________________________________________
____________________________________________________________________________________________
____________________________________________________________________________________________
____________________________________________________________________________________________
____________________________________________________________________________________________
____________________________________________________________________________________________

/ 10

/ 40

6 Harmonize 4 • End-of-term Test 2 • Basic

You might also like