KEMBAR78
SIEM Implementation | PDF | Json | Server (Computing)
0% found this document useful (0 votes)
29 views15 pages

SIEM Implementation

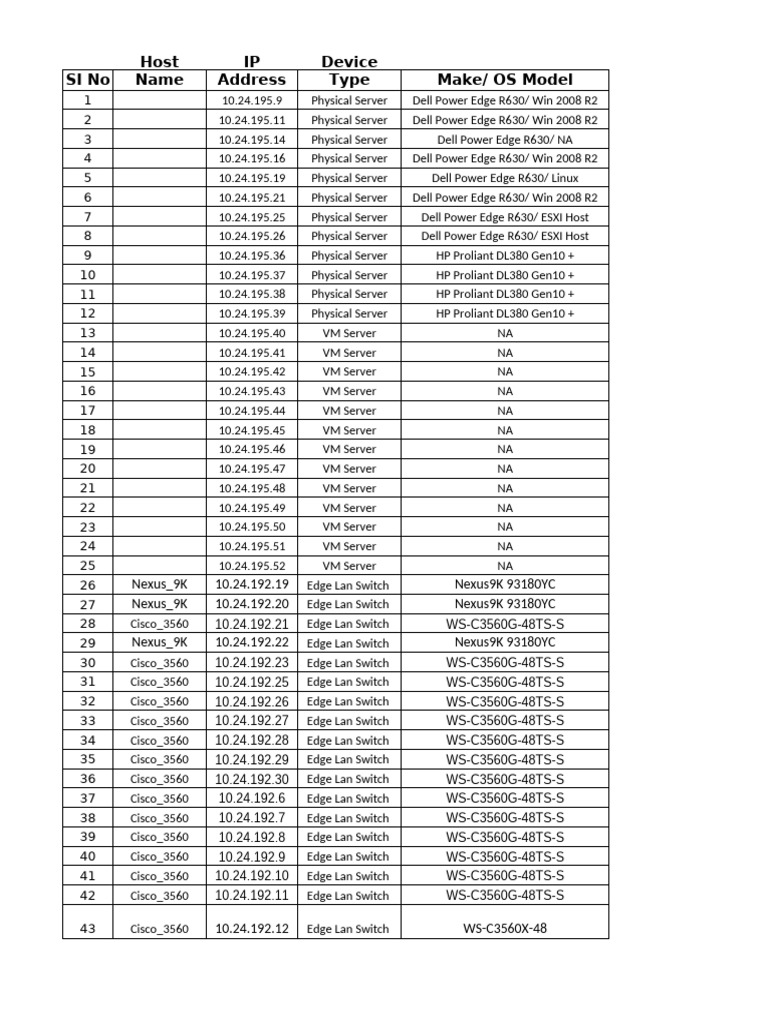
The document provides a detailed inventory of network devices, including physical servers, virtual servers, and edge LAN switches, along with their respective IP addresses and types. It includes various models from manufacturers like Dell and HP, as well as Cisco switches. Additionally, it outlines the data formats and versions associated with these devices, indicating a structured approach to network management.

Uploaded by

pradyuman.nic
Copyright
© © All Rights Reserved
We take content rights seriously. If you suspect this is your content, claim it here.
Available Formats
Download as XLSX, PDF, TXT or read online on Scribd
0% found this document useful (0 votes)
29 views15 pages

SIEM Implementation

The document provides a detailed inventory of network devices, including physical servers, virtual servers, and edge LAN switches, along with their respective IP addresses and types. It includes various models from manufacturers like Dell and HP, as well as Cisco switches. Additionally, it outlines the data formats and versions associated with these devices, indicating a structured approach to network management.

Uploaded by

pradyuman.nic
Copyright
© © All Rights Reserved
We take content rights seriously. If you suspect this is your content, claim it here.
Available Formats
Download as XLSX, PDF, TXT or read online on Scribd
You are on page 1/ 15

Host IP Device

SI No Name Address Type Make/ OS Model


1 10.24.195.9 Physical Server Dell Power Edge R630/ Win 2008 R2
2 10.24.195.11 Physical Server Dell Power Edge R630/ Win 2008 R2
3 10.24.195.14 Physical Server Dell Power Edge R630/ NA
4 10.24.195.16 Physical Server Dell Power Edge R630/ Win 2008 R2
5 10.24.195.19 Physical Server Dell Power Edge R630/ Linux
6 10.24.195.21 Physical Server Dell Power Edge R630/ Win 2008 R2
7 10.24.195.25 Physical Server Dell Power Edge R630/ ESXI Host
8 10.24.195.26 Physical Server Dell Power Edge R630/ ESXI Host
9 10.24.195.36 Physical Server HP Proliant DL380 Gen10 +
10 10.24.195.37 Physical Server HP Proliant DL380 Gen10 +
11 10.24.195.38 Physical Server HP Proliant DL380 Gen10 +
12 10.24.195.39 Physical Server HP Proliant DL380 Gen10 +
13 10.24.195.40 VM Server NA
14 10.24.195.41 VM Server NA
15 10.24.195.42 VM Server NA
16 10.24.195.43 VM Server NA
17 10.24.195.44 VM Server NA
18 10.24.195.45 VM Server NA
19 10.24.195.46 VM Server NA
20 10.24.195.47 VM Server NA
21 10.24.195.48 VM Server NA
22 10.24.195.49 VM Server NA
23 10.24.195.50 VM Server NA
24 10.24.195.51 VM Server NA
25 10.24.195.52 VM Server NA
26 Nexus_9K 10.24.192.19 Edge Lan Switch Nexus9K 93180YC
27 Nexus_9K 10.24.192.20 Edge Lan Switch Nexus9K 93180YC
28 Cisco_3560 10.24.192.21 Edge Lan Switch WS-C3560G-48TS-S
29 Nexus_9K 10.24.192.22 Edge Lan Switch Nexus9K 93180YC
30 Cisco_3560 10.24.192.23 Edge Lan Switch WS-C3560G-48TS-S
31 Cisco_3560 10.24.192.25 Edge Lan Switch WS-C3560G-48TS-S
32 Cisco_3560 10.24.192.26 Edge Lan Switch WS-C3560G-48TS-S
33 Cisco_3560 10.24.192.27 Edge Lan Switch WS-C3560G-48TS-S
34 Cisco_3560 10.24.192.28 Edge Lan Switch WS-C3560G-48TS-S
35 Cisco_3560 10.24.192.29 Edge Lan Switch WS-C3560G-48TS-S
36 Cisco_3560 10.24.192.30 Edge Lan Switch WS-C3560G-48TS-S
37 Cisco_3560 10.24.192.6 Edge Lan Switch WS-C3560G-48TS-S
38 Cisco_3560 10.24.192.7 Edge Lan Switch WS-C3560G-48TS-S
39 Cisco_3560 10.24.192.8 Edge Lan Switch WS-C3560G-48TS-S
40 Cisco_3560 10.24.192.9 Edge Lan Switch WS-C3560G-48TS-S
41 Cisco_3560 10.24.192.10 Edge Lan Switch WS-C3560G-48TS-S
42 Cisco_3560 10.24.192.11 Edge Lan Switch WS-C3560G-48TS-S

43 Cisco_3560 10.24.192.12 Edge Lan Switch WS-C3560X-48


44 Cisco_3560 10.24.192.13 Edge Lan Switch WS-C3560G-48TS-S

45 Cisco_3560 10.24.192.17 Edge Lan Switch WS-C3560X-48

46 Cisco_3560 10.24.192.33 Edge Lan Switch WS-C3560X-48


47 Nexus_9K 10.24.192.35 Edge Lan Switch Nexus9K 93180YC
48 Nexus_9K 10.24.192.34 Edge Lan Switch Nexus9K 93180YC

49 Cisco_3560 10.24.192.36 Edge Lan Switch WS-C3560X-48

50 Cisco_3560 10.24.192.37 Edge Lan Switch WS-C3560X-48


51 Nexus_9K 10.24.192.38 Edge Lan Switch Nexus9K 93108TC

52 Cisco_3560 10.24.192.41 Edge Lan Switch WS-C3560X-48

53 Cisco_3561 10.24.192.42 Edge Lan Switch WS-C3560X-48


54 Cisco_3562 10.24.192.43 Edge Lan Switch WS-C3560G-48TS-S

55 Cisco_3563 10.24.192.45 Edge Lan Switch WS-C3560X-48

56 Cisco_3564 10.24.192.46 Edge Lan Switch WS-C3560X-48


57 Nexus_9K 10.24.192.55 Edge Lan Switch Nexus9K 93180YC-FX3
58 Nexus_9K 10.24.192.53 Edge Lan Switch Nexus9K 93180YC-FX3
59 Nexus_9K 10.24.192.56 Edge Lan Switch Nexus9K 93180YC-FX3
60 Nexus_9K 10.24.192.51 Edge Lan Switch Nexus9K 93180YC
61 Nexus_9K 10.24.192.54 Edge Lan Switch Nexus9K 93180YC-FX3
62 Nexus_9K 10.24.192.52 Edge Lan Switch Nexus9K 93180YC-FX3
63 Nexus_9K 10.24.192.50 Edge Lan Switch Nexus9K 93180YC
64 Nexus_9K 10.24.192.32 Edge Lan Switch Nexus9K 93180YC
Nexus_9K_Core_
65 1 10.24.192.2 Core Lan Switch Nexus9K C9508
Nexus_9K_Core_
66 2 10.24.192.3 Core Lan Switch Nexus9K C9508
67 LNDCFW-1 10.24.206.4 Firewall Checkpoint/GAIA
68 LNDCFW-2 10.24.206.5
69 FW-CLUSTER 10.24.206.6
70 LNDCFW-1 10.24.206.34
71 LNDCFW-2 10.24.206.35
72 FW-CLUSTER 10.24.206.36
Data
Version Format

nxos.7.0.3.I4.7 IOS(JSON,XML)
nxos.7.0.3.I4.7 IOS(JSON,XML)
c3560-ipbasek9-mz.122-50.SE5 IOS(JSON,XML)
nxos.7.0.3.I4.7 IOS(JSON,XML)
c3560-ipbasek9-mz.122-50.SE5 IOS(JSON,XML)
c3560-ipbasek9-mz.122-50.SE5 IOS(JSON,XML)
c3560-ipbasek9-mz.122-50.SE5 IOS(JSON,XML)
c3560-ipbasek9-mz.122-50.SE5 IOS(JSON,XML)
c3560-ipbasek9-mz.122-50.SE5 IOS(JSON,XML)
c3560-ipbasek9-mz.122-50.SE5 IOS(JSON,XML)
c3560-ipbasek9-mz.122-50.SE5 IOS(JSON,XML)
c3560-ipbasek9-mz.122-50.SE5 IOS(JSON,XML)
c3560-ipbasek9-mz.122-50.SE5 IOS(JSON,XML)
c3560-ipbasek9-mz.122-50.SE5 IOS(JSON,XML)
c3560-ipbasek9-mz.122-50.SE5 IOS(JSON,XML)
c3560-ipbasek9-mz.122-50.SE5 IOS(JSON,XML)
c3560-ipbasek9-mz.122-50.SE5 IOS(JSON,XML)
c3560e-universalk9-mz.122-
55.SE5 IOS(JSON,XML)
c3560-ipbasek9-mz.122-50.SE5 IOS(JSON,XML)
c3560e-universalk9-mz.122-
55.SE5 IOS(JSON,XML)
c3560e-universalk9-mz.122-
55.SE5 IOS(JSON,XML)
nxos.7.0.3.I4.7 IOS(JSON,XML)
nxos.7.0.3.I4.7 IOS(JSON,XML)
c3560e-universalk9-mz.122-
55.SE5 IOS(JSON,XML)
c3560e-universalk9-mz.122-
55.SE5 IOS(JSON,XML)
nxos.7.0.3.I4.7 IOS(JSON,XML)
c3560e-universalk9-mz.122-
55.SE5 IOS(JSON,XML)
c3560e-universalk9-mz.122-
55.SE5 IOS(JSON,XML)
c3560-ipbasek9-mz.122-50.SE5 IOS(JSON,XML)
c3560e-universalk9-mz.122-
55.SE5 IOS(JSON,XML)
c3560e-universalk9-mz.122-
55.SE5 IOS(JSON,XML)
nxos64-cs.10.2.5.M IOS(JSON,XML)
nxos64-cs.10.2.5.M IOS(JSON,XML)
nxos64-cs.10.2.5.M IOS(JSON,XML)
nxos.7.0.3.I4.7 IOS(JSON,XML)
nxos64-cs.10.2.5.M IOS(JSON,XML)
nxos64-cs.10.2.5.M IOS(JSON,XML)
nxos.7.0.3.I4.7 IOS(JSON,XML)
nxos.7.0.3.I4.7 IOS(JSON,XML)

nxos.7.0.3.I4.7 IOS(JSON,XML)

nxos.7.0.3.I4.7 IOS(JSON,XML)
R81.1 Native - Syslog

Label
Host Name

IP Address
Device Type

Make / OS
Model

Version

Data Format

Expected Data
Volume

examples of each label to facilitate understand


for all parties involved in the implementation
Description
The unique name or identifier of a
device or system on the network.
The numerical label assigned to a
device on a network for
identification and addressing.
The general category or type of
device (e.g., server, firewall,
router, workstation).
The brand or manufacturer and
model of the device's operating
system or hardware.
The specific software or firmware
version running on the device.
The format in which data is
structured or logged (e.g., syslog,
JSON, XML).
The estimated amount of data
produced by the source device
over a given time period (e.g., in
megabytes or gigabytes).
ples of each label to facilitate understanding
all parties involved in the implementation
S No Host Name IP Address Device Type
BBH Details
1 R6SR06BBHSW1 10.24.192.180 SAN Switch
2 R6SR06BBHSW2 10.24.192.181 SAN Switch
3 HITACHISWITCH1 10.24.253.185 SAN Switch
4 HITACHISWITCH2 10.24.253.186 SAN Switch
5 N/A 10.24.253.166 G700 Controller 1
6 N/A 10.24.253.167 G700 Controller 2
7 LNDCCLS-1 10.24.253.172 HNAS Controller1
8 LNDCCLS-2 10.24.253.173 HNAS Controller2
9 N/A 10.24.253.59 vSMU
10 N/A 10.24.253.165 SVP G700
11 R900AC1CFE0F 10.24.253.164 SVP 5000
12 CICSO-FCIP-01 10.24.253.168 FCIP Switch
13 CICSO-FCIP-02 10.24.253.169 FCIP Switch
14 LNDCS11-01.BHUBCLOUD1.NIC.IN 10.24.253.84 S11 Server Module 1
15 LNDCS11-02.BHUBCLOUD1.NIC.IN 10.24.253.85 S11 Server Module 2
16 lndchcp01cl101 10.24.253.76 HCP G11(Node101)
17 lndchcp01cl102 10.24.253.77 HCP G11(Node102)
18 lndchcp01cl103 10.24.253.78 HCP G11(Node103)
19 lndchcp01cl104 10.24.253.79 HCP G11(Node104)
20 lndchcp01cl105 10.24.253.80 HCP G11(Node105)
21 lndchcp01cl106 10.24.253.81 HCP G11(Node106)
22 lndchcp01cl107 10.24.253.82 HCP G11(Node107)
23 lndchcp01cl108 10.24.253.83 HCP G11(Node108)

LNDC Details
S No Host Name IP Address Device Type
1 R8007E08060F 10.24.195.24 VSP G1500 Storage
2 MDS-EDGE SW-25 10.24.192.143 Edge SAN Switch
3 MDS-EDGE- SW-24 10.24.192.144 Edge SAN Switch
4 MDS-EDGE- SW-23 10.24.192.145 Edge SAN Switch
5 MDS-EDGE- SW-21 10.24.192.147 Edge SAN Switch
6 MDS-EDGE- SW-19 10.24.192.148 Edge SAN Switch
7 MDS-EDGE- SW-20 10.24.192.149 Edge SAN Switch
8 MDS-EDGE- SW-21 10.24.192.150 Edge SAN Switch
9 MDS-EDGE- SW-22 10.24.192.151 Edge SAN Switch
10 MDS-EDGE- SW-16 10.24.192.152 Edge SAN Switch
11 MDS-EDGE- SW-15 10.24.192.153 Edge SAN Switch
12 MDS-EDGE- SW-14 10.24.192.154 Edge SAN Switch
13 MDS-EDGE- SW-1 10.24.192.142 Edge SAN Switch
14 MDS-EDGE- SW-2 10.24.192.141 Edge SAN Switch
15 MDS-EDGE- SW-3 10.24.192.140 Edge SAN Switch
16 MDS-EDGE- SW-4 10.24.192.139 Edge SAN Switch
17 MDS-EDGE- SW-5 10.24.192.138 Edge SAN Switch
18 MDS-EDGE- SW-6 10.24.192.137 Edge SAN Switch
19 MDS-EDGE- SW-7 10.24.192.136 Edge SAN Switch
20 MDS-EDGE- SW-8 10.24.192.156 Edge SAN Switch
21 MDS-EDGE- SW-12 10.24.192.132 Edge SAN Switch
22 MDS-EDGE- SW-26 10.24.192.160 Edge SAN Switch
23 MDS-EDGE- SW-10 10.24.192.134 Edge SAN Switch
24 MDS-EDGE- SW-11 10.24.192.133 Edge SAN Switch
25 MDS-EDGE- SW-29 10.24.192.169 Edge SAN Switch
26 MDS-EDGE- SW-32 10.24.192.162 Edge SAN Switch
27 MDS-EDGE- SW-34 10.24.192.177 Edge SAN Switch
28 MDS-EDGE- SW-33 10.24.192.176 Edge SAN Switch
29 MDS-EDGE- SW-31 10.24.192.175 Edge SAN Switch
30 MDS-EDGE- SW-34 10.24.192.178 Edge SAN Switch
31 Core Sw-1 10.24.192.171 Core SAN Switch
32 Core Sw-2 Principal switch 10.24.192.170 Core SAN Switch
Make/ OS Model Version Data Format
BBH Details
CISCO MDS-9148T version 8.3(1)
CISCO MDS-9148T version 8.3(1)
CISCO MDS-9148T version 8.3(1)
CISCO MDS-9148T version 8.3(1)
HITACHI N/A
HITACHI N/A
HITACHI /Debian GNU/Linux 10 (buster)" 10 (buster)
HITACHI /Debian GNU/Linux 10 (buster)" 10 (buster)
Hitachi SMU 14.2.7117.05
Hitachi Storage/Windows 10 NA
Hitachi Storage/Windows 10 Entp. LTSC 1809
cisco MDS 9220i version 8.5(1)
cisco MDS 9220i version 8.5(1)
Hitachi object Storage/NA v3.1.1.7-HF2
Hitachi object Storage/NA v3.1.1.7-HF3
Hitachi object Storage/AOS os release 9.3 v9.3.3.14
Hitachi object Storage/AOS os release 9.3 v9.3.3.14
Hitachi object Storage/AOS os release 9.3 v9.3.3.14
Hitachi object Storage/AOS os release 9.3 v9.3.3.14
Hitachi object Storage/AOS os release 9.3 v9.3.3.14
Hitachi object Storage/AOS os release 9.3 v9.3.3.14
Hitachi object Storage/AOS os release 9.3 v9.3.3.14
Hitachi object Storage/AOS os release 9.3 v9.3.3.14

LNDC Details
Make/ OS Model Version Data Format
Hitachi/Windows 7 Professional NA
CISCO MDS 9148S/(NX-OS) Software 8.1(1)
CISCO MDS 9148S/(NX-OS) Software 8.1(1)
CISCO MDS 9148S/(NX-OS) Software 8.1(1)
CISCO MDS 9148S/(NX-OS) Software 8.1(1)
CISCODS-C9124/(NX-OS) Software 5.2(2)
CISCO MDS 9148S/(NX-OS) Software 8.1(1)
CISCO MDS 9148S/(NX-OS) Software 8.1(1)
CISCO MDS 9148S/(NX-OS) Software 8.1(1)
CISCO MDS 9148S/(NX-OS) Software 8.1(1)
CISCO MDS 9148S/(NX-OS) Software 8.1(1)
CISCO MDS 9148S/(NX-OS) Software 8.1(1)
CISCO MDS 9148S/(NX-OS) Software 8.1(1)
CISCO MDS 9148S/(NX-OS) Software 8.1(1)
CISCO MDS 9148S/(NX-OS) Software 8.1(1)
CISCO MDS 9148S/(NX-OS) Software 8.1(1)
CISCO MDS 9148S/(NX-OS) Software 8.1(1)
CISCO MDS 9148S/(NX-OS) Software 8.1(1)
CISCO MDS 9148S/(NX-OS) Software 8.1(1)
CISCO MDS 9148S/(NX-OS) Software 8.1(1)
CISCO MDS 9148S/(NX-OS) Software 8.1(1)
CISCO MDS 9148S/(NX-OS) Software 8.1(1)
CISCO MDS 9148S/(NX-OS) Software 8.1(1)
CISCO MDS 9148S/(NX-OS) Software 8.1(1)
CISCO MDS 9148S/(NX-OS) Software 8.1(1)
CISCO MDS 9148S/(NX-OS) Software 8.1(1)
CISCO MDS 9148S/(NX-OS) Software 8.1(1)
CISCO MDS 9148S/(NX-OS) Software 8.1(1)
CISCO MDS 9148S/(NX-OS) Software 8.1(1)
CISCO MDS 9148S/(NX-OS) Software 8.1(1)
CISCO DS-C9710/(NX-OS) Software version 8.4(2f)
CISCO DS-C9710/(NX-OS) Software version 8.4(2f)
S No Host Name IP Address
1 MDS-EDGE SW-25 10.24.192.143
2 MDS-EDGE- SW-24 10.24.192.144
3 MDS-EDGE- SW-23 10.24.192.145
5 MDS-EDGE- SW-21 10.24.192.147
6 MDS-EDGE- SW-19 10.24.192.148
7 MDS-EDGE- SW-20 10.24.192.149
8 MDS-EDGE- SW-21 10.24.192.150
9 MDS-EDGE- SW-22 10.24.192.151
10 MDS-EDGE- SW-16 10.24.192.152
11 MDS-EDGE- SW-15 10.24.192.153
12 MDS-EDGE- SW-14 10.24.192.154
13 MDS-EDGE- SW-1 10.24.192.142
14 MDS-EDGE- SW-2 10.24.192.141
15 MDS-EDGE- SW-3 10.24.192.140
16 MDS-EDGE- SW-4 10.24.192.139
17 MDS-EDGE- SW-5 10.24.192.138
18 MDS-EDGE- SW-6 10.24.192.137
19 MDS-EDGE- SW-7 10.24.192.136
20 MDS-EDGE- SW-8 10.24.192.156
21 MDS-EDGE- SW-12 10.24.192.132
22 MDS-EDGE- SW-26 10.24.192.160
23 MDS-EDGE- SW-10 10.24.192.134
24 MDS-EDGE- SW-11 10.24.192.133
25 MDS-EDGE- SW-29 10.24.192.169
26 MDS-EDGE- SW-32 10.24.192.162
27 MDS-EDGE- SW-34 10.24.192.177
28 MDS-EDGE- SW-33 10.24.192.176
29 MDS-EDGE- SW-31 10.24.192.175
30 MDS-EDGE- SW-34 10.24.192.178
31 Core Sw-1 10.24.192.171
32 Core Sw-2 Principal switc 10.24.192.170
16 Server Module 1 IP 10.24.253.84
17 Server Module 2 IP 10.24.253.85
18 HCP G11(Node101) 10.24.253.76
19 HCP G11(Node102) 10.24.253.77
20 HCP G11(Node103) 10.24.253.78
21 HCP G11(Node104) 10.24.253.79
22 HCP G11(Node105) 10.24.253.80
23 HCP G11(Node106) 10.24.253.81
24 HCP G11(Node107) 10.24.253.82
25 HCP G11(Node108) 10.24.253.83
Make/ OS Model Version Data Format
CISCO MDS 9148S/(NX-OS) Software 8.1(1)
CISCO MDS 9148S/(NX-OS) Software 8.1(1)
CISCO MDS 9148S/(NX-OS) Software 8.1(1)
CISCO MDS 9148S/(NX-OS) Software 8.1(1)
CISCODS-C9124/(NX-OS) Software 5.2(2)
CISCO MDS 9148S/(NX-OS) Software 8.1(1)
CISCO MDS 9148S/(NX-OS) Software 8.1(1)
CISCO MDS 9148S/(NX-OS) Software 8.1(1)
CISCO MDS 9148S/(NX-OS) Software 8.1(1)
CISCO MDS 9148S/(NX-OS) Software 8.1(1)
CISCO MDS 9148S/(NX-OS) Software 8.1(1)
CISCO MDS 9148S/(NX-OS) Software 8.1(1)
CISCO MDS 9148S/(NX-OS) Software 8.1(1)
CISCO MDS 9148S/(NX-OS) Software 8.1(1)
CISCO MDS 9148S/(NX-OS) Software 8.1(1)
CISCO MDS 9148S/(NX-OS) Software 8.1(1)
CISCO MDS 9148S/(NX-OS) Software 8.1(1)
CISCO MDS 9148S/(NX-OS) Software 8.1(1)
CISCO MDS 9148S/(NX-OS) Software 8.1(1)
CISCO MDS 9148S/(NX-OS) Software 8.1(1)
CISCO MDS 9148S/(NX-OS) Software 8.1(1)
CISCO MDS 9148S/(NX-OS) Software 8.1(1)
CISCO MDS 9148S/(NX-OS) Software 8.1(1)
CISCO MDS 9148S/(NX-OS) Software 8.1(1)
CISCO MDS 9148S/(NX-OS) Software 8.1(1)
CISCO MDS 9148S/(NX-OS) Software 8.1(1)
CISCO MDS 9148S/(NX-OS) Software 8.1(1)
CISCO MDS 9148S/(NX-OS) Software 8.1(1)
CISCO MDS 9148S/(NX-OS) Software 8.1(1)
CISCO DS-C9710/(NX-OS) Software version 8.4(2f)
CISCO DS-C9710/(NX-OS) Software version 8.4(2f)

You might also like