KEMBAR78
AFM Group Assignment 2 | PDF | Revenue | Debt
0% found this document useful (0 votes)
43 views10 pages

AFM Group Assignment 2

The document presents a trend analysis of Highlight Company's financial performance from 2019 to 2021, showcasing significant increases in sales, gross profit, and net income. It also includes a detailed financial ratio analysis covering liquidity, activity, debt management, and profitability ratios, comparing the company's performance against industry averages. The analysis highlights the company's financial health and operational efficiency, providing insights for investors and managers.

Uploaded by

sebsibeboki01
Copyright
© © All Rights Reserved
We take content rights seriously. If you suspect this is your content, claim it here.
Available Formats
Download as DOCX, PDF, TXT or read online on Scribd
0% found this document useful (0 votes)
43 views10 pages

AFM Group Assignment 2

The document presents a trend analysis of Highlight Company's financial performance from 2019 to 2021, showcasing significant increases in sales, gross profit, and net income. It also includes a detailed financial ratio analysis covering liquidity, activity, debt management, and profitability ratios, comparing the company's performance against industry averages. The analysis highlights the company's financial health and operational efficiency, providing insights for investors and managers.

Uploaded by

sebsibeboki01
Copyright
© © All Rights Reserved
We take content rights seriously. If you suspect this is your content, claim it here.
Available Formats
Download as DOCX, PDF, TXT or read online on Scribd
You are on page 1/ 10

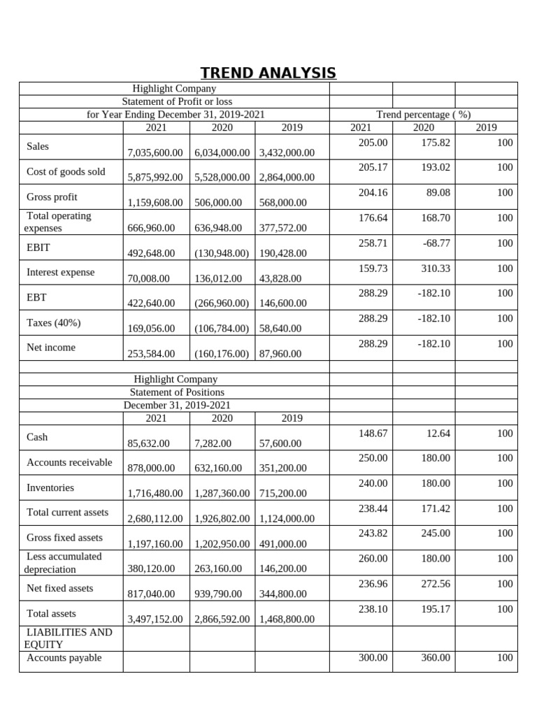
TREND ANALYSIS

Highlight Company
Statement of Profit or loss
for Year Ending December 31, 2019-2021 Trend percentage ( %)
2021 2020 2019 2021 2020 2019
Sales 205.00 175.82 100
7,035,600.00 6,034,000.00 3,432,000.00
Cost of goods sold 205.17 193.02 100
5,875,992.00 5,528,000.00 2,864,000.00
Gross profit 204.16 89.08 100
1,159,608.00 506,000.00 568,000.00
Total operating 176.64 168.70 100
expenses 666,960.00 636,948.00 377,572.00
EBIT 258.71 -68.77 100
492,648.00 (130,948.00) 190,428.00
Interest expense 159.73 310.33 100
70,008.00 136,012.00 43,828.00
EBT 288.29 -182.10 100
422,640.00 (266,960.00) 146,600.00
Taxes (40%) 288.29 -182.10 100
169,056.00 (106,784.00) 58,640.00
Net income 288.29 -182.10 100
253,584.00 (160,176.00) 87,960.00

Highlight Company
Statement of Positions
December 31, 2019-2021
2021 2020 2019
Cash 148.67 12.64 100
85,632.00 7,282.00 57,600.00
Accounts receivable 250.00 180.00 100
878,000.00 632,160.00 351,200.00
Inventories 240.00 180.00 100
1,716,480.00 1,287,360.00 715,200.00
Total current assets 238.44 171.42 100
2,680,112.00 1,926,802.00 1,124,000.00
Gross fixed assets 243.82 245.00 100
1,197,160.00 1,202,950.00 491,000.00
Less accumulated 260.00 180.00 100
depreciation 380,120.00 263,160.00 146,200.00
Net fixed assets 236.96 272.56 100
817,040.00 939,790.00 344,800.00
Total assets 238.10 195.17 100
3,497,152.00 2,866,592.00 1,468,800.00
LIABILITIES AND
EQUITY
Accounts payable 300.00 360.00 100
436,800.00 524,160.00 145,600.00
Notes payable 150.00 318.40 100
300,000.00 636,808.00 200,000.00
Accruals 300.00 360.00 100
408,000.00 489,600.00 136,000.00
Total current 237.71 342.73 100
liabilities 1,144,800.00 1,650,568.00 481,600.00
Long-term debt 123.67 223.67 100
400,000.00 723,432.00 323,432.00
191.89 294.90 100
1,544,800.00 2,374,000.00 805,032.00
Common stock 374.17 100.00 100
1,721,176.00 460,000.00 460,000.00
Retained earnings 113.45 15.99 100
231,176.00 32,592.00 203,768.00
Total equity 294.13 74.21 100
1,952,352.00 492,592.00 663,768.00
Total liabilities and 238.10 195.17 100
equity 3,497,152.00 2,866,592.00 1,468,800.00

Trend analysis evaluates an organizations financial information a


period of time.
Trend percentage =current year X100

Base year
Required: calculate ratio analysis with detailed
interpretation

A. Liquidity ratio
B. Activity ratio
C. Debt management ratio
D. Profitability ratio

FINANCIAL RATIO ANALYSIS


 Ratio analysis compares line-item data from a company's financial
statements to reveal insights regarding profitability, liquidity,
operational efficiency, and solvency.
 Ratio analysis can mark how a company is performing over time, while
comparing a company to another within the same industry or sector.
 Ratio analysis may also be required by external parties that set
benchmarks often tied to risk.
 While ratios offer useful insight into a company, they should be paired
with other metrics, to obtain a broader picture of a company's
financial health.
 Examples of ratio analysis include current ratio, gross profit margin
ratio, inventory turnover ratio.
 Financial Ratio Analysis Involves Methods Of Calculating and
Interpreting Financial Ratios, to analyses and Monitoring the firms
Performance.
 Comparing Ratio Are Is More Objective And Relevant That Simply
Compering Different figures Form The Financial Statement.
WHAT DOES RATIO ANALYSIS
Investors and analysts employ ratio analysis to evaluate the financial health
of companies by scrutinizing past and current financial statements.
Comparative data can demonstrate how a company is performing over time
and can be used to estimate likely future performance. This data can also
compare a company's financial standing with industry averages while
measuring how a company stacks up against others within the same sector.

Investors can use ratio analysis easily, and every figure needed to calculate
the ratios is found on a company's financial statements.

Ratios are comparison points for companies. They evaluate stocks within an
industry. Likewise, they measure a company today against its historical
numbers. In most cases, it is also important to understand the variables
driving ratios as management has the flexibility to, at times, alter its
strategy to make it's stock and company ratios more attractive. Generally,
ratios are typically not used in isolation but rather in combination with other
ratios. Having a good idea of the ratios in each of the four previously
mentioned categories will give you a comprehensive view of the company
from different angles and help you spot potential red flags.

A ratio is the relation between two amounts showing the number of times
one value contains or is contained within the other.

Ratio Analysis Types and Formulas

Users of Key Ratio Analysis: Various individuals use


financial statements including bankers, bonding company underwriters,
commercial real estate lenders, equipment lessors, and CPAs. For purposes
of this seminar, we will focus on the following:

Creditor: Bank loan officers and bond rating analysts analyze ratios to
ascertain a company’s ability to pay its debts.

Investor: Stock analysts assess the company’s efficiency, risk, and growth
prospects through ratio analysis.

Manager: Business owners and managers use ratios to analyze, control,


and improve their firm’s operations.

Guarantor: Business owners are usually required to guarantee their


various business obligations and use “related” ratio analysis to determine
their personal position. 4 Key Ratio Analysis – What is it?
Credit/Investment/Management Decisions Based on Financial Analysis:
Creditors/investors/managers in particular can quickly assess a company’s
financial condition by identifying and calculating key ratios that reveal a
company’s financial health. Obviously, numbers taken from the “four
financial statements” can make numerous calculations; however, some are
not as important as others. In particular, financial professionals have found
leading indicators of a company’s operating performance in “five” vital
business areas. The areas of emphasis are:

•Liquidity
•Activity

•Leverage

•Operating Performance

•Cash Flow Section

We calculate the formula for Ratio Analysis by using the following steps:

1. Liquidity Ratios
Indicates the number of time that the Current Liabilities Could be paid With
the Available Current Asset. Also Known as working Capital ratio or Bankers
ratio

These ratios indicate the company’s cash level, liquidity position, and
capacity to meet its short-term liabilities. The formula of some of the major
liquidity ratios are:

 Current Ratio = Current Assets / Current Liabilities


 Quick Ratio = (Cash & Cash Equivalents + Accounts Receivables) /
Current Liabilities
 Cash Ratio = Cash & Cash Equivalents / Current Liabilities

Current ratio= 26801112+1926802+1124000

11448004+1650,568+481600

= 5730914

3276968

=1.74:1 for every one peso Current Liability of the entry it has one

Pesos and 74

Quick current=85632+7282+57600+878000+632160+351200
11448004+1650568+481600
=2011874
3276968
= 0.61:1

Cash ratio=85632+7282+57600
11448004+1650568+481600
= 150514
3276968
= 0.04:1

2. Activity/Efficiency Ratios
 how efficiency firms is in using its resources to generate Sales.
Receivable Turnover:-reflects the efficiency of the entity’s Credit
Collection Police.
-Measures the number of times, on average
receivables are
collected during the period.
Accounts payable turnover = Credit Purchase
Account Payable

 Number of accounts payment a company pays during a year

Average Payment Period= Account Payable x365


Credit Purchase

 Average Number of days a Company takes to make payment to the


Suppliers.
 Leader and Credit Suppliers are more interested in these ratios.
 It may affect the Suppliers Decision of giving how much Credit sales
and how Credit terms to the Company.
 Activity / Efficiency/Asset Management Ratio :-Higher Accounts
receivable turnover ratio or shorter average collection period may
imply .
These ratios indicate how efficiently a company can utilize its available
assets or convert its inventories to cash. The formula of some of the major
efficiency ratios are:

 Receivables Turnover Ratio = Sales / Accounts Receivable


 Inventory Turnover Ratio = COGS / Inventories
 Payable Turnover Ratio = COGS / Accounts Payable
 Asset Turnover Ratio = Sales / Total Assets
 Net Fixed Asset Turnover Ratio = Sales / Net Fixed Assets
 Equity Turnover Ratio = Sales / Total Equity

Inventory turnover ratio= Cost of good sold

Average Inventory

=5875992+5528000+2864000

1716480+1287360+715200

=14267952

3719040

=3.84:1

Account Receivable turnover ratio=Net credit income

Average Accounts Receivable

=7035600+60034000+3432000

878000+632160+351200

= 16501600

1071160

=3:1

Working capital turnover = Net revenue

Average working capital


=7035600+6034200+343200

817982

= 13413000

817982

=16.39:1

3. Debt management Ratios


 indicate firms Capacity to meet short &long Term Obligation.

These ratios indicate whether the company can meet its long-term
obligations by comparing its debt level with its assets, equity, etc. The
formula of some of the major solvency ratios are:

 Debt to Equity Ratio = Total Debt / Total Equity


 Debt Ratio = Total Debt / Total Assets
 Interest Coverage Ratio = EBITDA / Interest Expense

Debt Ratio = Total debt

Total Asset

= 1544800+2374000+805032

3497152+2880592+14688200

= 4723832

7832544

=0.60:1

Debt to equity ratio= 1544800+2374000+805032

1952352+492592+663768

= 0.60:1

Interest coverage ratio = 492648-130948+190428


700080+136012+43828
=552128
879920
= 0.63:1

4. Profitability Ratios
the firms ability to generate profits on sales, stock holders
investments .
These ratios demonstrate a company’s efficiency in using its assets to
generate profits. The formula of some of the major profitability ratios are:

 Gross Margin = (Sales – COGS) / Sales


 Operating Profit Margin = EBIT / Sales
 Net Margin = Net Income / Sales
 Return on Total Asset (ROA) = EBIT / Total Assets
 Return on Total Equity (ROE) = Net Income / Total Equity

Net Margin = Net Income


Revenue
= 253584-160176+87960
7035600+6034000+343200
= 181368
16501600
= 0.01:1

Gross margin = 7035600+6034000+343200-5875992+5528000+2864000


7035600+6034000+343200

= 13412800-14267992
13412800
= 855192
13412800
= 0.063:1
Operating profit margin = 492648-130948+190428
13412800
=552128
13412800
= 0.04:1
Return on total Asset = 492648-130948+190428
3497152+2866592+1468800
= 552128
7832544
= 0.07:1
Return on total equity = 253584-160176+87960 = 181368
1952352+492592+663768 3108712
= 0.6:1

Industry Average for three


years
i. Current Ratio 2.74
ii. Acid-Test (Quick) 1.00
iii. Debt-to-Equity 1.33
iv. Debt-to-Total-Assets 0.50
v. Total Capitalization 0.35
vi. Interest Coverage 4.25
vii. Receivable Turnover 9.00
viii. Average Collection Period 40.55
ix. Inventory Turnover 6.10
x. Total Asset Turnover 2.60
xi. Gross Profit Margin 0.17
xii. Net Profit Margin 0.03
xiii. Return on assets 9.10
xiv. Return on Equity 0.18

You might also like