KEMBAR78
Final FM Assignment 2025 | PDF | Dividend | Bonds (Finance)
0% found this document useful (0 votes)
52 views3 pages

Final FM Assignment 2025

The document outlines an open book examination for the course Financial Management at BITS Pilani K.K. Birla Goa Campus, scheduled for Summer Term 2025. It includes a total of 12 questions with varying marks, covering topics such as dividend calculations, return on equity, financial alternatives, and capital costs. The assignment must be submitted by July 4, 2025, and late submissions will not be accepted.

Uploaded by

f20211902
Copyright
© © All Rights Reserved
We take content rights seriously. If you suspect this is your content, claim it here.
Available Formats
Download as PDF, TXT or read online on Scribd
0% found this document useful (0 votes)
52 views3 pages

Final FM Assignment 2025

The document outlines an open book examination for the course Financial Management at BITS Pilani K.K. Birla Goa Campus, scheduled for Summer Term 2025. It includes a total of 12 questions with varying marks, covering topics such as dividend calculations, return on equity, financial alternatives, and capital costs. The assignment must be submitted by July 4, 2025, and late submissions will not be accepted.

Uploaded by

f20211902
Copyright
© © All Rights Reserved
We take content rights seriously. If you suspect this is your content, claim it here.
Available Formats
Download as PDF, TXT or read online on Scribd
You are on page 1/ 3

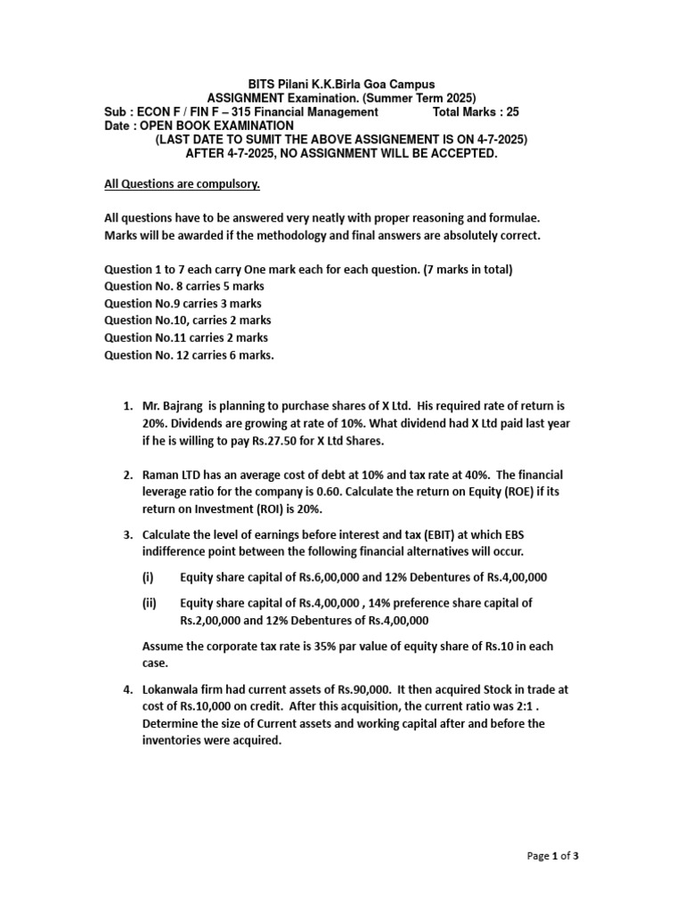
BITS Pilani K.K.

Birla Goa Campus


ASSIGNMENT Examination. (Summer Term 2025)
Sub : ECON F / FIN F – 315 Financial Management Total Marks : 25
Date : OPEN BOOK EXAMINATION
(LAST DATE TO SUMIT THE ABOVE ASSIGNEMENT IS ON 4-7-2025)
AFTER 4-7-2025, NO ASSIGNMENT WILL BE ACCEPTED.

All Questions are compulsory.

All questions have to be answered very neatly with proper reasoning and formulae.
Marks will be awarded if the methodology and final answers are absolutely correct.

Question 1 to 7 each carry One mark each for each question. (7 marks in total)
Question No. 8 carries 5 marks
Question No.9 carries 3 marks
Question No.10, carries 2 marks
Question No.11 carries 2 marks
Question No. 12 carries 6 marks.

1. Mr. Bajrang is planning to purchase shares of X Ltd. His required rate of return is
20%. Dividends are growing at rate of 10%. What dividend had X Ltd paid last year
if he is willing to pay Rs.27.50 for X Ltd Shares.

2. Raman LTD has an average cost of debt at 10% and tax rate at 40%. The financial
leverage ratio for the company is 0.60. Calculate the return on Equity (ROE) if its
return on Investment (ROI) is 20%.
3. Calculate the level of earnings before interest and tax (EBIT) at which EBS
indifference point between the following financial alternatives will occur.
(i) Equity share capital of Rs.6,00,000 and 12% Debentures of Rs.4,00,000
(ii) Equity share capital of Rs.4,00,000 , 14% preference share capital of
Rs.2,00,000 and 12% Debentures of Rs.4,00,000
Assume the corporate tax rate is 35% par value of equity share of Rs.10 in each
case.
4. Lokanwala firm had current assets of Rs.90,000. It then acquired Stock in trade at
cost of Rs.10,000 on credit. After this acquisition, the current ratio was 2:1 .
Determine the size of Current assets and working capital after and before the
inventories were acquired.

Page 1 of 3
5. The equity dividend per share (DPS) over the last 5 years are given below:
Year 1 2 3 4 5

DPS (Rs) 2 2.4 2.88 3.46 4.15

Calculate the Growth rate.


6. Mr. Spy purchases an equity share of X Ltd . X Ltd had paid dividend of Rs.2 per
share last year. Dividend are declining at a rate of 10% . What is the required rate
of return of Mr. X on his equity investment if he purchases an equity share of Rs.6 ?
7. Cash Revenue from operations 33 1/3 % of Credit Revenue from operations. Cost of
Revenue from Operations is Rs.3,00,000. Gross Profit 25% on Revenue from
operations. Debtors Turnover Ratio 3 times. Trade Receivables at the end were 3
times more than that in the beginning. Calculate opening Trade Receivables and
closing trade receivables.

8. A company is considering two mutually exclusive projects. Both require an initial


cash outlay of Rs.10,000 each and have a life of 5 years. The company’s required
rate of return is 10 percent and pays tax @ 50 %. The projects will be depreciated
on straight line method. The before tax cash flows expected to be generated by the
projects are as follows :

Before Tax cash flows (INR)

Year

Project 1 2 3 4 5

A 4,000 4,000 4,000 4,000 4,000

B 6,000 3,000 2,000 5,000 5,000

Calculate for each project :


(1) Payback period for each project
(2) The average rate of return for each project
(3) Net present value for each project
(4) Profitability Index for each project
(5) Which Project should be accepted and why ?

Page 2 of 3
9. Ram Ltd needs Rs.10,00,000 for expansion. The expansion is expected to yield an
annual EBIT of Rs.1,60,000. In choosing the financial plan, Ram Ltd has an
objective of maximizing the earnings per share. It is considering the possibility of
issuing equity shares and raising debt of Rs.1,00,000 or Rs.4,00,000 or Rs.6,00,000.
The current market price per share is Rs.25/- and is expected to drop to Rs.20/-, if
the funds borrowed are in excess of Rs.5,00,000. Funds can be borrowed at the
rates indicated below : (a) upto Rs.1,00,000 @ 8% . (b) Over Rs.1,00,000 upto
Rs.5,00,000 @ 12%. (c) Over Rs.5,00,000 @ 18%.
Assume the rate of tax being 50% . Determine the EPS for all the three financing
alternatives.

10. Consider the following information for Modi Enterprise.

Rs. in lacs
EBIT 1,120
PBT 320
Fixed Cost 700

Calculate the percentage change in earnings per share if the sales increased by 5%.

11. Raman Pvt Ltd is considering an investment proposal involving an initial cash
outlay of R.45 lacs. The proposal has an expected life of 7 years and zero salvage
value. At a required rate of 12 precent, the proposal has a Profitability Index of
1.182. Calculate the annual cash flows.
12. Raman Pvt Ltd, assume pays a income tax at 50 percent rate, compute the AFTER
TAX cost of capital in the following cases :
(a) A 8.5 percent Preference share sold at par.
(b) A perpetual bond sold at par, coupon rate of interest being 7 percent.
(c) A ten year, 8 percent, Rs.1,000 par bond sold at Rs.950 less 4 percent
underwriting commission.
(d) A preference share sold at Rs.100 with a 9 percent dividend and a redemption
price of Rs.110, if the company redeems it in 5 years.
(e) An ordinary share selling at a current market price of Rs.120 and paying a
current dividend of Rs.9 per share, which is expected to grow at the rate of 8
percent.
(f) An ordinary share of a company which engages no external financing, is selling
for Rs.50 . The earnings per share are Rs.7.50 of which sixty percent is paid in
dividends. The company invests the retained earning at a rate of 10 per cent.

Page 3 of 3

You might also like