KEMBAR78
SOL Computer Programming MS Winter 2024 25 | PDF | Control Flow | Integer (Computer Science)
0% found this document useful (0 votes)
45 views9 pages

SOL Computer Programming MS Winter 2024 25

This document outlines the Winter Mid-Semester Examination for Computer Programming at the Indian Institute of Technology (ISM), Dhanbad, detailing the structure, evaluation schemes, and sample questions for both parts of the exam. Part A focuses on programming concepts, including minimum value calculations, loop comparisons, and diamond pattern printing, while Part B covers flowcharts, substring generation, and array manipulations. Each question includes a specific evaluation scheme to guide grading based on correctness and completeness.
Copyright
© © All Rights Reserved
We take content rights seriously. If you suspect this is your content, claim it here.
Available Formats
Download as PDF, TXT or read online on Scribd
0% found this document useful (0 votes)
45 views9 pages

SOL Computer Programming MS Winter 2024 25

This document outlines the Winter Mid-Semester Examination for Computer Programming at the Indian Institute of Technology (ISM), Dhanbad, detailing the structure, evaluation schemes, and sample questions for both parts of the exam. Part A focuses on programming concepts, including minimum value calculations, loop comparisons, and diamond pattern printing, while Part B covers flowcharts, substring generation, and array manipulations. Each question includes a specific evaluation scheme to guide grading based on correctness and completeness.
Copyright
© © All Rights Reserved
We take content rights seriously. If you suspect this is your content, claim it here.
Available Formats
Download as PDF, TXT or read online on Scribd
You are on page 1/ 9

SOLUTION SET

INDIAN INSTITUTE OF TECHNOLOGY (INDIAN SCHOOL OF MINES), DHANBAD


Winter Mid-Semester Examination, Session 2024-25
Examination: II UG (Common) Time: 2 Hours
Subject: Computer Programming (NCSV101) Max. Marks: 60

Part A (Maximum Marks: 30)


Q. No. Question
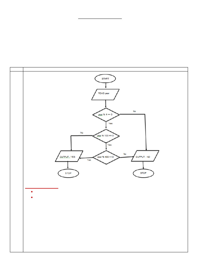
1. (a)

Evaluation Scheme:
 Only dividing by 4 : 2 marks
 Complete flow chart : 5 marks

(b) #include <stdio.h>


#define MAX_INT 2147483647
int main( )
{
int n, i, m, a[100];
int min, min2, min3;
printf("Enter the number of elements:");
scanf("%d", &n);
for(i = 0; i < n; i++){
scanf("%d",&a[i]);
}
min = MAX_INT;
min2 = MAX_INT;
min3 = MAX_INT;
for(i = 0; i < n; i++){
if(a[i] < min){
min3 = min2;
min2 = min;
min = a[i];
} else if (a[i] < min2) {
min3 = min2;
min2 = a[i];
} else if (a[i] < min3) {
min3 = a[i];
}
}
printf("Enter any integer between 1 and 3 \n");
scanf("%d", &m);
switch (m){
case 1:
printf("Smallest number is: %d\n",min);
break;
case 2:
printf("2nd Smallest number is: %d\n", min2);
break;
case 3:
printf("3rd Smallest number is: %d\n", min3);
break;
default:
printf("invalid option\n");
break;
}
return 0;
}
Evaluation Scheme:
 Only input: 2 marks
 Computing minimum element: 2 marks
 Computing 2nd and 3rd smallest: 3 marks
 Printing the elements: 3 marks
2. (a) i Implicit Conversion:
○ Performed automatically by the compiler when it considers it safe to convert a type
(usually from a smaller to a larger data type).
○ Controlled by the compiler based on type promotion rules.

Explicit Casting:
○ Performed manually by the programmer using the cast operator (type) to force a
conversion.
○ Gives the programmer full control over how and when the conversion happens.

Example: Explicit Casting to Avoid Data Loss:


#include <stdio.h>
int main() {
int a = 10, b = 3;
float result1, result2;
// 1. Implicit Conversion (Integer Division -> possible loss of fractional part)
result1 = a / b; // both a and b are ints, so this is integer division
printf("Result without explicit casting: %f\n", result1);
// Output typically: 3.000000 (fraction lost)
// 2. Explicit Casting (Floating-Point Division -> preserves decimal part)
result2 = (float)a / b;
printf("Result with explicit casting: %f\n", result2);
// Output typically: 3.333333 (fraction preserved)
return 0;
}
Evaluation Scheme:
 Both explanation and example given: 3Marks
 Either explanation or example given: 1½ Marks
 Explanation or example partially correct: 1Mark
 Both incorrect / not answered: 0 Mak

ii Difference between Prefix (++i) and Postfix (i++) Operators:


○ Prefix (++i): Increments the variable first, then uses the updated value in the
expression.
○ Postfix (i++): Uses the variable’s current value in the expression, then increments it
after using that value.
○ Example:
int i = 5;
// Prefix
printf("%d\n", ++i); // Output: 6 (i becomes 6 and 6 is printed)
// Reset i
i = 5;
// Postfix
printf("%d\n", i++); // Output: 5 (i becomes 6 after printing)

Evaluation Scheme:
 Both Explanation and example given: 2 Marks
 Either explanation or example: 1 Mark
 Incorrect/ not answered: 0 Mark

(b) Comparison of Syntax:

for Loop Syntax:


for (initialization; condition; update) {
// loop body
}
 Initialization: Occurs once at the beginning of the loop.
 Condition: Checked before each iteration. If true, the loop body executes; if false, the loop
ends.
 Update: Executes at the end of each iteration (common for increment/decrement).
 Combines initialization, condition check, and update in one line, making it concise for
counter-based loops.

while Loop Syntax:


while (condition) {
// loop body
// (update or other statements)
}
 Condition: Checked before entering the loop body. If true, the body executes; if false, the loop
ends.
 Update: Performed manually inside the loop body (not built into the syntax).

Practical Example:
When to Choose a for Loop
Scenario: You know you need to iterate exactly 10 times to print numbers from 1 to 10.

// 'for' loop is clearer here since we know exactly how many times we iterate.
for(int i = 1; i <= 10; i++) {
printf("%d\n", i);
}

When to Choose a while Loop:


Scenario: You want to read user input until the user enters a negative number.
int number;

printf("Enter a number (negative to stop): ");


scanf("%d", &number);
while(number >= 0) {
// Process the number
printf("You entered: %d\n", number);
// Update
printf("Enter a number (negative to stop): ");
scanf("%d", &number);
}

In the first case, a for loop makes it clear we’re iterating a fixed number of times. In the second, a
while loop is appropriate because the loop continues based on a condition rather than a fixed count.

Evaluation Scheme:
 Both comparison and practical example given: 4Marks
 Comparison and example of either one given: 3 Marks
 Either comparison or example given: 2 Marks
 Partially correct comparison or example: 1 Mark
 Incorrect or not answered: 0 Mark

(c) #include <stdio.h>


int main() {
int n;

// 1. Prompt until an odd integer is entered


while (1) {
printf("Enter an odd integer n (max width): ");
scanf("%d", &n);
if (n % 2 != 0) {
// Valid odd number
break;
} else {
// Even number entered, show error and prompt again
printf("Error: You must enter an odd integer.\n");
}
}

// 2. Print the top half of the diamond (including middle line)


for (int stars = 1; stars <= n; stars += 2) {
// Calculate spaces on each side
int spaces = (n - stars) / 2;
// Print leading spaces
for (int i = 0; i < spaces; i++) {
printf(" ");
}
// Print stars
for (int i = 0; i < stars; i++) {
printf("*");
}
// New line after each row
printf("\n");
}
// 3. Print the bottom half of the diamond
for (int stars = n - 2; stars > 0; stars -= 2) {
int spaces = (n - stars) / 2;
for (int i = 0; i < spaces; i++) {
printf(" ");
}
for (int i = 0; i < stars; i++) {
printf("*");
}
printf("\n");
}
return 0;
}

Evaluation Scheme:
 Completely correct: 6 Marks
 diamond printing correct: 4 Marks
 Even odd check: 2 Marks
 If code correct but slight syntax error or some statement missing: 2 Marks
 Incorrect or not answered: 0 Mark
Part B (Maximum Marks: 30)
Q. No. Question
1. (a) next = first + second + third ;
first = second ;
second = third;
third = next ;

Evaluation Scheme:
 Correct statement: 1 Mark each
 Correct statement, but the order is wrong: ½ Mark

(b) P & Q = (1011)2 & (1101)2 = (1001)2 = (1*23+0*22+0*21+1*20)10 = (9)10


P ^ Q = (1011)2 ^ (1101)2 = (0110)2 = (0*23+1*22+1*21+0*20)10 = (6)10
P << 2 = (101100)2 = (1*25+0*24+1*23+1*22+0*21+0*20)10 = (44)10

Evaluation Scheme:
 Correct answer: 1 Mark each
 Correct answer, but written in binary form: ½ Mark each
 Correct answer is written directly in decimal form: ½ Mark each
 Correct answer, but no computational step: ½ Mark each

(c) #include <stdio.h>


int main( )
{
int a[ ] = {-2,3,4,-1,-2,1,5,-3} ; /* Assign values to an array */
int i, j ;
int s = 0, m = a[0], c, co, loc ;
int n = (int) sizeof(a)/sizeof(a[0]) ;
for(i=0; i <n ; i++) /* Computation of largest subarray */
{
s = a[i] ; c = 0 ;
for(j=i+1; j<n; j++)
{
s = s + a[j] ;
c++ ;
if(s>m)
{
m= s;
loc = i ;
co = c ;
}
}
}
printf("Largest sum subarray is :\n") ; /* Display the largest subarray */
for(i=loc; i<=loc+co; i++)
printf("%d ", a[i]) ;
return 0 ;
}
Evaluation Scheme:
 Assign values to an array: 1 mark
o Assign values at the time of array declaration / during run time: 1 Mark
o Partially correct: ½ Mark
 Computation of largest subarray: 5 Marks
o Fully correct: 5 Marks
o Partially correct (70-80%): 4 Marks
o Partially correct (50-60%): 3 Marks
o Partially correct (30-40%): 2 Marks
o Partially correct (10-20%): 1 Marks
o Attempted, but completely wrong: ½ Mark
 Display the largest subarray: 2 Marks
o Fully correct: 2 Marks
o Partially correct: 1 Marks
o Attempted, but completely wrong: ½ Mark

2. (a) A flowchart is a visual representation of the sequence of steps in a process or algorithm. It uses
different symbols to illustrate the flow of control, making it easier to understand complex logic.

[i] Clarity – It helps programmers and non-programmers understand the logic of an algorithm.
[ii] Debugging – Identifies logical errors before coding.
[iii]Efficiency – Helps in planning and organizing code structure before implementation.
[iv] Communication – Provides a clear way to explain an algorithm to others.

Evaluation Scheme:
 Flowchart Explanation: 2 Marks
 Correct Flowchart: 5 Marks
 Pseudo Code / C Program (as an alternative to the Flowchart): 2 Marks
(b) #include <stdio.h>
int main() {
char str[100]; // Array to store input string
int length = 0;

// Get input from user


printf("Enter a string (without spaces): ");
scanf("%s", str);

// Calculate string length


while (str[length] != '\0') {
length++;
}
printf("\n All possible substrings are:\n");

// First loop - Starting point of substring


for (int start = 0; start < length; start++) {
// Second loop - Length of substring
// For each starting point, we try all possible lengths
for (int end = start; end < length; end++) {
// Print substring from index 'start' to 'end'
for (int i = start; i <= end; i++) {
printf("%c", str[i]);
}
printf("\n");
}
}
return 0;
}

Evaluation Scheme:
 Reading String: 2 Marks
 Finding Substring: 6 Marks
o If the approach is correct but contains errors in implementation: 2 Marks
o If the substring search is implemented but has minor logical errors: 4 Marks
o If the substring is correctly found and implemented efficiently: 6 Marks

You might also like