KEMBAR78
Workshop Exercise Data (Week 8) | PDF | Errors And Residuals | Coefficient Of Determination
0% found this document useful (0 votes)
10 views18 pages

Workshop Exercise Data (Week 8)

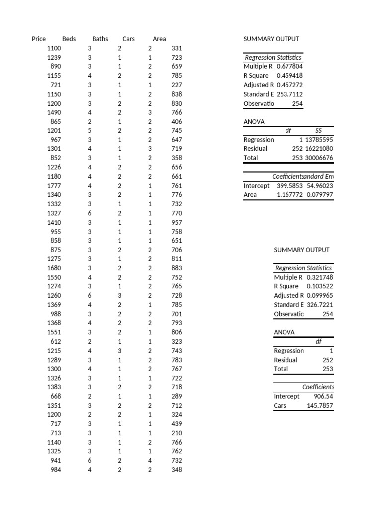
The document presents a dataset of real estate listings, including details such as price, number of bedrooms, bathrooms, cars, and area. It also includes regression statistics and coefficients for analyzing the relationship between these variables. Key metrics such as Multiple R, R Square, and Standard Error are provided to assess the model's performance.

Uploaded by

htru0029
Copyright
© © All Rights Reserved
We take content rights seriously. If you suspect this is your content, claim it here.
Available Formats
Download as XLSX, PDF, TXT or read online on Scribd
0% found this document useful (0 votes)
10 views18 pages

Workshop Exercise Data (Week 8)

The document presents a dataset of real estate listings, including details such as price, number of bedrooms, bathrooms, cars, and area. It also includes regression statistics and coefficients for analyzing the relationship between these variables. Key metrics such as Multiple R, R Square, and Standard Error are provided to assess the model's performance.

Uploaded by

htru0029
Copyright
© © All Rights Reserved
We take content rights seriously. If you suspect this is your content, claim it here.
Available Formats
Download as XLSX, PDF, TXT or read online on Scribd
You are on page 1/ 18

Price Beds Baths Cars Area SUMMARY OUTPUT

1100 3 2 2 331
1239 3 1 1 723 Regression Statistics
890 3 1 2 659 Multiple R 0.677804
1155 4 2 2 785 R Square 0.459418
721 3 1 1 227 Adjusted R 0.457272
1150 3 1 2 838 Standard E 253.7112
1200 3 2 2 830 Observatio 254
1490 4 2 3 766
865 2 1 2 406 ANOVA
1201 5 2 2 745 df SS
967 3 1 2 647 Regression 1 13785595
1301 4 1 3 719 Residual 252 16221080
852 3 1 2 358 Total 253 30006676
1226 4 2 2 656
1180 4 2 2 661 Coefficients
Standard Error
1777 4 2 1 761 Intercept 399.5853 54.96023
1340 3 2 1 776 Area 1.167772 0.079797
1332 3 1 1 732
1327 6 2 1 770
1410 3 1 1 957
955 3 1 1 758
858 3 1 1 651
875 3 2 2 706 SUMMARY OUTPUT
1275 3 1 2 811
1680 3 2 2 883 Regression Statistics
1550 4 2 2 752 Multiple R 0.321748
1274 3 1 2 765 R Square 0.103522
1260 6 3 2 728 Adjusted R 0.099965
1369 4 2 1 785 Standard E 326.7221
988 3 2 2 701 Observatio 254
1368 4 2 2 793
1551 3 2 1 806 ANOVA
612 2 1 1 323 df
1215 4 3 2 743 Regression 1
1289 3 1 2 783 Residual 252
1300 4 1 2 767 Total 253
1326 3 1 1 722
1383 3 2 2 718 Coefficients
668 2 1 1 289 Intercept 906.54
1351 3 2 2 712 Cars 145.7857
1200 2 2 1 324
717 3 1 1 439
713 3 1 1 210
1140 3 1 2 766
1325 3 1 1 762
941 6 2 4 732
984 4 2 2 348
570 2 1 1 192
1240 3 1 2 709
505 2 1 1 160
980 3 3 2 744
1120 5 2 2 690
1388 4 2 1 743
1065 3 1 2 747
550 2 1 1 165
950 4 2 1 640
678 3 1 1 310
1160 3 1 1 857
1025 3 1 2 729
670 3 1 2 367
780 3 2 2 273
572 2 1 1 152
1100 3 1 2 730
927 5 2 2 653
670 3 1 1 289
1576 3 1 2 888
1416 4 2 1 735
1400 3 2 1 752
1112 4 1 1 651
1406 4 2 2 671
1250 3 1 2 724
960 3 1 2 760
1438 4 3 2 674
1040 3 1 2 720
1680 3 1 2 729
1240 4 3 1 743
1450 4 2 2 761
1215 4 2 3 730
1580 4 2 2 728
1310 3 1 2 780
650 2 1 2 282
1200 4 2 2 670
1430 3 2 2 776
555 2 1 1 133
1250 3 2 2 730
860 4 2 2 588
1385 3 1 2 757
700 2 1 2 292
1120 3 1 1 725
1120 4 2 2 651
1095 3 1 1 688
1150 3 2 2 649
650 2 1 1 394
918 5 2 2 745
621 2 1 1 260
572 2 1 1 219
1035 3 2 1 723
1205 4 1 2 846
855 3 1 1 675
985 3 2 1 780
1100 3 1 2 730
993 4 1 2 657
1068 4 2 2 689
810 3 1 2 728
1850 4 2 2 677
971 3 1 2 729
1055 3 2 2 727
1030 2 1 1 722
800 3 2 2 254
1350 5 2 2 745
740 2 1 1 446
1580 2 2 1 743
1101 3 2 1 724
1103 4 2 2 781
758 2 1 2 363
1300 3 2 1 756
1260 3 2 2 670
1225 3 2 2 760
803 3 2 2 262
988 2 1 1 221
1100 4 2 2 731
1081 4 1 2 735
1300 6 3 6 787
781 3 2 1 239
905 5 2 1 672
1250 4 2 2 687
1330 3 2 3 774
1750 5 2 3 740
1227 4 3 2 680
1245 4 2 2 730
1100 3 2 1 650
963 4 3 2 643
995 4 3 2 725
1100 3 1 2 772
795 4 2 2 744
1352 4 2 2 765
1290 4 3 2 650
1100 3 1 2 745
1015 3 1 2 732
1502 5 2 1 740
958 4 2 1 861
1100 4 3 2 772
958 3 1 1 735
1450 4 2 2 815
785 3 1 1 385
1500 4 1 2 716
965 3 1 1 668
1100 3 1 1 731
740 3 1 2 351
1140 4 2 1 727
1308 3 1 1 800
721 3 2 2 312
1385 5 2 2 730
636 2 1 1 315
1350 4 2 2 650
902 3 2 1 663
1100 3 1 2 795
1328 3 2 2 722
1100 3 2 2 770
1280 4 2 1 783
1428 3 1 3 822
1285 3 2 1 680
645 2 1 1 345
1182 4 3 2 725
1150 3 1 2 665
3080 5 3 4 846
1450 4 3 2 847
1005 5 3 4 700
1622 4 2 2 751
860 4 1 2 647
1300 3 1 1 705
980 3 2 2 707
682 3 1 1 327
1688 4 3 2 708
1268 4 2 3 680
849 4 2 2 664
1376 5 3 3 816
1230 5 2 2 810
1288 4 2 2 782
1300 3 2 2 823
1020 3 1 1 648
1220 3 2 2 730
1500 4 2 2 726
1175 3 1 1 716
1525 3 2 2 760
1520 4 3 2 728
980 3 1 2 740
1350 5 3 2 731
1210 4 3 2 742
1000 3 1 1 688
1285 3 1 1 716
1056 4 2 2 849
1150 2 1 1 954
555 2 1 1 348
1400 5 2 2 773
750 2 1 1 235
1400 4 3 2 630
970 3 1 2 741
1405 4 2 2 965
1448 3 1 2 728
1200 3 1 1 725
3000 8 4 4 1467
680 2 1 1 160
1310 6 2 2 650
805 2 1 1 320
1391 4 2 2 675
902 3 2 2 327
1550 4 2 2 960
1500 4 3 2 649
1078 3 1 4 721
790 3 2 1 228
1446 5 2 2 1055
1555 4 3 2 1076
980 3 1 2 702
1350 4 2 2 727
1235 4 1 2 864
1275 4 2 4 1035
1050 3 1 2 717
1605 4 1 2 687
1085 3 2 2 724
1070 3 2 2 283
1325 4 2 2 695
1486 5 3 3 702
1190 5 2 3 681
1805 5 2 2 960
1060 3 2 2 724
995 3 1 1 691
1481 3 1 3 722
1310 3 2 2 440
980 3 2 2 299
1355 3 1 1 831
1240 4 2 1 648
890 3 1 2 292
1028 4 1 2 725
931 3 1 2 658
1265 3 2 2 791
1460 5 3 2 733
1160 4 2 1 780
1210 3 2 2 312
1301 4 3 3 766
1790 3 1 1 872
2550 5 3 2 766
1320 4 3 2 730
1780 5 3 2 848
1175 6 2 2 652
1325 5 3 4 812
740 2 1 1 196
1350 6 3 2 660
2200 5 5 2 722
1495 3 1 1 733
1472 4 2 2 750
937 4 1 6 700
1110 4 2 1 724
730 3 1 1 350
SUMMARY OUTPUT

Regression Statistics
Multiple R
R Square
Adjusted R
Standard E
Observatio

ANOVA
MS F Significance F
13785595 214.1639 1.616E-35 Regression
64369.37 Residual
Total

t Stat P-value Lower 95%Upper 95%Lower 95.0%


Upper 95.0% Coefficients
7.270445 4.502E-12 291.3454 507.8252 291.3454 507.8252 Intercept
14.63434 1.616E-35 1.010618 1.324925 1.010618 1.324925 Baths

SUMMARY OUTPUT

Regression Statistics
Multiple R
R Square
Adjusted R
Standard E
Observatio

ANOVA

SS MS F Significance F Regression
3106353 3106353 29.10006 1.583E-07 Residual
26900322 106747.3 Total
30006676
Coefficients
Standard Error t Stat P-value Lower 95%Upper 95%Lower 95.0%
Upper 95.0% Intercept
52.86695 17.14758 3.311E-44 802.4226 1010.657 802.4226 1010.657 Beds
27.02514 5.394447 1.583E-07 92.56178 199.0096 92.56178 199.0096
SUMMARY OUTPUT

Regression Statistics
0.498285
0.248288
0.245305
299.1813
254

df SS MS F Significance F
1 7450299 7450299 83.2348 2.403E-17
252 22556376 89509.43
253 30006676

Coefficients
Standard Error t Stat P-value Lower 95%Upper 95%Lower 95.0%
Upper 95.0%
762.5739 48.38358 15.76101 2.054E-39 667.2862 857.8616 667.2862 857.8616
237.5568 26.03845 9.123311 2.403E-17 186.2761 288.8375 186.2761 288.8375

SUMMARY OUTPUT

Regression Statistics
0.546894
0.299093
0.296312
288.8942
254

df SS MS F Significance F
1 8974790 8974790 107.5342 3.252E-21
252 21031886 83459.86
253 30006676

Coefficients
Standard Error t Stat P-value Lower 95%Upper 95%Lower 95.0%
Upper 95.0%
475.7858 69.30142 6.865455 5.136E-11 339.302 612.2695 339.302 612.2695
198.6262 19.15416 10.36987 3.252E-21 160.9035 236.3488 160.9035 236.3488
Happiness Income Age Education
1 66 53 14 SUMMARY Education
8 104 70 17
2 78 54 17 Regression Statistics
4 73 33 15 Multiple R 0.515247
1 59 19 19 R Square 0.26548
4 81 58 13 Adjusted R 0.263015
1 59 25 9 Standard E 2.242032
2 85 45 17 Observatio 300
3 78 53 11
6 87 60 21 ANOVA
7 83 47 23 df
4 95 29 10 Regression 1
3 66 43 18 Residual 298
1 74 21 15 Total 299
3 58 45 15
6 110 63 18 Coefficients
6 99 58 17 Intercept -1.128193
3 91 61 14 Education 0.295276
2 88 45 11
6 118 58 26
4 76 26 16
6 90 33 15
8 124 59 18 SUMMARYAge
2 84 35 17
6 95 55 15 Regression Statistics
1 69 32 16 Multiple R 0.491186
6 110 45 23 R Square 0.241264
2 79 43 20 Adjusted R 0.238718
4 93 49 12 Standard E 2.27869
5 115 52 14 Observatio 300
4 112 36 26
2 90 45 10 ANOVA
6 119 69 17 df
2 74 50 15 Regression 1
2 77 59 18 Residual 298
5 100 44 22 Total 299
1 72 41 20
8 90 57 19 Coefficients
4 74 21 16 Intercept -0.456683
6 120 38 25 Age 0.09652
5 87 56 23
3 90 65 13
5 107 69 21
5 106 54 24
9 138 53 28
4 98 64 18
3 117 42 18
3 95 60 12
1 90 59 20
4 82 49 20
2 108 30 19
9 121 76 23
4 81 29 18
5 87 37 17
7 104 61 20
2 77 56 22
7 92 47 18
9 126 79 26
7 126 38 25
2 92 39 11
2 97 57 13
1 85 49 18
3 129 52 17
6 87 46 21
6 121 51 19
4 80 47 18
1 60 23 17
9 128 72 23
5 81 65 20
9 113 72 20
8 135 51 15
3 84 64 17
1 80 37 12
6 104 44 20
1 76 31 15
1 78 44 15
5 90 38 21
1 90 29 21
6 98 60 23
3 93 34 13
5 82 57 23
9 106 39 12
1 91 30 20
4 91 59 19
4 87 42 17
1 86 24 11
4 115 50 15
8 126 40 15
8 117 38 17
4 96 39 19
3 105 35 12
2 86 44 11
10 140 61 28
1 65 30 10
4 89 57 22
1 85 46 20
8 140 78 26
4 106 46 20
3 108 42 19
3 85 52 10
6 95 48 21
8 110 47 18
7 112 46 15
8 95 45 15
2 93 43 13
10 131 61 28
4 108 43 17
2 81 47 15
1 94 46 15
8 90 50 17
3 92 27 15
1 103 43 16
4 80 31 22
10 119 49 23
2 72 30 11
5 102 39 19
1 67 43 14
2 61 46 19
1 71 33 18
6 94 29 21
5 102 36 21
4 84 55 15
1 74 41 18
3 85 58 20
4 68 51 15
5 99 56 25
4 99 28 20
3 101 62 18
10 107 68 24
5 90 48 14
3 101 46 18
3 78 38 13
4 90 53 13
1 98 59 11
2 100 45 13
1 68 48 18
6 100 57 15
6 104 46 18
6 77 51 21
8 111 36 23
1 90 28 10
5 96 65 19
1 76 49 13
5 111 66 18
1 100 33 17
2 78 22 11
4 108 39 25
3 95 32 17
5 111 58 22
1 71 46 12
1 82 26 23
6 86 23 19
10 142 47 19
4 88 60 21
5 88 41 13
8 121 49 26
10 135 68 25
2 89 46 10
7 99 67 24
3 93 35 15
2 76 48 16
7 94 58 18
4 94 33 22
5 71 46 21
1 84 49 12
2 80 45 14
8 106 51 23
3 69 55 15
5 85 40 18
4 89 60 16
1 71 29 12
1 65 42 16
6 95 56 17
6 116 70 21
1 55 18 18
9 95 53 25
3 91 26 17
3 67 49 21
2 103 52 17
7 110 72 18
1 61 49 16
1 77 35 17
3 85 45 12
2 82 67 23
10 153 87 26
1 59 26 8
6 110 36 15
4 111 43 17
1 79 31 11
4 87 61 20
2 79 48 21
3 103 46 22
5 85 54 17
4 114 36 14
1 79 53 12
4 97 42 19
1 70 37 10
2 90 53 10
4 95 62 18
1 61 20 19
1 54 27 16
6 138 46 17
3 110 40 17
4 87 57 22
7 111 71 22
2 89 30 17
3 91 40 14
3 81 53 17
9 116 65 16
2 97 45 18
4 100 55 13
7 114 58 18
8 98 39 20
1 72 37 21
2 84 53 12
1 80 36 13
1 74 40 21
4 67 32 17
1 79 24 12
10 120 62 28
1 78 44 21
6 95 46 17
2 89 33 22
7 77 35 12
2 70 37 14
6 94 63 25
5 79 52 13
7 94 48 13
3 100 42 20
3 72 66 21
1 69 25 8
9 162 71 28
10 78 47 19
2 67 51 21
1 74 37 22
10 113 43 27
5 82 49 22
4 84 48 22
4 106 43 21
1 88 30 20
5 107 49 24
7 92 65 25
4 104 60 23
4 106 53 15
6 108 55 25
4 100 61 11
4 113 57 15
10 117 68 25
2 63 56 19
1 80 55 21
3 101 41 14
3 106 41 19
7 86 64 23
1 67 36 17
9 110 64 20
4 93 26 15
8 87 49 15
1 90 55 18
4 80 31 14
10 147 66 30
5 82 46 23
5 91 30 18
1 92 41 13
1 80 23 18
7 125 59 22
1 60 47 8
5 80 65 17
7 104 63 16
1 80 24 11
4 64 57 18
1 68 19 11
3 94 33 17
5 108 56 25
9 119 76 19
4 118 38 19
6 106 59 19
3 97 49 15
3 90 46 21
7 133 52 28
3 90 65 23
7 91 68 23
6 73 64 20
1 87 59 21
4 81 42 11
2 57 21 13
5 103 52 13
3 70 57 16
1 58 35 8
6 102 53 18
1 82 63 12
1 76 37 12
10 90 61 17
3 107 57 24
1 69 32 9
4 99 65 19
1 93 62 13
2 72 59 10
4 105 31 24
1 88 32 11
4 106 46 18
Education
SUMMARY

Regression Statistics
Multiple R
R Square
Adjusted R
Standard E
Observatio

SS MS F Significance F ANOVA
541.4118 541.4118 107.7071 9.618E-22
1497.958 5.026705 Regression
2039.37 Residual
Total
Standard Error t Stat P-value Lower 95%Upper 95%Lower 95.0%
Upper 95.0%
0.521065 -2.165168 0.031168 -2.153625 -0.10276 -2.153625 -0.10276
0.028452 10.3782 9.618E-22 0.239284 0.351267 0.239284 0.351267 Intercept
Income

SUMMARY OUTPUT

Regression Statistics
Multiple R
R Square
Adjusted R
Standard E
SS MS F Significance F Observatio
492.0261 492.0261 94.75837 1.266E-19
1547.344 5.192429 ANOVA
2039.37
Regression
Standard Error t Stat P-value Lower 95%Upper 95%Lower 95.0%
Upper 95.0% Residual
0.487227 -0.937311 0.349358 -1.415524 0.502158 -1.415524 0.502158 Total
0.009915 9.734391 1.266E-19 0.077007 0.116033 0.077007 0.116033

Intercept
Age
Income

Regression Statistics
0.67423768
0.45459645
0.45276624
1.93196325
300

df SS MS F Significance F
1 927.0904 927.0904 248.3844 4.026E-41
298 1112.28 3.732482
299 2039.37

CoefficientsStandard Error t Stat P-value Lower 95%Upper 95%Lower 95.0%


Upper 95.0%
-4.50019399 0.557595 -8.070722 1.734E-14 -5.597517 -3.402871 -5.597517 -3.402871
0.0929 0.005897 15.76022 4.026E-41 0.081337 0.104548 0.081337 0.104548

SUMMARY OUTPUT

Regression Statistics
0.43158292
0.18626382
0.18353316
17.1190763
300

df SS MS F Significance F
1 19990.41 19990.41 68.21206 4.846E-15
298 87332.71 293.0628
299 107323.1

CoefficientsStandard Error t Stat P-value Lower 95%Upper 95%Lower 95.0%


Upper 95.0%
63.5316451 3.66038 17.35657 4.045E-47 56.32818 70.73511 56.32818 70.73511
0.6152 0.074491 8.259059 4.846E-15 0.46863 0.76182 0.46863 0.76182
0.43158292
0.6742

You might also like