KEMBAR78
PSCM | PDF | Electrical Network | Steering
0% found this document useful (0 votes)
709 views16 pages

PSCM

The document provides a detailed diagnostic trouble code (DTC) index for the Power Steering Control Module (PSCM) of the 2019 Jaguar F-PACE, outlining various DTCs, their descriptions, possible causes, and recommended actions for troubleshooting. It emphasizes the importance of following guided diagnostics, using manufacturer-approved diagnostic equipment, and ensuring proper procedures to avoid invalidating warranty claims. Additionally, it includes instructions for checking and rectifying faults related to power steering issues, including electrical and mechanical failures.

Uploaded by

anmup773221
Copyright
© © All Rights Reserved
We take content rights seriously. If you suspect this is your content, claim it here.
Available Formats
Download as DOCX, PDF, TXT or read online on Scribd
0% found this document useful (0 votes)
709 views16 pages

PSCM

The document provides a detailed diagnostic trouble code (DTC) index for the Power Steering Control Module (PSCM) of the 2019 Jaguar F-PACE, outlining various DTCs, their descriptions, possible causes, and recommended actions for troubleshooting. It emphasizes the importance of following guided diagnostics, using manufacturer-approved diagnostic equipment, and ensuring proper procedures to avoid invalidating warranty claims. Additionally, it includes instructions for checking and rectifying faults related to power steering issues, including electrical and mechanical failures.

Uploaded by

anmup773221
Copyright
© © All Rights Reserved
We take content rights seriously. If you suspect this is your content, claim it here.
Available Formats
Download as DOCX, PDF, TXT or read online on Scribd
You are on page 1/ 16

Repair

JIFFY LUBE 1350

Help & Feedback

Phone

Change

Bookmarks

Library

Convert

Reference - Repair

Search

2019 Jaguar F-PACE (X761)

V6-3.0L SC

Community

Quote

Diagnostic Trouble Code Index [DTC: Power Steering Control Module (PSCM)]

Vehicle

ALL Diagnostic Trouble Codes ( DTC )

Testing and Inspection

Diagnostic Trouble Code Descriptions

DTC Index

Diagnostic Trouble Code Index [DTC: Power Steering Control Module (PSCM)]

DIAGNOSTIC TROUBLE CODE INDEX [DTC: POWER STEERING CONTROL


MODULE (PSCM)]
DIAGNOSTIC TROUBLE CODE INDEX - DTC: POWER STEERING CONTROL
MODULE (PSCM)

DESCRIPTION AND OPERATION

POWER STEERING CONTROL MODULE (PSCM)

image CAUTION:

Diagnosis by substitution from a donor vehicle is NOT acceptable.


Substitution of control modules does not guarantee confirmation of a fault,
and may also cause additional faults in the vehicle being tested and/or the
donor vehicle.

image NOTES:

Guided Diagnostics must be followed and the repair advised by the process
completed. Failure to do so may result in the rejection of any warranty claim
made.

If a control module or a component is suspect and the vehicle remains under


manufacturer warranty, refer to the Warranty Policy and Procedures manual,
or determine if any prior approval programme is in operation, prior to the
installation of a new module/component.

Generic scan tools may not read the codes listed, or may read only 5-digit
codes. Match the 5 digits from the scan tool to the first 5 digits of the 7-digit
code listed to identify the fault (the last 2 digits give extra information read
by the manufacturer-approved diagnostic system).

When performing voltage or resistance tests, always use a digital multimeter


accurate to three decimal places, and with an up-to-date calibration
certificate. When testing resistance always take the resistance of the digital
multimeter leads into account.

Check and rectify basic faults before beginning diagnostic routines involving
pinpoint tests.

Inspect connectors for signs of water ingress, and pins for damage and/or
corrosion.

If DTCs are recorded and, after performing the pinpoint tests, a fault is not
present, an intermittent concern may be the cause. Always check for loose
connections and corroded terminals.
Check JLR claims submission system for open campaigns. Refer to the
corresponding bulletins and SSMs which may be valid for the specific
customer complaint and carry out the recommendations as required.

BEFORE starting any repairs or investigations of power steering issues, first


download and retain the SDD session file using the manufacturer-approved
diagnostic system. Where possible, check if the timeframe of any stored
DTCs coincides with customers' reports both of the onset of steering system
fault symptoms and with the technical nature of the reported symptoms.

During normal vehicle operation steering assistance may be temporarily


reduced in a controlled way under some circumstances. When diagnosing
potential steering assistance issues, first check if the customer reported
symptom relates either to one of these circumstances (as described in the
relevant Description and Operation section in the workshop manual, see
Section 211), or, to one of the following circumstances: an over temperature
condition due to exceptionally demanding steering inputs; the vehicle power
supply being in a low state of charge; CAN network signals required from
other vehicle systems being unavailable or invalid

The table below lists all Diagnostic Trouble Codes (DTCs) that could be
logged in the Power Steering Control Module (PSCM). For additional diagnosis
and testing information, refer to the relevant Diagnosis and Testing section in
the workshop manual.For additional information, refer to: Power Steering
(211-02 Power Steering, Diagnosis and Testing)

Power Steering Control Module

DTC DESCRIPTION POSSIBLE CAUSES ACTION

B1304-04 Electronic Power Assisted Steering System - System Internal


Failures

image NOTE:

This DTC will log with the ignition set to ON

Power steering control module power or ground circuit open circuit, high
resistance

Steering gear internal failure


image NOTE:

Once the repair is complete, clear DTC's, close the diagnostic session and
then upload the session file to JLR. Failure to follow this instruction may result
in a warranty claim becoming invalid

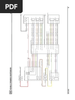
Using the Jaguar Land Rover Approved Diagnostic Equipment, check


datalogger signals - Main ECU Supply Voltage (0xDD02) and Vehicle Battery
Voltage (0x402A). Refer to the electrical circuit diagrams and check the
power steering control module power and ground circuits and associated
connectors for open circuit, high resistance. Repair or replace
circuit(s)/connector(s) as required. Clear DTC and retest

Check if the timeframe of any stored DTCs coincides with customers' reports
both of the onset of steering system fault symptoms and with the technical
nature of the reported symptoms. If the time of DTC occurrence does not
relate to the customer reported symptom, check for other appropriately
timed and relevant DTCs in all vehicle modules. If the outcome of these
investigations is not conclusive, contact the JLR Technical Helpdesk

If the steering gear fault persists, check and install a new steering gear as
required

B1304-07 Electronic Power Assisted Steering System - Mechanical failures

Tire pressure(s) incorrect

Wheel/tire size incorrect

Suspension/steering damaged

Power steering control module is not configured correctly

Check and adjust the tire pressures as necessary

Check the wheels and tires comply with the manufacturer's specification for
the vehicle

Check the suspension and steering for damage

Using the Jaguar Land Rover Approved Diagnostic Equipment, re-configure


the power steering control module with the latest level software

B1304-16 Electronic Power Assisted Steering System - Circuit voltage below


threshold
image NOTE:

This DTC will log with the ignition set to ON

Power steering control module power or ground circuit open circuit, high
resistance

Battery/charging system fault

image NOTE:

The system is designed to give a heavier but stable steering feel when a low
voltage is detected. It is recommended to reduce drastic inputs to the
steering in these scenarios, for example recently after start-up, extreme cold
climate, high electrical system utilization/load. Depending on the level of
reduction this could be accompanied by an alert

Using the Jaguar Land Rover Approved Diagnostic Equipment, check


datalogger signals - Main ECU Supply Voltage (0xDD02) and Vehicle Battery
Voltage (0x402A). Refer to the electrical circuit diagrams and check the
power steering control module power and ground circuits and associated
connectors for open circuit, high resistance. Repair or replace
circuit(s)/connector(s) as required. Clear DTC and retest

Refer to the relevant section of the workshop manual and test the battery
and charging system

If the fault persists and no battery or charging issues can be identified,


contact the JLR Technical Helpdesk. Do not replace the steering gear

B1304-17 Electronic Power Assisted Steering System - Circuit voltage above


threshold

image NOTE:

This DTC will log with the ignition set to ON

Battery/charging system fault

Using the Jaguar Land Rover Approved Diagnostic Equipment, check


datalogger signals - Main ECU Supply Voltage (0xDD02) and Vehicle Battery
Voltage (0x402A). Refer to the relevant section of the workshop manual and
test the battery and charging system

If the fault persists and no battery or charging issues can be identified,


contact the JLR Technical Helpdesk. Do not replace the steering gear

B1304-1C Electronic Power Assisted Steering System - Circuit voltage out of


range

Power steering control module power or ground circuit open circuit, high
resistance

Battery/charging system fault

image NOTE:

The system is designed to give a heavier but stable steering feel when a low
voltage is detected. It is recommended to reduce drastic inputs to the
steering in these scenarios, for example recently after start-up, extreme cold
climate, high electrical system utilization/load. Depending on the level of
reduction this could be accompanied by an alert

Using the Jaguar Land Rover Approved Diagnostic Equipment, check


datalogger signal - Main ECU Supply Voltage (0xDD02) and Vehicle Battery
Voltage (0x402A). Refer to the electrical circuit diagrams and check the
power steering control module power and ground circuits for open circuit,
high resistance

Refer to the relevant section of the workshop manual and test the battery
and charging system

B1304-98 Electronic Power Assisted Steering System - Component or


system over temperature

Power steering control module over temperature due to hot climate or


excessive steering inputs by driver

image NOTE:

The system is designed to give a heavier but stable steering feel when high
temperature is detected to protect the system from permanent damage. It is
recommended to reduce level of steering inputs to the steering in the
specific scenarios identified by the customer to provoke the problem.
Depending on the level of reduction this could be accompanied by an alert
Check for heat shield damage or mud packing around power steering control
module. Allow the power steering control module to cool. Consider the
environmental temperature. Using the Jaguar Land Rover Approved
Diagnostic Equipment, clear the DTCs and retest

C102D-07 High Friction Inside Power Steering - Mechanical failures

image NOTE:

This DTC will log with the ignition set to ON

Abnormally high friction in steering ball joints or suspension components

Abnormally high friction in steering gear

image NOTES:

Do not damage bellows on steering gear removal. Failure to follow this


instruction may result in warranty becoming invalid for steering gear
assembly

DO NOT reset DTCs. Record the diagnostic session file and upload to JLR.
Failure to follow this instruction may result in warranty claim becoming
invalid

If this DTC is logged and BEFORE starting any repairs or further


investigations of power steering issues, first download and retain the
diagnostic session file using the Jaguar Land Rover Approved Diagnostic
Equipment. Where possible, check if the timeframe of any stored DTCs
coincides with customers' reports both of the onset of steering system fault
symptoms and with the technical nature of the reported symptoms

Disconnect the steering gear from the suspension. Check the suspension
system for freedom of movement or abnormally high friction

Remove the steering gear boots and check for evidence of water inside the
steering gear boots. If evidence of water ingress is present, replace the
steering gear. Refer to the new module/component installation note at the
top of the DTC index

Check the steering gear for abnormally high friction. If abnormally high
friction is found, check if the onset of the steering system fault symptoms
occurred at the same time that the DTC was logged. If the customer reports
of heavy steering coincide with the logging of this DTC, then install new
steering gear as required

If the DTC was logged between medium and high time (medium to high
mileage) in service it is most likely caused by impact or water ingress
damage. Please refer to - Electric Power Steering Gear Damage Assessment
Checklist – In section 211-02 Diagnosis and Testing of the workshop manual

C200B-01 Steering Shaft Torque Sensor 1 - General electrical failure

image NOTE:

This DTC will log with the ignition set to ON

Power steering control module torque sensor circuit short circuit to ground,
short circuit to power, open circuit, high resistance

Power steering control module torque sensor internal failure

image NOTE:

DO NOT reset DTCs. Record the diagnostic session file and upload to JLR.
Failure to follow this instruction may result in warranty claim becoming
invalid

Refer to the electrical circuit diagrams and check the security and integrity of
the power steering control module torque sensor circuit cable and
connectors. Check for short circuit to ground, short circuit to power, open
circuit, high resistance. Rectify as required

Using the Jaguar Land Rover Approved Diagnostic Equipment, clear the DTCs
and retest. If the fault persists, check and install a new steering gear as
required

C200B-31 Steering Shaft Torque Sensor 1 - No signal

image NOTE:

This DTC will log with the ignition set to ON

Power steering control module torque sensor circuit short circuit to ground,
short circuit to power, open circuit, high resistance
Power steering control module torque sensor internal failure

image NOTE:

DO NOT reset DTCs. Record the diagnostic session file and upload to JLR.
Failure to follow this instruction may result in warranty claim becoming
invalid

Refer to the electrical circuit diagrams and check the security and integrity of
the power steering control module torque sensor circuit cable and
connectors. Check for short circuit to ground, short circuit to power, open
circuit, high resistance. Rectify as required

Using the Jaguar Land Rover Approved Diagnostic Equipment, clear the DTCs
and retest. If the fault persists, check and install a new steering gear as
required

C1B00-62 Steering Angle Sensor - Signal Compare Failure

Wheel/tire size incorrect

External received steering angle signal from steering angle sensor module is
>90deg different than power steering control module internal measure of
steering angle

Steering angle sensor module incorrectly installed (installed when road


wheels are not straight)

Front road wheel alignment incorrect

Steering angle sensor module fault

Check the wheels and tires comply with the manufacturer's specification for
the vehicle

With the road wheels set straight ahead, check the steering wheel is straight.
Using the Jaguar Land Rover Approved Diagnostic Equipment, check
datalogger signal - Steering Wheel Angle (0x203A) = 0 degrees

If the steering wheel angle is greater than 20 degrees out when the road
wheels are straight ahead, check the installation of the steering angle sensor
module and reinstall as necessary. Clear the DTC and retest

Check the front road wheel alignment and rectify as necessary. Clear the DTC
and retest
Check the steering angle sensor module for any relevant DTCs. If fault(s)
present, rectify as necessary

If no fault found, clear the power steering control module DTC’s and retest by
conducting a static lock-to-lock steering maneuver (do not replace any
components on the basis of one occurrence of this DTC)

U0001-81 High Speed CAN Communication Bus - Invalid serial data


received

Invalid data received from another control module via the high speed CAN
bus (chassis)

Using the Jaguar Land Rover Approved Diagnostic Equipment, check the
snapshot data to determine the invalid data source control module. Check
the relevant control module for related DTCs and refer to the relevant DTC
index

U0001-82 High Speed CAN Communication Bus - Alive/sequence counter


incorrect / not updated

Invalid data received from another control module via the high speed CAN
bus (chassis)

Using the Jaguar Land Rover Approved Diagnostic Equipment, check the
snapshot data to determine the invalid data source control module. Check
the relevant control module for related DTCs and refer to the relevant DTC
index

U0001-87 High Speed CAN Communication Bus - Missing message

Missing message from another control module via the high speed CAN bus
(chassis)

Using the Jaguar Land Rover Approved Diagnostic Equipment, check the
snapshot data to determine the missing message source control module.
Check the relevant control module for related DTCs and refer to the relevant
DTC index

U0001-88 High Speed CAN Communication Bus - Bus off

High speed CAN bus (chassis) circuit short circuit to ground, short circuit to
power, open circuit, high resistance

Using the Jaguar Land Rover Approved Diagnostic Equipment, perform a CAN
network integrity test. Refer to the electrical circuit diagrams and check the
high speed CAN bus (chassis) circuit for short circuit to ground, short circuit
to power, open circuit, high resistance

U0300-56 Internal Control Module Software Incompatibility -


Invalid/incomplete configuration

Incorrect body control module installed

Incorrect power steering control module installed

Check for related DTCs stored in other modules. Check that the correct body
control module is installed to the vehicle. Using the Jaguar Land Rover
Approved Diagnostic Equipment, re-configure the body control module with
the latest level software

Check that the correct power steering control module is installed to the
vehicle. Using the Jaguar Land Rover Approved Diagnostic Equipment, re-
configure the power steering control module with the latest level software.
Perform routine - Power Steering Soft Lock End Stops Reset Routine

U1A4C-53 Build / End of Line Mode Active - Deactivated

image NOTE:

This DTC is for use during production only

Power steering control module end of line is active

Using the Jaguar Land Rover approved Diagnostic Equipment, run diagnostic
routine - Set ECU in to Customer Mode (0x0E11) - Clear DTC and retest

U2001-00 Reduced System Function - No Sub Type Information

image NOTE:

This DTC will log with the ignition set to ON

Power steering control module power or ground circuit open circuit, high
resistance

Power steering control module over temperature due to hot climate or


excessive steering inputs by driver

Using the Jaguar Land Rover Approved Diagnostic Equipment, check


datalogger signal - Main ECU Supply Voltage (0xDD02) and Vehicle Battery
Voltage (0x402A). Refer to the electrical circuit diagrams and check the
power steering control module power and ground circuits for open circuit,
high resistance

Check for heat shield damage or mud packing around power steering control
module. Allow the power steering control module to cool. Consider the
environmental temperature. Using the Jaguar Land Rover Approved
Diagnostic Equipment, clear the DTCs and retest

U2001-07 Reduced System Function - Mechanical Failures

Tire pressure(s) incorrect

Wheel/tire size incorrect

Suspension/steering damaged

Power steering control module is not configured correctly

Check and adjust the tire pressures as necessary

Check the wheels and tires comply with the manufacturer's specification for
the vehicle

Check the suspension and steering for damage

Using the Jaguar Land Rover Approved Diagnostic Equipment, re-configure


the power steering control module with the latest level software

U2001-16 Reduced System Function - Circuit Voltage Below Threshold

Battery/charging system fault

Power steering control module power or ground circuit open circuit, high
resistance

image NOTE:

The system is designed to give a heavier but stable steering feel when a low
voltage is detected. It is recommended to reduce drastic inputs to the
steering in these scenarios, for example recently after start-up, extreme cold
climate, high electrical system utilization/load. Depending on the level of
reduction this could be accompanied by an alert

Refer to the relevant section of the workshop manual and test the battery
and charging system
Using the Jaguar Land Rover Approved Diagnostic Equipment, check
datalogger signals - Main ECU Supply Voltage (0xDD02) and Vehicle Battery
Voltage (0x402A). Refer to the electrical circuit diagrams and check the
power steering control module power and ground circuits and associated
connectors for open circuit, high resistance. Repair or replace
circuit(s)/connector(s) as required. Clear DTC and retest

U2001-17 Reduced System Function - Circuit Voltage Above Threshold

image NOTE:

This DTC will log with the ignition set to ON

Power steering control module power or ground circuit open circuit, high
resistance

Battery/charging system fault

image NOTE:

The system is designed to give a heavier but stable steering feel when a low
voltage is detected. It is recommended to reduce drastic inputs to the
steering in these scenarios, for example recently after start-up, extreme cold
climate, high electrical system utilization/load. Depending on the level of
reduction this could be accompanied by an alert

Using the Jaguar Land Rover Approved Diagnostic Equipment, check


datalogger signals - Main ECU Supply Voltage (0xDD02) and Vehicle Battery
Voltage (0x402A). Refer to the electrical circuit diagrams and check the
power steering control module power and ground circuits and associated
connectors for open circuit, high resistance. Repair or replace
circuit(s)/connector(s) as required. Clear DTC and retest

Refer to the relevant section of the workshop manual and test the battery
and charging system

U2001-98 Reduced System Function - Component Or System Over


Temperature

Power steering control module over temperature due to hot climate or


excessive steering inputs by driver

image NOTE:
The system is designed to give a heavier but stable steering feel when high
temperature is detected to protect the system from permanent damage. It is
recommended to reduce level of steering inputs to the steering in the
specific scenarios identified by the customer to provoke the problem.
Depending on the level of reduction this could be accompanied by an alert

Check for heat shield damage or mud packing around power steering control
module. Allow the power steering control module to cool. Consider the
environmental temperature. Using the Jaguar Land Rover Approved
Diagnostic Equipment, clear the DTCs and retest

U2100-56 Initial Configuration Not Complete - Invalid/incomplete


configuration

Power steering control module is not configured correctly

Using the Jaguar Land Rover Approved Diagnostic Equipment, re-configure


the power steering control module with the latest level software. Perform
routine - Lock Steering Tune To Vehicle (3038)

U2300-54 Central Configuration - Missing calibration

Car configuration file mismatch with vehicle specification

Power steering control module is not configured correctly

image NOTE:

After updating the car configuration file, set the ignition to on and wait 30
seconds, followed by another ignition cycle before clearing the DTCs

Using the Jaguar Land Rover Approved Diagnostic Equipment, check and up-
date the car configuration file as necessary. Clear the DTC and re-test

Using the Jaguar Land Rover Approved Diagnostic Equipment, re-configure


the power steering control module with the latest level software

U2300-55 Central Configuration - Not configured

Car configuration file mismatch with vehicle specification

Power steering control module is not configured correctly

image NOTE:
After updating the car configuration file, set the ignition to on and wait 30
seconds, followed by another ignition cycle before clearing the DTCs

Using the Jaguar Land Rover Approved Diagnostic Equipment, check and up-
date the car configuration file as necessary. Clear the DTC and re-test

Using the Jaguar Land Rover Approved Diagnostic Equipment, re-configure


the power steering control module with the latest level software

U2300-56 Central Configuration - Invalid/incomplete configuration

Car configuration file mismatch with vehicle specification

Power steering control module is not configured correctly

image NOTE:

After updating the car configuration file, set the ignition to on and wait 30
seconds, followed by another ignition cycle before clearing the DTCs

Using the Jaguar Land Rover Approved Diagnostic Equipment, check and up-
date the car configuration file as necessary. Clear the DTC and re-test

Using the Jaguar Land Rover Approved Diagnostic Equipment, re-configure


the power steering control module with the latest level software

U3001-00 Control Module Improper Shutdown - No sub type information

image NOTE:

This DTC may set when the vehicle battery is disconnected, whilst the
ignition is in the ‘on’ position. This is not a fault. Clear the DTC and retest

Occurrence of an unexpected power steering control module system reset

image NOTES:

In some case this can be induced during system reduction functions. Ignore if
set in conjunction with other DTCs

If this DTC is logged and BEFORE starting any repairs or further


investigations of power steering issues, first download and retain the
diagnostic session file using the Jaguar Land Rover Approved Diagnostic
Equipment. Where possible, check if the timeframe of any stored DTCs
coincides with customers' reports both of the onset of steering system fault
symptoms and with the technical nature of the reported symptoms. Ignore
this DTC unless customer complains of heavy or intermittent power steering
assistance

Refer to the electrical circuit diagrams and check the power steering control
module power and ground circuits for open circuit, high resistance. Clear the
DTCs and retest

RELATED INFORMATION

Technical Service Bulletins

All Technical Service Bulletins

Testing and Inspection

B Code Charts

C Code Charts

Diagnostic Trouble Code Descriptions

P Code Charts

U Code Charts

You might also like