KEMBAR78
Filter Design | PDF
0% found this document useful (0 votes)
108 views28 pages

Filter Design

The document outlines examination questions for a Filter Design course at Tribhuvan University, Institute of Engineering, covering various topics such as filter types, characteristics, design specifications, and sensitivity analysis. It includes specific tasks like deriving transfer functions, designing Butterworth and Chebyshev filters, and explaining concepts like frequency transformation and transmission zeros. Candidates are instructed to provide answers in their own words and assume suitable data where necessary.
Copyright
© © All Rights Reserved
We take content rights seriously. If you suspect this is your content, claim it here.
Available Formats
Download as PDF or read online on Scribd
0% found this document useful (0 votes)
108 views28 pages

Filter Design

The document outlines examination questions for a Filter Design course at Tribhuvan University, Institute of Engineering, covering various topics such as filter types, characteristics, design specifications, and sensitivity analysis. It includes specific tasks like deriving transfer functions, designing Butterworth and Chebyshev filters, and explaining concepts like frequency transformation and transmission zeros. Candidates are instructed to provide answers in their own words and assume suitable data where necessary.
Copyright
© © All Rights Reserved
We take content rights seriously. If you suspect this is your content, claim it here.
Available Formats
Download as PDF or read online on Scribd
You are on page 1/ 28
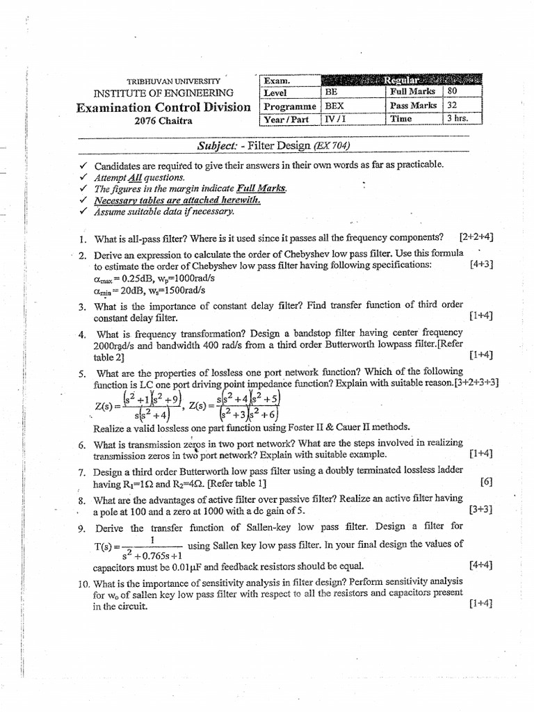
Examination Control Division | Programme | BEX nS yor 10. ‘TRIBHUVAN UNIVERSITY INSTITUTE OF ENGINEERING Level BE Pass Marks | 32 2076 Chaitra ‘Year/Part_[IV/1 ining sat) airs a ‘Subject: - Filter Design (EX 704) Candidates are requited to give their answers in their own words as far as practicable. Attempt All questions. The figures in the margin indicate Full Marks, Necessary tables are attached herewith, Assume suitable data if necessary. ‘What is all-pass filter? Where is it used since it passes all the frequency components? [24244] Derive an expression to calculate the order of Chebyshev low pass filter. Use this formula to estimate the order of Chebyshev low pass filter having following specifications: [443] Onc 0.254B, wy=1000rad/s Ginjn™= 2088, Wy 1500rad/s ‘What is the importance of constant delay filter? Find transfer function of third order constant delay filter. [IM] What is frequency transformation? Design a bandstop filter having center frequency 2000rad/s and bandwidth 400 rad/s from a third order Butterworth lowpass filter.[Refer table 2] Ty ‘What are the properties of lossless one port network function? Which of the following function is LC one port driving point impedance function? Explain with suitable reason.[3+2+3+3] Realize a valid lossless one part function using Foster II & Cauer Iethods. What is transmission 2éx0s in two port network? What are the steps involved in realizing transmission zeros in tw6 port network? Explain with suitable exemple. ies} Design a third order Butterworth low pass filter using a doubly terminated lossless adder having R=10 and Ro=40. (Refer table 1] (4 What are the advantages of active filter over passive filter? Realize an active filter having pole at 100 and a zero at 1000 with a de gain of 5. G43] Derive the transfer function of Sallen-key low pass filter. Design a filter for : using Sallen key low pass filter. In your final design the values of 1@)=>——— s?+0.765s-4+1 capacitors must be 0.01pF and feedback resistors should be equal. [+4] ‘What is the importance of sensitivity analysis in filter design? Perform sensitivity analysis for wo of sallen key low pass filter with respect to all the resistors and capacitors present in the circuit. [144] 11, What is GIC? How can you simulate a grounded inductor? Design a fourth order Butterwarth highpass filter having we=16,000 rad/s and practically suitable elements using simulated inductors. [Refer table 2] [14344] 12. What is switched capacitor filter? How summer, inverting integrator and non-inverting integrator can be realzied using switched capacitor? Explain with necessary diagrams and transfer fiinction. [15] oe | Table 1: Pole Location for Butterworth Responses n= 23 n= D5. = 07071088 = 0.50 = 03826854 = 0.809017 £j 0.7071068 & j 0.86603 £j 0.9238795. j 0.587852 -10 ~0,9238795) ~0,309017 j 0, 3826834 £5 0. 9510565 “10 Table 2: Blements values for doubly terminated Butterworth filter normalized to half pawer frequency of I radls. 10 jo Vs a= C3! nC In G La Cs 2 1414 1.414 31 2 4 0.7654 1.848 1.848 0.7654 i a 0.618 1.618 2 1.618 0.618 "TRIBHUVAN UNIVERSITY INSTITUTE OF ENGINEERING Fall Marks | 80 Examination Control Division | Programme | BEX Marks [32 | 2075 Chaitra Year 7Pi e Shrs._| ‘Subject: - Filter Design (£X70. Candidates are required to give their answers in their own words as far as practicable, Attempt All questions. The figures in the margin indicate Full Marks. . Assume suitable data if necessary. S484 1. Define ainay Ginis half power frequency, bandwidth, insertion loss and insertion gain with necessary figures. . (6 2, What-are the characteristics of Butterworth filter? Derive an expression to estimate the order (n) of low pass Butterworth approximation, Use this formula to estimate the order of Butterworth filter with the following specifications: 1000 rad/sec; © max = 1 dB 0,= 2000 rad/sec; min = 20 dB +442] 3, What is constant delay filter? Find the transfer function of third order constant delay filter. 243] 4, What is frequency transformation? What is its importance in filter design? Design a bandpass filter having a9 = 2000 rad/s and B = 400 rad/s from a third order Butterworth, lowpass filter. [Refer Table 1] 44] 5, What are the properties of RC driving point impedance function? Determine whether the following functions are lossless function or not? State with reason. S449S7 48 ___ +5) Z(s)=2 Z)=—_ 85) __ (= 2 aay O- Bsa 43D) 3 22648) S445 +3) Realize one of the valid lossless fumetion using Foster Series method and Cauer II method. 3431343] 6. What are-zeros of transmission? How can zeros of transmission be realized in circuit? Explain with examples. 5] 7. What information do you get from transmission coefficient and reflection coefficient? Design a second order Butterworth low pass filter using resistively terminated lossless i ladder with equal termination of 19. 7(S) = ——=—— 245] = On sige ca 8. Derive transfer function of Sallen-Key low pass filter? Design ciewit for transfer function 7(6)=—;—L—— a of capacitor must be 0.01 ji and feedback resisters should also be equal. (44) using Sallen-Key biquad. in your final design the values wity? What is the importance of sensitivity analysis in filter design? ity analysis of a9 in Sallen-Key low pass filter. psted] 10. What is gyrator? How can you simulate inductor using gyrator? Explain with necessary derivation, uy 11. Design a fourth order Butterworth low pass filter having half power frequency of 4000 rad/s using Leapfrog simuletion, [Use table 1] rca] 12. Why resistors are replaced by switched capacitors in IC technology? Design a switched capacitor filter to realize the magnitude response given below: 145] ‘Table 1: Element values for doubly terminated Butterworth Low Pass filter normalized to half power frequency of 1 rad/see. : : cL 2 co 1.414 | 1.414 1 2 1 061s [1618 | 2 | 1618 | 0.618 set a ‘TRIBHUVAN UNIVERSITY INSTITUTE OF ENGINEERING Examination Control Division 2074 Chaitra Subject: - Filter Design (£X704) v Candidates are required to give their answers in their own words as far as practicable, ¥ Attempt All questions. Y. The figures in the margin indicate Full Marks. v Necessary tables are attached herewith. Y Assiime suitable data if necessary. 1, What is a filter? What is its importance in communication? Explain ideal response and response of practi¢al filter, [14243] 2. Derive an expression to calculate the order of Chebyshev low pass filter. Use this formula to find the order of Chebyshev low pass filter having following specification; B+] 8) For pass band extending from f= 0 Hz. to f= 3.2 KHz, the attenuation should not exceed 0.44B ) For stop band extending from f= 9.8 KHz to f= «, the attenuation should not be less. than 52 dB 3. What is an all pass filter? What is its importance? Derive the transfer function of second order constant delay filter. (44) 4. What is frequency transformation? How can you convert a low pass filter into a band stop filter using frequency transformation? Explain with suitable example. RM] 5. What are the properties of RC impedance function? Which of the following is valid RC impedance function? State with reason, Pick a valid RC impedance function and realize it using foster I and cauer I method. [2424343] _3(8° +2) ~~ @ a) 2(8) _G+D(8+5) 20)= 53647) fey GENGED (S+i\s+5) fo) = 8 DE43) @+4\6+5) 6. Define zeros of transmission, How zeros of transmission can be realized? Explain with suitable example. (41 7. What information do you get fiom reflection coefficient? Design a third order” Butterworth low pass filter using Resistively terminated lossless ladder with equal termination of 19. (Use table 1) [hs] 8, Draw the citeuit diagram of Tow-Thomas low pass biqaud circuit and derive its transfer fimetion. Design 4 second order low pass filter using Tow-Thomas biquad poles at -450 893.03 and de gain of 1.5. The final cireuit should consist practically realizable elements. [4+4] 9. How excess gain can be compensated in sallen key filter? Explain. [3] 10, Define sensitivity Perform sensitivity analysis of Tow-Thomas biquad low pass filter. [14] 11. What is ideal gyrator? How can you simulate inductor using gyrator? Explain with necessary deriation, [4] 12, Design the fourth order Butterworth low pass filter using leapfrag simulation, In your final design the half power frequency should be 10000 rad/s and practically realizable clements, [Refer table 2] {7 13, What are the applications of switched capacitor filter? Design a switched capacitor filter for following requirements. [9 Examination Control Division seco aa ee 21 | tylouvaw university INSTITUTE OF ENGINEERING 2075 Ashwin Candidates are required to give their answers in their own words as far as practicable. Attempt All questions. The figures in the margin indicate Full Marks. Necessary tables are attached herewi Assume suitable data if necessary. . . What is the importance of scaling in Filter design? Derive element scaling equations. [244] 2. Derive the expression to calculate the order n of a Butterworth Low pass filter and use it to find the order for given specification: dma = 1 dB, Onin = 20 dB and w,/o = 1.5, Also determine pole locations and transfer functions. [4244] 3. What is a constant delay filter? Find the transfer function of 3” order Bessel Thomson response having a constant delay, (244) 4, What is the importance of frequency transformation? Obtain a bandpass filter having > = 2000 rad/s and B = 400 rad/s from fourth order Butterworth lowpass filter. = [Refer table 2} [4] 5. Which of the following is LC lossless functions and why? Pick one of the valid LC lossless functions and realise it using Foster and Cauer-I form. [21343] : s6e244y(5746) DAO = Grane) . (3243)(646) i) 22(8) = ag@an we _ CHNS45) ii) 236) = eae (243)67+6) ™) 246) = Ganaeay 6. What is transmission zeros in two port network? What is zero shifting by partial removal of pole? Explain with suitable example. [143] 7. Design a third order Butterworth low pass filter using resistively terminated losstess ladder with unequal termination, Ri = 1 Qand R= 4 Q. [Refer table 1] m 8. Derive transfer function of Sallen Key low pass filter. Design second order Butterworth ow pass filter using Sallen Key biquad. In your final design the values of capacitor must be 0.01pF and feedback resisters should also be equal. [Use Table 1] (444) 9. What is RC-CR transformation? How can you convert a Sallen Key low pass filter into the Sallen Key High pass filter using RC-CR transformation? (4 10. What information do you get when sensitivity of x with respect to y is -3, Perform sensitivity analysis for 9 of Sallen Key low pass filter with respect to all the resisters and ‘capacitors present in the circuit, [14] 11, What is GIC? How a GIC can be used to simulate grounded inductor? Explain with necessary figures and expression, (51 12, Simulate the Butterworth 4" order low pass filter in resistively ~ terminated lossless network using FDNR. (Refer table 2) 4 13, What is a switched capacitor filter? How resistor, summing integrator and inverting lossy integrator can be realized using switched capacitor filter? Explain with necessary derivations. 145] ae Table I: Pole Location for Butterworth Responses wD, a3 ned oa = 0.1071068 ~ 0.50 ~~ [03826834 = 0.809017 4] 0.7071068 [0.86603 4 0,9238795 £5 0.587852 = 10 = 09238795 = 0.309017 £5 0.3826834 £40. 9510565 ie { “10 Table 2: Elements value’ for doubly terminated Butterwor 10 Vs Ly Gs ee 1th filter normalized to half power frequency of | rad/s aG. GG Gs 2 1414 1414 ea 2 : 4 0.7654 «1.848 1.848 0.7654 3 18 618 2 18, 0.618 al G7 GG Ls ooo La eel eg vs GQ a ‘TRIBHUVAN UNIVERSITY { INSTITUTE OF ENGINEERING Level [BE __ Examination Control Division | Programme | BEX _ 2073 Chaitra {Iv ‘Subject: - Filter Design (2X70) Y Candidates are required to give their answers in their own words as far as practicable. ¥ Attempt AUl questions. . Y The figures in the margin indicate Full Marks, ! ‘ or Y Assume suitable data if necessary. SS moe, 1. Define normalization and denormalisation. Following circuit is a lowpass filter designed at normalization frequency of Wo = Irad/s. Apply frequency and magnitude scaling so that Wo = 10° rad/s and practically realizable elements. Be] 2. Show that the poles of chebyshev filter lie on an ellipse. Also show the major and minor axes. 1 3. What are the characteristics of butterworth response? Calculate thé transfer function of S* order Butterworth filter. B4] 4. What is frequency transformation? Obtain the bandpass filter from lowpass filter given in figure 1 having center frequency 10* rad/s and bandwidth of 9.9 x 10° rad/s, [244] 5. Which of the following functions are lossless impedance function State with reason, [2+3+3] 5 +H (S? +9) » S44 ee (GS? +4) (S? +16) (S$? +1)(S? +3) : lee US? +1) (S? +9) 85448? +58 o nye etree SS +4) S*45S* +6 Synthesize one of the valid lossless impedance function using Foster I and cauer 1 forms. 6. What are the zeros of transmission? How can a zero of transmission to be realized? Explain with examples. (5) = in S$? +28? +2841 the form of resistively terminated LC ladder with Ry = 19 and Rp = 2. (6 8. Derive the transfer function of Sallen and Key low pass Biquad. Using Sallen and Key circuit, design a lowpass filter having Wo of 1000 rad/ses, quality factor of 0.866 and gain 7. Realize the third order Butterworth lowpass transfer function T(s) = of 2. [44] 9. Explain RC -CR transformation with suitable examples. (4) 10. What is sensitivity? What is the importance of sensitivity analysis in filter design? Perform sensitivity analysis of wo in Sallen and Key lowpass filter. {5] 11. What is frequency dependent negative resistor (FDNR)? How can it be used to avoid inductors in Lowpass LC ladder circuit? Explain ftom the circuit given in figure 1 design the lowpass filter having wo = 10" rad/s and practical element values using FDNR. 15+5] 12, What are the applications of switched capacitor filters? Design the switched capacitor filter to realize the magnitude response given in figure 2. [245] * Figure: 2 ae 21 TRIBHUVAN UNIVERSITY INSTITUTE OF ENGINEERING BI Level Examination Control Division [Programme | BEX | 2074 Ashwin Year /Part_|IV7 Subject: - Filter Design (EX704)_ Candidates are required to give their answers in their own words as far as practicable. | Y Attempt All questions. Y The figures in the margin indicate Full Marks. Y Assume suitable data if necessary. 1. Define and explain the following terms with novessary diagrams: dy tly Gp Oy. What is scaling? Derive clement scaling equations. (aH) 2, What are the characteristics of Inverse Chebyshev response? Derive the expression to calculate the required order of Inverse Chebyshev lowpass filter. Using your expression calculate the required order of Inverse ‘Chebyshev filter for following lowpass filter specifications. Mt] 0, =10000, , =20000 rads Og =94, gy =16 B | 3, What is constant delay filter? Obtain the transfer function of second order constant delay filter. Also mention ‘the importance of delay equalization. oT 4, What is frequency transformation in filer design? How can you obtain a bandpass fier from given lowpsss filer at sormalized frequency? Obtain a bandpass filter having @1=100 rad/s and ox=10000 rad/s from following lowpass filter st normalized frequency. [134] onssa 13H | "TL. ez! vi cs 5, What are the properties of lossless one port fiction? Realize the following function using Caner I and Foster I method, : [23343] nae ii | CDE +O | 6 Define transmission and reflection coefficient. Synthesize (3) = M(@'2s'2s+1) in LC ladder circuit terminated with Ri=Ri=10. Bes] 1. Draw the ciruit diagram of Sallen-Key lowpass biquad circuit and derive the transfer function. How can you obtain highpass filter from lowpass one? Design the second order lowpass Butterworth fiter having half power ffequetcy of 12 KHE using Sallen-Key biquad circuit. T(9)= M(s*+12 s+1) [42] 8. What isthe importance of sensitivity analysis in filter design’? Perform the sensitivity analysis of Tow Thomas lowpass fer. (24) 46, Whatis generalized impedance converts (IC)? Txpain how inductors canbe simulated wing CIC? Simults the following highpass fiter by ative simulation of gromded inductors such tht o» is 4000 ras and practically realizable elements. +] 10, What i switched capacitor fille’? What ae its applications? Design a switched capacitor filter for following requirement. 68 ‘000 (2000 ‘40008000 avails 26 ‘TRIBHUVAN UNIVERSITY INSTITUTE OF ENGINEERING iE Examination Control Division | 2073 Shrawan Y Candidates are required to give their answers in their own words as far as practicable. Y Attempt AU questions, Y The figures in the margin indicate Full Marks. ¥ Assume suitable data if necessary. 1. What is Normalization and De-normalization? A low pass filter bas half power frequency of wo rad/s. Derive formula to calculate the new value of the resisters, capacitors and inductors present in the low pass filter if you want to change its half power frequency to watad/s. (25) 2. What are the characteristics of Elliptical Response? Compare it with Chebyshev and Inverse Chebyshev response. B22] 3, What is a constant delay filter? Obtain the transfer function of second order constant delay filter. a) 4, The following low pass filter has passband frequency wp of 1 rad/s. Transform it into a highpass filter having passband frequency of 2KHz. 4] 3H 1H 5. Which of the following functions are LC driving point impedance function and why? [2+3+3] Also find the Foster parallel and cauer I form of the valid LC driving point impedance function. : i i 6. What is zero shifting by partial removal of pole? How can two-port passive cireuits be synthesized using zero-shifting by partial pole removal? Explain. (+4) 7. What is Transmission and Reflection Coefficient? How resistively terminated ladder network can be realized with finite transmission zeroes? Explain. aH} 8, Draw the circuit diagram of Tow Thomas low pass filter and derives its transfer function. Realize following low pass filter using Tow Thomas biquad circuit, —2000 s? +500s +1000000 9. How can the gain enhancement be performed in a Sallen-Key circuit? Explain with necessary diagram, 10. What is sensitivity? Describe it's importance in filter design? Perform sensitivity analysis of quality factor in Tow Thomas Low Pass Filter. 11, What is GIC? How a GIC can be used to simulate a grounded inductor? Explain with necessary figures and derivations, Ts) 12. The following cirouit is a third-order Chebyshev lowpass filter. Simulate i using the leap- fog method. The final design should have w = 4000 rad/s and practically realizable ieee 1Q 2026H 2.02651 + vi 0.9941F 2 +13; Why resistors are replaced: by-switched ‘capacitor in IC- technology? How ean you simulate a resistor using a switched capacitor? Explain with necessary derivations. Also draw the switched capacitor equivalent circuit for inverting summer lossy integration and non inverting integrator. | ! ee i [4+4] (5) [6] [5] (8) 1 24 ‘TRIBHUVAN UNIVERSITY INSTITUTE OF ENGINEERING Examination Control Division | Program ass Marks | 32 2072 Kartik [Wea (She ~ Subject: - Filter Desig: ‘Candidates are required to give their answers in their own words as far as practicable. Attempt Ail questions. The figures in the margin indicate Full Marks. Assume suitable data if necessary. 1, Define the terms: cima, nin Half Power Frequency, Bandwidth, Insertion Gain and Insertion Loss with necessary figures. {6} 2. A Chebyshev low pass filter has following specifications: 8] Gq = 0.5 AB, oy = I rad/s Onin = 22 GB, ©, = 2.33 rad/s Find the minimum order required to meet the specifications and also find the transfer function, What is delay equalization and how can it be done? Explain with necessary figures. 14] 4, What is frequency transformation? Describe the frequency transformation from low pass to band stop filter with example. [4] 5. Realize the given function Z(S) using Cauer-I and Cauer-II method (6) 48' +408? +36 9448 i 6. Synthesize a two port LC ladder to satisfy the following open circuit impedance k(s? +9). +) s(s? +4)” s(s' +4) 7. What do you understand when the transmission coefficient has unity velue? Design a third order Butterworth low pass filter using Resistively terminated lossless ladder with ‘equal termination of Ri = | Q and Ro = 1 Q. (Refer table 1) [+6] 8. Design an active filter using non-inverting op-amp configuration with following transfer (+8) a 4] (+2) a4 9. Draw the circuit diagram of Sallen-Key low pass filter and derive its transfer function. Design second order butterworth low pass filter having half power frequency of 10 KHz using Sellen Key biquad, In your final design the value of capacitors must be 0.01yF and feedback resistors should also be equal (Refer table 1). [544] 10. Define Sensitivity. What is its importance in modem filter design? Compute the sensitivity expression for the @o of Sallen-Key Low pass filter. [3] 11. What is the importance of Bruton transformiation in filter design? How can you simulate FDNR using generalized impedance converter (GIC)? Explain with example. (61 12, Design third order Butterwérth low pass filter using Leapfrog simulation. (Refer table 2). ‘Your final design should have half power frequency of 4KHz and practically realizable elements. (6) 13, Design a switched capacitor filter to realize the transfer function: +5] $+ 200)(S +800) (S+400)" 28) 1 parameters: Z,,(8) = function. T(s)= TS) ‘Table 1: Pole Location for Butterworth: Responses, 2 aS amd 75 aes 7071068 ~ 0.50 = 0.3826834 = 0.809017 0.86603 + j0.9238795 £4 0.587852 =1.0 = 0.9258795 = 0.309017 +} 0, 3826834 =} 0. 9510565 “1.0 : Table 2: : Elements values for doubly terminated Butterworth filter normalized to half power frequency of I xad/s ! 1 Vs 1 nC lL Cs Ly Cs 21414 (1414 | ets a1 rr 4 0.7654 1.848 1.848 0.7654 $0618 1618 2 1.618 0.618 ol cr Ly Cy Ls ih ly Vs G 1 Examination Control Division INSTITUTE OF ENGINEERING Level ‘Full Marks | 80 7 alae 2072 Chaitra Candidates are required-to give their answers in their own words as far as practicable. Astempt All questions. ‘The figures in the margin indicate Full Marks Necessary tables are_ attached herewith. ‘Assume suitable data if necessary. What is the significance of normalization and de-nommalization in filter design? The following isa pass filter with o = I raise. Modify the circuit so that it becomes @ low pass filter with a pass band of 1000 rai/sec anda load resistance of 75 ©. 243] 15H 05H Derive an exptession to calculate the order of Inverse Chebyshev low pass filter. Use this ' Formula to estimate the order of Inverse Chevyshev low pass filter having following specification: 53] Opn =0.254B , w, =1000 rad/s Ogg =18dB, w, =1400rad/s 4, What is delay equalization? How can itbe done? Explain with necestary figures. 5} What are the applications of Frequency Transformation in Filter Design. How can you otaln' high pss filter from a given low pass iter? Exglain with asuitable example. [6] Which of the following is LC lossless function and why? Pick one_of the valid LC ossless functions and synthesize it using Foster and Cauér methods. (24343) 2 44)(6 +9) s? + 2)(s* +10) - (s? + 2)(s? +10) s(S" +5) 3? 425 + 5)(S? +50) Define transmission zeros. How zeros of transmission be realized? Explain with suitable example. 6] i) Z)= ii) Z,(8 iit) 2,6) 7. Design a third order Butterworth low pass filter using resistively terminated lossless ladder with unequal termination, Ry = 19 and Ry = 49 (Refer table 1) m 8. Realize the following transfer function by cascading two first-order sections using inverting op-amp configuration. 65] 2 | ue | O)* yas 9. Design Sallen key lowpass filter for fourth order Butter worth filter. The final circuit | should have wo = 10,000 rad/s have and practically realizable elements, (Refer table 1). [8] 10, What information do you get when the sensitivity of x with respect to y is -5? Perform sensitivity analysis for center frequency (Wo) of the Sallen Key low pass filter with | respect to all the resistors and capacitors present in the circuit. (+4) 11. Draw the circuit diagram of an generalized impedance converter. Derive the relationship | between input and output current. How can it be used to simulate a grounded FDNR? | Explain, E {5] 12, Design a Fourth order Butterworth low pass filter having half power frequency of 4000 rad/s using Frequency dependent negative resister FDNR). (Use table 2) (6] 13, What is switched capacitor filter? Design a switched capacitor filter to realize the magnitude response given below: [146] irae ee 27 ‘TRIBHUVAN UNIVERSITY INSTITUTE OF ENGINEERING Examination Control Division 2074 Chaitra Candidates are required to give their answers in their own words as far as practicable. Attempt All questions. The figures in the margin indicate Full Marks, Assume suitable data if necessary. SAN48 What is the significance of scaling in filter design? Derive the necessary expressions to determine the new values of circuit elements in the case of magnitude and frequency scaling. [6] 2. Derive an expression to calculate the order of Inverse Chebyshev low pass filter. Use this formula to estimate the order of Chebyshev low pass filter having following specifications: (543) Gy =0254B, = 1000rad/s Ogq, = 1863, ©, =1400rad/s 3. Explain the importance of all pass filters in delay equalization. Find the transfer function __ of fourth order Bessel-Thomson low pass filter. B43] 4, What is the importance of frequency transformation in filter design? The circuit given in figure below is a lawpass filter having passband frequency of 1 rad/s. Obtain a band pass filter having @, = 2000 rad/s and B= 400 rad/s, (243) 19 0.9941 ns = 12% a ® p.02s7F 023 7F° 5, Which of the following functions are LC driving point impedance function and why? [2+3+3] s(s? +4)(s? +16) 20-249) a4 SEONG a. Also find the Faster series and Cauer II Realization of the valid LC driving point impedance function, , 6. What is transmission zeros? Explain "zero shifting by partial removal of pole" with example. [4] 7, What is transmission coefficient? What information do we get from it? Derive expression Toroflection coefficient for a resistively terminated LC ladder cirouit. §. Realize a sysiem using inverting op-amp configuration with zero at s = -2 and pole at ¢=-5 and having high frequency gain of 2. 9. Perform sensitivity analysis for center frequency (W) and quality factor (Q) of the Tow Thomas low pass filter with respect to all the resistors and capacitors present in circuit. 10, What is Frequency Dependent Negative Resistor? How can it be used to avoid bulky inductors in the design of your circuits? Explain with suitable ‘examples. 11, Using heapftag method simulate the LC ladder circuit given, in question number 4 to cree sTowr pass filter having passband of 6KFz and suitable element values. 12, What is switched capacitor filter? How inverting lossy iniegrais integrator and non- aarering integrator can be realized using switched capacitor? Explain with necessary diagrams and transfer functions. 1. Draw a neat and clean circuit diagram of Tow-Thomas Low Pass Biquad filter and derive yee transfer function, Design a low pass filter using Tow-Thomas Biquad circuit which has poles at 1000:8994.03} and DC gxin of 1.89. Use 0.010 capacitor in your design. [245] 81 i) (5) {4 7 pl 26 —_TRIBHUVAN UNIVERSITY INSTITUTE OF ENGINEERING Examination Control Division 2071 Shawan | Full Marks | 80 | Pass Marks Subject: - Filter Design (EX704) Candidates are required to give their answers in their own words as far as practicable. Attempt All questions. The figures in the margin indicate Full Marks Assume suitable data if necessary. SAAN) 1, What is normalization and denormelization? Explain the importance of normalization end denormalization in filter design with example. (6) 2. Derive the relation to calculate the order of Chebyshev filter, Using this formula calculate the required order of Chebyshev filter for following lowpass filter specification. 1543] Geax = 0.5 EB Onn ©,= 1000 rad/s o, 3, What are the characteristics of elliptic response? Compare it with that of Inverse Chebyshev response. [6] 4, How can you obtain a bandstop filter from given lowpass filter? Explain with a suitable example. [5] 5, What are the required properties of a function to be realizable? Explain the properties of lossless two port function, B43] 6. Which of the following fimetion is v RC admittance fonction? State with reason, Realize one of the RC admittance function in Foster I and RC ladder fore. [24343] = G49) = SDE, = (2201544) = HSH) YO)" Genera YO = Feeney YO) eeyersy YO)" seener) 7. Define transmission and reflection coefficient. Explain how resistively terminated ladder network can be realized with finite transmission zeros. [244] 8, Draw the circuit diagram of Tow Thomas biquad filter and derive its lowpass transfer function. Design a second order Butterworth lowpass filter having half power frequency of 5 kHz using Tow Thomas biquad cirouit. Your final circuit should have all capacitors of 0.001 PF. [444] 9, * How gain enhancement ean be performed in Sallen and Key circuit? Explain with necessary diagram. [5] 10, What is sensitivity? What is its importance in filter design? Perform the sensitivity analysis of quality factor of Tow Thomas biquad lowpass filter. [1412] 11, What is generalized impedance converter (GIC)? How Antonious’s GIC can be used to simulate grounded inductor? Explain with necessary figures and derivations. (6) 12, What is FDNR? Explain how FDNR avoids the tse of inductor. Following circuit is a lowpass filter having half power frequency of | rad/sec. Obtain a lowpass filter having half power frequency of 5 kHz and largest capacitor of 0.01 4 using FDNR. [244] = 1.618 1618E 13, What is switched capacitor filter? What are its applications? Draw the switched capacitor equivalent circuit for inverting summer, lossy integrator and non-inverting integrator. 161 see 26 © TRIBHUVAN UNIVERSITY INSTITUTE OF ENGINEERING i BE Examination Control Division | Programme | BEX 2070 Chaitra Year /Part_ [IVT Subject: - Filter Design (£X704)_ ¥- Candidates are required to give their answers in their own words as far as practicable. ¥. Attempt Al questions. Y The figures in the margin indicate Full Marks, Y Necessary tables are attached herewith. Y “Assume suitable data if necessary. 1. Define cass, nia and half power bandwidth with necessary diagrams. At frequency {= 20 KHz and f= 30 KHz filter is designed to attenuate the input signal by 78 dB and 90 dB respectively. Find the amplitude of the output signal if the 30-KHz input signal has amplitude of 1V. = Bea] 2. Derive an expression to calculate the order of Chebyshev low pass filter. Use this formula to estimate the order of Chebyshev low pass filter having following specification: max = 0.1 dB, | Wp = 1000 rad/s [543] Opin = 200B, — w,= 2500 rad/s 3. What is constant delay filter? What are the steps involved in designing constant delay filter? Explain with necessary example. (6) 4. What is the significance of frequency transformation in filter design? How band pass filter can be obtained from prototype low pass filter? Explain with example, (143) 5. Which of the following functions are LC driving point impedance function and whiy? Pick one of the valid LC driving point impedance and synthesize it in Foster-1 and Caver-I_ (+1? +5) Ss(s +4) form: Z,(s) = SUS * >) 2,(s)=— E+) _ 2. srmateale) (6? +2)(87 +10) ats) (+i? +3) cee _ Us? +16? +9) _ +2645) Ae) eh 24) 4 6+4) 6. What is transmission zeros? What are the steps involved in realizing transmission zeros of a lossless two port network? Explain with suitable example, (5 7. What is reflection coefficient? Design a third order Butterworth high pass filter using resistively terminated lossless ladder with equal termination of 19. (Refer following table). [146] FGI Location for Butterworth Responses n=2 n=3 n=4 nS ~ 0.7071068 ~ 050 = 0.3826834 = 0.809017 + j 0.7071068 + j 0.86603 #j0.9238795 j 0.587852 =10 + 09238795 = 0.309017 : +] 0. 3826834 +} 0.9510565 { 10 8. Draw the circuit diagram and derive transfer fimetion of Tow Thomas Biquad circuit, Design a low pass filter using Tow-Thomas Biquad circuit with poles at -500 + j 2449.49 and de gain of 2. The final circuit should consist capacitors of value 0.1}F. (345) 9. What is RC-CR transformation? Draw the circuit diagram of high pass sallen-key biquad | obtained by RC-CR transformation of its low pass counterpart. 4] | 10. What is signal parameter sensitivity? Perform sensitivity analysis for center frequency co Gwe) of Sallen-Key biquad with respect to all resistors and capacitors present in the | circuit. 7 [14] | 11, What is GIC? How a GIC can be used to simulate grounded inductor? Explain with necessary figures and expression. i] 12, Simulate third order Butterworth low pass filter using Leapfrog simulation. (Refer following table) iG} ‘Elements values for doubly terminsted Butterworth filter normalized to half power frequency of 1 rad/s 1 lL ' vs ct i nC ln G La Cs 21414 1.414 per e t 4 0.7654 1.848 1.848 0.7654 50.618 1.618 2 1.618 0.618 nil Gs cy Ls 1 bh Ly 13, Whatis switched capacitor filter? What are its applications? Design a switched capacitor {filter to realize the magnitude response given below: [245] 26 TRIBHUVAN UNIVERSITY = INSTITUTE OF ENGINEERING [ev rel Examination Control Division | Programme | BEX 2069 Chaitra i] BB Full Marks | Pass Marks | 32 Y Candidates are required to give their answers in their own words as far as practicable, 5 ¥ Attempt All questions. Y The figures in the margin indicate Full Marks. Assume suitable data if necessary. 1. What is the importance of Normalization and Denormalization in filter design? Derive element scaling equations. [2+5] 2. Derive the expression to calculate the order of Butterworth appronimation for given lowpass filter specifications. Calculate the order of Butterworth low pass filter having following specification; [543] i) Passband extends from @ = 0 to @ = 200 rad/s and the attenuation in the passband | should not exceed 0.1 dB. | ii), Stopband extends from @ = 2000 rad/s to @ = co and the attenuation in the stopband should not be less than 30 dB 3. What is a constant delay filter? Find the transfer function of a third order Bessel Thomson response having constant delay. [24] j 4, What is frequency transformation? Describe the frequency transformation from low pass to band stop filter with example. “ 5. Which of the following functions are LC driving point impedance function and why? [443] s(s?+4) s? +1)(62 +9) 29)=— S49 _, 4) - SE) Bie sig’ OM eras) s(s? +4) 2(6+1)(s+3) Ue) tO, 216) = EEE) i sy 28? + 1s? +9) . (s+2)(s+4) Also find the Cauer II realization of the valid LC driving point impedance function. 6. What is "zero shifting by partial removal of pole"? Explain with example. Also mention | its importance in two port network synthesis, ~ [442] 7. What is transmission coefficient? What information do you get from the transmission | coefficient? Design a second order Butterworth low pass filter using lossless ladder with | equal termination of 19 i.e-Ry = 10 and Ry = 19 (Refer Table 1) [+145] | 8. Draw the circuit diagram of Tow thomas biqual low pass filter and derive its transfer | function. Design a second order low pass filter using Tow Thomas biquad circuit having { poles at -750 +j 661.44 and de gain of 2, Use capacitor of value 0.01yF in your design. [8] 9, 10. Me Design the following transfer function using inverting op-amp configuration. (4) $4400 Te) =7 S400 =7 55200 ‘You are not allowed to use inductors in the design. ‘What do you understand when the sensitivity of y with respect to x is equal to -37 Perform sensitivity analysis for Quality factor Q of the Tow Thomas low pass filter with respect to all the resistors and capacitors present in the circuit. us] What is generalized impendance converter (GIC)? How can you simulate the grounded incuetor in the passive filter using GIC? Explain The following cireuit is a high pass filter having half power frequency of 1 rad/sec. Design a high pass filter having half power frequency of 4.5 kHz by active simulation of inductors. In your final circuit the largest 1 capacitance should be 0.1 pF. [2446] + . What is a switched capacitor filter? What are its applications? How can you simulate & resistor using switched capacitor? Explain with necessary derivation. * (343) Table 1: Pole Location for Butterworth Responses. n= a=3 naa n=5 “07071068 [-0.50 “0382684 | 0.809017 | + 0.7071068_| 4 0.86603 _| +) 0.9238795_| 4) 05877852 =10 -0.9238795 | -0.309017 4 0.3826834_| 4) 0.9510565 =1.0) see a ‘TRIBHUVAN UNIVERSITY INSTITUTE OF ENGINEERING amination Contre] Division | Programme 2068 Jesthia wea Subject: - Filter Design Y. Candidates are required to give their answers in their own words as fer'as practicable. Y Attempt All questions. : Y The figures in the margin indicate Full Marks : ¥ Assume suitable data if necessary. 1, Define filter. Explain the steps involved in the design of filter. [245 2. What is frequency transformation? Explain the process of transformation from a prototype LPF to BPF with necessary derivation and illustrations, (+s) 3, Explain the synthesis of lossless one port network with its properties. 7 4, Define zeros of transmission. How can you realize zeros of transmission in & two-port network? Illustrate with example, [6] 3, Realize a 3% order lowpass Butterworth filter in resistively terminated network having Ris Q at nomnalized frequency. 8] 6. Désign a BPF with centre frequency of 1000 rad/sec, BW = 200 rad/see and mexinum” _ gain of 1 using Tow-Thomas Biquad. 7] ‘T. The sensitivity of passive filter is lower than that of an active one, Justify it with suitable Tedsons. : [3] 8. Simulate a Butterworth LPF of 4% ordr with half power frequency of 1000 rad/sec and doubly terminated realization using Leapfrog simulation. {10} Li Cpe [eerie ey Ri Rp 0.7654 | 10848 | 10848 | 0.7654 i a 9. Design a switched capacitor filter for the given specification. (71 AB © (rad/sec) 200 400 10, Write down the general steps to find out the TF of Bessel-Thomson Delay filter and derive the TF of 3 oner,+ i 11. Explain the process of gain redution in Sellen and Key LPB. (6) 12. iVhat is FDNR? How can you simulate FDNRQExplain, (5) wae, [6] amination Control Diy: 2067 Shrewan [Full Maris [85 —") Tae Pass Marks | 32 Subject: - Fit Désign CA se at Candidates are required to give their anewers in thee Wi Attempt All questions. . The figures in the margin indicate Full Mark Assume suitable data if necessary. “ ¥ Derive the expression estimate the order (n) of Chebyshev approximation. Use this formula to estim: the order of Chebyshev filter fon following specifications: 0, = 2000 rad/s @, =3000 rad/s 2,205 dB 2,222 dB Plot the pole zero locations, end determine the transfer Function, ‘What are the properties of lossless function? Det function or not? 40st 4 Ps Pde ss s8 eye tt. Zaye! 44s. 351s? 432 the following functions are lossless (10) Zs) eae + i2e one of the valid lossless function using Foster series and Cauer! method. the second order Butterworth filter (Refer Table 1) using Sallen end Key circuit having helf power [10] frequency. of 4000 rad/see, In your final design the de gain must be unity, the value of capacitors must be of 0.01 pF and feedback resistors should also be equal What do you mean by zeros of transmission? How can you realize zeros of transmission? sviteble example. What are the effects of non-linear phase response? Explain, Derive the transfer function of 3 order filter (8) heving constant delay. Wet are the differences between passive and active filter? Explain, Reslize e bilinear wansfer function [8] with zero at6, pole at2 and'de gain of 3 using inverting op-amp eanfiguration, What is sensitivity? What is the importance of sen anzlysis of, in Sallen and Key lowpass filer, What is leapftog simulation of passive filter? Explain with a suitable example. (8) What is switched capacitor filter? De: plain with - [3) itivity analysis in filter design? Perform sensiti (8) filter to realize the magnitude response esi [8] 4176031 : ee 100 200° 400 800 radi Use suitable MOS switching frequency. Table 1: Pole locations for Butterworth Response cre nee = 0,7071068 }9.7071068 | - 0.50 + | 0.86803 = 0,3825834 3 j 0.9238795 Lo = 0.9238795 | 03826834

You might also like