KEMBAR78
Selfstudys Com File | PDF | Computer Network | Local Area Network
0% found this document useful (0 votes)
20 views2 pages

Selfstudys Com File

The document covers basic network concepts, including types of networks such as PAN, LAN, WAN, and MAN, as well as key networking terms like TCP/IP and NIC. It also discusses differences between 3G and 4G technologies, transmission media, and switching techniques. The answers provided clarify definitions and characteristics of various networking components and technologies.
Copyright
© © All Rights Reserved
We take content rights seriously. If you suspect this is your content, claim it here.
Available Formats
Download as PDF, TXT or read online on Scribd
0% found this document useful (0 votes)
20 views2 pages

Selfstudys Com File

The document covers basic network concepts, including types of networks such as PAN, LAN, WAN, and MAN, as well as key networking terms like TCP/IP and NIC. It also discusses differences between 3G and 4G technologies, transmission media, and switching techniques. The answers provided clarify definitions and characteristics of various networking components and technologies.
Copyright
© © All Rights Reserved
We take content rights seriously. If you suspect this is your content, claim it here.
Available Formats
Download as PDF, TXT or read online on Scribd
You are on page 1/ 2

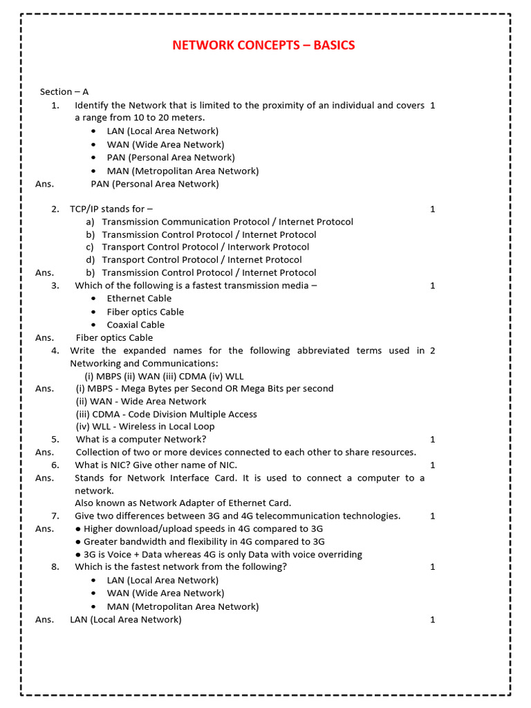
NETWORK CONCEPTS – BASICS

Section – A
1. Identify the Network that is limited to the proximity of an individual and covers 1
a range from 10 to 20 meters.
• LAN (Local Area Network)
• WAN (Wide Area Network)
• PAN (Personal Area Network)
• MAN (Metropolitan Area Network)
Ans. PAN (Personal Area Network)

2. TCP/IP stands for – 1


a) Transmission Communication Protocol / Internet Protocol
b) Transmission Control Protocol / Internet Protocol
c) Transport Control Protocol / Interwork Protocol
d) Transport Control Protocol / Internet Protocol
Ans. b) Transmission Control Protocol / Internet Protocol
3. Which of the following is a fastest transmission media – 1
• Ethernet Cable
• Fiber optics Cable
• Coaxial Cable
Ans. Fiber optics Cable
4. Write the expanded names for the following abbreviated terms used in 2
Networking and Communications:
(i) MBPS (ii) WAN (iii) CDMA (iv) WLL
Ans. (i) MBPS - Mega Bytes per Second OR Mega Bits per second
(ii) WAN - Wide Area Network
(iii) CDMA - Code Division Multiple Access
(iv) WLL - Wireless in Local Loop
5. What is a computer Network? 1
Ans. Collection of two or more devices connected to each other to share resources.
6. What is NIC? Give other name of NIC. 1
Ans. Stands for Network Interface Card. It is used to connect a computer to a
network.
Also known as Network Adapter of Ethernet Card.
7. Give two differences between 3G and 4G telecommunication technologies. 1
Ans. ● Higher download/upload speeds in 4G compared to 3G
● Greater bandwidth and flexibility in 4G compared to 3G
● 3G is Voice + Data whereas 4G is only Data with voice overriding
8. Which is the fastest network from the following? 1
• LAN (Local Area Network)
• WAN (Wide Area Network)
• MAN (Metropolitan Area Network)
Ans. LAN (Local Area Network) 1
9. The switching technique that splits a message into smaller pieces is known as 1
________________?

Ans. Packet Switching

10. The switching technique that establishes a dedicated path between sender and 1
receiver is known as _________________?
Ans. Circuit Switching

You might also like