KEMBAR78
Collage Option List | PDF | Mumbai
0% found this document useful (0 votes)
2K views19 pages

Collage Option List

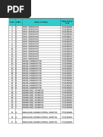
The document lists various educational institutions in the Mumbai City/Suburban area, identified by their UDISE codes and corresponding areas. The entries include multiple institutions from neighborhoods like Ghatkopar, Malad, Andheri, Mulund, and Kandivali. Each entry provides a unique UDISE code along with the area and district information.
Copyright
© © All Rights Reserved
We take content rights seriously. If you suspect this is your content, claim it here.
Available Formats
Download as XLSX, PDF, TXT or read online on Scribd
0% found this document useful (0 votes)
2K views19 pages

Collage Option List

The document lists various educational institutions in the Mumbai City/Suburban area, identified by their UDISE codes and corresponding areas. The entries include multiple institutions from neighborhoods like Ghatkopar, Malad, Andheri, Mulund, and Kandivali. Each entry provides a unique UDISE code along with the area and district information.
Copyright
© © All Rights Reserved
We take content rights seriously. If you suspect this is your content, claim it here.
Available Formats
Download as XLSX, PDF, TXT or read online on Scribd
You are on page 1/ 19

Sr No UDISE Area District

1 27230300325 MUMBAI_DYD_URC3 ( GHATKOPAR ) (272303) MUMBAI CITY/SUBURBAN


2 27230600261 MUMBAI_DYD_URC6 ( MALAD (W) ) (272306) MUMBAI CITY/SUBURBAN
3 27230500286 MUMBAI_DYD_URC5 ( ANDHERI ) (272305) MUMBAI CITY/SUBURBAN
4 27230500509 MUMBAI_DYD_URC5 ( ANDHERI ) (272305) MUMBAI CITY/SUBURBAN
5 27230300307 MUMBAI_DYD_URC3 ( GHATKOPAR ) (272303) MUMBAI CITY/SUBURBAN
6 27230300307 MUMBAI_DYD_URC3 ( GHATKOPAR ) (272303) MUMBAI CITY/SUBURBAN
7 27234100080 MUMBAI_DYD_URC3 ( GHATKOPAR ) (272303) MUMBAI CITY/SUBURBAN
8 27230300249 MUMBAI_DYD_URC3 ( GHATKOPAR ) (272303) MUMBAI CITY/SUBURBAN
9 27230400192 MUMBAI_DYD_URC4 ( MULUND ) (272304) MUMBAI CITY/SUBURBAN
10 27230500505 MUMBAI_DYD_URC5 ( ANDHERI ) (272305) MUMBAI CITY/SUBURBAN
11 27230300202 MUMBAI_DYD_URC3 ( GHATKOPAR ) (272303) MUMBAI CITY/SUBURBAN
12 27230700247 MUMBAI_DYD_URC7 ( KANDIVALI (E) ) (272307) MUMBAI CITY/SUBURBAN
13 27230400199 MUMBAI_DYD_URC4 ( MULUND ) (272304) MUMBAI CITY/SUBURBAN
14 27230400119 MUMBAI_DYD_URC4 ( MULUND ) (272304) MUMBAI CITY/SUBURBAN
15 27230400160 MUMBAI_DYD_URC4 ( MULUND ) (272304) MUMBAI CITY/SUBURBAN
16 27230100523 MUMBAI_DYD_URC1 ( GRANT ROAD ) (272301) MUMBAI CITY/SUBURBAN
17 27230700124 MUMBAI_DYD_URC7 ( KANDIVALI (E) ) (272307) MUMBAI CITY/SUBURBAN
18 27230500152 MUMBAI_DYD_URC5 ( ANDHERI ) (272305) MUMBAI CITY/SUBURBAN
19 27230500267 MUMBAI_DYD_URC5 ( ANDHERI ) (272305) MUMBAI CITY/SUBURBAN
20 27230209284 MUMBAI_DYD_URC2 ( SION ) (272302) MUMBAI CITY/SUBURBAN
21 27230000001 MUMBAI_DYD_URC4 ( MULUND ) (272304) MUMBAI CITY/SUBURBAN
22 27230700210 MUMBAI_DYD_URC7 ( KANDIVALI (E) ) (272307) MUMBAI CITY/SUBURBAN
23 27230500175 MUMBAI_DYD_URC5 ( ANDHERI ) (272305) MUMBAI CITY/SUBURBAN
24 27230400263 MUMBAI_DYD_URC4 ( MULUND ) (272304) MUMBAI CITY/SUBURBAN
25 27230100963 MUMBAI_DYD_URC1 ( GRANT ROAD ) (272301) MUMBAI CITY/SUBURBAN
26 27230100535 MUMBAI_DYD_URC1 ( GRANT ROAD ) (272301) MUMBAI CITY/SUBURBAN
27 27230500431 MUMBAI_DYD_URC6 ( MALAD (W) ) (272306) MUMBAI CITY/SUBURBAN
28 27230500431 MUMBAI_DYD_URC6 ( MALAD (W) ) (272306) MUMBAI CITY/SUBURBAN
29 27230300296 MUMBAI_DYD_URC3 ( GHATKOPAR ) (272303) MUMBAI CITY/SUBURBAN
30 27230700274 MUMBAI_DYD_URC7 ( KANDIVALI (E) ) (272307) MUMBAI CITY/SUBURBAN
31 27230400306 MUMBAI_DYD_URC4 ( MULUND ) (272304) MUMBAI CITY/SUBURBAN
32 27230400183 MUMBAI_DYD_URC4 ( MULUND ) (272304) MUMBAI CITY/SUBURBAN
33 27230400126 MUMBAI_DYD_URC4 ( MULUND ) (272304) MUMBAI CITY/SUBURBAN
34 27230600278 MUMBAI_DYD_URC6 ( MALAD (W) ) (272306) MUMBAI CITY/SUBURBAN
35 27230300347 MUMBAI_DYD_URC3 ( GHATKOPAR ) (272303) MUMBAI CITY/SUBURBAN
36 27230300347 MUMBAI_DYD_URC3 ( GHATKOPAR ) (272303) MUMBAI CITY/SUBURBAN
37 27230101040 MUMBAI_DYD_URC1 ( GRANT ROAD ) (272301) MUMBAI CITY/SUBURBAN
38 27230101041 MUMBAI_DYD_URC1 ( GRANT ROAD ) (272301) MUMBAI CITY/SUBURBAN
39 27230700213 MUMBAI_DYD_URC7 ( KANDIVALI (E) ) (272307) MUMBAI CITY/SUBURBAN
40 27230400391 MUMBAI_DYD_URC4 ( MULUND ) (272304) MUMBAI CITY/SUBURBAN
41 27230500228 MUMBAI_DYD_URC5 ( ANDHERI ) (272305) MUMBAI CITY/SUBURBAN
42 27230600169 MUMBAI_DYD_URC6 ( MALAD (W) ) (272306) MUMBAI CITY/SUBURBAN
43 27230500514 MUMBAI_DYD_URC5 ( ANDHERI ) (272305) MUMBAI CITY/SUBURBAN
44 27230700125 MUMBAI_DYD_URC7 ( KANDIVALI (E) ) (272307) MUMBAI CITY/SUBURBAN
45 27230400236 MUMBAI_DYD_URC4 ( MULUND ) (272304) MUMBAI CITY/SUBURBAN
46 27230700265 MUMBAI_DYD_URC7 ( KANDIVALI (E) ) (272307) MUMBAI CITY/SUBURBAN
47 27230101028 MUMBAI_DYD_URC1 ( GRANT ROAD ) (272301) MUMBAI CITY/SUBURBAN
48 27230300341 MUMBAI_DYD_URC3 ( GHATKOPAR ) (272303) MUMBAI CITY/SUBURBAN
49 27230600233 MUMBAI_DYD_URC6 ( MALAD (W) ) (272306) MUMBAI CITY/SUBURBAN
50 27230400133 MUMBAI_DYD_URC4 ( MULUND ) (272304) MUMBAI CITY/SUBURBAN
51 27230600174 MUMBAI_DYD_URC6 ( MALAD (W) ) (272306) MUMBAI CITY/SUBURBAN
52 27230100548 MUMBAI_DYD_URC1 ( GRANT ROAD ) (272301) MUMBAI CITY/SUBURBAN
53 27230300275 MUMBAI_DYD_URC3 ( GHATKOPAR ) (272303) MUMBAI CITY/SUBURBAN
54 27230700306 MUMBAI_DYD_URC7 ( KANDIVALI (E) ) (272307) MUMBAI CITY/SUBURBAN
55 27230300523 MUMBAI_DYD_URC3 ( GHATKOPAR ) (272303) MUMBAI CITY/SUBURBAN
56 27230300216 MUMBAI_DYD_URC3 ( GHATKOPAR ) (272303) MUMBAI CITY/SUBURBAN
57 27230500174 MUMBAI_DYD_URC5 ( ANDHERI ) (272305) MUMBAI CITY/SUBURBAN
58 27230400355 MUMBAI_DYD_URC4 ( MULUND ) (272304) MUMBAI CITY/SUBURBAN
59 27230600241 MUMBAI_DYD_URC6 ( MALAD (W) ) (272306) MUMBAI CITY/SUBURBAN
60 27230400142 MUMBAI_DYD_URC4 ( MULUND ) (272304) MUMBAI CITY/SUBURBAN
61 27234100070 MUMBAI_DYD_URC4 ( MULUND ) (272304) MUMBAI CITY/SUBURBAN
62 27230700266 MUMBAI_DYD_URC7 ( KANDIVALI (E) ) (272307) MUMBAI CITY/SUBURBAN
63 27230200220 MUMBAI_DYD_URC2 ( SION ) (272302) MUMBAI CITY/SUBURBAN
64 27230400303 MUMBAI_DYD_URC4 ( MULUND ) (272304) MUMBAI CITY/SUBURBAN
65 27230209231 MUMBAI_DYD_URC2 ( SION ) (272302) MUMBAI CITY/SUBURBAN
66 27230600277 MUMBAI_DYD_URC6 ( MALAD (W) ) (272306) MUMBAI CITY/SUBURBAN
67 27230300370 MUMBAI_DYD_URC3 ( GHATKOPAR ) (272303) MUMBAI CITY/SUBURBAN
68 27230209293 MUMBAI_DYD_URC2 ( SION ) (272302) MUMBAI CITY/SUBURBAN
69 27230209293 MUMBAI_DYD_URC2 ( SION ) (272302) MUMBAI CITY/SUBURBAN
70 27230500334 MUMBAI_DYD_URC5 ( ANDHERI ) (272305) MUMBAI CITY/SUBURBAN
71 27230500340 MUMBAI_DYD_URC6 ( MALAD (W) ) (272306) MUMBAI CITY/SUBURBAN
72 27230500546 MUMBAI_DYD_URC5 ( ANDHERI ) (272305) MUMBAI CITY/SUBURBAN
73 27230400371 MUMBAI_DYD_URC4 ( MULUND ) (272304) MUMBAI CITY/SUBURBAN
74 27230500235 MUMBAI_DYD_URC5 ( ANDHERI ) (272305) MUMBAI CITY/SUBURBAN
75 27230300224 MUMBAI_DYD_URC3 ( GHATKOPAR ) (272303) MUMBAI CITY/SUBURBAN
76 27230300224 MUMBAI_DYD_URC3 ( GHATKOPAR ) (272303) MUMBAI CITY/SUBURBAN
77 27230400307 MUMBAI_DYD_URC4 ( MULUND ) (272304) MUMBAI CITY/SUBURBAN
78 27230400307 MUMBAI_DYD_URC4 ( MULUND ) (272304) MUMBAI CITY/SUBURBAN
79 27230500118 MUMBAI_DYD_URC5 ( ANDHERI ) (272305) MUMBAI CITY/SUBURBAN
80 27230600199 MUMBAI_DYD_URC6 ( MALAD (W) ) (272306) MUMBAI CITY/SUBURBAN
81 27230500513 MUMBAI_DYD_URC5 ( ANDHERI ) (272305) MUMBAI CITY/SUBURBAN
82 27230400341 MUMBAI_DYD_URC4 ( MULUND ) (272304) MUMBAI CITY/SUBURBAN
83 27230700245 MUMBAI_DYD_URC7 ( KANDIVALI (E) ) (272307) MUMBAI CITY/SUBURBAN
84 27230400342 MUMBAI_DYD_URC4 ( MULUND ) (272304) MUMBAI CITY/SUBURBAN
85 27230700337 MUMBAI_DYD_URC7 ( KANDIVALI (E) ) (272307) MUMBAI CITY/SUBURBAN
86 27230100549 MUMBAI_DYD_URC1 ( GRANT ROAD ) (272301) MUMBAI CITY/SUBURBAN
87 27230700326 MUMBAI_DYD_URC7 ( KANDIVALI (E) ) (272307) MUMBAI CITY/SUBURBAN
88 27230300483 MUMBAI_DYD_URC3 ( GHATKOPAR ) (272303) MUMBAI CITY/SUBURBAN
89 27230200213 MUMBAI_DYD_URC2 ( SION ) (272302) MUMBAI CITY/SUBURBAN
90 27230400129 MUMBAI_DYD_URC4 ( MULUND ) (272304) MUMBAI CITY/SUBURBAN
91 27230700316 MUMBAI_DYD_URC7 ( KANDIVALI (E) ) (272307) MUMBAI CITY/SUBURBAN
92 27230500435 MUMBAI_DYD_URC5 ( ANDHERI ) (272305) MUMBAI CITY/SUBURBAN
93 27230600176 MUMBAI_DYD_URC6 ( MALAD (W) ) (272306) MUMBAI CITY/SUBURBAN
94 27230209219 MUMBAI_DYD_URC2 ( SION ) (272302) MUMBAI CITY/SUBURBAN
95 27230400123 MUMBAI_DYD_URC4 ( MULUND ) (272304) MUMBAI CITY/SUBURBAN
96 27230300529 MUMBAI_DYD_URC3 ( GHATKOPAR ) (272303) MUMBAI CITY/SUBURBAN
97 27230500164 MUMBAI_DYD_URC5 ( ANDHERI ) (272305) MUMBAI CITY/SUBURBAN
98 27230100540 MUMBAI_DYD_URC1 ( GRANT ROAD ) (272301) MUMBAI CITY/SUBURBAN
99 27230700408 MUMBAI_DYD_URC7 ( KANDIVALI (E) ) (272307) MUMBAI CITY/SUBURBAN
100 27230600240 MUMBAI_DYD_URC6 ( MALAD (W) ) (272306) MUMBAI CITY/SUBURBAN
101 27230200138 MUMBAI_DYD_URC2 ( SION ) (272302) MUMBAI CITY/SUBURBAN
102 27230200138 MUMBAI_DYD_URC2 ( SION ) (272302) MUMBAI CITY/SUBURBAN
103 27230700248 MUMBAI_DYD_URC7 ( KANDIVALI (E) ) (272307) MUMBAI CITY/SUBURBAN
104 27230700116 MUMBAI_DYD_URC7 ( KANDIVALI (E) ) (272307) MUMBAI CITY/SUBURBAN
105 27230500449 MUMBAI_DYD_URC6 ( MALAD (W) ) (272306) MUMBAI CITY/SUBURBAN
106 27230200248 MUMBAI_DYD_URC2 ( SION ) (272302) MUMBAI CITY/SUBURBAN
107 27230200248 MUMBAI_DYD_URC2 ( SION ) (272302) MUMBAI CITY/SUBURBAN
108 27230209283 MUMBAI_DYD_URC2 ( SION ) (272302) MUMBAI CITY/SUBURBAN
109 27230500230 MUMBAI_DYD_URC5 ( ANDHERI ) (272305) MUMBAI CITY/SUBURBAN
110 27230700203 MUMBAI_DYD_URC7 ( KANDIVALI (E) ) (272307) MUMBAI CITY/SUBURBAN
111 27230700164 MUMBAI_DYD_URC7 ( KANDIVALI (E) ) (272307) MUMBAI CITY/SUBURBAN
112 27230209214 MUMBAI_DYD_URC2 ( SION ) (272302) MUMBAI CITY/SUBURBAN
113 27230500396 MUMBAI_DYD_URC5 ( ANDHERI ) (272305) MUMBAI CITY/SUBURBAN
114 27230500440 MUMBAI_DYD_URC6 ( MALAD (W) ) (272306) MUMBAI CITY/SUBURBAN
115 27230700416 MUMBAI_DYD_URC7 ( KANDIVALI (E) ) (272307) MUMBAI CITY/SUBURBAN
116 27230700236 MUMBAI_DYD_URC7 ( KANDIVALI (E) ) (272307) MUMBAI CITY/SUBURBAN
117 27230600173 MUMBAI_DYD_URC6 ( MALAD (W) ) (272306) MUMBAI CITY/SUBURBAN
118 27230400410 MUMBAI_DYD_URC4 ( MULUND ) (272304) MUMBAI CITY/SUBURBAN
119 27230400348 MUMBAI_DYD_URC4 ( MULUND ) (272304) MUMBAI CITY/SUBURBAN
120 27230209295 MUMBAI_DYD_URC2 ( SION ) (272302) MUMBAI CITY/SUBURBAN
121 27230400389 MUMBAI_DYD_URC4 ( MULUND ) (272304) MUMBAI CITY/SUBURBAN
122 27230400389 MUMBAI_DYD_URC4 ( MULUND ) (272304) MUMBAI CITY/SUBURBAN
123 27230300354 MUMBAI_DYD_URC3 ( GHATKOPAR ) (272303) MUMBAI CITY/SUBURBAN
124 27230700297 MUMBAI_DYD_URC7 ( KANDIVALI (E) ) (272307) MUMBAI CITY/SUBURBAN
125 27230500542 MUMBAI_DYD_URC5 ( ANDHERI ) (272305) MUMBAI CITY/SUBURBAN
126 27230400302 MUMBAI_DYD_URC4 ( MULUND ) (272304) MUMBAI CITY/SUBURBAN
127 27230400302 MUMBAI_DYD_URC4 ( MULUND ) (272304) MUMBAI CITY/SUBURBAN
128 27230209226 MUMBAI_DYD_URC2 ( SION ) (272302) MUMBAI CITY/SUBURBAN
129 27230400320 MUMBAI_DYD_URC4 ( MULUND ) (272304) MUMBAI CITY/SUBURBAN
130 27230600158 MUMBAI_DYD_URC6 ( MALAD (W) ) (272306) MUMBAI CITY/SUBURBAN
131 27230100972 MUMBAI_DYD_URC1 ( GRANT ROAD ) (272301) MUMBAI CITY/SUBURBAN
132 27230700302 MUMBAI_DYD_URC7 ( KANDIVALI (E) ) (272307) MUMBAI CITY/SUBURBAN
133 27230600236 MUMBAI_DYD_URC6 ( MALAD (W) ) (272306) MUMBAI CITY/SUBURBAN
134 27230700189 MUMBAI_DYD_URC7 ( KANDIVALI (E) ) (272307) MUMBAI CITY/SUBURBAN
135 27230400334 MUMBAI_DYD_URC4 ( MULUND ) (272304) MUMBAI CITY/SUBURBAN
136 27230600237 MUMBAI_DYD_URC6 ( MALAD (W) ) (272306) MUMBAI CITY/SUBURBAN
137 27230300407 MUMBAI_DYD_URC3 ( GHATKOPAR ) (272303) MUMBAI CITY/SUBURBAN
138 27230300407 MUMBAI_DYD_URC3 ( GHATKOPAR ) (272303) MUMBAI CITY/SUBURBAN
139 27230700309 MUMBAI_DYD_URC7 ( KANDIVALI (E) ) (272307) MUMBAI CITY/SUBURBAN
140 27230400264 MUMBAI_DYD_URC4 ( MULUND ) (272304) MUMBAI CITY/SUBURBAN
141 27230500437 MUMBAI_DYD_URC5 ( ANDHERI ) (272305) MUMBAI CITY/SUBURBAN
142 27230300533 MUMBAI_DYD_URC3 ( GHATKOPAR ) (272303) MUMBAI CITY/SUBURBAN
143 27230101038 MUMBAI_DYD_URC1 ( GRANT ROAD ) (272301) MUMBAI CITY/SUBURBAN
144 27230400381 MUMBAI_DYD_URC4 ( MULUND ) (272304) MUMBAI CITY/SUBURBAN
145 27230500138 MUMBAI_DYD_URC5 ( ANDHERI ) (272305) MUMBAI CITY/SUBURBAN
146 27230101049 MUMBAI_DYD_URC1 ( GRANT ROAD ) (272301) MUMBAI CITY/SUBURBAN
147 27230500111 MUMBAI_DYD_URC5 ( ANDHERI ) (272305) MUMBAI CITY/SUBURBAN
148 27230700255 MUMBAI_DYD_URC7 ( KANDIVALI (E) ) (272307) MUMBAI CITY/SUBURBAN
149 27230700298 MUMBAI_DYD_URC7 ( KANDIVALI (E) ) (272307) MUMBAI CITY/SUBURBAN
150 27230600280 MUMBAI_DYD_URC6 ( MALAD (W) ) (272306) MUMBAI CITY/SUBURBAN
151 27230700187 MUMBAI_DYD_URC7 ( KANDIVALI (E) ) (272307) MUMBAI CITY/SUBURBAN
152 27230400140 MUMBAI_DYD_URC4 ( MULUND ) (272304) MUMBAI CITY/SUBURBAN
153 27230500371 MUMBAI_DYD_URC6 ( MALAD (W) ) (272306) MUMBAI CITY/SUBURBAN
154 27230500605 MUMBAI_DYD_URC5 ( ANDHERI ) (272305) MUMBAI CITY/SUBURBAN
155 27230500605 MUMBAI_DYD_URC5 ( ANDHERI ) (272305) MUMBAI CITY/SUBURBAN
156 27230600230 MUMBAI_DYD_URC6 ( MALAD (W) ) (272306) MUMBAI CITY/SUBURBAN
157 27230400370 MUMBAI_DYD_URC4 ( MULUND ) (272304) MUMBAI CITY/SUBURBAN
158 27230700308 MUMBAI_DYD_URC7 ( KANDIVALI (E) ) (272307) MUMBAI CITY/SUBURBAN
159 27230200215 MUMBAI_DYD_URC2 ( SION ) (272302) MUMBAI CITY/SUBURBAN
160 27230400332 MUMBAI_DYD_URC4 ( MULUND ) (272304) MUMBAI CITY/SUBURBAN
161 27230209285 MUMBAI_DYD_URC2 ( SION ) (272302) MUMBAI CITY/SUBURBAN
162 27230400271 MUMBAI_DYD_URC4 ( MULUND ) (272304) MUMBAI CITY/SUBURBAN
163 27230209288 MUMBAI_DYD_URC2 ( SION ) (272302) MUMBAI CITY/SUBURBAN
164 27230600186 MUMBAI_DYD_URC6 ( MALAD (W) ) (272306) MUMBAI CITY/SUBURBAN
165 27230500384 MUMBAI_DYD_URC6 ( MALAD (W) ) (272306) MUMBAI CITY/SUBURBAN
166 27230500194 MUMBAI_DYD_URC5 ( ANDHERI ) (272305) MUMBAI CITY/SUBURBAN
167 27230300287 MUMBAI_DYD_URC3 ( GHATKOPAR ) (272303) MUMBAI CITY/SUBURBAN
168 27230700276 MUMBAI_DYD_URC7 ( KANDIVALI (E) ) (272307) MUMBAI CITY/SUBURBAN
169 27230300404 MUMBAI_DYD_URC3 ( GHATKOPAR ) (272303) MUMBAI CITY/SUBURBAN
170 27230500436 MUMBAI_DYD_URC5 ( ANDHERI ) (272305) MUMBAI CITY/SUBURBAN
171 27230500436 MUMBAI_DYD_URC5 ( ANDHERI ) (272305) MUMBAI CITY/SUBURBAN
172 27230300445 MUMBAI_DYD_URC3 ( GHATKOPAR ) (272303) MUMBAI CITY/SUBURBAN
173 27230300445 MUMBAI_DYD_URC3 ( GHATKOPAR ) (272303) MUMBAI CITY/SUBURBAN
174 27230209292 MUMBAI_DYD_URC2 ( SION ) (272302) MUMBAI CITY/SUBURBAN
175 27230100633 MUMBAI_DYD_URC1 ( GRANT ROAD ) (272301) MUMBAI CITY/SUBURBAN
176 27230400319 MUMBAI_DYD_URC4 ( MULUND ) (272304) MUMBAI CITY/SUBURBAN
177 27230700259 MUMBAI_DYD_URC7 ( KANDIVALI (E) ) (272307) MUMBAI CITY/SUBURBAN
178 27230700108 MUMBAI_DYD_URC7 ( KANDIVALI (E) ) (272307) MUMBAI CITY/SUBURBAN
179 27230300463 MUMBAI_DYD_URC3 ( GHATKOPAR ) (272303) MUMBAI CITY/SUBURBAN
180 27230400232 MUMBAI_DYD_URC4 ( MULUND ) (272304) MUMBAI CITY/SUBURBAN
181 27230500382 MUMBAI_DYD_URC6 ( MALAD (W) ) (272306) MUMBAI CITY/SUBURBAN
182 27230700318 MUMBAI_DYD_URC7 ( KANDIVALI (E) ) (272307) MUMBAI CITY/SUBURBAN
183 27230600124 MUMBAI_DYD_URC6 ( MALAD (W) ) (272306) MUMBAI CITY/SUBURBAN
184 27230600152 MUMBAI_DYD_URC6 ( MALAD (W) ) (272306) MUMBAI CITY/SUBURBAN
185 27230700175 MUMBAI_DYD_URC7 ( KANDIVALI (E) ) (272307) MUMBAI CITY/SUBURBAN
186 27230300465 MUMBAI_DYD_URC3 ( GHATKOPAR ) (272303) MUMBAI CITY/SUBURBAN
187 27230500515 MUMBAI_DYD_URC5 ( ANDHERI ) (272305) MUMBAI CITY/SUBURBAN
188 27230700161 MUMBAI_DYD_URC7 ( KANDIVALI (E) ) (272307) MUMBAI CITY/SUBURBAN
189 27230101027 MUMBAI_DYD_URC1 ( GRANT ROAD ) (272301) MUMBAI CITY/SUBURBAN
190 27230500179 MUMBAI_DYD_URC5 ( ANDHERI ) (272305) MUMBAI CITY/SUBURBAN
191 27230500339 MUMBAI_DYD_URC5 ( ANDHERI ) (272305) MUMBAI CITY/SUBURBAN
192 27230500339 MUMBAI_DYD_URC5 ( ANDHERI ) (272305) MUMBAI CITY/SUBURBAN
193 27230700140 MUMBAI_DYD_URC7 ( KANDIVALI (E) ) (272307) MUMBAI CITY/SUBURBAN
194 27230400325 MUMBAI_DYD_URC4 ( MULUND ) (272304) MUMBAI CITY/SUBURBAN
195 27230700179 MUMBAI_DYD_URC7 ( KANDIVALI (E) ) (272307) MUMBAI CITY/SUBURBAN
196 27230300303 MUMBAI_DYD_URC3 ( GHATKOPAR ) (272303) MUMBAI CITY/SUBURBAN
197 27230500508 MUMBAI_DYD_URC5 ( ANDHERI ) (272305) MUMBAI CITY/SUBURBAN
198 27230500501 MUMBAI_DYD_URC5 ( ANDHERI ) (272305) MUMBAI CITY/SUBURBAN
199 27230209239 MUMBAI_DYD_URC2 ( SION ) (272302) MUMBAI CITY/SUBURBAN
200 27230500510 MUMBAI_DYD_URC5 ( ANDHERI ) (272305) MUMBAI CITY/SUBURBAN
201 27230400189 MUMBAI_DYD_URC4 ( MULUND ) (272304) MUMBAI CITY/SUBURBAN
202 27230100545 MUMBAI_DYD_URC1 ( GRANT ROAD ) (272301) MUMBAI CITY/SUBURBAN
203 27230209287 MUMBAI_DYD_URC2 ( SION ) (272302) MUMBAI CITY/SUBURBAN
204 27230400179 MUMBAI_DYD_URC4 ( MULUND ) (272304) MUMBAI CITY/SUBURBAN
205 27230600222 MUMBAI_DYD_URC6 ( MALAD (W) ) (272306) MUMBAI CITY/SUBURBAN
206 27230400386 MUMBAI_DYD_URC4 ( MULUND ) (272304) MUMBAI CITY/SUBURBAN
207 27230500328 MUMBAI_DYD_URC6 ( MALAD (W) ) (272306) MUMBAI CITY/SUBURBAN
208 27230500328 MUMBAI_DYD_URC6 ( MALAD (W) ) (272306) MUMBAI CITY/SUBURBAN
209 27230100394 MUMBAI_DYD_URC1 ( GRANT ROAD ) (272301) MUMBAI CITY/SUBURBAN
210 27230200216 MUMBAI_DYD_URC2 ( SION ) (272302) MUMBAI CITY/SUBURBAN
211 27230400318 MUMBAI_DYD_URC4 ( MULUND ) (272304) MUMBAI CITY/SUBURBAN
212 27230700291 MUMBAI_DYD_URC7 ( KANDIVALI (E) ) (272307) MUMBAI CITY/SUBURBAN
213 27230300292 MUMBAI_DYD_URC3 ( GHATKOPAR ) (272303) MUMBAI CITY/SUBURBAN
214 27230700139 MUMBAI_DYD_URC7 ( KANDIVALI (E) ) (272307) MUMBAI CITY/SUBURBAN
215 27230300205 MUMBAI_DYD_URC3 ( GHATKOPAR ) (272303) MUMBAI CITY/SUBURBAN
216 27230500604 MUMBAI_DYD_URC5 ( ANDHERI ) (272305) MUMBAI CITY/SUBURBAN
217 27230500428 MUMBAI_DYD_URC6 ( MALAD (W) ) (272306) MUMBAI CITY/SUBURBAN
218 27230600189 MUMBAI_DYD_URC6 ( MALAD (W) ) (272306) MUMBAI CITY/SUBURBAN
219 27230500292 MUMBAI_DYD_URC5 ( ANDHERI ) (272305) MUMBAI CITY/SUBURBAN
220 27230700275 MUMBAI_DYD_URC7 ( KANDIVALI (E) ) (272307) MUMBAI CITY/SUBURBAN
221 27230600137 MUMBAI_DYD_URC3 ( GHATKOPAR ) (272303) MUMBAI CITY/SUBURBAN
222 27230400363 MUMBAI_DYD_URC4 ( MULUND ) (272304) MUMBAI CITY/SUBURBAN
223 27230500135 MUMBAI_DYD_URC5 ( ANDHERI ) (272305) MUMBAI CITY/SUBURBAN
224 27230700256 MUMBAI_DYD_URC7 ( KANDIVALI (E) ) (272307) MUMBAI CITY/SUBURBAN
225 27230700256 MUMBAI_DYD_URC7 ( KANDIVALI (E) ) (272307) MUMBAI CITY/SUBURBAN
226 27230700317 MUMBAI_DYD_URC7 ( KANDIVALI (E) ) (272307) MUMBAI CITY/SUBURBAN
227 27230500276 MUMBAI_DYD_URC5 ( ANDHERI ) (272305) MUMBAI CITY/SUBURBAN
228 27230100546 MUMBAI_DYD_URC1 ( GRANT ROAD ) (272301) MUMBAI CITY/SUBURBAN
229 27230500254 MUMBAI_DYD_URC5 ( ANDHERI ) (272305) MUMBAI CITY/SUBURBAN
230 27230300294 MUMBAI_DYD_URC3 ( GHATKOPAR ) (272303) MUMBAI CITY/SUBURBAN
231 27230300302 MUMBAI_DYD_URC3 ( GHATKOPAR ) (272303) MUMBAI CITY/SUBURBAN
232 27230700217 MUMBAI_DYD_URC7 ( KANDIVALI (E) ) (272307) MUMBAI CITY/SUBURBAN
233 27230400111 MUMBAI_DYD_URC4 ( MULUND ) (272304) MUMBAI CITY/SUBURBAN
234 27230400111 MUMBAI_DYD_URC4 ( MULUND ) (272304) MUMBAI CITY/SUBURBAN
235 27230600121 MUMBAI_DYD_URC6 ( MALAD (W) ) (272306) MUMBAI CITY/SUBURBAN
236 27230700188 MUMBAI_DYD_URC7 ( KANDIVALI (E) ) (272307) MUMBAI CITY/SUBURBAN
237 27230700407 MUMBAI_DYD_URC7 ( KANDIVALI (E) ) (272307) MUMBAI CITY/SUBURBAN
238 27230700117 MUMBAI_DYD_URC7 ( KANDIVALI (E) ) (272307) MUMBAI CITY/SUBURBAN
239 27230209228 MUMBAI_DYD_URC2 ( SION ) (272302) MUMBAI CITY/SUBURBAN
240 27230209228 MUMBAI_DYD_URC2 ( SION ) (272302) MUMBAI CITY/SUBURBAN
241 27230100713 MUMBAI_DYD_URC1 ( GRANT ROAD ) (272301) MUMBAI CITY/SUBURBAN
242 27230600234 MUMBAI_DYD_URC6 ( MALAD (W) ) (272306) MUMBAI CITY/SUBURBAN
243 27230700312 MUMBAI_DYD_URC7 ( KANDIVALI (E) ) (272307) MUMBAI CITY/SUBURBAN
244 27230500249 MUMBAI_DYD_URC5 ( ANDHERI ) (272305) MUMBAI CITY/SUBURBAN
245 27230200217 MUMBAI_DYD_URC2 ( SION ) (272302) MUMBAI CITY/SUBURBAN
246 27230690002 MUMBAI_DYD_URC6 ( MALAD (W) ) (272306) MUMBAI CITY/SUBURBAN
247 27230500416 MUMBAI_DYD_URC5 ( ANDHERI ) (272305) MUMBAI CITY/SUBURBAN
248 27230500199 MUMBAI_DYD_URC5 ( ANDHERI ) (272305) MUMBAI CITY/SUBURBAN
249 27230400379 MUMBAI_DYD_URC4 ( MULUND ) (272304) MUMBAI CITY/SUBURBAN
250 27230400367 MUMBAI_DYD_URC4 ( MULUND ) (272304) MUMBAI CITY/SUBURBAN
251 27230400347 MUMBAI_DYD_URC4 ( MULUND ) (272304) MUMBAI CITY/SUBURBAN
252 27230400347 MUMBAI_DYD_URC4 ( MULUND ) (272304) MUMBAI CITY/SUBURBAN
253 27230500316 MUMBAI_DYD_URC6 ( MALAD (W) ) (272306) MUMBAI CITY/SUBURBAN
254 27230700152 MUMBAI_DYD_URC7 ( KANDIVALI (E) ) (272307) MUMBAI CITY/SUBURBAN
255 27230300482 MUMBAI_DYD_URC3 ( GHATKOPAR ) (272303) MUMBAI CITY/SUBURBAN
256 27230600235 MUMBAI_DYD_URC6 ( MALAD (W) ) (272306) MUMBAI CITY/SUBURBAN
257 27230400382 MUMBAI_DYD_URC4 ( MULUND ) (272304) MUMBAI CITY/SUBURBAN
258 27230700296 MUMBAI_DYD_URC7 ( KANDIVALI (E) ) (272307) MUMBAI CITY/SUBURBAN
259 27230400241 MUMBAI_DYD_URC4 ( MULUND ) (272304) MUMBAI CITY/SUBURBAN
260 27230400365 MUMBAI_DYD_URC4 ( MULUND ) (272304) MUMBAI CITY/SUBURBAN
261 27230100961 MUMBAI_DYD_URC1 ( GRANT ROAD ) (272301) MUMBAI CITY/SUBURBAN
262 27230700314 MUMBAI_DYD_URC7 ( KANDIVALI (E) ) (272307) MUMBAI CITY/SUBURBAN
263 27230300359 MUMBAI_DYD_URC3 ( GHATKOPAR ) (272303) MUMBAI CITY/SUBURBAN
College Name
NATIONAL SARVODAYA JR COLLEGE OF COMMERCE AND SCIENCE , PLOT NO 112/113 GANGA VIDYA MANDIR , DR
A. M. ENGLISH SCHOOL , plot no 126, mhb colony, gaikwad nagar, gate no 7, malwani, malad west, mumbai -95
AADITYA ACADEMY , unit no 32 ganesh wadi opp reliance smart bhandar santosh nagar filmcity road
AAKASH JR COLLEGE OF SCI & COM , 4TH FLOOR, GUNDAVALI MUNICIPAL SCHOOL, NEAR NATRAJ STUDIO, ANDHE
AFAC ENGLISH SCHOOL , Justice Dudhat Chowk, M.U. Mandlecha Marg, Subhash Nagar Chembur Mumbai 71
AFAC ENGLISH SCHOOL , Justice Dudhat Chowk, M.U. Mandlecha Marg, Subhash Nagar Chembur Mumbai 71
AFAC ENGLISH SCHOOL AND JUNIOR COLLEGE CHEMBUR , Justice Dudhat Chowk, M.U. Mandlecha Marg, Subhash Nag
AISHA ENGLISH HIGH SCHOOL & JR COLLEGE , PLOT NO.7/O/1/2/3/4/5, NEAR UMAR MASJID, ROAD NO.1, SHIVAJI NA
Allen Manav Vikas Jr College of Science and Commerce , RAMLEELA MAIDAN KHAIRANI ROAD SAKINAKA KURLA WEST
ALPHA JR COLLEGE OF SCI & COM , 3RD FLOOR, SHAHAJI RAJE MUNICIPAL SCHOOL BUILDING, SHAHAJI RAJE MA
AMARNATH HIGH SCHOOL AND JR. COLLEGE , Vaibhavnagar, Govandi, Mumbai
ANANDIBAI DAMODAR KALE VIDYALAYA & JR. COLLEGE OF COMMERCE , SAIBABA NAGAR BORIVALI WEST MUMBA
ANJALI ENGLISH SCHOOL & JUNIOR COLLEGE CHANDIVALI , b/2,c wing bldg-33/10, Sangharsh Nagar,Chandivali,Andher
ANJUMAN ISLAM ALLANA GIRLS HIGH SCHOOL & JR. COLLEGE KURLA (W). , BUDH COLONY SG BARVE MARG CST R
ANJUMAN SHANE ISLAM URDU HIGH SCHOOL, SAKINAKA. , DURGA MANDIR LANE NEAR HUSSAINIYA MASJID KHAIR
ANJUMAN-I-ISLAM ALLANA ENGLISH HIGH SCHOOL , 92 DR D N ROAD CSMT
ANUDATTA VIDYALAYA & JUNIOR COLLEGE , MHADA Vasahat, Akurli Road, Kandivali East
APOSTOLIC CARMEL HIGH SCHOOL AND JUNIOR COLLEGE , 94, HILL ROAD, BANDRA-WEST, MUMBAI-400050
ARVIND GANDBHIR HIGH SCHOOL , JES EDUCATION COMPLEX, CAVES ROAD, ARVIND GANDBHIR CAMPUS, JOGES
ARYAN JUNIOR COLLEGE , ARYAN JR COLLEGE BMC SCHOOL BLDG 4TH FLOOR JOGLEKARWADI, SION (E), MUMB
ASMITA GIRLS JUNIOR COLLEGE ARTS COMMERCE SCIENCE , JANTA MARKET KANNAMWAR NAGAR 2
BALBHARATI HIGH SCHOOL AND JUNIOR COLLEGE, KANDIVALI WEST , S V ROAD, KANDIVALI - WEST
BANDRA URDU HIGH SCHOOL & JR COLLEGE OF SCI, COMM & VOCATIONAL , S.V.ROAD, NEAR BANDRA JAMA MASJ
BHANDUP EDUCATIONAL SOCIETY'S P. A. MENON JUNIOR COLLEGEOF COMM. AND SCI., BHANDUP (EAST) , Veer Sa
BHARATIYA VIDYA BHAVAN'S H. S. COLLEGE OF ARTS & SCIENCE (BHAVANS COLLEGE) , K.M. MUNSHI MARG, CHOW
BHARDA NEW HIGH SCHOOL & JR. COLLEGE , Hazarimal Somani Marg Fort Mumbai 1
BHAVAN'S COLLEGE OF ARTS, COM & SCI. , BHAVANS COLLEGE J.P ROAD MUNSHI NAGAR ANDHERI WEST MUMB
BHAVAN'S COLLEGE OF ARTS, COM & SCI. , BHAVANS COLLEGE J.P ROAD MUNSHI NAGAR ANDHERI WEST MUMB
BHAVNA TRUST JUNIOR & DEGREE COLLEGE OF COMMERCE AND SCIENCE , PLOT NO.5,SUNDER BAUG,RAJE SHIV
BIMANAGAR EDUCATION SOC'S MADHYAMIK VIDYALAYA , DR.VASUDEV SHRUNGI ROAD,LIC COLONY,BORIVALI(W)
BTM'S BRIGHT HIGH SCHOOL & JR. COLLEGE, BHANDUP (W) , VILLAGE ROAD BHANDUP WEST MUMBAI
BUNTS SANGHAS ARATHI SSHASHI KIRAN SHETTY JR. COLLEGE, KURLA , SHASHI MANMOHAN SHETTY HIGHER ED
C. E. S MARCELINE JUNIOR COLLEGE, KURLA (W) , Plot NO.249/B, L.B.S Marg, Village Kurla (W)
CHAMPIONS SCIENCE JUNIOR COLLEGE, ANDHERI WEST , PENINSULA HEIGHTS, C D BURFIWALA MARG, JUHU LAN
CHEMBUR KARNATAKA JUNIOR COLLEGE & ARTS, SCIENCE & COMMERCE , VIDYA SAGAR GHATLA CHEMBUR
CHEMBUR KARNATAKA JUNIOR COLLEGE & ARTS, SCIENCE & COMMERCE , VIDYA SAGAR GHATLA CHEMBUR
D. E. SOCIET'S KIRTI M. DOONGURSEE COLLEGE OF ARTS, SCIENCE & COMMERCE (AUTONOMOUS) , Agar Bazar , K
D.G.RUPAREL COLLEGE OF ARTS,SCI & COMM. , Senpati Bapat Marg, Opposite to Matunga Road Railway Station (Wester
D.R.VYAS JUNIOR COLLEGE OF ARTS COMMERCE AND SCIENCE , H.K ROAD IRANIWADI KANDIVALI WEST
DISHA COLLEGE OF COMMERCE AND SCIENC, BHANDUP (W) , SUBHASH NAGAR MUNICIPAL SCHOOL BUILDING , SU
DIVINE CHILD HIGH SCHOOL , Sir Mathurdas Vassanji Road, Andheri East, Mumbai.
DIVINE PROVIDENT HIGH SCHOOL & JR. COLLEGE , MUNICIPAL TOWNSHIP BUILDING NR FIRE BRIGADE MARVE RO
DIXIT ROAD JR COLLEGE OF SCIENCE , Dixit Road Opp Sathye College Vile Parle East
DNYANGANGA EDU. TRUST'S HIGH SCHOOL&JR COLLEGE , DURGA NAGAR,KRANTI NAGAR ROAD, KANDIVALI (EAS
DON BOSCO HIGH SCHOOL & JR. COLLEGE, VIKHROLI (E). , Group No-1, Tagore Nagar, Vikhroli(East), Mumbai-400083
DON BOSCO HIGH SCHOOL & JUNIOR COLLEGE, BORIVALI (WEST) , Vazira Naka, L.T. Road, Borivli (W.)
DR. ANTONIO DA SILVA TECHNICAL HIGH SCHOOL AND JUNIOR COLLEGE , Dr Antonio da Silva Technical High School a
DR. BABASAHEB AMBEDKAR HIGH SCHOOL & JR COLLEGE , Malekarwadi P. L. Lokhande Marg Chembur Mumbai
DURGADEVI SARAF JR COLLEGE , RSET CAMPUS OPP.BAJAJ HALL S.R.ROAD MALAD WEST MUMBAI
EDEN HIGH SCHOOL AND JR COLLEGE , Eden Garden, CTS No. 573, Kajupada Pipeline Road, Kurla (W), Mumbai - 400072
ELIA SARWAT JUNIOR COLLEGE OF SCIENCE & COMMERCE , PLOT NO.47, GATE NO.6, N.C.C., MAHAKALI ROAD, MA
ELPHINSTONE COLLEGE , 156, M. G. Road,
ENFANT INDIA ENGLISH HIGH SCHOOL & BURLINGTON JR. COLLEGE , PLOT NO 13 7 SHIVAJI NAGAR GOVANDI MUM
ESPLANADE JR COLLEGE , BOHRA COLONY, M.G.ROAD,KANDIVALI-WEST, MUMBAI
EVERGREEN ENGLISH SCHOOL AND JR. COLLEGE, SHIVAJI NAGAR, GOVANDI, MUMBAI 400 043. , 4 U 1,2,3,4, NEAR
FAZALANI STAR ENGLISH HIGH SCHOOL & JR. COLLEGE, TROMBAY. , D/E Sector, Behind D Sector Masjid, Cheeta camp
FR. AGNETECH SCHOOL , B J ROAD, BAND STAND, BANDRA WEST
FRIENDS CO.OP. EDU. SOC. LTD. SEC. SCHOOL & JR. COLLEGE, MULUND (W) , LBS ROAD, MULUND (W)
GHANSHYAMDAS JALAN JR COLLEGE OF SCI & COM , UPPAR GOVIND NAGAR MALAD EAST
Global Jr College Of Arts Science And Commerce , NEAR AHLE HADEES MASJEED
GLOBAL LEARNING JUNIOR COLLEGE OF ARTS COMMERCE AND SCIENCE VIKHROLI EAST , Dr. Babasaheb Ambedka
GOKHALE HIGH SCHOOL AND JUNIOR COLLEGE, BORIVALI WEST , SHIMPOLI ROAD BORIVALI WEST
GURU GOVIND SIGH T. HIGH SCHOOL , GURU GOVIND SINGH T JR. COLLEGE A D MARG SEWRI
GURU NANAK HIGH SCHOOL & JR. COLLEGE, BHANDUP (W) , Station Road
GURU NANAK HIGHER SECONDARY SCHOOL , PUNJABI COLONY, GURU TEGH BAHADUR NAGAR, MUMBAI-400 037
GURUKUL ENGLISH SCHOOL & JR. COLLEGE MALAD EAST , Acme Hill Rehab Bldg No 2 A Wing
GURUNANAK CHARITABLE TRUSTS LAKSHYA PREP HIGH SCHOOL & JUNIOR COLLEGE, CHEMBUR , ASHISH CHAMB
GURUNANAK KHALSA COLLEGE , Nathalal Parekh Marg, Matunga (East)
GURUNANAK KHALSA COLLEGE , Nathalal Parekh Marg, Matunga (East)
GYAN KENDRA SEC. HIGH SCHOOL , Achyutrao Patwardhan Marg, Ambivali Village, Four Bungalows, Andheri (W)
HANSRAJ MORARJI HIGH SCHOOL , MUNSHI NAGAR, NEAR BHAVANS CAMPUS, D.N. ROAD, ANDHERI WEST, MUMBA
HARSH PUBLIC HIGH SCHOOL GOREGAON EAST , Harsh Public High School , Unit No 30 , Near Film City Gate ,Aarey Milk
HOLY ANGELS' HIGH SCHOOL & JUNIOR COLLEGE , P. SAMUEL SIR MARG, GAWANPADA, MULUND EAST
HOLY FAMILY HIGH SCHOOL , HOLY FAMILY HIGH SCHOOL AND JUNIOR COLLEGE
IDEAL HIGH SCHOOL & JR. COLLEGE , D-SECTOR, CHEETA CAMP, TROMBAY, MUMBAI-88
IDEAL HIGH SCHOOL & JR. COLLEGE , D-SECTOR, CHEETA CAMP, TROMBAY, MUMBAI-88
IDUBS HINDI HIGH SCHOOL & JR. COLLEGE, BHANDUP (W) , STATION ROAD, BHANDUP WEST, MUMBAI 400078
IDUBS HINDI HIGH SCHOOL & JR. COLLEGE, BHANDUP (W) , STATION ROAD, BHANDUP WEST, MUMBAI 400078
IES JUNIOR COLLEGE , BANDRA (E) , Government Colony, Bandra (East), Mumbai 400 051.
IQRA ENGLISH HIGH SCHOOL & JR. COLLEGE, MALAD WEST , plot no 61 malwani mhada malad west
ISMAIL YUSUF COLLEGE OF ARTS, COM & SCI , Hardevi Society, Natwar Nagar, Jogeshwari East
J. J. ACADEMY HIGH SCHOOL & JR. COLLEGE, MULUND (W) , 103, 1 MULUND COLONY ROAD MULUND WEST KURLA
J.B. KHOT - 2 HIGH SCHOOL , Saibaba nagar, Borivali West, Mumbai
JAI BHARAT HIGH SCHOOL & JR. COLLEGE, MULUND (W) , OB 8 (1-10) MULUND COLONY MULUND WEST MUMBAI
JAI BHAVANI VIDYALAYA & JR. COLLEGE, KANDIVALI (WEST) , M. G. ROAD KANDIVALI WEST MUMBAI 400067
JAI HIND COLLEGE , JAI HIND COLLEGE A ROAD 23 24 BACKBAY RECLAMATION CHURCHGATE MUMBAI 400020
JITEN MODY JUNIOR COLLEGE OF ARTS, COMMERCE AND SCIENCE , MAHAVIR NAGAR, NEAR KAMLA VIHAR SPORT
K. J. SOMAIYA COLLEGE OF SCIENCE & COMM. VIDYAVIHAR , Vidyanagar, Vidyavihar
K. M. S. DR. SHIRODKAR HIGH SCHOOL AND JUNIOR COLLEGE , 142/49 DR BORGES ROAD PAREL
K. M. S. P. MANDL'S S.I.H. BHATIA HIGH SCHOOL & JR. COLLEGE, KURLA (W). , WADIA ESATE COLONY, BAIL BAZAR,
K.B. PATIL INTERNATIONAL SCHOOL & JUNIOR COLLEGE, KANDIVALI WEST , RAC 6, CHARKOP MHADA LAYOUT NEA
K.H.M.W. JR COLLEGE OF SCI & COM , RELIEF ROAD, OPP. OSHIWARA MUSLIM CEMETRY
KALA VIDYALAYA , Plot no M-3, R.S.C-19 MHADA World Bank Project, Malvni Malad (w) Mumbai
KAMARAJAR MEMORIAL ENGLISH HIGH SCHOOL & JR. COLLEGE , Plot No 267/268 Kamaraj Chowk, 90 Feet Road, Dhar
KARTHIKA HIGH SCHOOL & JR. COLLEGE, KURLA (W). , NEW HALL ROAD PIPE LINE KURLA WEST
KCA ST. FRANCIS OF ASSISI INTERNATIONAL SCHOOL CHEMBUR , PL LOKHANDE MARG, ASSISI NAGAR, CHEMBUR
KHAR EDUCATION SOCIETY'S JUNIOR COLLEGE OF SCIENCE , S.V.ROAD, NEAR KHAR POLICE STATION, KHAR ROA
KISHINCHAND CHELLARAM COLLEGE (K. C. COLLEGE) , VIDYA SAGAR PRINCIPAL K M KUNDNANI CHOWK, 124, DINS
LORDS GRACE ENGLISH SCHOOL , Bihari tekdi road, Poisar, Mithila Nagar, Behind Hanuman Mandir. kandivali East, Mumb
LORDS UNIVERSAL JR COLLEGE OF COM & SCI , Topiwala Marg, off Station Road, Goregaon (W)
M. H. SABOO SIDDIK TECHNICAL HIGH SCHOOL & JR. COLLEGE , 8 SABOO SIDDIK POLYTECHNIC ROAD BYCULLA
M. H. SABOO SIDDIK TECHNICAL HIGH SCHOOL & JR. COLLEGE , 8 SABOO SIDDIK POLYTECHNIC ROAD BYCULLA
M.K.N. BHATIA HIGH SCHOOL AND JUNIOR COLLEGE , SAI BABA NAGAR ROAD, NEAR POISAR BUS DEPOT KANDIVA
M.L.R.T. GALA PIONEER ENGLISH SCHOOL & JR. COLLEGE , Akurli Cross Road No. 3, Opp. Kalpataru Tower, Kandivali Ea
MAHARASHTRA JR. COLLEGE, UNNAT NAGAR, GOREGAON (W), MUMBAI. , PART C, CTS NO 48, UNNAT NAGAR 4, GO
MAHATMA PHULE TECH. HIGH SCHOOL , JERBAI WADIA ROAD, BHOIWADA, PAREL,
MAHATMA PHULE TECH. HIGH SCHOOL , JERBAI WADIA ROAD, BHOIWADA, PAREL,
MANOHAR JOSHI JR. COLLEGE , pmgp colony, opp, Maharashtra Nature Park, Dharavi
MAROL EDUCATION ACADEMY HIGH SCHOOL , bhavani nagar, off marol maroshi road, andheri east,mumbai
MARY IMMACULATE GIRLS HIGH SCHOOL & JUNIOR COLLEGE , MOUNT POINSUR, L. M. ROAD, BORIVLI (W), MUMBA
MATRUCHAYA HIGH SCHOOL & JR.COLLEGE , Plot no. CTS 1276-A, C.S.Road No.2, Anand Nagar
MATUNGA LIONS PIONEER ENGLISH SCHOOL , BHAUDAJI ROAD MATUNGA CENTRAL RAILWAY
MILLAT JUNIOR COLLEGE OF ARTS, SCIENCE & COMMERCE , 141, S.V. Road, Opp. Excel Industries Jogeshwari West M
MITHIBAI COLLEGE , Bhaktivedanta Swami Marg, Gulmohar Road, Suvarna Nagar, Vile Parle (W), Mumbai, Maharashtra 400
MOTHER SMILE JR. COLLEGE OF COMMERCE AND SCIENCE, KANDIVALI (EAST) , AKURLI MUNICIPAL SCHOOL BUILD
MOTHER TERESA ENG.SEC.SCHOOL & JR.COLLEGE , Plot no.2/148,sec1,Charkop,Kandivali (W), Mumbai-67
MOTHER TERESA HIGH SCHOOL AND JUNIOR COLLEGE , 49,GOSALIA COMPOUND,GATE NO 6 MALWANI MALAD WE
MOUNT MARY ENGLISH HIGH SCHOOL AND JUNIOR COLLEGE , NEAR BMC SCHOOL, LAKE ROAD, TULSHETPADA, B
MULUND VIDYAMANDIR & JR. COLLEGE, MULUND (W) , J. N. ROAD, MULUND (WEST)
MUMBAI JUNIOR COLLEGE OF ARTS, COM. & SCIENCE , NR B.P.T Hospital Nadkarni Park Wadala ( East) Mumbai
N E S RATNAM JR COLLEGE OF SCIENCE , BHANDUP (W) MUMBAI - 80 , NHS MARG ,BHATTIPADA CROSS ROAD ,BHA
N E S RATNAM JR COLLEGE OF SCIENCE , BHANDUP (W) MUMBAI - 80 , NHS MARG ,BHATTIPADA CROSS ROAD ,BHA
N. G. ACHARYA & D. K. MARATHE COLLEGE OF ARTS, SCIENCE & COMMERC CHEMBUR MUMBAI 71 , Shri. N. G. Acha
NALANDA JR COLLEGE , Plot No 2, RSC 34, Nr mangal murti hospital , Gorai II , Borivali West
NARAYANA JUNIOR COLLEGE ANDHERI , CTS 418,NEXT TO K. P. AURUM,MAROL VILLAGE, MAROL MAROSHI ROAD,A
NATIONAL HIGH SCHOOL & JR. COLLEGE, BHANDUP (W) , NES COMPLEX, NATIONAL HIGH SCHOOL MARG, BHANDU
NATIONAL HIGH SCHOOL & JR. COLLEGE, BHANDUP (W) , NES COMPLEX, NATIONAL HIGH SCHOOL MARG, BHANDU
NATIONAL KANNAD EDU. STY. , Indulal D. Bhuva Marg, Wadala, Mumbai 400031
NAVJEEVAN VIDYAMANDIR & JR. COLLEGE, BHANDUP WEST , GANESH NAGAR, GANESH PATH BHANDUP
NAVJIVAN VIDYALAYA HIGH SCHOOL , Rani Sati Road, Malad East
NAVNEET JUNIOR COLLEGE OF ARTS, SCIENCE & COMMERCE , Gilderlane Mun. School Building, Belasis Bridge, Opp. R
NIRMAL JR. COLLEGE OF COMMERCE & SCIENCE KANDIVALI WEST , 4th Floor BMC Building Vora Colony M.G Road Ka
NIRMALA MEM. FOUNDATION JR COLLEGE, MALAD EAST , RANI SATI MARG, MUNICIPAL SCHOOL BLDG, RANI SATI M
NIRMALA MEMORIAL FOUNDATION JR.COLLEGE OF COMM.& SCI. , 90 FEET ROAD, ASHA NAGAR, THAKUR COMPLEX
NOBAL ANGEL ENGLISH HIGH SCHOOL & JR COLLEGE BHANDUP ( w ) , Patkar Compound Tulshet Pada Gav devi road B
P. D. TURAKHIA JR COLLEGE OF COM & SCI , KURAR VILLAGE MALAD EAST MUMBAI
P.V.G'S VIDYA BHAWAN HIGH SCHOOL NO. 1& JR.COLEGE , CTS No 218 Br Nath Pai Nagar Ghatkopar East
P.V.G'S VIDYA BHAWAN HIGH SCHOOL NO. 1& JR.COLEGE , CTS No 218 Br Nath Pai Nagar Ghatkopar East
PACE JR COLLEGE OF SCIENCE , 4TH FLOOR, SHREE VALLABH COMPLEX PREMISES CO-OPERATIVE SOCIETY LTD
PACE JR. SCIENCE COLLEGE POWAI. , 3RD FLOOR, KUTCHI BHAVAN, NEAR JAIN MANDIR, IIT MARKET, POWAI, KAN
PACE JR. SCIENCE COLLEGE, ANDHERI WEST , Pace Junior Science College, 4th Floor, Shoppers Point Building, S.V. Roa
PACE JUNIOR SCIENCE COLLEGE, CHEMBUR , 3rd floor, Kukreja Infopark Eden Gardens-2 ,B-14, Chembur East,Mumbai,
PACE JUNIOR SCIENCE COLLEGE, DADAR , Plot no. 446, opp SHARDASHRAM SOCIETY, near central bank of india, off. B
PARAG VIDYALAYA JR. COLLEGE BHANDUP W MUMBAI-78 , PARAG EDUCATIONAL CAMPUS NEAR CHATRAPATI SH
PATUCK TECHNICAL HIGH SCHOOL &JUNIOR COLLEGE , 100 , Nehru Rd , Rustomba Patuck Marg , Vakola Bridge , Santa
PIONEER JUNIOR COLLEGE OF SCIENCE , Jagjiwan Niwas, Gokhale Road (N), Dadar (W)
PODAR INTERNATIONAL HIGHER SECONDARY SCHOOL , SARASWATI ROAD SANTACRUZ WEST MUMBAI 400054
PRAGATI VIDYALAYA , BMC School No.9, West of RSC 48, Gorai -2, Borivali west
PRAKASH COLLEGE , SHANTILAL MODI ROAD, KANDIVALI WEST,MUMBAI-400067
PRANAV VIDYAMANDIR HIGH SCHOOL GOREGAON EAST , H WARD BMC COLONY SANTOSH NAGAR GOREGAON E M
PRATHAM COLLEGE OF COM. & SCI , DALVI PLOT MUNICIPAL SCHOOL BUILDING,CHITABAI PATEL ROAD,KANDIVALI
PRERANA HIGH SCHOOL & JR. COLLEGE, SAKINAKA. , MARATHA NIWAS, ASALFA PARERAWADI, SAKINAKA MUMBAI
PUSHPAKANT A MHATRE JR COLLEGE OF COMMERCE LATE SMT. R P MHATRE JR COLLEGE OF SCIENCE , Near Sar
R. D NATIONAL COLLEGE & W.A. SCIENCE COLLEGE , Vidyasagar Prin. K. M. Kundnani Campus, Barr Hotchand Gopaldas
R. D NATIONAL COLLEGE & W.A. SCIENCE COLLEGE , Vidyasagar Prin. K. M. Kundnani Campus, Barr Hotchand Gopaldas
R. K. JR COLLEGE OF SCI. & COM. , PRAMUKH PALACE, KASAM BAUG, BACHCHANI NAGAR, JAI BHAVANI CROSS RO
R. R. EDUCATION TRUST MARATHI SCHOOL & JR. COLLEGE, MULUND (E) , PLOT NO 1, SURVEY NO 386, MAHADA CO
R. R. JR COLLEGE OF COM. & SCI. , KALPANA CHAWLA MARG, IC COLONY,BORIVALI (W), MUMBAI-400103
R.M.BHATT HIGH SCHOOL , 21,GOKHALE SOCIETY LANE,PAREL,MUMBAI
RAJARAM SETH VIDYALAYA, BHANDUP (W) , NEW RAJARAMWADI KHINDIPADA DARGA ROAD BHANDUP WEST 40007
RAJARSHI SHAHU JUNIOR COLLEGE OF ARTS, COMMERCE & SCIENCE , Ashok mill compound near kala killa sion bandr
RAMANAND ARYA D. A. V. COLLEGE BHANDUP (E) MUMBAI , STATION ROAD DATAR COLONY BHANDUP EAST
RAMNIVAS RUIA JUNIOR COLLEGE , Ramnivas Ruia Junior College, L. Napoo Road, Matunga, Mumbai 19
RAMZANALI ENGLISH HIGH SCHOOL , Gate No.6 Malwani Malad West
RAVINDRA BHARATI HIGH SCHOOL , Siddhart Nagar
RIZVI COLLEGE OF ARTS SCI & COM , Rizvi Complex, Off Carter Road, Bandra (West), Mumbai - 400 050
RUBY ENGLISH HIGH SCHOOL & JR. COLLEGE GOVANDI , PLOT NO 39 D-1/11 ROAD NO 13 BAIGANWADI GOVANDI M
RUSTOMJEE INTERNATIONAL SCHOOL & JR.COLLEGE , Jaywant Sawant Marg, Dahisar West, Mumbai
S. K. SOMAIYA VINAY MANDIR HIGH SCHOOL JR COLLEGE , S K SOMAIYA SEC SCHOOL JR COLLEGE VIDYAVIHAR
S. S. & L. S. PATKAR COLLEGE , S.S. and L.S. Patkar Varde College
S. S. & L. S. PATKAR COLLEGE , S.S. and L.S. Patkar Varde College
S. S. S. MULTIPURPOSE TECHNICAL HIGH SCHOOL & JR. COLLEGE , DR.ANKUSH SHANKAR GAWADE MARG,PANTN
S. S. S. MULTIPURPOSE TECHNICAL HIGH SCHOOL & JR. COLLEGE , DR.ANKUSH SHANKAR GAWADE MARG,PANTN
S.I.W.S. N.R. SWAMI COLLEGE , PLOT NO.337, MAJOR R PARMESHWARAN MARG, SEWREE WADALA ESTATE, WADA
SAFA HIGH SCHOOL AND JR. COLLEGE , babulatanknexttobwardoffice
SAHYADRI VIDYAMANDIR & JR. COLLEGE, BHANDUP (W) , Shahid Jaywant Patil Marg Near Shivaji Talao Bhandup West
SAILEE DEGREE COLLEGE (SCIENCE & COMMERCE )AND M.J.JR. COLLEGE OF SCIENCE , GORAI ROAD , OLD MHB C
SAMATA VIDYAMANDIR JUNIOR COLLEGE OF COMMERCE & SCIENCE , SAMATA NAGAR NEAR SAMATA NAGAR BUS
SANDESH VIDYALAYA & JR. COLLEGE OF ARTS & COMMERCE, PARKSITE VIKHROLI , Shikshakmitra Principal Balasahe
SANDESH VIDYALAYA TAGOR NAGAR, VIKHROLI (E). , SHIKSHAK MITRA PRINCIPAL BALASAHEB MHATRE EDUCATIO
SANSKARDHAM VIDYALAYA , TEEN DONGRI, NEAR POLICE QUARTERS, UNNAT NAGAR
SARADAR VALLABHBHAI PATEL Jr. COLLEGE OF SCI. M.H. B. COLONY S. N.DUBEY ROAD DAHISAR (EAST) , M H B CO
SARASWATI VIDYAMANDIR & JR. COLLEGE, MALAD EAST , Sahyog Welfare Society, Kanu Compound, AK Vaidya Marg, N
SARASWATI VIDYAMANDIR KANU COMPUND , Sahyog Welfare Society, Kanu Compound, AK Vaidya Marg, Near Gokuldha
SARDAR VALLABBHAI PATEL HIGH SCHOOL & JR. COLLEGE , M.H.B COLONY, S.N.DUBE ROAD,CHUNABHATTI, DAHIS
SARSWATI VIDYA NIKETAN JR COLLEGE OF COMMERCE AND SCIENCE , UPPER DEPOT PADA, SAGAR NAGAR, PAR
SATHAYE COLLEGE OF ARTS, COM & SCI , DIXIT ROAD VILE PARLE EAST MUMBAI - 400057
SHAILENDRA EDU. SOCIETY'S SECONDARY SCHOOL & JR. COLLEGE , Shailendra Vidyalaya Marg, Shailendra Nagar, Da
SHARADASHRAM VIDYAMANDIR TANTRIK VIDYALAYA & JUNIOR COLLEGE OF SCIENCE - VOCATIONAL & HSC - VOC
SHETH ANANDILAL PODAR JR. COLLEGE , SANTACRUZ , Podar Sports Complex Linking Road Near Post Office Santacruz
SHETH C. D. BARRFIWALA HIGH SCHOOL , CES ROAD D N NAGAR ANDHRI WEST
SHETH C. D. BARRFIWALA HIGH SCHOOL , CES ROAD D N NAGAR ANDHRI WEST
SHETH GOPALJI HEMRAJ HIGH SCHOOL & JR. COLLEGE , M. G. ROAD, BORIVALI EAST
SHETH KARAMSHI KANJI ENGLISH SCHOOL AND JR. COLLEGE, MULUND (W) , V P ROAD MULUND WEST MUMBAI
SHREE MUMBADEVI JR. COLLEGE OF COMMERCE & THE NEW SARVAJANIK EDUCATION SOCIETY JR. COLLEGE OF
SHREE SANATAN DHARAM VIDYALAYA & JR. COLLEGE , R.C.MARG, CHMBUR, MUMBAI
SHRI G.P.M. JR COLLEGE VILEPARLE EAST , MAHATMA GANDHI ROAD, VILLE PARLE EAST.
SHRI G.P.M.JR COLLEGE OF SCIENCE AND COMMERCE ANDHERI EAST , RAJARSHI SAHU MAHARAJ ROAD, TELLI G
SHRI GAURIDUTT MITTAL VIDYALAYA AND JR. COLLEGE , ROAD NO.28(B), SION (E), MUMBAI
SHRI NIWAS BAGARKA JR COLLEGE OF ARTS COM & SCI , J.B.NAGAR ANDHERI EAST MUMBAI
SHRIMATI SITADEVI AND SHRI SAHIBRAM ENG MED HIGH SCHOOL AND JR COLLEGE OF ARTS SCI. COM. KURLA ,
SIDDHARTH COLLEGE OF ARTS,SCIENCE & COMM. , 348, ANAND BHAVAN (BUDDHA BHAVAN), FORT, MUMBAI .
SIES COLLEGE OF ARTS, SCIENCE & COMM. , PLOT NO 83 84 AND 106 107 JAIN SOCIETY SION WEST MUMBAI
SINHAGAD SPRINGDALE & JR. COLLEGE, CHANDIVALI, KURLA , Plot No. 126, Mhada Colony, Chandivali, Andheri East
SIR J. P. HIGH SCHOOL AND JUNIOR COLLEGE, MALAD (W) , JANKALYAN NAGAR, KHARODI, MARVE ROAD, MALAD W
SMT RAMKALIDEVI SANMAN SINGH VIDYA MANDIR & JR COLLEGE OF COMMERCE BHANDUP (W), MUMBAI -78 , SAN
SMT. GOKALIBAI P P HIGH SCHOOL AND ACHARYA A V PATEL JR COLLEGE VILE PARLE WEST , SMT GPP HIGH SCH
SMT. GOKALIBAI P P HIGH SCHOOL AND ACHARYA A V PATEL JR COLLEGE VILE PARLE WEST , SMT GPP HIGH SCH
SNEHALATA RANE HIGH SCHOOL AND JR. COLLEGE, DADAR ,MUMBAI , TALCHEKAR WADI BMC SCHOOL BUILDING
SOCIAL SERVICE LEAGUE HIGH SCHOOL & JUNIOR COLLEGE , SOCIAL SERVICE LEAGUE JR.COLLEGE, DAMODAR H
SOU. NALINI YASHWANTRAO DODE VIDYALAYA, MULUND (E) , Vidyalaya Marg Opp. Sambhaji Park Mulund E Mumbai 81
SPS's SHREE MUMBADEVI VIDYANIKETAN , DR BABASAHEB AMBEDKAR MARG GORAI 1 BORIVAKI WEST MUMBAI 40
SREE NARAYANA GURU COLLEGE OF COMMERCE CHEMBUR , P.L. LOKHANDE MARG, CHEMBUR, MUMBAI
SREE. MANGUBHAI DATTANI VIDYALAYA & JR. COLLEGE , GEN ARUN KUMAR VAIDYA NAGAR NEAR TATA POWER H
SRI GANESH VIDYAMANDIR, DEONAR , B NO 9 B NEW RNA PARK VASHINAKA CHEMBUR MUMBAI
ST ANDREW'S COLLEGE OF ARTS SCI & COM , ST. DOMINIC ROAD, BANDRA , MUMBAI 400050
ST JOHN'S UNIVERSAL SCHOOL & JR COLLEGE GOREGAON WEST , S.V.ROAD, GOREGAON WEST
ST. ANNE'S HIGH SCHOOL & JR COLLEGE , Orlem , Malad West
ST. ARNOLD'S SCHOOL & JR. COLLEGE , GYAN ASHRAM CAMPUS MAHAKALI CAVES ROAD BEHIND SACRED HEART
ST. FRANCIS D'ASSISI HIGH SCHOOL & JR COLLEGE , MOUNT POINSUR, SVP ROAD, BORIVALI WEST, 400103
ST. FRANCIS HIGH SCHOOL & JR.COLLEGE , LAXMAN NAGAR KURAR VILLAGE MALAD EAST
ST. GREGORIOUS PUBLIC SCHOOL AND JUNIOR COLLEGE MULUND (WEST) , ST. GREGORIOS CHAROTABLE TRUST
ST. MARY'S HIGH SCHOOL & JUNIOR COLLEGE , Behind Our lady of Egypt Church Kalina Santacruz East
ST. ROCKS HIGH SCHOOL & JUNIOR COLLEGE OF COMMERCE & SCIENCE , mmc school bldg eksar borivali west
ST. ROCKS HIGH SCHOOL & JUNIOR COLLEGE OF COMMERCE & SCIENCE , mmc school bldg eksar borivali west
ST. ROCKS JR. COLLEGE OF COMMERCE & SCIENCE , OFF LINK ROAD CHIKUWADI NEAR PHOENIX HOSPITAL BORI
ST. THOMAS HIGH SCHOOL , PANDURANG WADI GOREEGAON EAST MUMBAI 400063
ST.XAVIER'S COLLEGE FORT , 5 Mahapalika marg Mumbai
SUDARSHAN ENG. HIGH SCHOOL & JR. COLLEGE , jewel rock building, cama estate, goregaon east
SWAMI RAMKRISHANA PARMHANS JR. COLLEGE GOVENDI (E) , SWAMI RAMKRISHNA PARAMHANS JR COLLEGE OP
SWAMI VIVEKANAND HIGH SCHOOL & JR COLLEGE, CHEMBUR , SINDHI SOCIETY
SWAMI VIVEKANAND INTRNATIONAL SCHOOL AND JUNIOR COLLEGE , PAREKH NAGAR , BEHIND GOKUL NAGAR, KA
SWAMI VIVEKANAND VIDYALAYA, KURLA (E) , SHIV SHRUSHTI ROAD KURLA EAST
SWAMI VIVEKANAND VIDYALAYA, KURLA (E) , SHIV SHRUSHTI ROAD KURLA EAST
SWAMI VIVEKANANDA MARATHI SCHOOL , DEENDAYAL NAGAR APPAPADA MALAD EAST
THAKUR COLLEGE OF SCIENCE AND COMMERCE, KANDIVALI EAST , Shyamnarayan Thakur Marg,Thakur Village,Kandiv
THAKUR SHYAMNARAYAN HIGH SCHOOL , Opp. Dream park, thakur village, kandivali east
THAKUR VIDYA MANDIR HIGH SCHOOL & JR COLLEGE , THAKUR COMPLEX, WEST OF WESTERN EXPRESS, KANDIV
THE ANDHRA EDUCATION SOCIETY'S HIGH SCHOOL & JUNIOR COLLEGE , Road No. 7A, Wadala,
THE ANDHRA EDUCATION SOCIETY'S HIGH SCHOOL & JUNIOR COLLEGE , Road No. 7A, Wadala,
THE B. J. P. C. INSTITUTION & JUNIOR COLLEGE , 33 M K Marg, Opposite Charniroad, Railway Station
THE B.S.G.D'S JR COLLEGE OF COM,ARTS & SCIENCE , BHAVISHYA BHARAT CAMPUS BHADRAN NAGAR OFF S V RO
The BMS'S Brio e-Tech Junior College of Science Commerce and Arts , 462 Pasaydan Marg Off Gorai Road New MHB Colony
THE LITTLE FLOWER HIGH SCHOOL , 2/A, The Little flower School Marg, Gundowli, Andheri east , Mumbai 400069
TULSI HINDI MADHYAMIK VIDYALAYA AND JUNIOR COLLEGE , 184,ST.XAVIERS STREET,BEHIND PETROL PUMP,PAR
UNIFIED ENGLISH HIGH SCHOOL & JR COLLEGE MALAD WEST , MALWANI VILLAGE, TALUKA BORIVALI MALAD WEST
USMS VIDYANIDHI JR. COLLEGE OF SCIENCE , J.V.P.D., JUHU , Vidyanidhi Jr. College of Science, Vidyanidhi Marg, J.V.P
UTTAR BHARATIYA SANGH JUNIOR COLLEGE OF COMMERCE & SCIENCE , PLOT NO 629 1243 BEHIND BANDRA TEA
V G VAZE COLLEGE ARTS,SCI & COMM.MULUND (E) MUMBAI-81 , MITHAGAR ROAD MULUND EASTURC
V P M KANNADA HIGH SCHOOL & JR. COLLEGE, MULUND (E) , MITHAGAR ROAD MULUND EAST MUMBAI
VANI VIDYALAYA & JR. COLLEGE, MULUND (W) , VANI VIDYALAYA SCHOOL JR.COLLEGE OFF J N ROAD MULUND WE
VANI VIDYALAYA & JR. COLLEGE, MULUND (W) , VANI VIDYALAYA SCHOOL JR.COLLEGE OFF J N ROAD MULUND WE
VERSOVA WELFARE ASSOCIATION HIGH SCHOOL & JUNIOR COLLEGE , ARAM NAGAR 1, 7 BUNGLOWS, VERSOVA, A
VIDYA BHUSHAN HIGH SCHOOL & JR.COLLEGE , SHIVAI SANKUL SHIV VALLABH CROSS ROAD DAHISAR EASTMUMB
VIDYA NIKETAN JR. COLLEGE OF COMMERCE AND SICENCE GHTKOPAR (E) , R.B.MEHTA MARG DHANJI DEVSHI MU
VIDYA VIKAS UNIVERSAL JR COLLEGE , Chincholi Bunder Road,Malad West
VIDYABHAVAN JR COLLEGE MULUND (W) MUMBAI-80 , Ratanbai Mun. School Bldg Premises, R.R.T Road,Near S.L Road
VIDYANIKETAN JR COLLEGE OF COM & SCI BORIVALI WEST , CTS NO 441/442 PREMNAGAR BEHIND M.C.F. CLUB BO
VIKAS HIGH SCHOOL & JR. COLLEGE, VIKHROLI (E). , C/O B.M.C Building, Kannamwar nagar -1, Vikhroli East Mumbai 400
WAMANRAO MURAJAN MADHYAMIK VIDYALAYA & JR. COLLEGE, MULUND (E) , SHARADA NEELEYAM, NEELAM NAGA
WILSON COLLEGE , OPP GIRGAUM CHOWPATTY, NETAJI SUBHASH ROAD
XAVIER JUNIOR COLLEGE OF ARTS, COMMERCE &REM JUNIOR COLLEGE OF SCIENCE, C L TECHNICAL COLLEGE B
YUVA JUNIOR COLLEGE OF COMMERCE AND SCIENCE, TILAK NAGAR. , TILAK NAGAR MUMNICIPAL SCHOOL BUILDI
College Type Choice Code Stream Medium Management Type Intake Total Fee SC
Co-Ed MU6873SGE Science English Private Sanstha 160 370
Co-Ed MU7217SFE Science English Private Sanstha 80 15500
Co-Ed MU7084SFE Science English Private Sanstha 80 16000
Co-Ed MU7150SFE Science English Private Sanstha 100 8100
Co-Ed MU6871SFE Science English Private Sanstha 80 12750
Co-Ed MU6871SGE Science English Private Sanstha 80 370
Co-Ed MU7312SFE Science English Private Sanstha 80 12750
Co-Ed MU6851SFE Science English Private Sanstha 80 9000
Co-Ed MU6952SFE Science English Private Sanstha 80 15200
Co-Ed MU7147SFE Science English Private Sanstha 640 15000
Co-Ed MU6843SNE Science English Private Sanstha 80 10000
Co-Ed MU7262SFE Science English Private Sanstha 80 13700
Co-Ed MU6953SFE Science English Private Sanstha 80 16000
Co-Ed MU6931SNE Science English Private Sanstha 80 22500
Co-Ed MU6943SFE Science English Private Sanstha 80 9900
Co-Ed MU6713SFE Science English Private Sanstha 160 24500
Co-Ed MU7233SGE Science English Private Sanstha 80 370
Co-Ed MU7049SFE Science English Private Sanstha 80 14000
Co-Ed MU7079SNE Science English Private Sanstha 200 13260
Co-Ed MU6828SFE Science English Private Sanstha 200 10700
Co-Ed MU11863SPE Science English Private Sanstha 120 8550
Co-Ed MU7255SFE Science English Private Sanstha 80 19600
Boys MU7053SGE Science English Private Sanstha 80 470
Co-Ed MU6976SGE Science English Private Sanstha 240 370
Co-Ed MU6745SGE Science English Government 480 1425
Co-Ed MU6717SNE Science English Private Sanstha 80 30000
Co-Ed MU7125SFE Science English Private Sanstha 120 18000
Co-Ed MU7125SGE Science English Private Sanstha 1080 1230
Co-Ed MU6865SFE Science English Private Sanstha 120 18000
Co-Ed MU7271SNE Science English Private Sanstha 80 18000
Co-Ed MU6993SNE Science English Private Sanstha 80 10660
Co-Ed MU6948SFE Science English Private Sanstha 200 21850
Co-Ed MU6933SNE Science English Private Sanstha 160 30600
Co-Ed MU7222SFE Science English Private Sanstha 240 29500
Co-Ed MU6877SFE Science English Private Sanstha 80 10000
Co-Ed MU6877SNE Science English Private Sanstha 80 10000
Co-Ed MU6767SGE Science English Private Sanstha 650 2473
Co-Ed MU6768SGE Science English Private Sanstha 720 370
Co-Ed MU7256SFE Science English Private Sanstha 80 12000
Co-Ed MU7031SFE Science English Private Sanstha 200 15000
Co-Ed MU7072SFE Science English Private Sanstha 80 26000
Co-Ed MU7188SFE Science English Private Sanstha 80 15000
Co-Ed MU7155SFE Science English Private Sanstha 100 16710
Co-Ed MU7234SFE Science English Private Sanstha 120 15000
Co-Ed MU6966SFE Science English Private Sanstha 80 22550
Co-Ed MU7268SFE Science English Private Sanstha 80 30000
Co-Ed MU6763SGE Science English Private Sanstha 260 2325
Co-Ed MU6875SNE Science English Private Sanstha 160 9500
Co-Ed MU7205SFE Science English Private Sanstha 240 13500
Co-Ed MU6935SFE Science English Private Sanstha 160 23038
Co-Ed MU7190SNE Science English Private Sanstha 80 5000
Co-Ed MU6726SOE Science English Government 360 850
Co-Ed MU6857SFE Science English Private Sanstha 160 15700
Co-Ed MU7285SNE Science English Private Sanstha 80 26500
Co-Ed MU6926SFE Science English Private Sanstha 80 10000
Co-Ed MU6846SNE Science English Private Sanstha 80 12000
Boys MU7052SGE Science English Private Sanstha 80 370
Co-Ed MU7015SFE Science English Private Sanstha 200 10050
Co-Ed MU7213SFE Science English Private Sanstha 160 15000
Co-Ed MU6939SFE Science English Private Sanstha 80 12000
Co-Ed MU7309SFE Science English Private Sanstha 120 15000
Co-Ed MU7269SGE Science English Private Sanstha 160 370
Co-Ed MU6788SFE Science English Private Sanstha 80 5800
Co-Ed MU6990SGE Science English Private Sanstha 80 395
Co-Ed MU6819SGE Science English Private Sanstha 80 395
Co-Ed MU7221SFE Science English Private Sanstha 80 14500
Co-Ed MU6886SFE Science English Private Sanstha 200 44400
Co-Ed MU6837SFE Science English Private Sanstha 120 25010
Co-Ed MU6837SGE Science English Private Sanstha 960 1520
Co-Ed MU7097SFE Science English Private Sanstha 80 10000
Co-Ed MU7099SNE Science English Private Sanstha 80 17000
Co-Ed MU7165SFE Science English Private Sanstha 80 14000
Co-Ed MU7022SFE Science English Private Sanstha 80 10300
Co-Ed MU7076SFE Science English Private Sanstha 80 7500
Co-Ed MU6847SNE Science English Private Sanstha 80 12000
Co-Ed MU6847SGE Science English Private Sanstha 80 1620
Co-Ed MU6994SNE Science English Private Sanstha 80 9270
Co-Ed MU6994SGE Science English Private Sanstha 160 370
Co-Ed MU7041SFE Science English Private Sanstha 240 12000
Co-Ed MU7197SFE Science English Private Sanstha 80 8000
Co-Ed MU7154SOE Science English Government 360 865
Co-Ed MU7008SFE Science English Private Sanstha 200 20450
Co-Ed MU7261SFE Science English Private Sanstha 80 18900
Co-Ed MU7009SFE Science English Private Sanstha 280 20000
Co-Ed MU7296SFE Science English Private Sanstha 320 25000
Co-Ed MU6727SGE Science English Private Sanstha 600 370
Co-Ed MU7293SFE Science English Private Sanstha 320 28000
Co-Ed MU6916SGE Science English Private Sanstha 840 480
Co-Ed MU6783SGE Science English Private Sanstha 80 370
Co-Ed MU6934SFE Science English Private Sanstha 80 18975
Co-Ed MU11882SFE Science English Private Sanstha 80 18000
Co-Ed MU7128SNE Science English Private Sanstha 280 20500
Co-Ed MU7191SFE Science English Private Sanstha 80 13000
Co-Ed MU6813SFE Science English Private Sanstha 80 13700
Co-Ed MU6932SFE Science English Private Sanstha 160 19300
Co-Ed MU6927SFE Science English Private Sanstha 80 40000
Co-Ed MU7050SFE Science English Private Sanstha 520 17000
Co-Ed MU6718SGE Science English Private Sanstha 600 370
Co-Ed MU7303SFE Science English Private Sanstha 80 12000
Co-Ed MU7212SFE Science English Private Sanstha 600 28853
Co-Ed MU6777SNE Science English Private Sanstha 250 30000
Co-Ed MU6777SGE Science English Private Sanstha 200 10000
Co-Ed MU7263SFE Science English Private Sanstha 80 13010
Co-Ed MU7231SFE Science English Private Sanstha 200 20000
Co-Ed MU7137SFE Science English Private Sanstha 80 12000
Co-Ed MU6797SNE Science English Private Sanstha 100 20500
Co-Ed MU6797SGE Science English Private Sanstha 100 8590
Co-Ed MU6827SNE Science English Private Sanstha 80 8000
Co-Ed MU7073SFE Science English Private Sanstha 80 14000
Co-Ed MU7251SFE Science English Private Sanstha 80 25000
Co-Ed MU7242SNE Science English Private Sanstha 160 10120
Co-Ed MU6812SFE Science English Private Sanstha 200 20000
Co-Ed MU7112SFE Science English Private Sanstha 320 18500
Co-Ed MU7133SGE Science English Private Sanstha 960 370
Co-Ed MU7306SFE Science English Private Sanstha 80 21500
Co-Ed MU7260SNE Science English Private Sanstha 80 10000
Co-Ed MU7189SFE Science English Private Sanstha 80 18000
Co-Ed MU11958SFE Science English Private Sanstha 80 16400
Co-Ed MU7012SFE Science English Private Sanstha 480 25000
Co-Ed MU6839SNE Science English Private Sanstha 240 9500
Co-Ed MU7030SGE Science English Private Sanstha 120 0
Co-Ed MU7030SNE Science English Private Sanstha 120 6200
Co-Ed MU6880SGE Science English Private Sanstha 360 790
Co-Ed MU7279SFE Science English Private Sanstha 120 6250
Co-Ed MU7164SFE Science English Private Sanstha 340 45000
Co-Ed MU6989SFE Science English Private Sanstha 80 6200
Co-Ed MU6989SGE Science English Private Sanstha 160 370
Co-Ed MU6815SFE Science English Private Sanstha 80 24800
Co-Ed MU7000SGE Science English Private Sanstha 80 1170
Co-Ed MU7187SFE Science English Private Sanstha 600 10500
Co-Ed MU6753SNE Science English Private Sanstha 480 16000
Co-Ed MU7282SFE Science English Private Sanstha 240 15000
Co-Ed MU7208SFE Science English Private Sanstha 840 24000
Co-Ed MU7250SFE Science English Private Sanstha 1680 24000
Co-Ed MU7004SFE Science English Private Sanstha 80 6000
Co-Ed MU7209SNE Science English Private Sanstha 120 7000
Co-Ed MU6892SGE Science English Private Sanstha 160 400
Co-Ed MU6892SPE Science English Private Sanstha 80 12500
Co-Ed MU7287SFE Science English Private Sanstha 720 30000
Co-Ed MU6977SFE Science English Private Sanstha 720 30000
Co-Ed MU7130SFE Science English Private Sanstha 840 30000
Co-Ed MU6929SFE Science English Private Sanstha 240 30000
Co-Ed MU6765SFE Science English Private Sanstha 720 30000
Co-Ed MU7025SNE Science English Private Sanstha 160 5830
Co-Ed MU7045SGE Science English Private Sanstha 240 370
Co-Ed MU6773SFE Science English Private Sanstha 200 20000
Co-Ed MU7039SFE Science English Private Sanstha 80 49500
Co-Ed MU7264SFE Science English Government 120 25000
Co-Ed MU7280SFE Science English Private Sanstha 840 7000
Co-Ed MU7224SFE Science English Private Sanstha 80 13000
Co-Ed MU7248SFE Science English Private Sanstha 120 4010
Co-Ed MU6938SNE Science English Private Sanstha 80 9600
Co-Ed MU7104SFE Science English Private Sanstha 80 8050
Co-Ed MU7171SFE Science English Private Sanstha 120 17313
Co-Ed MU7171SGE Science English Private Sanstha 600 1270
Co-Ed MU7202SNE Science English Private Sanstha 100 7800
Co-Ed MU7021SFE Science English Private Sanstha 200 9430
Co-Ed MU7286SNE Science English Private Sanstha 240 19000
Co-Ed MU6784SGE Science English Private Sanstha 80 425
Co-Ed MU7003SFE Science English Private Sanstha 80 12500
Co-Ed MU6829SFE Science English Private Sanstha 80 10000
Co-Ed MU6981SGE Science English Cantonment 240 400
Co-Ed MU6832SGE Science English Private Sanstha 680 600
Co-Ed MU7194SFE Science English Private Sanstha 80 9000
Co-Ed MU7108SFE Science English Private Sanstha 180 17000
Co-Ed MU7061SGE Science English Private Sanstha 360 370
Co-Ed MU6860SFE Science English Private Sanstha 120 12000
Co-Ed MU7273SFE Science English Private Sanstha 240 33200
Co-Ed MU6891SGE Science English Private Sanstha 560 3355
Co-Ed MU7129SFE Science English Private Sanstha 360 28800
Co-Ed MU7129SGE Science English Private Sanstha 480 840
Co-Ed MU6900SNE Science English Private Sanstha 80 10350
Co-Ed MU6900SGE Science English Private Sanstha 160 405
Co-Ed MU6836SGE Science English Government 480 370
Co-Ed MU6733SFE Science English Private Sanstha 80 12500
Co-Ed MU6999SPE Science English Private Sanstha 80 8870
Co-Ed MU7266SFE Science English Private Sanstha 160 20000
Co-Ed MU7229SFE Science English Private Sanstha 160 12000
Co-Ed MU6907SFE Science English Private Sanstha 80 8700
Co-Ed MU6964SGE Science English Private Sanstha 80 1100
Co-Ed MU7107SGE Science English Private Sanstha 240 1770
Co-Ed MU7291SFE Science English Private Sanstha 160 20800
Co-Ed MU7181SFE Science English Private Sanstha 80 10000
Co-Ed MU7185SFE Science English Private Sanstha 80 12000
Co-Ed MU7243SFE Science English Private Sanstha 240 3600
Co-Ed MU6908SNE Science English Private Sanstha 80 10000
Co-Ed MU7156SGE Science English Private Sanstha 960 0
Co-Ed MU7241SGE Science English Private Sanstha 80 370
Co-Ed MU6762SGE Science English Private Sanstha 200 6850
Co-Ed MU7056SGE Science English Private Sanstha 80 395
Co-Ed MU7098SNE Science English Private Sanstha 80 9820
Co-Ed MU7098SGE Science English Private Sanstha 160 370
Co-Ed MU7237SNE Science English Private Sanstha 80 11000
Co-Ed MU7002SFE Science English Private Sanstha 80 18000
Co-Ed MU7244SFE Science English Private Sanstha 80 15000
Co-Ed MU6869SNE Science English Private Sanstha 160 40355
Co-Ed MU7149SFE Science English Private Sanstha 120 42000
Co-Ed MU7143SFE Science English Private Sanstha 360 8000
Co-Ed MU6822SGE Science English Private Sanstha 80 370
Co-Ed MU7151SFE Science English Private Sanstha 300 17000
Co-Ed MU6949SFE Science English Private Sanstha 320 14000
Co-Ed MU6723SGE Science English Private Sanstha 360 370
Co-Ed MU6831SGE Science English Private Sanstha 650 1730
Co-Ed MU6947SFE Science English Private Sanstha 80 35000
Co-Ed MU7198SFE Science English Private Sanstha 80 15000
Co-Ed MU7028SFE Science English Private Sanstha 80 15000
Co-Ed MU7094SNE Science English Private Sanstha 80 15415
Co-Ed MU7094SGE Science English Private Sanstha 160 370
Co-Ed MU6707SFE Science English Private Sanstha 80 27000
Co-Ed MU6785SGE Science English Private Sanstha 80 450
Co-Ed MU6998SFE Science English Private Sanstha 200 25000
Co-Ed MU7276SFE Science English Private Sanstha 80 20000
Co-Ed MU6861SFE Science English Private Sanstha 240 12000
Co-Ed MU7236SGE Science English Private Sanstha 100 370
Co-Ed MU6844SFE Science English Private Sanstha 80 10300
Co-Ed MU7170SGE Science English Private Sanstha 240 375
Co-Ed MU7122SFE Science English Private Sanstha 80 28853
Co-Ed MU7195SGE Science English Private Sanstha 80 385
Co-Ed MU7086SFE Science English Private Sanstha 160 20500
Co-Ed MU7272SGE Science English Private Sanstha 80 370
Co-Ed MU7182SNE Science English Private Sanstha 80 12100
Co-Ed MU7017SFE Science English Private Sanstha 200 22400
Co-Ed MU7042SGE Science English Private Sanstha 80 370
Co-Ed MU7265SFE Science English Private Sanstha 160 15300
Co-Ed MU7265SNE Science English Private Sanstha 160 15300
Co-Ed MU7290SNE Science English Private Sanstha 240 17300
Co-Ed MU7081SGE Science English Private Sanstha 80 300
Co-Ed MU6724SGE Science English Government 360 520
Co-Ed MU7078SNE Science English Private Sanstha 160 7475
Co-Ed MU6863SFE Science English Private Sanstha 400 20000
Co-Ed MU6868SGE Science English Private Sanstha 320 3180
Co-Ed MU7258SFE Science English Private Sanstha 80 19350
Co-Ed MU6930SNE Science English Private Sanstha 80 17250
Co-Ed MU6930SGE Science English Private Sanstha 80 3966
Co-Ed MU7180SFE Science English Private Sanstha 80 6600
Co-Ed MU7249SFE Science English Private Sanstha 1320 30837
Co-Ed MU7302SFE Science English Private Sanstha 80 22820
Co-Ed MU7232SFE Science English Private Sanstha 320 24000
Co-Ed MU6817SNE Science English Private Sanstha 160 21200
Co-Ed MU6817SGE Science English Private Sanstha 80 4995
Co-Ed MU6737SFE Science English Private Sanstha 80 20400
Co-Ed MU7206SFE Science English Private Sanstha 360 13600
Co-Ed MU7288SFE Science English Private Sanstha 440 15900
Co-Ed MU7077SFE Science English Private Sanstha 80 26000
Co-Ed MU6786SGE Science English Government 80 140
Co-Ed MU7227SFE Science English Private Sanstha 80 18000
Co-Ed MU7119SFE Science English Private Sanstha 80 18200
Co-Ed MU7066SFE Science English Private Sanstha 240 10000
Co-Ed MU7024SGE Science English Private Sanstha 600 370
Co-Ed MU7019SGE Science English Private Sanstha 80 370
Co-Ed MU7011SFE Science English Government 80 8000
Co-Ed MU7011SGE Science English Government 240 7250
Co-Ed MU7090SGE Science English Private Sanstha 80 0
NA MU7240SNE Science English NA 80 13000
Co-Ed MU6915SFE Science English Private Sanstha 600 16500
Co-Ed MU7207SFE Science English Private Sanstha 480 29502
Co-Ed MU7026SFE Science English Private Sanstha 120 13800
Co-Ed MU7278SFE Science English Private Sanstha 240 13000
Co-Ed MU6969SGE Science English Private Sanstha 240 370
Co-Ed MU7018SPE Science English Private Sanstha 240 14500
Co-Ed MU6743SGE Science English Private Sanstha 480 1518
Co-Ed MU7289SFE Science English Private Sanstha 520 11000
Co-Ed MU6883SFE Science English Private Sanstha 220 7000
ST VJA NTB NTC NTD OBC SBC SEBC EWS Management Inhouse General

You might also like