KEMBAR78
Data Set Tweet | PDF | Twitter | Real Time Web
0% found this document useful (0 votes)
14 views4 pages

Data Set Tweet

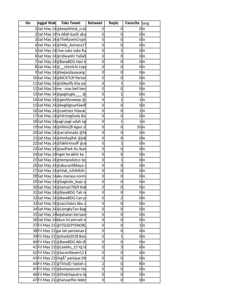
The document contains a list of tweets from various users, primarily dated May 22 to May 24. Each entry includes the date, time, tweet text, and counts for retweets, replies, and favorites. Most tweets have low engagement metrics, with many having zero interactions.
Copyright
© © All Rights Reserved
We take content rights seriously. If you suspect this is your content, claim it here.
Available Formats
Download as XLSX, PDF, TXT or read online on Scribd
0% found this document useful (0 votes)
14 views4 pages

Data Set Tweet

The document contains a list of tweets from various users, primarily dated May 22 to May 24. Each entry includes the date, time, tweet text, and counts for retweets, replies, and favorites. Most tweets have low engagement metrics, with many having zero interactions.
Copyright
© © All Rights Reserved
We take content rights seriously. If you suspect this is your content, claim it here.
Available Formats
Download as XLSX, PDF, TXT or read online on Scribd
You are on page 1/ 4

No Tanggal Waktu Teks Tweet Retweet Reply Favorite lang

1 Sat May 24@keepithink_crab 0 0 0 in


2 Sat May 24Ya Allah kasih aku 0 0 0 in
3 Sat May 24@TheRavenCrypto 0 0 0 in
4 Sat May 24@Mdy_Asmara1701 0 0 0 in
5 Sat May 24Clue suka suka Rui 0 1 0 in
6 Sat May 24@ridwanhr Yailah 0 0 0 in
7 Sat May 24@BaseBDG Hari ini 0 0 0 in
8 Sat May 24@__chimichi Cepet 0 0 0 in
9 Sat May 24@bejandasayang 0 0 0 in
10 Sat May 24@KICK7LIP Pertama 0 0 0 in
11 Sat May 24@ofAesfly Kiw pe 0 1 0 in
12 Sat May 24me : mas beli bens 0 0 0 in
13 Sat May 24@gagitugie___ @Ba 0 1 0 in
14 Sat May 24@gentlysweep @be 0 1 1 in
15 Sat May 24@kegblgnunfaedh a 0 0 0 in
16 Sat May 24@ssetress Masuk n 0 0 1 in
17 Sat May 24@MrOngDedy Buat a 0 0 0 in
18 Sat May 24pagi-pagi udah ng 0 1 1 in
19 Sat May 24@Hilmi28 Agen zio 0 0 50 in
20 Sat May 24@arrahmada @fakhr 0 0 0 in
21 Sat May 24@HmfaqihA @jokowi 0 0 0 in
22 Sat May 24@fakhrimsyff @arr 0 1 0 in
23 Sat May 24@eaJPark Itu ikan 0 0 0 in
24 Sat May 24Inget terakhir ke 0 0 0 in
25 Sat May 24@tempodotco Sejak 0 1 0 in
26 Sat May 24@akucantikkaya @ 0 0 0 in
27 Sat May 24@Mak_Icihihihih A 0 0 0 in
28 Sat May 24aku merasa normal 0 0 0 in
29 Sat May 24@bagindo_kopi Jat 0 0 0 in
30 Sat May 24@tamari7669 Kok b 0 0 0 in
31 Sat May 24@BaseBDG Tah nuki 0 0 0 in
32 Sat May 24@BaseBDG Can per 0 2 0 in
33 Sat May 24@zacchaios Aku se 0 0 0 in
34 Sat May 24@LiongkyTan Bagu 0 0 0 in
35 Sat May 24kejahatan bersama 0 0 0 in
36 Sat May 24Akun ini pernah m 0 0 0 in
37 Fri May 23 @ITSLEEPYSNORLAX 0 0 1 in
38 Fri May 23 gw lah pertamax t 0 0 0 in
39 Fri May 23 @zharki2018 Bang k 0 1 0 in
40 Fri May 23 @BaseBDG Abi di L 0 0 0 in
41 Fri May 23 @LexWu_13 Yg isi i 0 3 6 in
42 Fri May 23 @lucentbeam12 Kura 0 0 0 in
43 Fri May 23 Org² panique DM 0 0 0 in
44 Fri May 23 @TirtoID Yaelah d 2 0 8 in
45 Fri May 23 @kompascom Hayo c 0 0 0 in
46 Fri May 23 @DndySaputra Gpp 0 0 0 in
47 Fri May 23 @tanyarlfes Nder 0 0 0 in
48 Fri May 23 @DianSandiU Nah i 0 2 0 in
49 Fri May 23 @Sunbgjin Kalo ke 0 0 0 in
50 Fri May 23 Pake pertamax 1:2 0 0 0 in
51 Fri May 23 @dimasariesp @CNN 0 0 0 in
52 Fri May 23 @DennyOsval87552 0 0 0 in
53 Fri May 23 ternyate pertamax 0 0 0 in
54 Fri May 23 @txthonorofkings 0 0 0 in
55 Fri May 23 @buwungkepin ma 0 0 0 in
56 Fri May 23 Boro-boro Perpus 1 2 194 in
57 Fri May 23 @gummebunneh mer 0 1 0 in
58 Fri May 23 Capcut bangsat se 0 1 1 in
59 Fri May 23 @easykyoongnava $ 0 0 0 in
60 Fri May 23 @WianXava Sarkas 0 0 0 in
61 Fri May 23 @ViantyTJP Blokir 0 1 0 in
62 Fri May 23 Ga mood banget ud 0 4 0 in
63 Fri May 23 Udah itu aja sem 0 0 0 in
64 Fri May 23 pertamax gan http 0 0 0 in
65 Fri May 23 Cikini ke Gondang 0 0 0 in
66 Fri May 23 @cekbiooo Perta 0 0 0 in
67 Fri May 23 @Cjarlos yuk gue 0 0 0 in
68 Fri May 23 pertamax turbo 0.5 0 1 0 in
69 Fri May 23 @bisik_keluarga W 0 0 0 in
70 Fri May 23 @BANGSAygSUJUD @ 0 1 0 in
71 Fri May 23 @Widino Di yomart 0 0 0 in
72 Fri May 23 @thebuffyfly Bism 0 0 0 in
73 Fri May 23 @darnanto @V3g3L 0 1 1 in
74 Fri May 23 @keaarin Udah ga 0 0 0 in
75 Fri May 23 @jek___ Pertama 0 0 0 in
76 Fri May 23 @Cjarlos gw biasa 0 1 0 in
77 Fri May 23 @BaseBDG Aku per 0 0 0 in
78 Fri May 23 ayay guide pronou 0 13 2 in
79 Fri May 23 @barcastuff_idn a 0 0 5 in
80 Fri May 23 @ch_chotimah2 Rak 0 0 0 in
81 Fri May 23 @fikfx_ Jok lali 0 0 0 in
82 Fri May 23 @thirdhaze Pertama 0 1 0 in
83 Fri May 23 @TumbuhanL @neVer 0 0 0 in
84 Fri May 23 Yang deket rumahk 0 0 0 in
85 Fri May 23 Otak u yg harus d 0 0 0 in
86 Fri May 23 @LambeResing Sek 0 0 0 in
87 Fri May 23 @tempodotco Ntar 0 0 1 in
88 Fri May 23 Pagi Jumat berkah 0 0 0 in
89 Fri May 23 @Arka_1111 Karena 0 0 0 in
90 Fri May 23 @Veloinel Beru ke 0 0 0 in
91 Fri May 23 Pecundang @deni 0 0 0 in
92 Fri May 23 @tanyarlfes Udh b 0 0 0 in
93 Fri May 23 Mending ambil fil 0 0 0 in
94 Fri May 23 @Arka_1111 Boyen 0 1 0 in
95 Fri May 23 @BaseBDG Tiba² 0 0 0 in
96 Thu May 22@fansdiegoysr Gak 0 0 0 in
97 Thu May 22@PRFMnews Ari sug 0 0 0 in
98 Thu May 22Gw pun wkwkwk Ma 0 0 0 in
99 Thu May 22@ardimaul17 Mandi 0 0 0 in
100 Thu May 22@rickiechindo Jau 0 0 0 in
101 Thu May 22Himpunan Pertasho 0 0 1 in
102 Thu May 22@zharki2018 Pertam 0 0 0 in
103 Thu May 22Masih Ingat isu O 0 1 0 in
104 Thu May 22itungannya api yg 0 0 0 in
105 Thu May 22Hai itu muslihat ne 0 0 0 in
106 Thu May 22Mau dibawa ke Denh 0 0 0 in
107 Thu May 22Itu problem anda 0 0 0 in
108 Thu May 22hahh? minyak ata 0 0 0 in
109 Thu May 22@acceptxt anj iri 0 1 0 in
110 Thu May 22@acceptxt elu bia 0 1 0 in
111 Thu May 22@msaid_didu Genk 0 0 1 in
112 Thu May 22Sok atuh datang k 0 0 0 in
113 Thu May 22@fcksjkh @justKj 0 1 3 in
114 Thu May 22Bukti buzzeRp cuma 0 0 0 in
115 Thu May 22Anjirrrr konten go 0 0 0 in
116 Thu May 22Hahaha forensik h 0 0 0 in
117 Thu May 22Setara bgt ini.... 0 0 0 in
118 Thu May 22@Heraloebss Wajib 0 1 1 in
119 Thu May 22Bagi2 duit dinyiny 0 0 0 in
120 Thu May 22Mau ramean apa se 0 0 0 in
121 Thu May 22@didik_parmanto @ 0 0 0 in
122 Thu May 22@maloversss_ gua 0 0 0 in
123 Thu May 22ember to solar lag 0 2 3 in
124 Thu May 22@hadibadex pert 0 0 0 in
125 Thu May 22@RendyPaulus @lo_ 0 0 1 in
126 Thu May 22Wkwkwk sudah ku d 0 0 0 in
127 Thu May 22Yes silahkan ya bu 0 0 0 in
128 Thu May 22@NenkMonica Yes d 0 0 0 in
129 Thu May 22Dari pagi sampai 0 0 0 in
130 Thu May 22Wkwkwkw dia kang 0 1 1 in
131 Thu May 22@Massbudiii @mas_ 0 2 1 in
132 Thu May 22@alifimronn Suwun 0 1 0 in
133 Thu May 22BREAKING! Hasil 0 0 0 in
134 Thu May 22@joukrnalist pert 0 0 0 in
135 Thu May 22Apa Bedanya Perta 0 0 0 in
136 Thu May 22@einedame Eh iyaa 0 1 3 in
137 Thu May 22Besok udah mau ma 0 0 0 in
138 Thu May 22Kumaha atuh TPUA 0 0 0 in
139 Thu May 22@Dennysiregar7 Ma 0 0 0 in
140 Thu May 22@naalonica @tany 0 0 0 in
141 Thu May 22Bro menyiram api 0 0 0 in
142 Thu May 22@V3g3L @SangLangi 0 0 0 in
143 Thu May 22@DianSandiU Kom 0 1 0 in
144 Thu May 22@intinyadeh Pert 0 0 0 in
145 Thu May 22Pertamax. https:/ 0 1 0 in
146 Thu May 22@wayneronyz3 @B 0 1 1 in
147 Thu May 22@WianXava Bismill 0 0 0 in
148 Thu May 22@rocelaperez per 0 0 0 in
149 Thu May 22@fakhrimsyff Enak 0 1 0 in
150 Thu May 22@fakhrimsyff Lont 0 1 0 in
151 Thu May 22@BaseBDG Ngerakeu 0 0 0 in
152 Thu May 22@KangSemproel N 0 0 0 in
153 Thu May 22@Muhamma22027386 0 0 0 in
154 Thu May 22@innovacommunity 0 1 2 in
155 Thu May 22@neVerAl0nely K 0 0 0 in
156 Thu May 22@sikodoksakit Jan 0 1 0 in
157 Thu May 22@belindch Aku mil 0 0 0 in
158 Thu May 22@oxmtt Gak ngerasa 0 0 0 in
159 Thu May 22@ConvertCryptoID 0 0 0 in
160 Thu May 22@jumintenkoplak K 0 0 0 in
161 Thu May 22@fadilkhoiril780 0 0 1 in
162 Thu May 22@fakhrimsyff Alha 0 1 0 in
163 Thu May 22@RaniKancana Sem 0 1 1 in
164 Thu May 22@txtfromhunter Ak 0 0 0 in
165 Thu May 22Tak Hanya Minta 0 0 0 in
166 Thu May 22@MantappuJiwa TB 0 1 0 in
167 Thu May 22Bahan bakar minya 0 0 0 in
168 Thu May 22@Tukangtidur02_ 0 1 0 in

You might also like