KEMBAR78
Long Outstanding From December 1 To March 08 2025 | PDF | Personal Finance | Telecommunications
0% found this document useful (0 votes)
20 views34 pages

Long Outstanding From December 1 To March 08 2025

The document lists unauthorized mobile banking deductions from customer accounts, detailing transaction dates, account numbers, and amounts involved. It highlights numerous pending disputes related to these transactions, indicating a significant issue with unauthorized deductions. Additionally, it includes a section on long outstanding digital banking disputes with further transaction details.

Uploaded by

tesfaye talefe
Copyright
© © All Rights Reserved
We take content rights seriously. If you suspect this is your content, claim it here.
Available Formats
Download as XLSX, PDF, TXT or read online on Scribd
0% found this document useful (0 votes)
20 views34 pages

Long Outstanding From December 1 To March 08 2025

The document lists unauthorized mobile banking deductions from customer accounts, detailing transaction dates, account numbers, and amounts involved. It highlights numerous pending disputes related to these transactions, indicating a significant issue with unauthorized deductions. Additionally, it includes a section on long outstanding digital banking disputes with further transaction details.

Uploaded by

tesfaye talefe
Copyright
© © All Rights Reserved
We take content rights seriously. If you suspect this is your content, claim it here.
Available Formats
Download as XLSX, PDF, TXT or read online on Scribd
You are on page 1/ 34

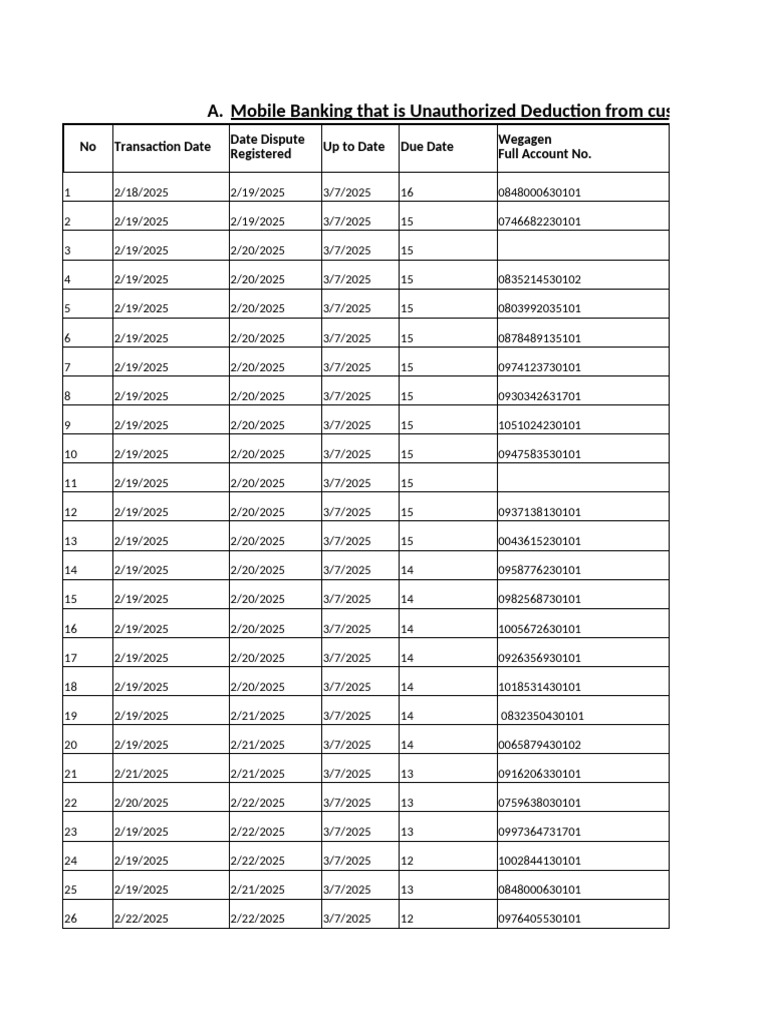
A.

Mobile Banking that is Unauthorized Deduction from customer A/C


Date Dispute Wegagen
No Transaction Date Up to Date Due Date
Registered Full Account No.

1 2/18/2025 2/19/2025 3/7/2025 16 0848000630101

2 2/19/2025 2/19/2025 3/7/2025 15 0746682230101

3 2/19/2025 2/20/2025 3/7/2025 15

4 2/19/2025 2/20/2025 3/7/2025 15 0835214530102

5 2/19/2025 2/20/2025 3/7/2025 15 0803992035101

6 2/19/2025 2/20/2025 3/7/2025 15 0878489135101

7 2/19/2025 2/20/2025 3/7/2025 15 0974123730101

8 2/19/2025 2/20/2025 3/7/2025 15 0930342631701

9 2/19/2025 2/20/2025 3/7/2025 15 1051024230101

10 2/19/2025 2/20/2025 3/7/2025 15 0947583530101

11 2/19/2025 2/20/2025 3/7/2025 15

12 2/19/2025 2/20/2025 3/7/2025 15 0937138130101

13 2/19/2025 2/20/2025 3/7/2025 15 0043615230101

14 2/19/2025 2/20/2025 3/7/2025 14 0958776230101

15 2/19/2025 2/20/2025 3/7/2025 14 0982568730101

16 2/19/2025 2/20/2025 3/7/2025 14 1005672630101

17 2/19/2025 2/20/2025 3/7/2025 14 0926356930101

18 2/19/2025 2/20/2025 3/7/2025 14 1018531430101

19 2/19/2025 2/21/2025 3/7/2025 14 0832350430101

20 2/19/2025 2/21/2025 3/7/2025 14 0065879430102

21 2/21/2025 2/21/2025 3/7/2025 13 0916206330101

22 2/20/2025 2/22/2025 3/7/2025 13 0759638030101

23 2/19/2025 2/22/2025 3/7/2025 13 0997364731701

24 2/19/2025 2/22/2025 3/7/2025 12 1002844130101

25 2/19/2025 2/21/2025 3/7/2025 13 0848000630101

26 2/22/2025 2/22/2025 3/7/2025 12 0976405530101


27 2/19/2025 2/24/2025 3/7/2025 11 0043615230101

28 2/19/2025 2/24/2025 3/7/2025 11 0816330430101

29 2/19/2025 2/24/2025 3/7/2025 11 0848000630101

30 2/19/2025 2/24/2025 3/7/2025 10 1022995530102

31 2/24/2025 2/24/2025 3/7/2025 10 0044073830101

32 2/19/2025 2/25/2025 3/7/2025 9 0848000630101

33 2/19/2025 2/26/2025 3/7/2025 9 0809877830101

34 2/25/2025 2/26/2025 3/7/2025 9 0834731430101

35 2/19/2025 2/26/2025 3/7/2025 9 1004641431701

36 2/19/2025 2/26/2025 3/7/2025 8 0065879430102

37 2/19/2025 2/26/2025 3/7/2025 8 0043615230101

38 2/26/2025 2/27/2025 3/7/2025 8 1001465430101

39 2/15/2025 2/27/2025 3/7/2025 8 0957275430101

40 2/19/2025 2/27/2025 3/7/2025 8

41 2/19/2025 2/27/2025 3/7/2025 7 1046370330101

42 2/27/2025 2/28/2025 3/7/2025 7 0079797830102


43 2/19/2025 3/3/2025 3/11/2025 8 0946435930102
44 3/5/2025 3/5/2025 3/11/2025 6 0997364731701
45 3/3/2025 3/5/2025 3/11/2025 6 0066605930101
46 2/19/2025 3/6/2025 3/11/2025 5 0900579730101
from customer A/C
Name Amount Telephone Type of transaction

TEMESGEN YAYNU MESFIN (1600) double 251939054834 Outgoing

TADIWOS ASSFAW TEGEGN 10,000 251911038570 Outgoing

GIRMAY SIMACHEW LEWTU 50 251918508123 Outgoing

TSIGAB ATSIBEHA GEBREKORKOS 1,200 251904864440 Outgoing

REMELA JEMAL ASFIR 1000 251920004142 Outgoing

ENDIRES AHIMED TEFERA 2,500*2 251993539864 Outgoing

SOLOMON AYEHU BELAYINEH 3,500 251913071706 Outgoing

DAGIMAWIT BEKELE MENGESHA 1,000.00 251973464492 Outgoing

FIKRE GUESH GEBRESLASIE 2,000.00 251912806567 Outgoing

DESALEGN YKUNO TESFAHUN 1,200.00 251937396757 Outgoing

ZENAWI ADIMASU MELISEW 47,000 AND 3000 251917987329 Outgoing

DIW HOTH TOANG 600 251977248547 Outgoing

YEMANE GEBREMICHAEL 1000 251914727909 Outgoing

BEREKET ABADI ARAYA 2,000.00 +251914748908 Outgoing

ANDOM SEYOUM WELDEHAIMANOT 10,000 251923447155 Outgoing

Melase Tsegaye 250,540,250 251967409115 Outgoing

CHOUL RUEY ROM 500,250 251986772077 Outgoing

DANAYIT ALEM GEBREHIWOT 800 251912787610 Outgoing

AKLILU ADMASU GAWESERASHA 300 +251918956003 Account related

TEKAY MURTS GEBREMICHAEL 4000 +251962696921 Other

BIRHANU WORKU SETARGEW 4200 AND 10,000 +251949943212 Outgoing

TADESE GASHAW NIGATIE 600 +251916263408 Account related

MEKDELAWIT BEWKETU MENGSTU 300 251941282023 MOBIL BANKING

TUEMAY ABADI MEHARI AND OR AWET 4000*4000 251914049179 Outgoing

TEMESGEN YAYNU MESFIN 1,600 birr +251939054834 Outgoing

KIBROM HAILE 50,000 251954299498 Outgoing


YEMANE GEBREMICHAEL GEBREZGABHE1,000 birr & 1,000 birr +251914727909 Outgoing

MUT WANG TENY 520 251955566333 Outgoing

TEMESGEN YAYNU MESFIN 1600 251939054834 Outgoing

ABENEZER NIGATU HAILE 3,800 251916706378 Outgoing

NIGUSE TEKLAY HAILEYESUS 500 251914043376 Outgoing

TEMESGEN YAYNU MESFIN 1600 +251939054834 Other

KIBROM SELEMON YOHANNES 750 +251948550133 Other

HAILU TSIGE KIDANU 5000 +251914409002 Other

MESERET MATYOS FANTAYE 2300 251344408439 account related

TEKAY MURTS GEBREMICHAEL 4000 +251919021731 Other

YEMANE GEBREMICHAEL GEBREZGABHE1000 251914724842 account related

KOCHLOACH CHUOL MAWICH 400 251988885628 mobile banking

GELETA MIESA LOLE 30000 251912608439 mobile banking

MEKDELAWIT BEWKETU MENGSTU 300 251941282023 Outgoing

ASMELASH HLFEY AGETE 1200 251940944841 account related

BELACHEW KIRUB DEBASSU 15000 251912908396 mobile banking


KIBROM ALENE TAREKE 1550 +251914178516 Other
MEKDELAWIT BEWKETU MENGSTU 120 251941282023 account related
ALEMNEH TESHAGER TSEHAYE 1000 251914018188 Double transaction
EMEBET MEKONNEN LASTAW 500 +251935217498 Account related
Status

Pending

Pending

Pending

Pending

Pending

Pending

Pending

Pending

Pending

Pending

Pending

Pending

Pending

Pending

Pending

Pending

Pending

Pending

Pending

Pending

Pending

Pending

Pending

Pending

Pending

Pending
Pending

Pending

Pending

Pending

Pending

Pending

Pending

Pending

Pending

Pending

Pending

Pending

Pending

Pending

Pending

Pending
Pending
Pending
Pending
Pending
-

other bank

BOA

-
Long outstanding of Digital Banking from December 0
A. Mobile Banking

Date Dispute Wegagen


No. Transaction Date Up to Date Due Date
Registered Full Account No.

1 1/1/2025 01/09/25 03/10/25 60 `0837153130101


12/31/24 &
2 01/02/2024 01/09/25 03/10/25 60 `0750932630101
3 6/27/2024 01/11/25 03/10/25 58 `01025189930101
4 12/26/2024 01/12/25 03/10/25 56 0904274730103
5 12/31/2024 01/13/25 03/10/25 56 `0912913430101
6 12/31/2024 01/13/25 03/10/25 55 `01035687430101
7 1/15/2025 01/16/25 03/10/25 52 `0966512331702
8 12/27/2024 01/17/25 03/10/25 51 0942017330101
9 1/31/2025 02/01/25 03/10/25 37 0868196831701
10 12/11/2024 02/03/25 03/10/25 35 `0816522730101
11 12/23/2024 02/03/25 03/10/25 34 `0940418730101
12 2/5/2025 02/07/25 03/10/25 31 `0940418730101
13 2/7/2025 02/07/25 03/10/25 30 0065584230102
14 2/13/2025 02/13/25 03/10/25 24 0859944631701
15 2/8/2025 02/14/25 03/10/25 23 1031444930101
16 2/15/2025 02/17/25 03/10/25 21 ` 1042348230101
17 2/13/2025 02/17/25 03/10/25 20 `1042348230101
18 1/27/2025 2/18/2025 3/7/2025 17 951667830101
19 2/17/2025 2/18/2025 3/7/2025 16 1018155330101
20 2/17/2025 2/18/2025 3/7/2025 16 0896852430101
21 1/4/2025 2/18/2025 3/7/2025 16 1013282031701
22 1/11/2025 2/19/2025 3/7/2025 16 0950630630101
23 8/13/2024 2/20/2025 3/7/2025 15 0861799331701
24 2/19/2025 2/21/2025 3/7/2025 13 0959321930101
25 1/5/2025 2/21/2025 3/7/2025 13 0092839510101
26 1/8/2025 2/22/2025 3/7/2025 12 0793135531701
27 12/19/2024 2/24/2025 3/7/2025 11 0983052131701
28 2/22/2025 2/25/2025 3/7/2025 10 1052634730101
29 2/22/2025 2/25/2025 3/7/2025 10 1062510531701
30 2/25/2025 2/25/2025 3/7/2025 9 0736849630101
31 2/25/2025 2/25/2025 3/7/2025 9 1004641431701
32 2/14/2025 2/26/2025 3/7/2025 9 0742465630101
33 2/26/2025 2/27/2025 3/7/2025 8 0882789630101
34 2/27/2025 2/28/2025 3/7/2025 10 0886754731702
35 2/28/2025 2/28/2025 3/7/2025 10 5002228735101
36 2/28/2025 2/28/2025 3/7/2025 10 0028334610101
37 2/27/2025 2/28/2025 3/7/2025 10 0996428930101
38 2/27/2025 3/1/2025 3/7/2025 7 0996160330101
39 2/28/2025 3/1/2025 3/7/2025 7 0064239830102
40 2/27/2025 3/1/2025 3/7/2025 7 0958728630102
41 2/19/2025 3/1/2025 3/7/2025 7 0077485330101
42 2/27/2025 3/1/2025 3/7/2025 7 1064115130101
43 1/8/2025 3/1/2025 3/7/2025 7 0813354630101
44 2/27/2025 3/1/2025 3/7/2025 7 0958728630102
45 2/27/2025 3/1/2025 3/7/2025 7 0876216830101
46 12/23/2024 3/3/2025 3/11/2025 8 0904936435101
47 12/23/2024 3/3/2025 3/11/2025 8 0904936435101
48 1/8/2025 3/3/2025 3/11/2025 8 0813354630101
49 2/17/2025 3/3/2025 3/11/2025 8 0823682930101
50 2/27/2025 3/3/2025 3/11/2025 8 0843992230101
51 2/28/2025 3/3/2025 3/11/2025 8 0946435930102
52 2/28/2025 3/3/2025 3/11/2025 8 0891604630101
53 12/28/2024 3/4/2025 3/11/2025 7 0944834131701
54 1/8/2025 3/4/2025 3/11/2025 7 0793135531701
55 1/11/2025 3/4/2025 3/11/2025 7 0950630630101
56 2/20/2025 3/4/2025 3/11/2025 7 0832350430101
57 2/19/2025 3/5/2025 3/11/2025 6 0967826130101
58 3/1/2025 3/5/2025 3/11/2025 6 0842620630101
59 1/27/2025 3/6/2025 3/11/2025 5 0951667830101
60 2/18/2025 3/6/2025 3/11/2025 5 1011700330101
61 2/18/2025 3/6/2025 3/11/2025 5 0759638030101
62 2/19/2025 3/6/2025 3/11/2025 5 0759638030101
63 2/25/2025 3/6/2025 3/11/2025 5 0736849630101
64 3/5/2025 3/6/2025 3/11/2025 5 1057317330101
65 3/5/2025 3/6/2025 3/11/2025 5 1000763830101
66 3/6/2025 3/6/2025 3/11/2025 5 0841541431701
67 3/6/2025 3/6/2025 3/11/2025 5 1022552731701
68 2/19/2025 3/7/2025 3/11/2025 4 0848000630101
69 3/6/2025 3/7/2025 3/11/2025 4 1055700730101
70 3/6/2025 3/7/2025 3/11/2025 4 1029950635101
71 1/19/2025 3/8/2025 3/11/2025 3 1021094731701
72 2/7/2025 3/8/2025 3/11/2025 3 1064551430102
73 2/19/2025 3/8/2025 3/11/2025 3 0959427330101
74 2/19/2025 3/8/2025 3/11/2025 3 1012695931701
75 3/6/2025 3/8/2025 3/11/2025 3 0941387430101
76 3/7/2025 3/8/2025 3/11/2025 3 0847690830101
77 3/7/2025 3/8/2025 3/11/2025 3 0733707530101
78 3/8/2025 3/8/2025 3/11/2025 3 0731651735101
79 3/8/2025 3/8/2025 3/11/2025 3 1035205430101

B. ATM
No. Date of
Transaction Date Dispute Updated ccount No. Account From:
1 12/5/2024 12/19/24 03/10/25 80 `068010930101
2 12/19/2024 12/20/24 03/10/25 79 `0974398430101

3 12/20/2024 12/23/24 03/10/25 76 `01039964630101


4 12/23/2024 12/26/24 03/10/25 74 `0964120431701
12/24/25 &
5 12/25/2024 12/27/24 03/10/25 72 `0799350231701
6 1/1/2025 01/01/25 03/10/25 68 0736882830101
7 12/30/2024 01/01/25 03/10/25 67 0986612930102
8 1/2/2025 01/02/25 03/10/25 66 `1039964630101
9 01/03/25 01/03/25 03/10/25 66 `1039964630101
10 12/31/2024 01/03/25 03/10/25 65 1047327230101
11 12/23/2024 01/03/25 03/10/25 65 `0963718330101
12 1/1/2025 01/04/25 03/10/25 64 `078147430102
13 1/4/2025 01/05/25 03/10/25 64 1052140030101
14 4/1/2025 01/06/25 03/10/25 62 `1044624930101
15 1/6/2025 01/08/25 03/10/25 61 `0960429930101
16 1/1/2025 01/08/25 03/10/25 61 0987015030101
17 1/28/2025 02/01/25 03/10/25 37 `0951959930101
18 12/22/2024 02/02/25 03/10/25 35 `0952157130101
19 1/15/2025 02/03/25 03/10/25 34 1047148431701
20 2/3/2025 02/04/25 03/10/25 33 `0836484030102
21 2/4/2025 02/05/25 03/10/25 32 0920278430102
22 2/1/2025 02/07/25 03/10/25 30 `0987015030101
23 1/12/2025 02/08/25 03/10/25 29 `1042273230101
24 2/8/2025 02/10/25 03/10/25 28 `0794597635101
25 2/8/2025 02/10/25 03/10/25 27 `0765263230101
26 2/10/2025 02/10/25 03/10/25 27 `0793664931701
27 12/25/2024 02/10/25 03/10/25 27 0964202730101
28 1/20/2025 2/11/2025 3/10/2025 27 0859922030103
29 2/10/2025 02/11/25 03/10/25 26 `0964637431701
30 2/10/2025 02/11/25 03/10/25 26 `0783493535101
31 2/10/2025 2/13/2025 3/10/2025 25 0974342131701
32 12/31/2024 2/13/2025 3/10/2025 25 0964120431701
33 2/13/2025 2/13/2025 3/10/2025 24 1031444930101
34 2/8/2025 2/14/2025 3/10/2025 23 0984638530101
35 1/3/2025 2/15/2025 3/10/2025 23 0921619530101
36 2/3/2025 2/15/2025 3/10/2025 23 0945159230101
37 2/15/2025 02/15/25 03/10/25 22 0860657830101
38 2/15/2025 2/15/2025 3/10/2025 22 0860657830101
39 2/15/2025 2/15/2025 3/10/2025 22 1016422930101
40 2/15/2025 2/16/2025 3/10/2025 22 1046653330101
41 2/15/2025 2/17/2025 3/10/2025 21 1042348230101
42 2/16/2025 2/17/2025 3/10/2025 20 1024695330101
43 2/13/2025 2/17/2025 3/10/2025 20 1013461530101
44 2/10/2025 2/17/2025 3/10/2025 20 1050125431701
45 2/18/2025 02/17/25 03/10/25 20 0959136530101
46 2/15/2025 2/18/2025 3/10/2025 20 0816271931701
47 1/27/2025 2/18/2025 3/10/2025 20 1046148231701
48 1/26/2025 2/18/2025 3/10/2025 20 0797540430101
49 12/22/2024 2/18/2025 3/10/2025 20 0965190930101
50 1/27/2025 2/18/2025 3/10/2025 20 0951667830101
51 2/11/2025 2/18/2025 3/10/2025 20 0876725531701
52 2/17/2025 2/18/2025 3/10/2025 19 0896852430101
53 2/16/2025 2/18/2025 3/10/2025 19 0735788730101
54 1/4/2025 2/18/2025 3/10/2025 19 1013282031701
55 2/18/2025 2/18/2025 3/10/2025 19 1008884630101
56 2/17/2025 2/18/2025 3/10/2025 19 1039939130101
57 2/16/2025 2/18/2025 3/10/2025 19 0071687630101
58 2/10/2025 2/18/2025 3/10/2025 19 0783493535101
59 2/18/2025 2/18/2025 3/10/2025 19 0057405630101
60 1/11/2025 2/19/2025 3/10/2025 19 0950630630101
61 2/18/2025 2/19/2025 3/10/2025 19 0848000630101
62 2/19/2025 2/19/2025 3/10/2025 18 0023949135101
63 2/19/2025 2/19/2025 3/10/2025 18 1058291230101
64 1/28/2025 2/19/2025 3/10/2025 18 0960067935101
65 2/19/2025 2/19/2025 3/10/2025 18 0901196330101
66 2/19/2025 2/19/2025 3/10/2025 18 0829190330102
67 2/19/2025 2/19/2025 3/10/2025 18 1063837231701
68 20/02/2025 2/20/2025 3/10/2025 18 0959024230101
69 2/19/2025 2/20/2025 3/10/2025 18 0043615230101
70 2/20/2025 2/20/2025 3/10/2025 17 0767143130102
71 2/20/2025 2/20/2025 3/10/2025 17 1018553531701
72 2/19/2025 2/20/2025 3/10/2025 17 1018531430101
73 2/17/2025 2/20/2025 3/10/2025 17 0078857230101
74 2/10/2025 2/20/2025 3/10/2025 17 0927119030102
75 2/10/2025 2/21/2025 3/10/2025 17 1018438431701
76 2/21/2025 2/21/2025 3/10/2025 17 0974765730101
77 2/18/2025 2/21/2025 3/10/2025 17 1033305830102
78 2/21/2025 2/21/2025 3/10/2025 16 0837290630101
79 2/13/2025 2/21/2025 3/10/2025 16 0941409131701
80 2/21/2025 2/21/2025 3/10/2025 16 0965571535101
81 2/10/2025 2/21/2025 3/10/2025 16 0906452330102
82 12/5/2024 2/21/2025 3/10/2025 16 0088424730101
83 2/20/2025 2/22/2025 3/10/2025 16 0980996330101
84 2/14/2025 2/22/2025 3/10/2025 16 1060073930101
85 2/16/2025 2/22/2025 3/10/2025 16 0759638030101
86 2/20/2025 2/22/2025 3/10/2025 16 0923724531701
87 2/18/2025 2/22/2025 3/10/2025 15 1016919831701
88 2/21/2025 2/22/2025 3/10/2025 15 0809166531701
89 2/23/2025 2/23/2025 3/10/2025 15 0764703430101
90 2/22/2025 2/23/2025 3/10/2025 14 0751930630102
91 2/24/2025 2/24/2025 3/10/2025 14 0074362930101
92 2/22/2025 2/24/2025 3/10/2025 14 0031388030101
93 2/1/2025 2/24/2025 3/10/2025 14 0074024330102
94 2/24/2025 2/24/2025 3/10/2025 14 1035975430101
95 2/22/2025 2/24/2025 3/10/2025 14 0886019831701
96 2/22/2025 2/24/2025 3/10/2025 14 0868222230101
97 2/2/2025 2/24/2025 3/10/2025 14 0836484030102
98 2/17/2025 2/24/2025 3/10/2025 14 0782332531701
99 2/20/2025 2/24/2025 3/10/2025 14 0860560730101
100 2/22/2025 2/24/2025 3/10/2025 13 0930480330101
101 2/20/2025 2/24/2025 3/10/2025 13 1013311330101
102 2/22/2025 2/24/2025 3/10/2025 13 0026821830102
103 2/22/2025 2/24/2025 3/10/2025 13 1019765930101
104 2/19/2025 2/24/2025 3/10/2025 13 1045682935101
105 2/24/2025 2/24/2025 3/10/2025 13 0853293530101
106 2/24/2025 2/24/2025 3/10/2025 13 1007026830101
107 2/15/2025 2/24/2025 3/10/2025 13 5002143935102
108 2/4/2025 2/24/2025 3/10/2025 13 0813753130101
109 2/24/2025 2/24/2025 3/10/2025 13 1040611430101
110 2/22/2025 2/24/2025 3/10/2025 13 0848241931701
111 2/24/2025 2/24/2025 3/10/2025 13 0974087730102
112 2/22/2025 2/24/2025 3/10/2025 13 1057272931701
113 2/24/2025 2/24/2025 3/10/2025 13 0940743431701
114 2/23/2025 2/24/2025 3/10/2025 13 0045453230101
115 2/24/2025 2/24/2025 3/10/2025 13 0968378535101
116 2/24/2025 2/24/2025 3/10/2025 13 1056876730101
117 12/12/2022 2/24/2025 3/10/2025 13 0082055030101
118 2/25/2025 2/25/2025 3/10/2025 13 0843251231701
119 2/10/2025 2/25/2025 3/10/2025 12 0789545530101
120 2/24/2025 2/25/2025 3/10/2025 12 0834247330101
121 2/25/2025 2/25/2025 3/10/2025 12 0947850030101
122 2/18/2025 2/26/2025 3/10/2025 12 0790610331701
123 2/25/2025 2/26/2025 3/10/2025 12 0781327230101(wega
124 2/24/2025 2/26/2025 3/10/2025 12 0060405430101
125 2/25/2025 2/26/2025 3/10/2025 12 1035919931701
126 2/26/2025 2/26/2025 3/10/2025 11 0060055331701
127 2/2/2025 2/26/2025 3/10/2025 11 0828333830101
128 2/26/2025 2/26/2025 3/10/2025 11 0768076630101
129 2/23/2025 2/26/2025 3/10/2025 11 1056165631701
130 2/24/2025 2/26/2025 3/10/2025 11 0820365330101
131 2/25/2025 2/26/2025 3/10/2025 11 0038081730102
132 2/13/2025 2/26/2025 3/10/2025 11 0798953530101
133 2/26/2025 2/26/2025 3/10/2025 11 0812830030101
134 2/26/2025 2/26/2025 3/10/2025 11 1008455135102
135 2/24/2025 2/26/2025 3/10/2025 11 1022541130101(wega
136 2/25/2025 2/26/2025 3/10/2025 11 1054060530101
137 2/22/2025 2/26/2025 3/10/2025 11 0945232330101
138 2/23/2025 2/26/2025 3/10/2025 11 0969619830101
139 2/3/2025 2/26/2025 3/10/2025 11 1046610230101
140 2/24/2025 2/27/2025 3/10/2025 11 0752207130101
141 2/23/2025 2/27/2025 3/10/2025 11 0043783830102
142 2/23/2025 2/27/2025 3/10/2025 11 0952925830102
143 2/27/2025 2/27/2025 3/10/2025 11 1028397130101
144 2/25/2025 2/27/2025 3/10/2025 11 0076850730101
145 2/24/2025 2/27/2025 3/10/2025 11 0065751230101
146 2/27/2025 2/27/2025 3/10/2025 11 0932678431701
147 2/27/2025 2/27/2025 3/10/2025 11 0975299530101
148 2/27/2025 2/27/2025 3/10/2025 11 0944225930101
149 2/27/2025 2/27/2025 3/10/2025 11 1059751431701
150 2/27/2025 2/27/2025 3/10/2025 11 0064401830101(wega
151 2/27/2025 2/27/2025 3/10/2025 10 0818537431701
152 2/27/2025 2/27/2025 3/10/2025 10 0933254731701
153 2/27/2025 2/27/2025 3/10/2025 10 0762880330101
154 2/26/2025 2/27/2025 3/10/2025 10 0844695730102
155 2/26/2025 2/27/2025 3/10/2025 10 0777822030101
156 2/19/2025 2/27/2025 3/10/2025 10 0736787935101
157 1/28/2025 2/27/2025 3/10/2025 10 0977740530101
158 2/27/2025 2/27/2025 3/10/2025 10 1027663030101
159 2/27/2025 2/27/2025 3/10/2025 10 1066285930101
160 2/24/2025 2/27/2025 3/10/2025 10 1033355530101
161 2/27/2025 2/27/2025 3/10/2025 10 0088424730101
162 2/27/2025 2/27/2025 3/10/2025 10 0937796331701
163 2/27/2025 2/27/2025 3/10/2025 10 1045053131701
164 2/27/2025 2/27/2025 3/10/2025 10 0791969730101
165 2/27/2025 2/27/2025 3/10/2025 10 0799602430101
166 2/12/2025 2/27/2025 3/10/2025 10 0913760130101
167 2/27/2025 2/27/2025 3/10/2025 10 0889384330102
168 2/27/2025 2/27/2025 3/10/2025 10 0760012930101
169 2/7/2025 2/27/2025 3/10/2025 10 0760012930101
170 2/27/2025 2/27/2025 3/10/2025 10 0768658330101
171 2/27/2025 2/27/2025 3/10/2025 10 1008245531701
172 2/27/2025 2/27/2025 3/10/2025 10 1046028631701
173 2/27/2025 2/27/2025 3/10/2025 10 0966393030101
174 2/27/2025 2/27/2025 3/10/2025 10 1053442730101
175 2/27/2025 2/28/2025 3/10/2025 10 0100801430102
176 2/28/2025 2/28/2025 3/10/2025 10 1043680630102
177 2/28/2025 2/28/2025 3/10/2025 10 0843992230101
178 2/28/2025 2/28/2025 3/10/2025 10 0735263130101
179 2/27/2025 2/28/2025 3/10/2025 10 1064709130101
180 2/21/2025 2/28/2025 3/10/2025 10 0951822630101
181 2/27/2025 2/28/2025 3/10/2025 10 0978456230101
182 2/28/2025 2/28/2025 3/10/2025 10 0741089931701
183 2/28/2025 2/28/2025 3/10/2025 10 1047848130101
184 2/27/2025 2/28/2025 3/10/2025 10 0900688830101
185 2/27/2025 2/28/2025 3/10/2025 10 0976926730101
186 2/28/2025 2/28/2025 3/10/2025 10 0900688830101
187 2/27/2025 2/28/2025 3/10/2025 10 1058578830101
188 2/27/2025 2/28/2025 3/10/2025 10 0093306430101
189 2/27/2025 2/28/2025 3/10/2025 10 0943564730101
190 2/27/2025 2/28/2025 3/10/2025 10 0918868530101
191 2/27/2025 2/28/2025 3/10/2025 10 0983230530101
192 2/27/2025 2/28/2025 3/10/2025 10 0742610130101
193 2/27/2025 2/28/2025 3/10/2025 10 1064263330101
194 2/27/2025 2/28/2025 3/10/2025 10 0953557830101
195 2/27/2025 2/28/2025 3/10/2025 9 0069216630101
196 2/24/2025 2/28/2025 3/10/2025 9 0929318130101
197 2/27/2025 2/28/2025 3/10/2025 9 0835744530102
198 2/26/2025 2/28/2025 3/10/2025 9 1004827631701
199 2/27/2025 2/28/2025 3/10/2025 9 1049236430101
200 2/27/2025 2/28/2025 3/10/2025 9 1049236430101
201 2/27/2025 2/28/2025 3/10/2025 9 1049236430101
202 2/27/2025 2/28/2025 3/10/2025 9 1049236430101
203 2/27/2025 2/28/2025 3/10/2025 9 1057052230101
204 2/27/2025 2/28/2025 3/10/2025 9 0734485031701
205 2/27/2025 2/28/2025 3/10/2025 9 1029040835102
206 2/27/2025 2/28/2025 3/10/2025 9 0060460430102
207 2/27/2025 2/28/2025 3/10/2025 9 0854471430101
208 1/27/2025 2/28/2025 3/10/2025 9 0767252031701
209 2/27/2025 2/28/2025 3/10/2025 9 1045336130101
210 2/26/2025 2/28/2025 3/10/2025 9 0940301130101
211 2/28/2025 2/28/2025 3/10/2025 9 1004518930101

C. POS

No. Date of
Transaction Date Dispute Updated Due date Account
1 2/13/2025 02/15/25 03/10/25 23 `0899934031701
2 2/17/2025 02/17/25 03/10/25 21 `0043843131702
3 1/5/2025 01/20/25 03/10/25 49 `0789481330101
D. TELE BIRR

No. Date of
Transaction Date Dispute Updated Due date Account
1 12/19/2024 12/20/24 03/10/25 79 ` 0952971630101
2 12/20/2024 12/23/24 03/10/25 77 `089976130103
3 1/20/2025 01/20/25 03/10/25 48 0902176930101
4 1/23/2025 01/23/25 03/10/25 45 0979365530101
5 2/3/2025 02/03/25 03/10/25 34 `01050360435101
6 2/10/2025 02/10/25 03/10/25 27 `1050360435101
7 2/17/2025 02/17/25 03/10/25 20 `0847304130101
8 2/28/2025 2/28/2025 3/7/2025 10 0847653630101
9 3/1/2025 3/3/2025 3/11/2025 8 0783977430101
10 2/17/2025 3/6/2025 3/11/2025 5 1068888330101

E. Top Up

Date Dispute Wegagen


No. Transaction Date Up to Date Due Date
Registered Full Account No.

1 1/24/2025 01/25/25 03/10/25 44 `0816167830102


2 1/25/2025 01/25/25 03/10/25 43 `0837904621602
3 1/27/2025 01/29/25 03/10/25 39 0060776430103
4 2/3/2025 02/04/25 03/10/25 33 `01018155330101
5 1/31/2025 02/05/25 03/10/25 32 `0821951230101
6 2/10/2025 02/10/25 03/10/25 28 `0951289330101

7 2/9/2025 02/10/25 03/10/25 27 0822133030101


8 2/10/2025 02/10/25 03/10/25 27 0821951230101
9 2/18/2025 2/18/2025 3/8/2025 17 1008884630101
10 2/19/2025 2/19/2025 3/8/2025 16 1066853631701
11 12/2/2024 2/22/2025 3/8/2025 14 0840220321801
12 2/24/2025 2/24/2025 3/8/2025 12 0881159830101
13 2/24/2025 2/24/2025 3/8/2025 11 0749152430101
14 2/25/2025 2/25/2025 3/8/2025 11 0774983330101
15 2/26/2025 2/26/2025 3/8/2025 10 0952282630101
16 2/26/2025 2/26/2025 3/8/2025 10 0844299235101
17 2/26/2025 2/26/2025 3/8/2025 10 1034829030101
18 2/26/2025 2/26/2025 3/8/2025 10 0093306430101
19 2/26/2025 2/26/2025 3/8/2025 10 0984255430101
20 2/26/2025 2/26/2025 3/8/2025 9 0989354530101
21 2/26/2025 2/26/2025 3/8/2025 9 1028852330101
22 2/26/2025 2/26/2025 3/8/2025 9 0755690530101
23 2/26/2025 2/26/2025 3/8/2025 9 1047335430101
24 2/26/2025 2/26/2025 3/8/2025 9 0984255430101
25 2/27/2025 2/27/2025 3/8/2025 8 0077262931701
26 2/27/2025 2/27/2025 3/8/2025 8 0787892030102
27 2/27/2025 2/28/2025 3/8/2025 8 0840543131701
28 2/27/2025 2/28/2025 3/8/2025 7 1040611130101
29 2/25/2025 2/28/2025 3/8/2025 7 0906239430101
30 2/24/2025 3/1/2025 3/8/2025 7 0925460630101
31 2/26/2025 3/1/2025 3/8/2025 6 0076444335101
32 3/2/2025 3/2/2025 3/8/2025 6 1024800431701
33 3/3/2025 3/3/2025 3/11/2025 8 0060776430103
34 3/4/2025 3/4/2025 3/11/2025 7 0834578230101
35 2/26/2025 3/5/2025 3/11/2025 6 0818196031701
36 3/7/2025 3/7/2025 3/11/2025 4 0744968630101
37 3/7/2025 3/7/2025 3/11/2025 4 0920328231701
38 3/8/2025 3/8/2025 3/11/2025 3 0852207130101
39 3/8/2025 3/8/2025 3/11/2025 3 0996583931701
40 3/8/2025 3/8/2025 3/11/2025 3 0944685230101

F. WEGAGEN BANK E-BIRR

No. Date of
Transaction Date Dispute Updated Due date Account
1 1/8/2025 01/09/25 03/10/25 59 `094720230103
2 2/10/2025 02/10/25 03/10/25 27 1033158830101
3 2/27/2025 2/27/2025 3/7/2025 7 1070886035101
Digital Banking from December 01, 2024 to March 08, 2025

Name Amount Telephone

SIMRET GEBRESILASSIE GEBRU 50 Mobile banking

EFREM ESAYAS BARATO 3,000


BINIYAM TEKLEGIORGIS WELDU 15,000 Mobile banking
TESFAYE TAFESSE 3000 Mobile banking
TEMISALET MESELE KORU 1500 Mobile banking
MUSA DARARO 500 Mobile banking
MESAY ZELEKE TADESSE 10,500 Mobile banking
EYOB BOGALE GEBREWOLD 1,700 Mobile banking
TESFU K/MARIAM G/MESKEL 3,500 Mobile banking
BUOMKUOTH GATBEL PUK 200 and 10 Mobile banking
AWASH AMARE GEBREMICHAEL 5,469.29 Mobile banking
YACOB MELESE 5000 Mobile banking
MEKDES ASRATE 2950 Mobile banking
HABTAMU HAILE TANTEBO 300 Mobile banking
SANI JEMAL HUSSEIN 700.00 Mobile banking
SAMSON TEWLDE BERHAN 600 Mobile banking
GIRMA ATINAW TSEHAY 20000 Mobile banking
DESALEGN TSIGAB GEBRESILASIE 8,000 +251925433509
GEZAE TEKULU WELEMARIAM 150 +251942067972
bantegize ayenew (200) 251904495134
KIDIST BZUNEH KEBEBU 3,000 (2) +251925317405
MULUGETA YOHANNES 20,000 +251905188282
NYAMIRI TUT RUEY 1000 251926420724
GENET ZELZLEM BANJAW 1000 251934893435
KALAYU TESFAY GEBREKIDAN & TUEMAY DESTA GEBRU 10,000 +251964606021
ZENEBECH HIBISO ABIYO 4,500 251937729448
MESKEL KIDU GEREZIHER 10000 251912486318
EYOB TEWELDEBRHAN LEGESSE 600 +251919411123
RIGBE GEBREKIDAN WELDEGEBRIEL 3,000 251911277800
ABEL GIRMAY TELLA 3,000 +251914008741
MESERET MATYOS FANTAYE 2,300 +251914049499
HENOK SEYOUM MENGESHA 15,000 +251912056950
AREGAWI WELEGEBRIEAL GEBREKIRSTOS 50,000 251919021731
DURETI KILTA 4000 251903227555
JEMIL EBRAHIM JEMAL 25000 251931221879
TSEGAYE W/AREGAY SIRBAMO 40,000.00 +251911162125
TEFERA NEGA BEDASO 4000 251924594982
EYAKEM MINILIK TEKLEBIRHAN 150 +251937502854
GIRMA DESENO 5,500 251913681434
MENGISTU KAHSAY KIDANU 400 +251906026204
GEBREMEDHIN AREGAWI 20,000 * 2 251914040760
DEJEN KIROS GEBREMESKEL 16,000 +251980460609
DESTA HAILE G/WELD 850 251114711854
MENGISTU KAHSAY KIDANU 400 251114711854
TADESE WELDEGIYORGIS 35,000 251911490560
HAFIZA AHMED ALIYU 1000 251914452945
HAFIZA AHMED ALIYU 1000 +251914452945
DESTA HAILE G/WELD 850 2511114711854
GEBEYEW WUBALE BEWULU 2000 0913329992
TESFAY BIRHANU HIBUE 3000 +251914934293
KIBROM ALENE TAREKE 1,550 birr +251914178516
YOSEPH FANITAHUN AGEGNEHU 5,500 +251934400040
YIBRALM WELAY GEZAHAGN 1000 251912806567
ZENEBECH HIBISO ABIYO 4,500 +251924748808
MULUGETA YOHANNES 20,000 251905188282
AKLILU ADMASU GAWESERASHA 300 251918956003
SARON AMANUEL ZENEBE r & 400 birr March 05,2025 +251945988952
SOLOMON HAGOS GIDEY 1,000 birr +251941827910
DESALEGN TSIGAB 8000 251925433509
ATAKLTY TESFAY MEHARI 12100 251344413689
TADESE GASHAW NIGATIE 600 251916263408
TADESE GASHAW NIGATIE 400 251916263408
ABEL GIRMAY TELLA (3000) 251914008741
GEBREZGABIHER TSEGAY MINCHIL 15,000 0924645858
MEKONENYOHANES G/SILASSIE (21,000) 251951128606
HIBIST TESFAYE MELAKU 7,500 +251975094197
HAYMANOT TEWELE GEBREWAHID 300 birr 251940582738
TEMESGEN YAYNU MESFIN 1,600 birr +251939054834
TESFAHUN ALTAYE ATILE 1400 251923990903
BAHIR JEMAL ABADURA 500 +251909188241
LIMAT MILKIYAS KOMU 3,220 251925856057
ALAY TESFAY EQUBAY 2,000 birr +251962283411
DANIEL GIDEY BIRHANE 24000 +251937035195
WERKNESH NIGUS 2001 251976905912
WONDU WARIYO ARMANA 6000 +251901574860
GEBREMICHAEL TEKILAY 9000 251914258139
SEMIRU HASSEN SHIFFA 0.00, 24,999.00 and 200.00 +251947360246
YIMAM MOHAMED ALI 3,100 0731651735101
TESHOME GETACHEW TESHAGER 1,000 251939118552
Name Amount ATM use
EMEBEAT TESFAY HAILU 1000 Wegegan
WOLDEGERIMA EYASU 500 Wegegan
2000 From CBE & 500 and
ZERTHUN LULU ZERIHUN 400 Awash CBE and Awash
ALEMTSEHAY ASNAKE GEDA 4000 Oromia coop

HEBRAWIT HINTSA T/GIORGIS 300 Nib


YIRGASHEWA TSIGE TESEMA 1000 Awash
SETITUWAL ASSEFA MEKUANINT 200 CBE
MESERET AYEHU BIHONEGN 1000*2 Awash
ZERTHUN LULU ZERIHUN 600 *2 Oromiya
ABRAHA ATSIBEHA GEBRE 2000 and 500 Wegagen
HAILEZGI HAGOS 200 Wegagen
GEBREMICIEL HAILU GEBREMICIEL 500 birr
HAWERIA BAYMOT KIDANEMARIAM 200 other
AYENEW DILELECHA BIRATU 5,500.00 Abisiniya
TADELE ARBISIE MESELE 1000 CBE
TIGGABU G/HER 2,000
KIBRAAB G/HIWET ASFHA 1000*2 Oromiya
ABEL GUESH TSHAYE 4000 Wegagen
HEWAN FESSEHA G/MICHAEL 5,000 Awash
MULUBRHAN G/EYESUS WEREDE 1000 & 200 Oromiya & Wegagen
SHIFERA DEGU MIDEKSA 3200 other machine
TSIGABU G/HER KAHSAY 2000 CBE
DR ASFAW DEBELO GERBA 300 COOP
ABDELWASIE KEMAL ESA 4000 Wegagen
KAHSAY HAGOS YIHDEGO 500 Br. CBE
FIREWOYNI MULUGETA 5000 GEDA
MIDAKSO JADO DODOTA 500*500 Hibret
BIRUK WONDIMU ASSEFA 5000 Other
HAYMANOT ABABU TEKA 1400 Wegagen
SEMIRA TSEGAY BERHE 400 Awash
KIDIST NEGASH FITIHAWOK 2000*2000 NIB
ALEMTSEHAY ASNAKE GEDA 4000 Awash
HABTAMU HAILE TANTEBO 300 CBE
SANI JEMAL HUSSEIN 700.00 CBE
TUT KOANG BUM 500 ABYSSINA
ALEMU G/MARIAM ARAYA 1,000 birr WB
HAGOS BERHE TENSAY 2000 Awash
HAGOS BERHE TENSAY (2000) AWASH
LEMI GURMU FANA 300 (2) OTHERS
GEZU ZELALEM MENGISTU 200*2 Other
SAMSON TEWLDE BERHAN 600 CBE
SAMUEL ITEFA FIRISA 3000 CBE
GIRMA ATINAW TSEHAY 20000 ABAY
Genat Bedassa 50 WB
ABRHAM ASFAW BELELO 2000 CBE
KIDIST GETACHEW DEBAY 4,000 Oromiya
ALEMTSEHEY DESSIE SIRAJ 1000 two times Awash
WERKU ABEBE YIMAM 2000 CBE
GOYITOM ASAYE WOLDEMICHAEL 1000 CBE
DESALEGN TSIGAB GEBRESILASIE 8,000 CBE
ABEBAYITU ASSEFA FELEKE 100 &500 Oromiya
BANTEGIZE AYENEW 200 CBE
MESSAY GIRMA BEKELE 3000 CBE
KIDIST BZUNEH KEBEBU 3,000 (2) AWASH
YIBRAH GEBREMESKEL BIRHANE 200,25 =225 CBE
WENDIMU DANDI WAKAYA 300 WB
MENGISTU TADESSE KEBEDE 800 Oromiya
SEMIRA TSEGAY 400 Awash
TIEZAZU GEBRU 2500 Abyssinia
MULUGETA YOHANNES 20,000 birr CBE
TEMESGEN YAYNU MESFIN 1600 CBE
BINIYAM REGASSA SEID 500 OROMIA
Aregawi Welday 200 WB
ZEHARA MUKTAR YIMAM 4000 Abyssinia
ASHENAFI ALEMU TADESSE 2000 CBE
LICHI FITWI TSEHAYE 1,000 Coprative
DANAIT DANIEL HAILESLASSIE 200*2 WB
MEDHIN MULU ASGEDE 500 CBE
YEMANE GEBREMICHAEL 1000 CBE
TEKLAY GEBREANENIYA LEMA 4,000 CBE
SELAMAWIT WAKE TEKLE 4,000 CBE
DANAYIT ALEM GEBREHIWOT 800 CBE
TESFALEM TSEGAYE GONCHE 2000 CBE
MIRUTSI HILUF GEBRIHANS 500 ------
KISANET GEBREHIWOT HAILE 250 CBE
HAWELTI ABREHALEY WELETENSAY 5000 Abyssinia
DIRSHAYE TESEMA DENBEL 1000 and 1000 Abyssinia
HILUF BERHE 3000 ------
SHALO SHUMI MOJO 1,000 Oromiya
ANWAR AHMED SEID 600 Abyssinia
NATINEAEL GELAGAY EMBIALE 400&500 Awash
KIROS DESTA GEBERU 500 Awash
YITBAREK MEBRATU ABRHA 1000*2 CBE
TUMISO GURACHA RIGO 2,000 Abyssinia
TADESE GASHAW NIGATIE 400 CBE
BETELIHEM WOLDIE FARIES 3,000 Abyssinia
NARDOS BIRHANE 2,500 Coprative
SAMRAWIT FISIHAYE ZEWGE 1000 WB
DEMIS HABTAMU TEMITME 1,000 Abyssinia
GEBREMEDHIN MELES TEKLE 2000 WB
FREWEYNI TESFAY 2000 & 1000 CBE
GASHAW YIMER YOSEF 2000 Abyssinia
SIMON TESFAY ABADI 2000 Abyssinia
ANGESOM TASEW 200 CBE
ABYSSINIA WELDU BISRAT 4,000 birr CBE
BERIHANE SEYOUM G/HER 1000 CBE
MULUBRHAN GEBREYESUS WEREDE 1,000 birr Oromiya
TSIGE ASSEFA DESTA 500 CBE
ABAY HAGOS ABRHA 1,500 birr CBE
ALEMAYEHU PAWULOS BUNAKA 500 CBE
KISANET ALEM T/BIRHAN 1,800 birr WB
MERON ABERA ABEBE 4000 CBE
ALEMU SISAY BOGALE 4500 Awash
MULISA REBUMA KAMALO 400 Awash
ALEMAYEHU WEYESSA AMENA 2000 CBE
ARAYA GETACHEW BEKELE 500 CBE
WORKU MEHAMMEDNUR TUHA 1000 CBE
MUNA MUHDIN KEDIR 2000 Abyssinia
YOSEPH BRHANU TESFAYE 3400 Abyssinia
BRTAWIT GIRMAY 1000 Oromiya
NAHUSENAY GETENT WERKU (4000) Buna
MERHAWIT G/KIRSTOS G/EZGI 2000 Buna
YIMEGNUSHAL TADESSE HAILE 2000 Abyssinia
HAGOS HAILU WELDU 300 Buna
JAMA ALI KAREYE 5,000 Awash
AaRON KELEM GEBRESILASIE 500*2 Abyssinia
ELIAS ALIYE OUSMAN 700 Abyssinia
ADISALEM MISGAN DERESE 5000 CBE
ATNATIYOS MASRESHA GOSA 3000 CBE
SEIFU TEKLU WUBSHET 500 Coprative
AREGAWI G/YESUS G/MESKEL 500 Oromiya
MENNA ASEFFA TADESSE 2000 Abyssinia
DEGU BOGALE BORODA 4000 WB
RAHEAL GEBREMEDHIN NUGUS 1000 Abyssinia
TARIK MESFIN MERSHA 100 WB
MAHLET GEBREMESKEL LEMMA 4,000 CBE
KAHSAY GEBREZIGIHER BIRU 1000 Oromiya
MICHEALE GOITOM GEBREMARIAM 200 WB
FIYORI GEBREMEDHIN WELU 1000 Abyssinia
DILU GASHAW TEKALEGN 400 Abyssinia
IBRAHIM GEMEDA TUFA 2000
DAWIT TSEGAY 1000 CBE
BIRANU EJETA TIMKETA 4000 Coprative
ABATE ASEFA YIMAR 2000 Abyssinia
ABREHAM SETRAG TOSUNIAN 500 Abyssinia
FANA TSEGAY HAGOS 100 ------
DANIEL GIZACHEW 2000 CBE
NEGASI AREGAWI 4000 CBE
TEKESTE WELDEBIRHAN 1900 Awash
NIGISTI AREGAY KIDANE 1000 Oromiya
BELAY SHIFERAW GEBREMARIAM 600 CBE
NARDOS ERMIAS BEGASHAW 500 Abyssinia
GIRMAW AMSALU YESHANEH 200 CBE
ADAMU AMENU ATOMSA 500 Sinke
TSADIK NEGASH LIBOLO 5,000 CBE
ALMAZ GETACHEW IDAO 2,000 Berhan
SEMEREDIN REDWAN BEDERU(WITH 500 CBE
MELESE BAHIRU TEKA 500 CBE
AKBERET FANTAYE GEBREMEDHIN 500 WB
NIGUSE ALEMU NIGUSE 2000 CBE
FIREWOINI G/AREGAWI TIKUE 2,000 Awash
MIHRET GEREMEW ABERA 2,000 CBE
MILLION ABREHA TSEGAY 3000 CBE
EYOB KINFE GIRMAY 500 WB
ATIKLTI TESHALE TEKA 500 WB
EBRAHIM DELIL HELIL 4000 Oromiya
YONAS ABREHAM GIZACHEW 4000 Abyssinia
SINTAYEHU BELETE RETA 2000 CBE
ABENEZER MARKOS MARU 200
BELACHEW GEFARGE MENGESHA 500 CBE
KIROS DESTA GEBERU 200 CBE
ABEBA AMISALU TIRUNEH 1000
MAHELET ZEMEDKUN TADESSE 500 CBE
MULU MEZGEBE NIREA 4000 CBE
SISAY ABEBE KOYRA 1000 CBE
ABIYU TESFAYE TADESE 400 CBE
PAWLOS MATHEWOS KOYRA 3000 CBE
MEKBIB ASSEFA WEGI 1000 Abyssinia
MEKBIB ASSEFA WEGI 500 Abyssinia
MIHRETIE ALEMNEW MELESE 500 Abyssinia
ADDISALEM NERI NEGA 200 CBE
BETELHEM KIDANE MEHARI 200 CBE
AWEKE MOGES LEGESE 900 Oromiya
ABADI GEBRESILASSE KAHSAY 4000 CBE
YIRGAW MESFIN TEKA 2000&3000 CBE
HENOK TSEGAYE DAGNAW 2000 CBE
TESFAY BIRHANU 500 CBE
GENET ARGAW GEBREMARIAM 500 CBE
ALYANS ASHENAFI MOLA 200 CBE
ATAKLTI GEBRETINSIA 3000 Oromiya
SIMON AMINE GIDEY 1000 WB
MIHERET MULAT ALEMU 500 Abyssinia
YOSEF ABADI 1000 CBE
GEBRE DESALEGN LEMUYE 1000 Nib
KIDANE KASSA WERES 100 birr WB
GEBRE DESALEGN LEMUYE 200 CBE
SHSHAY FSHA 100 & 100 CBE
GETACHEW HAILU GEBRE 3000 CBE
WORKU HAILU GEBREMARIAM 1000 CBE
SAMUEL DEGSEW WAKO 2000 CBE
AMBESAW WELAY GEBREKIRSTOS 100 CBE
BIRHANU TESFAY TSEGAY 1000 &500 CBE
DAWIT NEGA ABERHA 200 CBE
SHIMELES ASEFA WOLEDSENBET 1000 and 1000 CBE
SAMUEL ANBESU FELEKE 500 and 200 CBE
HAFTOM G/HAWARIA G/MEDHIN 4000 Buna
ARON GAYIM ASSEFA 1000 CBE
HILINA TILAHUN JIMANEH 1000 Hibret
GASHAWE AYENEWE YEMENU 2000 Abyssinia
GASHAWE AYENEWE YEMENU 100 Berhan
GASHAWE AYENEWE YEMENU 200 Awash
GASHAWE AYENEWE YEMENU 500 CBE
SIYUM MULUALEM GEZAHEGN 200 CBE
TSINAT HAILU GEBREMICHEAL 1000 Abyssinia
ABDELA MUSTEFA 3000 CBE
ASSEFA ASHAGRE ABATE 200 CBE
DAWIT AYANO GEMEDA 2000 CBE
FANTAYE MULUGETA SITOTAW 300 Awash
TSION ABERA MOKENEN 2000 Awash
ASRAT ABEBE ABEGAZ 2000 Abyssinia
AMDOM TESFAY ABAY 2000 Abyssinia

Name Amount Status


AZEB ABREHA T/HAIMANOT 2,962.00 pending
NETSANET ABEBE BEYENE 430*2 pending
ATAKLTI SOLOMON 1,499.50 Pending
Name Amount Status
GIRMAY GBREGIZABHER WELDU 100 + 100 + 100 = 300 Pending
MELAKU ABRAHA GEBREGERGIS 5000 Pending
TARIKU W/YOHANNES WONDIMU 290 PENDING
NAHUSENAY GEBRU TEKLAY 1450 PENDING
JEMAL MOHAMMED IBRAHIM 250 pending
HAGOS BIRHANE TAYE 50 & 22 pending
GEZAE TEKULU WELEMARIAM 150 pending
ASHENAFI MOLLA HABTEYES 1,000 PENDING
LIRU SANKURO BONSAMO 2,000 pending
ABDISHA JIHAD JEMAL 200 pending

Name Amount Customer Mobile No

MESERET DESALE GEBRETSADIK 100,100 =200 `251962530039


DESALEGN EYOB MEKISO 6,500 `0926542263
TAHGAS G/GZIABHER MEZGEBO 50 `251914092246
SHIMENDI NEGA WORKNEH 20 birr `251948454323
HAFTOM TSEGAY ASEFAW 22 `251985982821
MILKIAS BELETE BALIDADO 50 `251921092997
02/ 3/ (20) &02/ 9/25
SHIMENDI NEGA WORKNEH birr 5 `251948454323
GEBREMEDHIN GEBREYOHANS 60 `251938159757
YIBRAH GEBREMESKEL BIRHANE 200,25 total=225 bir 251929486620
ROZINA ALEMNIGUS HAWAZ 150 251939649218
GIRMAY SIMACHEW LEWTU 23 +251918508123
MAHARI LEGASSE LAMBEBO 100 +251948075022
ESHETU JEMANE BERI 2000 251913232974
KEDIR ADEM HUSEN 200 and 150 251908299480
MEARIG T/MEDHIN W/GEBRIEL 100*2 +251939223562
HASSEN BEYAN SIED + 200 + 300 + 200 = 900 Br. +251921886952
ARGACHEW AYAYTO LIWATA 15 251910576155
GETACHEW HAILU GEBRE 100 +251914006693
MULUGETA KIROS DESTA 33,3 total=36 birr 251991172132
KIBROM BIRHANU KIDANU 100 +251922946329
HAFTOM GEBREMARIAM FISEHA 25,25 total=50 birr 251953182028
TESFAKIROS G/CHERKOS G/HIWOT 15 birr 251937010694
MEARG ABRAHA KAHSAY 68 +251978247450
MULUGETA KIROS 37 251991172132
SELAM ALEM GEBREMEDHIN 180,5,5 total 190 birr 251972169823
HAILEKIROS GIDEY ABREHA 50 251914752159
MERHAWIT GEBRETINSAE 20 251991235701
HAFTOM BIRHANE HAILE 4826 birr 251992244213
TEMESGEN KASSU BALI 30*2 251955322972
CHANKOT DAK GACH 35,10&35 251900260982
BILAL SALIH 25 * 3 251986516864
LETEMARIAM LEMA ABEBE 80 251979536455
TAHGAS GEBREEGZIABHER MEZGEBO 50 birr 251914092246
TEZAZ EREDAW H/GIORGIS 25 251986611138
DESALECH TEMESGEN LEIMENGO 50 251916136494
GIDEY ZERABRUK YHDEGO 130 birr +251926698940
LIDYA YAEBYO HAGOSA 70 birr +251976035554
DESALEGN AREGA JIJSO 30 251934847952
MEAZU TESFAY TADESSE 50 birr 251956180949
TEAME MEHARI TSEGABIRHAN 25 251914035330

Name Amount Category


TEKLEBREHAN BEKELE DOGISO 100(2) Wegagen E-BIRR
BEREKET TESFAYE WAMI 20 Wegagen E-BIRR
ATO AWALE ABDI MUSE 3,000 Wegagen E-BIRR/outgo
Type of transaction Status

Pending Pending

Outgoing Pending
Outgoing Pending
Outgoing Pending
Outgoing Pending
outgoing Pending
Outgoing Pending
Outgoing Pending
Outgoing Pending
Outgoing Pending
Outgoing Pending
Outgoing Pending
Outgoing Pending
outgoing Pending
out going Pending
Outgoing Pending
Incoming Pending
Outgoing Pending
Outgoing/ Telebirr Pending
Incoming Pending
Outgoing Pending
Incoming Pending
Incoming Pending
Outgoing Pending
Incoming Pending
Incoming Pending
Incoming Acc info error
Incoming Pending
Incoming Pending
Outgoing Pending
Outgoing Pending
Incoming Pending
Outgoing
Incoming Pending
Incoming Pending
Incoming Pending
Incoming Pending
Incoming Pending
Incoming Pending
Incoming Pending
Incoming Pending
Incoming pending
Incoming Pending
Incoming Pending
Incoming Pending
Incoming Pending
Incoming Pending
Outgoing Pending
Outgoing Pending
Incoming Pending
Outgoing Pending
Incoming Pending
Incoming Pending
Incoming Pending
Incoming Pending
Outgoing Pending
Outgoing Pending
Outgoing Pending
Outgoing Pending
Outgoing Pending
Outgoing Pending
Outgoing Pending
Outgoing Pending
Outgoing Pending
Outgoing Pending
Incoming Pending
Incoming Pending
Outgoing Pending
Incoming Pending
Incoming Pending
Outgoing Pending
Outgoing Pending
Outgoing Pending
Incoming Pending
Incoming Pending
Incoming Pending
Incoming Pending
Incoming Pending
Incoming Pending
Status
Pending
Pending
Pending on
system related
Pending

Pending
Pending
Pending
Pending
Pending
Pending
Pending
Pending
Pending
Pending
Pending
Pending
Pending
Pending
Pending
Pending
Pending
Pending
Pending
Pending
Pending
Pending
Pending
pending
Pending
Pending
pending
pending
pending
pending
pending
pending
Pending
pending
pending
pending
pending
pending
pending
pending
Pending
pending
pending
pending
pending
pending
pending
pending
pending
pending
pending
pending
pending
pending
pending
pending
pending
pending
pending
pending
pending
pending
pending
pending
pending
pending
pending
pending
pending
pending
pending
pending
pending
pending
pending
pending
pending
pending
pending
pending
pending
pending
pending
pending
pending
pending
pending
pending
pending
pending
pending
pending
pending
pending
pending
pending
pending
pending
pending
pending
pending
pending
pending
pending
pending
pending
pending
pending
pending
pending
pending
pending
pending
pending
pending
pending
pending
pending
pending
pending
pending
pending
pending
pending
pending
pending
pending
pending
pending
pending
pending
pending
pending
pending
pending
pending
pending
pending
pending
pending
pending
pending
pending
pending
pending
pending
pending
pending
pending
pending
pending
pending
pending
pending
pending
pending
pending
pending
pending
pending
pending
pending
pending
pending
pending
pending
pending
pending
pending
pending
pending
pending
pending
pending
pending
pending
pending
pending
pending
pending
pending
pending
pending
pending
pending
pending
pending
pending
pending
pending
pending
pending
pending
pending
pending
pending
pending
pending
pending
pending
pending
pending
pending
pending
pending
pending
pending
Status

Pending
Pending
Pending
Pending
Pending
Pending

Pending
Pending
Pending
Pending
Pending
Pending
Pending
Pending
Pending
Pending
Pending
Pending
Pending
Pending
Pending
Pending
Pending
Pending
Pending
Pending
Pending
Pending
Pending
Pending
Pending
Pending
PENDING
PENDING
PENDING
PENDING
PENDING
PENDING
PENDING
PENDING

Status
Pending
Pending
Pending

You might also like