KEMBAR78
DBMS Unit-1&Unit-2 QB Answers | PDF | Databases | Data Model
0% found this document useful (0 votes)
19 views39 pages

DBMS Unit-1&Unit-2 QB Answers

The document outlines the characteristics of database systems compared to traditional file systems, emphasizing data independence, integration, security, concurrency control, and query capabilities. It defines key database concepts such as data, database schema, and metadata, and discusses relationship constraints like participation and cardinality ratios. Additionally, it explains various data models, attributes in ER notation, and weak entity types with examples, highlighting their importance in database design and management.

Uploaded by

sumanthreddy0414
Copyright
© © All Rights Reserved
We take content rights seriously. If you suspect this is your content, claim it here.
Available Formats
Download as DOCX, PDF, TXT or read online on Scribd
0% found this document useful (0 votes)
19 views39 pages

DBMS Unit-1&Unit-2 QB Answers

The document outlines the characteristics of database systems compared to traditional file systems, emphasizing data independence, integration, security, concurrency control, and query capabilities. It defines key database concepts such as data, database schema, and metadata, and discusses relationship constraints like participation and cardinality ratios. Additionally, it explains various data models, attributes in ER notation, and weak entity types with examples, highlighting their importance in database design and management.

Uploaded by

sumanthreddy0414
Copyright
© © All Rights Reserved
We take content rights seriously. If you suspect this is your content, claim it here.
Available Formats
Download as DOCX, PDF, TXT or read online on Scribd
You are on page 1/ 39

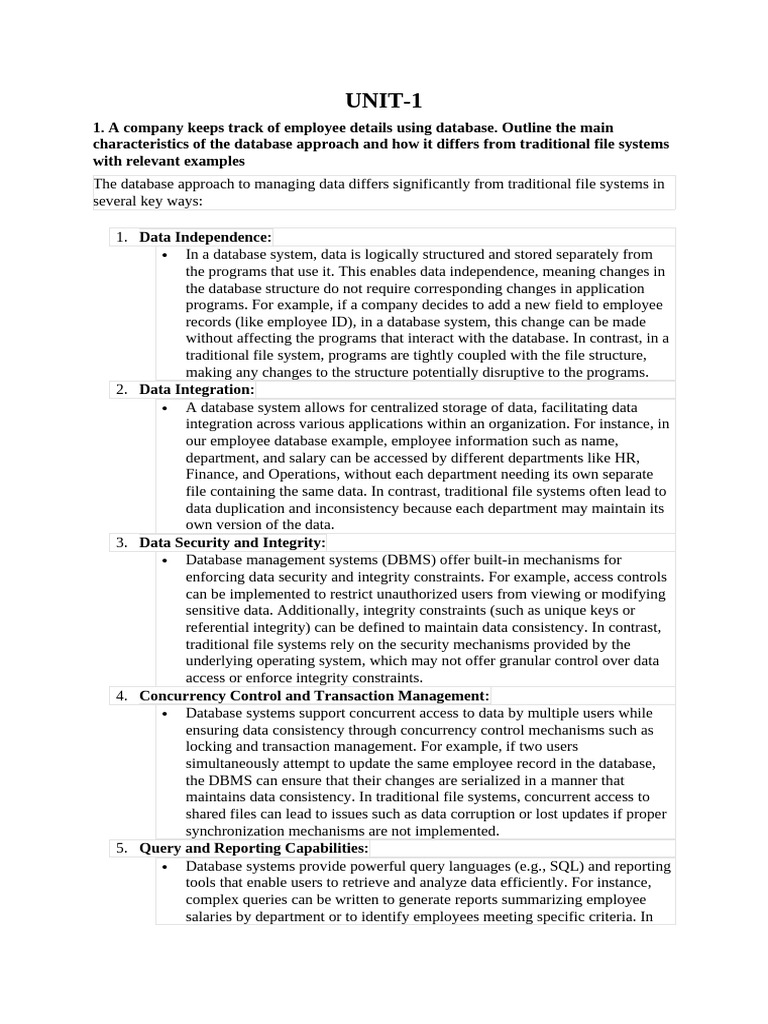
UNIT-1

1. A company keeps track of employee details using database. Outline the main
characteristics of the database approach and how it differs from traditional file systems
with relevant examples
The database approach to managing data differs significantly from traditional file systems in
several key ways:

1. Data Independence:
 In a database system, data is logically structured and stored separately from
the programs that use it. This enables data independence, meaning changes in
the database structure do not require corresponding changes in application
programs. For example, if a company decides to add a new field to employee
records (like employee ID), in a database system, this change can be made
without affecting the programs that interact with the database. In contrast, in a
traditional file system, programs are tightly coupled with the file structure,
making any changes to the structure potentially disruptive to the programs.
2. Data Integration:
 A database system allows for centralized storage of data, facilitating data
integration across various applications within an organization. For instance, in
our employee database example, employee information such as name,
department, and salary can be accessed by different departments like HR,
Finance, and Operations, without each department needing its own separate
file containing the same data. In contrast, traditional file systems often lead to
data duplication and inconsistency because each department may maintain its
own version of the data.
3. Data Security and Integrity:
 Database management systems (DBMS) offer built-in mechanisms for
enforcing data security and integrity constraints. For example, access controls
can be implemented to restrict unauthorized users from viewing or modifying
sensitive data. Additionally, integrity constraints (such as unique keys or
referential integrity) can be defined to maintain data consistency. In contrast,
traditional file systems rely on the security mechanisms provided by the
underlying operating system, which may not offer granular control over data
access or enforce integrity constraints.
4. Concurrency Control and Transaction Management:
 Database systems support concurrent access to data by multiple users while
ensuring data consistency through concurrency control mechanisms such as
locking and transaction management. For example, if two users
simultaneously attempt to update the same employee record in the database,
the DBMS can ensure that their changes are serialized in a manner that
maintains data consistency. In traditional file systems, concurrent access to
shared files can lead to issues such as data corruption or lost updates if proper
synchronization mechanisms are not implemented.
5. Query and Reporting Capabilities:
 Database systems provide powerful query languages (e.g., SQL) and reporting
tools that enable users to retrieve and analyze data efficiently. For instance,
complex queries can be written to generate reports summarizing employee
salaries by department or to identify employees meeting specific criteria. In
You
2. Define the following: i)Data ii)Database iii)Database Schema iv)Snapshot v)Metadata
Sure, here are the definitions for each term:

i) Data:

 Data refers to raw facts, observations, or measurements that are typically unorganized
and meaningless on their own. Data can be in various forms such as text, numbers,
images, or multimedia. It becomes meaningful and useful when it is processed,
organized, and interpreted in a specific context.

ii) Database:

 A database is a structured collection of data that is organized and managed to enable


efficient access, storage, retrieval, and manipulation. It is typically stored
electronically in a computer system and can be accessed and modified by authorized
users through software applications known as Database Management Systems
(DBMS).

iii) Database Schema:

 A database schema is a formal description of the structure of a database, including its


tables, fields, relationships, constraints, and indexes. It defines the organization and
logical structure of the data in the database, specifying how data is stored, how it can
be accessed, and how it relates to other data within the database.

iv) Snapshot:

 In the context of databases, a snapshot refers to a point-in-time view of the data stored
in the database. It represents the state of the database at a specific moment, capturing
all the data as it existed at that particular time. Snapshots are often used for purposes
such as data analysis, reporting, and auditing, providing a consistent and immutable
view of the database contents.

v) Metadata:

 Metadata refers to data that provides information about other data. It describes various
attributes of the data, such as its structure, format, location, and relationships.
Metadata helps users understand and interpret the data, enabling efficient
management, discovery, and utilization of data resources. Examples of metadata
include data dictionaries, schema definitions, data lineage information, and data
governance policies.

You
3. Consider a company database and Outline its Relationship constraints (Participation
and Cardinality ratios) with notations and examples.
In a company database, there are various relationships between different entities or tables.
These relationships are defined by constraints that specify how entities are related to each
other. Two common types of relationship constraints are participation constraints and
cardinality ratios.

1. Participation Constraints:
 Participation constraints define whether each entity in a relationship must
participate as either a mandatory (total) or optional (partial) participant in the
relationship.
 Notations:
 Mandatory participation is denoted by a solid line.
 Optional participation is denoted by a dashed line.
 Example:
 Consider the relationship between the "Department" entity and the
"Employee" entity in a company database.
 If every employee must belong to a department, the participation
constraint for employees in the relationship is mandatory (solid line).
 If some employees may not belong to any department (e.g.,
contractors), the participation constraint for employees in the
relationship is optional (dashed line).
2. Cardinality Ratios:
 Cardinality ratios specify the number of occurrences of each entity that can be
associated with a single occurrence of the related entity in a relationship.
 Notations:
 One-to-One (1:1): Each entity in the relationship is associated with
exactly one instance of the related entity.
 One-to-Many (1:N): Each entity in the relationship can be associated
with zero or more instances of the related entity.
 Many-to-One (N:1): Many instances of one entity can be associated
with exactly one instance of the related entity.
 Many-to-Many (N:M): Many instances of each entity can be associated
with many instances of the related entity.
 Example:
 Consider the relationship between the "Department" entity and the
"Employee" entity.
 If each department can have only one manager, and each manager can
manage only one department, the cardinality ratio is one-to-one (1:1).
 If each department can have multiple employees, but each employee
belongs to only one department, the cardinality ratio is one-to-many
(1:N).
 If multiple departments can have the same manager, but each manager
can manage only one department, the cardinality ratio is many-to-one
(N:1).
 If multiple employees can belong to multiple departments, the
cardinality ratio is many-to-many (N:M).

By defining participation constraints and cardinality ratios, the structure and behavior of
relationships in a company database are specified, ensuring data integrity and consistency.
You
4. A bank data can be stored in different structures. Define Data Model and outline the
main categories of Data Model.
A data model is a conceptual representation of the structure and relationships of the data
stored in a database. It defines the logical organization of the data and serves as a blueprint
for designing, implementing, and querying the database. A data model provides a high-level
abstraction that facilitates communication between database designers, developers, and users.

The main categories of data models include:

1. Hierarchical Data Model:


 In a hierarchical data model, data is organized in a tree-like structure with
parent-child relationships. Each parent node can have multiple child nodes, but
each child node can have only one parent. This model is characterized by its
rigid structure and is commonly used in legacy systems like IMS (Information
Management System).
2. Network Data Model:
 The network data model extends the hierarchical model by allowing each child
node to have multiple parent nodes, creating a more flexible network of
relationships. Nodes are connected by sets, and each set represents a
relationship between nodes. This model was popular in the 1960s and 1970s
and was implemented in database systems like CODASYL (Conference on
Data Systems Languages).
3. Relational Data Model:
 The relational data model organizes data into tables (relations) consisting of
rows (tuples) and columns (attributes). Relationships between tables are
established through keys, such as primary keys and foreign keys. This model
is based on mathematical set theory and predicate logic and is the foundation
of relational database management systems (RDBMS) like MySQL,
PostgreSQL, and Oracle.
4. Entity-Relationship (ER) Model:
 The entity-relationship model represents data using entities, attributes, and
relationships. Entities are objects or concepts (e.g., "customer," "product"),
attributes describe properties of entities, and relationships depict connections
between entities. This model provides a visual way to represent the structure
of a database and is widely used in database design.
5. Object-Oriented Data Model:
 In an object-oriented data model, data is represented as objects, which
encapsulate both data (attributes) and behavior (methods). Objects can inherit
properties and behaviors from other objects, allowing for hierarchical
organization and code reuse. This model is well-suited for complex data
structures and is commonly used in object-oriented programming languages
like Java and C++.
6. Document Data Model:
 The document data model stores data in a semi-structured format, such as
JSON (JavaScript Object Notation) or XML (eXtensible Markup Language).
Documents are organized into collections, and each document can have a
different structure. This model is flexible and scalable, making it suitable for
managing unstructured or rapidly changing data.
Each data model has its advantages and limitations, and the choice of model depends on
factors such as the nature of the data, the requirements of the application, and the scalability
and performance goals of the system.

You
5. Consider a company database. Define Attribute and list various types of attribute
with ER notation and examples
An attribute is a characteristic or property of an entity in a database. It represents a piece of
information that describes an entity or provides additional details about it.

Simple Attribute:

 A simple attribute is an atomic value that cannot be divided further. It


represents a single piece of information about an entity.
 Example:
 Employee entity
 Name (simple attribute)
 Age (simple attribute)
2. Composite Attribute:
 A composite attribute is made up of multiple simple attributes. It represents a
group of related data elements that are treated as a single unit.
 Example:
 Address entity
 Street (simple attribute)
 City (simple attribute)
 State (simple attribute)
 Zip Code (simple attribute)
 In ER notation, a composite attribute is often depicted as an oval within an
oval.
3. Derived Attribute:
 A derived attribute is derived or calculated from other attributes in the
database. It does not store data explicitly but is computed when needed.
 Example:
 Employee entity
 Age (derived attribute, calculated from the employee's date of
birth)
 Derived attributes are often denoted by a dashed oval in ER diagrams.
4. Single-Valued Attribute:
 A single-valued attribute can have only one value for each instance of an
entity.
 Example:
 Employee entity
 Date of Birth (single-valued attribute)
 Single-valued attributes are represented as regular ovals in ER diagrams.
5. Multi-Valued Attribute:
 A multi-valued attribute can have multiple values for each instance of an
entity.
 Example:
 Employee entity
 Skills (multi-valued attribute, as an employee can have multiple
skills)
 Multi-valued attributes are depicted by double ovals in ER diagrams.
6. Key Attribute:
 A key attribute uniquely identifies each instance of an entity. It is used to
distinguish one entity from another.
 Example:
 Employee entity
 Employee ID (key attribute)
 Key attributes are usually underlined in ER diagrams to denote their
uniqueness.
7. Null Attribute:
 A null attribute represents missing or unknown data for an entity instance.
 Example:
 Employee entity
 Middle Name (null attribute, as some employees may not have
a middle name)
 Null attributes are depicted by a dashed oval in ER diagrams.

You
6. Consider any real world database and explain the weak entity types (key attribute
and relationship) with notations and examples.
Let's consider a real-world scenario of a library database. In this database, we have entities
like "Book," "Author," and "Copy." A "Copy" entity represents individual physical copies of
books available in the library. Now, let's define a weak entity type within this database
scenario.

Weak Entity Type: A weak entity type is an entity that depends on another entity, known as
its owner entity, for its existence. It cannot be uniquely identified by its attributes alone and
requires a relationship with its owner entity to establish its identity.

Example: In our library database scenario, let's define a weak entity type called "Copy."
Each copy of a book in the library is represented by the "Copy" entity. However, a copy
cannot exist independently; it depends on the book it belongs to for its identity. Therefore,
"Copy" is a weak entity type, and "Book" is its owner entity.

Key Attribute and Relationship:

 Key Attribute:
 The key attribute of a weak entity type is typically a combination of its own
attributes along with the key attribute(s) of its owner entity. This combined
key is used to uniquely identify instances of the weak entity type within the
context of its owner entity.
 In our example:
 The key attribute of the "Copy" entity could be a combination of its
own attributes (e.g., copy ID) along with the primary key of the
"Book" entity (e.g., ISBN).
 Relationship:
 A weak entity type is associated with its owner entity through a identifying
relationship. This relationship indicates that the weak entity type depends on
the owner entity for its identity.
 In our example:
 The identifying relationship between "Book" and "Copy" signifies that
each copy is uniquely identified by its association with a specific book.
This relationship is depicted by a diamond shape connecting the weak
entity ("Copy") to its owner entity ("Book") in an Entity-Relationship
(ER) diagram.

ER Notations:

 The weak entity ("Copy") is represented by a double rectangle.


 The identifying relationship between the weak entity ("Copy") and its owner entity
("Book") is represented by a diamond shape connecting them.

Example ER Diagram:

sqlCopy code
_________ _________ | Book | | Copy | |---------| |---------| | ISBN | | Copy ID | | Title
|-----------------| Status | | Author | | ISBN | | _________ | | _________ |

In this ER diagram:

 "Book" is the owner entity, represented by a single rectangle.


 "Copy" is the weak entity, represented by a double rectangle.
 The identifying relationship between "Book" and "Copy" is denoted by a diamond
shape connecting them.
 The key attribute of "Copy" (Copy ID) is underlined to indicate its uniqueness within
the context of its owner entity.

This illustrates how a weak entity type, along with its key attribute and identifying
relationship, is represented in an ER diagram within a real-world database scenario.

You
7. Differentiate between entity and attribute. And list various types of attributes with notation
and example of each.
ChatGPT
ChatGPT
Certainly! Let's start with the definitions:

1. Entity:
 An entity is a distinguishable object, concept, or thing in the real world that is
represented in a database. Entities can be tangible (such as a person, place, or
thing) or intangible (such as an event or concept). In a database, entities are
typically represented as tables.
2. Attribute:
 An attribute is a characteristic or property of an entity that describes some
aspect of it. Attributes are used to capture specific pieces of information about
entities. In a database, attributes are represented as columns in tables.

Difference between Entity and Attribute:

 An entity represents a distinct object or concept, while an attribute describes specific


characteristics or properties of that entity.
 Entities are typically represented as tables in a database, while attributes are
represented as columns within those tables.
 Each instance of an entity has values for its attributes, which collectively describe the
entity.

Various Types of Attributes with Notation and Examples:

1. Simple Attribute:
 Definition: A simple attribute is an atomic value that cannot be divided
further.
 Notation: Regular oval
 Example: "Age" attribute of an "Employee" entity.
2. Composite Attribute:
 Definition: A composite attribute is made up of multiple simple attributes.
 Notation: Oval within an oval
 Example: "Address" attribute consisting of "Street," "City," "State," and "Zip
Code" attributes.
3. Derived Attribute:
 Definition: A derived attribute is derived or calculated from other attributes.
 Notation: Dashed oval
 Example: "Age" attribute of an "Employee" entity, calculated from the "Date
of Birth" attribute.
4. Single-Valued Attribute:
 Definition: A single-valued attribute can have only one value for each instance
of an entity.
 Notation: Regular oval
 Example: "Date of Birth" attribute of an "Employee" entity.
5. Multi-Valued Attribute:
 Definition: A multi-valued attribute can have multiple values for each instance
of an entity.
 Notation: Double oval
 Example: "Skills" attribute of an "Employee" entity.
6. Key Attribute:
 Definition: A key attribute uniquely identifies each instance of an entity.
 Notation: Underlined oval
 Example: "Employee ID" attribute of an "Employee" entity.
7. Null Attribute:
 Definition: A null attribute represents missing or unknown data for an entity
instance.
 Notation: Dashed oval
 Example: "Middle Name" attribute of an "Employee" entity, which may be
null for some employees.

These various types of attributes help to accurately describe the characteristics and properties
of entities in a database.

You
8. What is Data Independence? Explain Logical & Physical Data Independence
ChatGPT
ChatGPT
Data independence refers to the ability to make changes to the structure and organization of
data without affecting the application programs that access that data. It is a fundamental
concept in database management systems (DBMS) that helps to isolate the logical view of
data from its physical storage, providing flexibility, maintainability, and scalability.

There are two main types of data independence:

1. Logical Data Independence:


 Logical data independence refers to the ability to modify the logical schema of
the database without affecting the external schema or the application programs
that use the data. It allows changes to the way data is organized, stored, and
presented to users without requiring changes to the application logic.
 Example:
 Suppose a company decides to split the "Employee" table into separate
tables for "Employee Personal Information" and "Employee Job
Details." With logical data independence, this restructuring can be
performed without modifying the application programs that query or
update employee data. The applications continue to work seamlessly,
as they interact with the data through the same logical schema.
2. Physical Data Independence:
 Physical data independence refers to the ability to modify the physical storage
and access methods of the data without affecting the logical schema or the
application programs. It allows changes to the way data is stored on disk or in
memory without impacting the way users interact with the data.
 Example:
 Suppose a company decides to change the storage format of the
"Employee" table from a traditional row-based storage to a columnar
storage to improve query performance. With physical data
independence, this change can be implemented transparently to the
application programs. The programs do not need to be aware of the
change in storage format, as they continue to access the data through
the same logical schema.

In summary, logical data independence allows changes to the logical schema without
impacting application programs, while physical data independence allows changes to the
physical storage without affecting the logical schema or application programs. Together,
these forms of data independence enable greater flexibility, adaptability, and maintainability
in database systems.
You
9. Differentiate between Schema & Instance in table form
2/2
ChatGPT
ChatGPT
Here's a comparison between schema and instance in a table format:

Aspect Schema Instance


Definition Blueprint or structure of the database Snapshot of the data stored in the database
Purpose Defines the logical organization of dataRepresents the actual data stored in the database
Changes frequently as data is added, updated, or
Scope Remains relatively stable over time deleted
Consists of rows and columns containing actual
Components Includes tables, views, constraints, etc. data
Modified when inserting, updating, or deleting
Modification Altered when making structural changes data
Entity-Relationship (ER) diagram, DDL
Examples scripts Rows of data in tables

This table summarizes the key differences between schema and instance in terms of their
definition, purpose, scope, components, and how they are modified.

You
10. State the purpose of Data Models. Explain Physical Data Model.
ChatGPT
ChatGPT
Purpose of Data Models:

Data models serve as conceptual tools for representing the structure, relationships,
constraints, and semantics of data within a system or organization. They help in
understanding, designing, implementing, and maintaining databases by providing a
standardized and abstracted representation of data. The main purposes of data models
include:

1. Communication:
 Data models facilitate communication between stakeholders such as database
designers, developers, users, and business analysts. They provide a common
language and visual representation to discuss and understand the structure and
meaning of data.
2. Understanding:
 Data models help in understanding the complex relationships and
dependencies among data elements, entities, and attributes within a system.
They enable stakeholders to grasp the semantics and context of the data being
stored and manipulated.
3. Design:
 Data models guide the design process by providing a blueprint for organizing
and structuring data. They help in identifying entities, attributes, relationships,
and constraints, which are essential for building a database schema that meets
the requirements of the system or application.
4. Implementation:
 Data models serve as the basis for implementing databases using database
management systems (DBMS). They help in translating the logical structure
defined in the model into physical storage structures and access methods
supported by the DBMS.
5. Documentation:
 Data models act as documentation for the database system, capturing the
structure, constraints, and business rules governing the data. They provide a
reference for future maintenance, enhancement, and troubleshooting efforts.

Physical Data Model:

A physical data model represents how data is stored and organized in a database system at the
physical level. It describes the implementation details of the database, including storage
structures, indexing mechanisms, access paths, and optimization techniques. The physical
data model is closely tied to the underlying hardware and software components of the
database system.

Key aspects of a physical data model include:

1. Storage Structures:
 Specifies the physical organization of data on storage devices such as disks.
This includes details such as file organization (e.g., heap file, clustered index),
data partitioning, and storage allocation.
2. Indexing Mechanisms:
 Defines the indexes used to improve data retrieval performance. This includes
choosing appropriate index types (e.g., B-tree, hash index) and determining
which attributes are indexed.
3. Access Paths:
 Describes how data is accessed and retrieved from storage. This includes
defining access methods (e.g., sequential, random), query execution plans, and
optimization strategies.
4. Data Distribution and Replication:
 Specifies how data is distributed across multiple storage devices or replicated
for fault tolerance and high availability. This includes partitioning schemes,
replication strategies, and data synchronization mechanisms.
5. Performance Optimization:
 Addresses performance tuning techniques such as query optimization, caching,
data compression, and parallel processing to improve the efficiency of data
access and manipulation operations.

Overall, the physical data model bridges the gap between the logical representation of data in
the conceptual and logical data models and its physical implementation in the database
system. It ensures that the database is efficiently structured and optimized for storage,
retrieval, and processing of data.
You
Explain relationship between Entity, Entity Class & Entity Instance.
ChatGPT
ChatGPT
The relationship between entity, entity class, and entity instance is fundamental to
understanding the structure of data within a database. Let's break down each concept and then
explore their relationships:

1. Entity Class:
 An entity class represents a collection of similar entities that share common
attributes and behaviors. It is a blueprint or template for creating individual
instances of the entity.
 Example: In a library database, the "Book" entity class represents all books in
the library. It defines common attributes such as title, author, and publication
date.
2. Entity:
 An entity is a distinct object or instance of an entity class that exists
independently and can be uniquely identified. It represents a specific
occurrence or instantiation of the entity class.
 Example: Each individual book in the library, such as "Harry Potter and the
Philosopher's Stone" or "To Kill a Mockingbird," is an instance of the "Book"
entity class.
3. Relationship between Entity Class and Entity Instance:
 An entity instance is an individual occurrence or realization of an entity class.
It represents a specific, concrete entity with its own set of attribute values.
 An entity class serves as a template or blueprint for creating entity instances. It
defines the structure and properties shared by all instances of the entity.
 Example: The "Book" entity class defines the structure and attributes common
to all books in the library, such as title, author, and publication date. Each
specific book in the library, such as "Harry Potter and the Philosopher's
Stone," is an entity instance that conforms to the structure defined by the
"Book" entity class.

In summary, an entity class represents a category or type of objects with shared


characteristics, while an entity instance represents a specific occurrence or instantiation of
that category. The relationship between them is that entity instances are created based on the
structure and properties defined by their corresponding entity class.

You
12. Define Different languages and interfaces provided by DBMS?
ChatGPT
ChatGPT
Database Management Systems (DBMS) offer various languages and interfaces to interact
with databases, perform operations, and retrieve information. Here are some of the key
languages and interfaces provided by DBMS:

1. SQL (Structured Query Language):


 SQL is a standard language used for managing and manipulating relational
databases. It provides commands for creating, updating, querying, and deleting
data from databases.
 SQL consists of several sub-languages, including Data Definition Language
(DDL), Data Manipulation Language (DML), Data Control Language (DCL),
and Transaction Control Language (TCL).
2. PL/SQL (Procedural Language/Structured Query Language):
 PL/SQL is an extension of SQL that allows users to write procedural code
(such as loops, conditionals, and functions) within SQL statements. It enables
the creation of stored procedures, functions, triggers, and packages for
implementing complex business logic.
3. T-SQL (Transact-SQL):
 T-SQL is Microsoft's proprietary extension of SQL used in SQL Server
databases. It includes additional features and functions for programming, error
handling, and administrative tasks beyond standard SQL.
4. SQL/PSM (SQL/Persistent Stored Modules):
 SQL/PSM is a standard language extension for SQL that supports procedural
programming constructs such as variables, conditionals, loops, and exception
handling. It allows for the creation of stored procedures and functions within
SQL databases.
5. JDBC (Java Database Connectivity):
 JDBC is a Java API that provides a standard interface for connecting Java
applications to relational databases. It allows Java programs to execute SQL
queries, retrieve results, and manage database connections using a uniform set
of methods and classes.
6. ODBC (Open Database Connectivity):
 ODBC is a standard API for accessing databases using the SQL language. It
provides a platform-independent interface that allows applications to connect
to various database management systems using a common set of functions and
drivers.
7. ORM (Object-Relational Mapping):
 ORM frameworks such as Hibernate, Entity Framework, and Django ORM
provide object-oriented interfaces for interacting with relational databases.
They map database tables to object classes in programming languages,
allowing developers to work with database entities using object-oriented
paradigms.
8. Command-Line Interfaces (CLI):
 Many DBMSs offer command-line interfaces that allow users to interact with
databases through text-based commands. These interfaces provide
functionalities for executing SQL queries, managing database objects, and
performing administrative tasks directly from the command line.
9. Graphical User Interfaces (GUI):
 Some DBMSs provide graphical user interfaces (GUI) that offer visual tools
and wizards for database administration, query building, and data
visualization. These interfaces typically include features such as point-and-
click query builders, schema designers, and performance monitoring
dashboards.
These languages and interfaces provided by DBMSs cater to different user preferences,
programming environments, and application requirements, offering flexibility and versatility
in database development and management.

You
13. Explain the main phases of database process with the help of a diagram.
ChatGPT
ChatGPT
The database process typically involves several phases, including requirements analysis,
conceptual design, logical design, physical design, implementation, and maintenance. Here's
an overview of each phase along with a simplified diagram representing the database process:

1. Requirements Analysis:
 This phase involves gathering and analyzing the requirements of the database
system from stakeholders, including users, managers, and IT staff. It focuses
on understanding the data needs, functional requirements, and constraints of
the system.
2. Conceptual Design:
 In this phase, a high-level conceptual model of the database is created based
on the requirements analysis. It involves identifying the entities, attributes, and
relationships that need to be represented in the database without considering
implementation details.
3. Logical Design:
 The logical design phase focuses on translating the conceptual model into a
logical schema that can be implemented in a database management system. It
involves defining tables, columns, keys, constraints, and relationships using a
data model such as the Entity-Relationship (ER) model or Unified Modeling
Language (UML).
4. Physical Design:
 In this phase, the logical schema is mapped to the physical storage structures
of the database system. It involves decisions about data storage, indexing,
partitioning, and access paths to optimize performance and resource
utilization.
5. Implementation:
 The implementation phase involves creating the actual database schema and
loading data into the database system. It includes writing Data Definition
Language (DDL) statements to create tables, indexes, views, and other
database objects, as well as writing Data Manipulation Language (DML)
statements to insert, update, and delete data.
6. Maintenance:
 The maintenance phase involves ongoing monitoring, tuning, and updating of
the database system to ensure its continued functionality, performance, and
security. It includes tasks such as backup and recovery, performance
optimization, security management, and schema evolution.

Here's a simplified diagram illustrating the main phases of the database process:

yamlCopy code
Requirements Analysis | V Conceptual Design | V Logical Design | V Physical Design |
V Implementation | V Maintenance

This diagram represents the sequential flow of activities in the database process, starting from
requirements analysis and progressing through conceptual, logical, and physical design to
implementation and maintenance. Each phase builds upon the results of the previous phase,
ultimately leading to the creation and management of a functional and efficient database
system.

You
14. Deisgn the E-R diagram for keep tracking of AIRLINE database. Define Entity,Attribute
and list various types of attribute with ER notation and examples
ChatGPT
ChatGPT
Sure, let's design an Entity-Relationship (E-R) diagram for an airline database. First, let's
define entity and attribute:

 Entity: In the context of a database, an entity is a real-world object or concept that is


represented in the database. In an E-R diagram, entities are represented by rectangles.
 Attribute: An attribute is a property or characteristic of an entity. It describes some
aspect of the entity that we want to store data about. In an E-R diagram, attributes are
represented by ovals connected to their respective entities.

Now, let's list various types of attributes with ER notation and examples:

1. Simple Attribute:
 Definition: A simple attribute is an atomic value that cannot be divided
further.
 Notation: Regular oval
 Example: "FlightNumber" attribute of the "Flight" entity.
2. Composite Attribute:
 Definition: A composite attribute is made up of multiple simple attributes.
 Notation: Oval within an oval
 Example: "Address" attribute consisting of "Street," "City," "State," and "Zip
Code" attributes for the "Airport" entity.
3. Derived Attribute:
 Definition: A derived attribute is derived or calculated from other attributes.
 Notation: Dashed oval
 Example: "FlightDuration" attribute of the "Flight" entity, calculated from
"DepartureTime" and "ArrivalTime" attributes.
4. Single-Valued Attribute:
 Definition: A single-valued attribute can have only one value for each instance
of an entity.
 Notation: Regular oval
 Example: "FlightDate" attribute of the "Flight" entity.
5. Multi-Valued Attribute:
 Definition: A multi-valued attribute can have multiple values for each instance
of an entity.
Notation: Double oval
Example: "AircraftModels" attribute of the "Aircraft" entity, as an aircraft can
have multiple models.
6. Key Attribute:
 Definition: A key attribute uniquely identifies each instance of an entity.
 Notation: Underlined oval
 Example: "FlightID" attribute of the "Flight" entity.
7. Null Attribute:
 Definition: A null attribute represents missing or unknown data for an entity
instance.
 Notation: Dashed oval
 Example: "MiddleName" attribute of the "Passenger" entity, which may be
null for some passengers.

Now, let's design the E-R diagram for the airline database:

luaCopy code
+ -------------------+ | Airport | + --------]pp-----------+ /| AirportCode (PK) | / + -------------------+
/ ... / + ---------------+ / | Flight |- + --------------+ + ---------------+\ | Passenger | |
FlightNumber | \ + --------------+ | FlightDate | + ----------\ | PassengerID | | FlightDuration| |
\\| FirstName | | DepartureTime | ---+ ||| LastName | | ArrivalTime | ||| ... | + ---------------+
+--------------+ | | | | + ------------------------------+ | V + ---------------+ | Aircraft | + ---------------+
| AircraftID | | Model | | Capacity | + ---------------+

In this E-R diagram:

 "Airport," "Flight," "Passenger," and "Aircraft" are entities represented by rectangles.


 Attributes of each entity are represented by ovals connected to their respective
entities.
 Primary keys (PK) are underlined to denote key attributes.
 Relationships between entities are not depicted in this diagram, but they could include
relationships like "Flight" being associated with "Airport" for departure and arrival
locations, and "Flight" being associated with "Passenger" for passenger bookings.

You
15. Describe Three schema architecture? Why do we need mapping among the schemas?
ChatGPT
ChatGPT
The Three Schema Architecture, also known as the ANSI/SPARC architecture, is a
conceptual framework for organizing database management systems (DBMS) into three
distinct layers or schemas. These layers provide separation between different aspects of the
database system, enabling modularity, flexibility, and abstraction. The three schemas are:

1. External Schema (View Level):


 The external schema represents the user's view of the data. It defines how data
is organized, presented, and accessed from the perspective of different users or
applications.
 Each external schema corresponds to a specific user group or application and
may include different subsets of data and different views of the database.
 External schemas provide a personalized and tailored view of the database to
meet the needs of diverse users and applications.
2. Conceptual Schema (Logical Level):
 The conceptual schema represents the logical structure of the entire database
as seen by the database administrator (DBA). It provides a unified and
abstracted view of the data model, independent of any specific implementation
or physical storage considerations.
 The conceptual schema defines the entities, attributes, relationships,
constraints, and integrity rules that govern the organization and behavior of the
database.
 It serves as a bridge between the external schemas and the internal schema,
providing a high-level description of the database that is independent of user
requirements or physical storage details.
3. Internal Schema (Physical Level):
 The internal schema represents the physical storage and organization of data
within the database system. It defines how data is stored on disk, indexed,
partitioned, and accessed by the underlying hardware and software
components.
 The internal schema includes details such as data structures, storage allocation,
indexing mechanisms, access paths, and optimization strategies.
 It is optimized for efficient data storage, retrieval, and manipulation, taking
into account performance, scalability, and resource constraints.

Mapping Among the Schemas: Mapping among the schemas is necessary to ensure
consistency and coherence between the different layers of the database system. It involves
translating and reconciling the views and requirements of users and applications (external
schemas) with the logical structure and organization of the database (conceptual schema) and
the physical storage and access mechanisms (internal schema). Here's why we need mapping
among the schemas:

1. Data Integration:
 Mapping allows for the integration of data from multiple external schemas
into a unified conceptual schema. It ensures that diverse user views and
application requirements are appropriately represented and reconciled within
the database.
2. Data Independence:
 Mapping provides a level of abstraction and insulation between the external,
conceptual, and internal schemas. It allows changes to be made to one schema
without affecting the others, thereby achieving data independence and
minimizing the impact of modifications on the overall system.
3. Optimization and Performance:
 Mapping enables optimization strategies to be applied at the internal schema
level to improve data storage, retrieval, and processing efficiency. It ensures
that the physical implementation of the database aligns with the logical and
user requirements specified in the external and conceptual schemas.
4. Security and Access Control:
 Mapping ensures that access controls and security policies defined at the
external schema level are enforced consistently across the conceptual and
internal schemas. It helps maintain data confidentiality, integrity, and
availability while allowing appropriate levels of access for different users and
applications.

In summary, mapping among the schemas facilitates data integration, independence,


optimization, and security within the Three Schema Architecture, ensuring that the database
system effectively meets the needs of users and applications while maintaining consistency
and coherence across different layers.

You
16. What are structural Constraints on Relationship types? Explain with Examples.
ChatGPT
ChatGPT
Structural constraints on relationship types define rules and conditions that govern the
existence and characteristics of relationships between entities in a database schema. These
constraints ensure data integrity and consistency by specifying the allowable configurations
and behaviors of relationships. There are several types of structural constraints that can be
applied to relationship types:

1. Cardinality Constraints:
 Cardinality constraints define the maximum and minimum number of
occurrences of entities that can be associated with each other through a
relationship. They specify the degree of participation of entities in a
relationship.
 Examples:
 One-to-One (1:1) Relationship: A person can have only one passport,
and each passport is issued to only one person.
 One-to-Many (1:N) Relationship: A department can have multiple
employees, but an employee can belong to only one department.
 Many-to-One (N:1) Relationship: Multiple students can enroll in the
same course, but each student is enrolled in only one course.
 Many-to-Many (N:M) Relationship: Students can take multiple
courses, and each course can have multiple students enrolled in it.
2. Multiplicity Constraints:
 Multiplicity constraints specify the exact number of occurrences of entities
that can participate in a relationship. They provide more granular control over
the number of relationships between entities.
 Examples:
 Exactly One: Each employee must have exactly one manager.
 Zero or One: Each customer may or may not have a preferred shipping
address.
 Zero or Many: A product may have zero or many suppliers.
 Exactly N: Each department must have exactly three managers.
3. Participation Constraints:
 Participation constraints specify whether participation of entities in a
relationship is mandatory (total participation) or optional (partial
participation). They determine whether an entity instance must participate in a
relationship or can exist independently.
 Examples:
 Total Participation: Every department must have at least one employee
assigned to it.
 Partial Participation: A student may or may not be enrolled in any
courses.
4. Referential Integrity Constraints:
 Referential integrity constraints enforce the consistency of relationships by
ensuring that values in foreign key columns (attributes that reference primary
keys of other entities) match values in the corresponding primary key
columns.
 Examples:
 Foreign key constraints: If a student enrolls in a course, the student ID
in the enrollment table must correspond to an existing student ID in the
student table.
 Cascade updates/deletes: If a referenced entity (e.g., a department) is
updated or deleted, the changes are propagated to related entities (e.g.,
employees) to maintain referential integrity.

These structural constraints play a crucial role in defining the nature and characteristics of
relationships between entities in a database schema. They help ensure data consistency,
integrity, and reliability by enforcing rules and conditions on the formation and behavior of
relationships.

You
17. What is weak entity type? Explain the role of partial key in design of weak entity set.
ChatGPT
ChatGPT
A weak entity type is an entity that cannot be uniquely identified by its attributes alone and
relies on a related entity, called the identifying or owner entity, for its identity. Weak entities
typically have a partial key, which is a set of attributes that, combined with the primary key
of the owning entity, forms a unique identifier for instances of the weak entity type. Weak
entities are usually associated with their owner entities through a one-to-many identifying
relationship.

Role of Partial Key in Design of Weak Entity Set:

The partial key of a weak entity set plays a crucial role in its design and implementation
within a database schema. Here's how:

1. Uniqueness Constraint:
 The partial key, along with the primary key of the owning entity, forms a
composite key that uniquely identifies instances of the weak entity set.
 It ensures that each instance of the weak entity type is uniquely identifiable
within the scope of its owner entity.
2. Dependency on Owner Entity:
The partial key represents the part of the weak entity's identity that is
dependent on the owner entity.
 Without the owner entity, the partial key alone is not sufficient to uniquely
identify instances of the weak entity type.
3. Storage and Indexing:
 In the physical implementation of the database, the partial key attributes are
typically stored along with the primary key of the owner entity.
 Indexes may be created on the partial key attributes to facilitate efficient
retrieval and navigation of related weak entities.
4. Referential Integrity:
 The partial key attributes serve as foreign key references to the primary key of
the owner entity, establishing the identifying relationship between the weak
entity and its owner.
 Referential integrity constraints ensure that the values of the partial key
attributes in the weak entity are valid references to existing instances of the
owner entity.

Example:

Consider a database for a university where "Course" is an entity and "Section" is a weak
entity associated with courses. Each section of a course is uniquely identified by its section
number within the context of the course.

 Course (Owner Entity):


 Attributes: CourseID (Primary Key), CourseName, Department
 Section (Weak Entity):
 Attributes: SectionNumber (Partial Key), Semester, Year
 Partial Key: CourseID (from Course entity) + SectionNumber

In this example, the partial key of the "Section" entity includes the "CourseID" attribute from
the "Course" entity along with the "SectionNumber" attribute. This combination ensures that
each section of a course is uniquely identified within the scope of that course. The
"CourseID" attribute serves as a foreign key reference to the primary key of the "Course"
entity, establishing the identifying relationship between sections and courses.

You
18. Write Consider the following information about a Banking database: i. Bank has a Code,
Name and Address. ii. A Bank has many branches and each Branch has Branch Code and
Address. iii. A Customer has SSn, Name, Address and Phone no. iv. Accounts entity has
Acc_No and Balance. v. Loans entity has Loan_No and Amount. vi. A Customer can have
both types of relationship with bank branch i.e. either as an Account Holder or as a Loan
Customer. vii. A Bank branch can have many accounts and loans.
ChatGPT
ChatGPT
Based on the provided information about the Banking database, we can identify several
entities and their relationships. Let's organize this information into an Entity-Relationship (E-
R) diagram:
 Entities:
1. Bank
2. Branch
3. Customer
4. Account
5. Loan
 Attributes:
1. Bank:
 Code (Primary Key)
 Name
 Address
2. Branch:
 Branch Code (Primary Key)
 Address
3. Customer:
 SSN (Primary Key)
 Name
 Address
 Phone No.
4. Account:
 Acc_No (Primary Key)
 Balance
5. Loan:
 Loan_No (Primary Key)
 Amount
 Relationships:
1. Bank - Branch: One-to-Many
2. Branch - Account: One-to-Many
3. Branch - Loan: One-to-Many
4. Customer - Account: One-to-Many
5. Customer - Loan: One-to-Many
 Type of Relationship for Customer with Bank Branch:
 The relationship between a Customer and a Bank Branch can be of two types:
1. Account Holder: Indicates that the customer holds an account at the
bank branch.
2. Loan Customer: Indicates that the customer has taken a loan from the
bank branch.

Here's an E-R diagram representing the Banking database:

luaCopy code
+ ----------+ | Bank | + ----------+ /| Code (PK)| / + ----------+ / Name | / Address |
+ ------/---------------+---------+ | | | | | | | V | | + -----------+ +-----------+ | | Branch | | Customer
| | + -----------+ +-----------+ | /| BranchCode| /| SSN | |/ + -----------+ / +-----------+ |
Address / Name | + -------------------+ Address | | + ---- Phone No.| | | | | V V + --------------+
+--------------+ | Account | | Loan | + --------------+ +--------------+ /| Acc_No | /| Loan_No | /
+ -------------+ / +-------------+ | Balance | Amount | + ----------------------+--------------+

In this diagram:
 Each entity is represented by a rectangle.
 Attributes are listed within each entity rectangle.
 Relationships between entities are represented by lines connecting them, with
cardinality indicated at each end (e.g., one-to-many).
 The relationship between Customer and Bank Branch has two roles: Account Holder
and Loan Customer. This is not explicitly shown in the diagram, but it's implied by
the description.

You
. Draw an ER diagram for the following company DB  Company has several departments. 
Each department may have several Location.  Departments are identified by a name, D_no,
Location.  A Manager control a particular department.  Each department is associated with
number of projects.  Employees are identified by name, id, address, dob, date_of_joining. 
An employee works in only one department but can work on several project.  We also keep
track of number of hours worked by an employee on a single project.  Each employee has
dependent  Dependent has D_name, Gender and relationship.
ChatGPT
ChatGPT
Based on the provided information about the company database, let's create an Entity-
Relationship (ER) diagram:

 Entities:
1. Company
2. Department
3. Location
4. Manager
5. Project
6. Employee
7. Dependent
 Relationships:
1. Company - Department: One-to-Many
2. Department - Location: One-to-Many
3. Department - Manager: One-to-One
4. Department - Project: One-to-Many
5. Department - Employee: One-to-Many
6. Employee - Project: Many-to-Many
7. Employee - Dependent: One-to-Many
 Attributes:
1. Company:
 No specific attributes mentioned.
2. Department:
 Name (Primary Key)
 D_no
 Location
3. Location:
 No specific attributes mentioned.
4. Manager:
 No specific attributes mentioned. (Implied to be associated with
Department)
5. Project:
 No specific attributes mentioned.
6. Employee:
 ID (Primary Key)
 Name
 Address
 DOB
 Date_of_joining
7. Dependent:
 D_name (Primary Key)
 Gender
 Relationship
 Relationship Attributes:
1. Employee - Project:
 Hours_Worked

Here's the ER diagram:

luaCopy code
+ -------------+ | Company | + -------------+ | | | V + ----------+ | Department| + ----------+ /|
Name (PK)| / | D_no | / | Location | + ------+ +----------+---------+ | | | | | | | V V | + --------+
+---------+ | |Location| | Manager| | + --------+ +---------+ | /|Dept_FK | | | |/ + --------+ | | |
Location | | + -------------+ | | | + ---------+ | | V + -----------+ | Project | + -----------+ | | V
+ -------------+ | Employee | + -------------+ /| ID (PK) | / | Name | / | Address | + -----+ | DOB |
| | | Date_of_joining| | | + -------------+ | | | | | | | V V | + ------------+ | | | Dependent | | |
+ ------------+ | | |D_name (PK)| | | |Gender | | | |Relationship| | | + ------------+ |
+ -----------------+

In this diagram:

 Each entity is represented by a rectangle.


 Attributes are listed within each entity rectangle.
 Relationships between entities are represented by lines connecting them, with
cardinality indicated at each end (e.g., one-to-many).
 Relationship attributes, such as "Hours_Worked" in the Employee - Project
relationship, are specified near the relationship line.

You
A university registrar’s office maintains data about the following entities:  courses,
including number, title, credits, syllabus, and prerequisites;  Courseofferings, including
course number, year, semester, section number,instructor(s),timings, and classroom 
students, including student-id, name, and program  Instructors, including identification
number, name, department, and title. Further, the enrollment of students in courses and
grades awarded to students in each course they are enrolled for must be appropriately
modeled.
ChatGPT
ChatGPT
Based on the information provided, let's create an Entity-Relationship (ER) diagram for the
university registrar's office:

 Entities:
1. Course
2. CourseOffering
3. Student
4. Instructor
5. Enrollment
6. Grade
 Relationships:
1. Course - CourseOffering: One-to-Many
2. CourseOffering - Instructor: Many-to-Many
3. CourseOffering - Enrollment: One-to-Many
4. Student - Enrollment: One-to-Many
5. Enrollment - Grade: One-to-One
 Attributes:
1. Course:
 Number (Primary Key)
 Title
 Credits
 Syllabus
 Prerequisites
2. CourseOffering:
 Course Number (Primary Key)
 Year (Primary Key)
 Semester (Primary Key)
 Section Number (Primary Key)
 Timings
 Classroom
3. Student:
 Student-ID (Primary Key)
 Name
 Program
4. Instructor:
 Identification Number (Primary Key)
 Name
 Department
 Title
5. Enrollment:
 No specific attributes mentioned. (Implied to be associated with
Student, CourseOffering)
6. Grade:
 No specific attributes mentioned. (Implied to be associated with
Enrollment)

Here's the ER diagram:


sqlCopy code
+-------------+ +----------------+ | Course | | CourseOffering | +-------------+ +----------------+
| Number (PK) | | Course Number | | Title | | Year (PK) | | Credits | | Semester (PK) |
| Syllabus | | Section No (PK) | | Prerequisites | | Timings | +-------------+ | Classroom |
+----------------+ | | | V +-------------+ | Instructor | +-------------+ | ID (PK) | | Name | |
Department | | Title | +-------------+ | | | V +---------------+ | Student | +---------------+ |
Student - ID (PK) | | Name | | Program | +---------------+ | | | V +---------------+ |
Enrollment | +---------------+ | No specific | | attributes | +---------------+ | | | V
+---------------+ | Grade | +---------------+ | No specific | | attributes | +---------------+

In this diagram:

 Each entity is represented by a rectangle.


 Attributes are listed within each entity rectangle.
 Relationships between entities are represented by lines connecting them, with
cardinality indicated at each end (e.g., one-to-many).
 Primary keys are indicated with "(PK)" next to the attribute name.
 Composite primary keys are implied for CourseOffering and Enrollment.

UNIT-2
1 Define the following: i)Relation ii)Domain iii)Tuple iv)Primary key v)Foreign key
Sure, here are the definitions for each term:

1. Relation:
 In the context of databases, a relation refers to a table that consists of rows and
columns. Each row represents a record or tuple, and each column represents an
attribute or field. Relations are fundamental components of the relational
model, which is a widely used model for organizing and managing data in
database systems.
2. Domain:
 A domain defines the set of possible values that an attribute can take. It
specifies the data type and constraints for an attribute. For example, a domain
for an attribute "Age" might specify that the values must be integers between 0
and 120. Domains help enforce data integrity by restricting the range of
allowable values for attributes.
3. Tuple:
 A tuple is a single record or row in a relation (table) of a database. It
represents a complete set of data values for all attributes defined in the
relation. Each tuple corresponds to a specific entity or instance of the entity
type represented by the relation. For example, in a table of "Employees," each
tuple would represent information about a single employee, such as their
name, ID, department, etc.
4. Primary Key:
 A primary key is a unique identifier for each tuple (row) in a relation (table). It
uniquely identifies each record in the table and ensures that no two tuples have
the same combination of values for the primary key attributes. Primary keys
are used to enforce entity integrity and provide a means for referencing and
accessing specific tuples in the table efficiently.
5. Foreign Key:
 A foreign key is an attribute or combination of attributes in one relation (table)
that refers to the primary key of another relation. It establishes a relationship
between the two tables by enforcing referential integrity. Foreign keys ensure
that values in the referencing table (child table) match values in the referenced
table (parent table), preventing invalid references or orphaned records. Foreign
keys are used to represent relationships between entities in a database schema.

These definitions are fundamental concepts in database management systems and are
essential for understanding how data is organized, stored, and manipulated in relational
databases.

You
2 Consider the Company database, Appraise the various schema based or explicit constraints
that can be applied to a relational model. How these constraints are violated during insert,
delete and update operations
ChatGPT
ChatGPT
In a relational database model, various schema-based or explicit constraints can be applied to
ensure data integrity and consistency. These constraints help maintain the quality of the data
and enforce rules that govern the relationships between entities. Here are some common
constraints and how they can be violated during insert, delete, and update operations:

1. Primary Key Constraint:


 Ensures that each row in a table is uniquely identifiable.
 Violation during insert: Attempting to insert a new row with a primary key
value that already exists in the table.
 Violation during delete/update: Deleting or updating a row that is referenced
by a foreign key in another table, causing a loss of referential integrity.
2. Foreign Key Constraint:
 Ensures that values in a column (or combination of columns) in one table
match the values in the primary key column(s) of another table.
 Violation during insert: Attempting to insert a row with a foreign key value
that does not exist in the referenced table's primary key column(s).
 Violation during delete: Attempting to delete a row in the referenced table that
is referenced by foreign keys in other tables (unless cascade delete is
specified).
 Violation during update: Attempting to update the primary key value(s) in the
referenced table, causing a mismatch with the foreign key values in related
tables.
3. Unique Constraint:
 Ensures that the values in one or more columns are unique across all rows in
the table.
 Violation during insert: Attempting to insert a new row with a value that
already exists in the specified unique column(s).
 Violation during update: Attempting to update a row with a value that already
exists in the specified unique column(s), causing a duplicate entry.
4. Check Constraint:
 Defines a condition that each row must satisfy for the data to be valid.
 Violation during insert or update: Attempting to insert or update a row with
values that do not satisfy the specified condition.
5. Entity Integrity Constraint:
 Requires that the primary key column(s) of a table cannot contain null values.
 Violation during insert: Attempting to insert a row with a null value in the
primary key column(s).
 Violation during update: Attempting to update the primary key value(s) to
null.
6. Referential Integrity Constraint:
 Ensures that foreign key values in one table must match primary key values in
another table.
 Violation during insert: Attempting to insert a row with a foreign key value
that does not exist in the referenced table.
 Violation during delete: Attempting to delete a row in the referenced table that
is referenced by foreign keys in other tables (unless cascade delete is
specified).
 Violation during update: Attempting to update the primary key value(s) in the
referenced table, causing a mismatch with the foreign key values in related
tables.

These constraints help maintain data consistency and integrity within a relational database.
When violated, they can lead to data corruption, inconsistency, or loss of referential integrity,
highlighting the importance of enforcing constraints and handling violations appropriately in
database management systems.

You
3 Illustrate the relational algebra operations Division and Cartesian Product with examples.
ChatGPT
ChatGPT
Sure, let's illustrate the relational algebra operations Division and Cartesian Product with
examples:

1. Division Operation:
 Division is used to find records in one relation (table) that are related to all
records in another relation based on certain conditions.
 Let's say we have two relations:
 R(A, B) with tuples { (1, 2), (2, 4), (3, 6), (4, 8) }
 S(B) with tuples { (2), (4) }
 We want to find records in relation R where each B value in R matches all B
values in S.
 The result of the division operation R ÷ S would be the records from R where
all B values in R match all B values in S.
 Using the example, the result would be { (1, 2), (2, 4) } because both 2 and 4
are present in S.
2. Cartesian Product Operation:
 Cartesian Product combines every tuple from one relation with every tuple
from another relation, resulting in a new relation.
 Let's say we have two relations:
 R(A) with tuples { 1, 2 }
 S(B) with tuples { a, b }
 The Cartesian Product of R and S (R × S) would combine each tuple from R
with each tuple from S:
 { (1, a), (1, b), (2, a), (2, b) }
 Here, each tuple from R is combined with each tuple from S, resulting in all
possible combinations of tuples from both relations.

These are basic examples illustrating how the Division and Cartesian Product operations
work in relational algebra. They are fundamental operations used to manipulate and query
data in relational databases.

You
4 Illustrate various types of joins with suitable examples.
ChatGPT
ChatGPT
Certainly! Various types of joins are used in relational databases to combine data from two or
more tables based on a related column between them. Here are the most common types of
joins along with suitable examples:

1. Inner Join:
 Returns only the rows where there is a match in both tables.
 Syntax: SELECT * FROM table1 INNER JOIN table2 ON
table1.column = table2.column;
 Example:
 Suppose we have two tables, "Employees" and "Departments."
 Employees: { ID, Name, Dept_ID }
 Departments: { Dept_ID, Dept_Name }
 Inner join retrieves all employees along with their department names.
sqlCopy code
SELECT Employees.Name, Departments.Dept_Name FROM Employees
INNER JOIN Departments ON Employees.Dept_ID =
Departments.Dept_ID;
2. Left Join (or Left Outer Join):
 Returns all rows from the left table and matching rows from the right table (if
any).
 Syntax: SELECT * FROM table1 LEFT JOIN table2 ON
table1.column = table2.column;
 Example:
 Retrieve all employees and their departments. If an employee doesn't
belong to any department, show NULL for department name.
sqlCopy code
SELECT Employees.Name, Departments.Dept_Name FROM Employees
LEFT JOIN Departments ON Employees.Dept_ID = Departments.Dept_ID;
3. Right Join (or Right Outer Join):
 Returns all rows from the right table and matching rows from the left table (if
any).
 Syntax: SELECT * FROM table1 RIGHT JOIN table2 ON
table1.column = table2.column;
 Example:
 Retrieve all departments and their employees. If a department has no
employees, show NULL for employee name.
sqlCopy code
SELECT Employees.Name, Departments.Dept_Name FROM Employees
RIGHT JOIN Departments ON Employees.Dept_ID =
Departments.Dept_ID;
4. Full Join (or Full Outer Join):
 Returns all rows from both tables, matching rows from both tables where
available.
 Syntax: SELECT * FROM table1 FULL JOIN table2 ON
table1.column = table2.column;
 Example:
 Retrieve all employees and their departments, including employees
without departments and departments without employees.
sqlCopy code
SELECT Employees.Name, Departments.Dept_Name FROM Employees
FULL JOIN Departments ON Employees.Dept_ID = Departments.Dept_ID;
5. Cross Join (or Cartesian Join):
 Returns the Cartesian product of the two tables, i.e., all possible combinations
of rows.
 Syntax: SELECT * FROM table1 CROSS JOIN table2;
 Example:
 Suppose we have two tables, "Employees" and "Projects."
 Employees: { ID, Name }
 Projects: { Project_ID, Project_Name }
 Cross join retrieves all possible combinations of employees and
projects.
sqlCopy code
SELECT Employees.Name, Projects.Project_Name FROM Employees
CROSS JOIN Projects;

These are the most common types of joins used in SQL to combine data from multiple tables
based on related columns. Each type of join serves a different purpose and provides
flexibility in querying and analyzing data from relational databases.

You
5 In database, we should avoid the usage of cross product. Justify the statement with a
solution supported with an operator and its types in relational algebra.
ChatGPT
ChatGPT
Using cross product (or Cartesian product) in a database operation can lead to unintended
consequences such as generating large result sets, consuming excessive memory and
processing power, and causing performance degradation. Here's why we should avoid the
usage of cross product:

1. Explosion of Result Set Size:


 Cross product combines every tuple from one relation with every tuple from
another relation, resulting in a potentially large result set.
 For tables with a large number of rows, the cross product can generate an
extremely large result set, consuming significant resources and slowing down
query performance.
2. Loss of Contextual Meaning:
 Cross product does not consider any relationship or condition between the
tables being joined. It simply combines all rows from one table with all rows
from another table.
 This can lead to meaningless or nonsensical combinations of data, especially
when the tables are not related or when there is no logical connection between
the rows being combined.
3. Difficulty in Query Interpretation:
 When using cross product, it becomes challenging to interpret the meaning of
the resulting data, as it lacks the context or relationship between the original
tables.
 Queries involving cross product may produce unexpected or unintended
results, making it difficult for users to understand and analyze the data
accurately.

To avoid the pitfalls of cross product, relational algebra provides alternative operators that
offer more control over the join operation:

1. Equi Join:
 Equi join combines rows from two tables based on a matching condition

 Syntax: R ⨝_{condition} S
specified using equality comparison.

 Example: SELECT * FROM Employees E, Departments D WHERE


E.Dept_ID = D.Dept_ID
2. Natural Join:
 Natural join combines rows from two tables based on columns with the same

 Syntax: R ⨝ S
name and data type.

 Example: SELECT * FROM Employees NATURAL JOIN Departments


3. Theta Join:
 Theta join combines rows from two tables based on an arbitrary condition

 Syntax: R ⨝_{condition} S
specified using comparison operators.

 Example: SELECT * FROM Employees E JOIN Departments D ON


E.Dept_ID = D.Dept_ID
4. Outer Join:
 Outer join combines rows from two tables, including unmatched rows, based
on a specified condition. It includes unmatched rows from one or both tables,
preserving data integrity.
 Types: LEFT OUTER JOIN, RIGHT OUTER JOIN, FULL OUTER JOIN
By using these alternative join operators in relational algebra, we can avoid the drawbacks of
cross product and perform more meaningful and efficient data manipulations in databases.

You
6 Illustrate with examples, UNION, DIFFERENCE and INTERSECTION operations in
relational algebra.
ChatGPT
ChatGPT
Sure, let's illustrate the UNION, DIFFERENCE, and INTERSECTION operations in
relational algebra with examples:

1. UNION Operation:
 The UNION operation combines the results of two queries and removes any

 Syntax: R ∪ S
duplicate rows.

 Example:
 Suppose we have two relations, R and S, with the following tuples:
 R: { (1, 'John'), (2, 'Alice'), (3, 'Bob') }

 The result of the UNION operation (R ∪ S) would be:


 S: { (2, 'Alice'), (4, 'Emma'), (5, 'Kate') }

rustCopy code
Result : ( 1 , 'John ') ( 2 , 'Alice ') ( 3 , 'Bob ') ( 4 , 'Emma ') ( 5 , 'Kate ')
2. DIFFERENCE Operation:
 The DIFFERENCE operation returns all tuples that are present in the first
relation but not in the second relation.
 Syntax: R - S
 Example:
 Using the same relations R and S from the previous example:
 The result of the DIFFERENCE operation (R - S) would be:
rustCopy code
Result : ( 1 , 'John ') ( 3 , 'Bob ')
3. INTERSECTION Operation:
 The INTERSECTION operation returns all tuples that are present in both
relations.
 Syntax: R ∩ S
 Example:
 Using the same relations R and S from the previous example:
 The result of the INTERSECTION operation (R ∩ S) would be:
rustCopy code
Result : ( 2 , 'Alice ')

These examples demonstrate how the UNION, DIFFERENCE, and INTERSECTION


operations work in relational algebra. These operations are fundamental for manipulating and
combining data from multiple relations in a database.

You
7. In relational model the operations Select, Project ,Division and Cartesian Product are used
to form queries. Explain each with suitable example.
ChatGPT
ChatGPT
Certainly! Let's explain each operation in the relational model with suitable examples:

1. Select Operation:
 The Select operation is used to retrieve rows from a relation (table) that satisfy
a specified condition or predicate.
 Syntax: σ<sub>condition</sub>(R)
 Example:
 Suppose we have a relation "Employees" with attributes {ID, Name,
Department, Salary}.
 To retrieve employees with a salary greater than 50000:
sqlCopy code
SELECT * FROM Employees WHERE Salary > 50000 ;
2. Project Operation:
 The Project operation is used to retrieve specific columns (attributes) from a
relation, eliminating duplicate rows.
 Syntax: π<sub>attribute1, attribute2, ...</sub>(R)
 Example:
 Suppose we have a relation "Students" with attributes {ID, Name,
Department, GPA}.
 To retrieve only the ID and Name of students:
sqlCopy code
SELECT ID, Name FROM Students;
3. Division Operation:
 The Division operation is used to find records in one relation that are related to
all records in another relation based on certain conditions.
 Syntax: R ÷ S
 Example:
 Suppose we have two relations, "Courses" with attributes {Course_ID,
Title} and "Students" with attributes {Student_ID, Course_ID}.
 To find students who have enrolled in all courses:
sqlCopy code
SELECT Student_ID FROM Students WHERE NOT EXISTS ( SELECT
Course_ID FROM Courses WHERE NOT EXISTS ( SELECT * FROM
Students WHERE Students.Student_ID = Students.Student_ID AND
Students.Course_ID = Courses.Course_ID ) );
4. Cartesian Product Operation:
 The Cartesian Product operation combines every tuple from one relation with
every tuple from another relation, resulting in a new relation.
 Syntax: R × S
 Example:
 Suppose we have two relations, "Employees" with attributes {ID,
Name} and "Departments" with attributes {Dept_ID, Dept_Name}.
 To find all possible combinations of employees and departments:
sqlCopy code
SELECT * FROM Employees, Departments;
These operations are fundamental in forming queries and manipulating data in the relational
model. They provide the foundation for expressing a wide range of database operations and
queries.

You
8 Explain different relational algebra notations with an example
ChatGPT
ChatGPT
Relational algebra uses various symbols and notations to represent operations on relations
(tables) in a database. Here are some common notations along with examples:

1. σ (Select):
 The σ symbol represents the Select operation, which retrieves rows from a
relation that satisfy a specified condition.
 Example:
 Suppose we have a relation "Employees" with attributes {ID, Name,
Department, Salary}.
 To retrieve employees with a salary greater than 50000:
luaCopy code
σ< sub >Salary > 50000 </ sub >(Employees)
2. π (Project):
 The π symbol represents the Project operation, which retrieves specific
columns (attributes) from a relation, eliminating duplicate rows.
 Example:
 Suppose we have a relation "Students" with attributes {ID, Name,
Department, GPA}.
 To retrieve only the ID and Name of students:
luaCopy code
π< sub >ID, Name</ sub >(Students)
3. × (Cartesian Product):
 The × symbol represents the Cartesian Product operation, which combines
every tuple from one relation with every tuple from another relation, resulting
in a new relation.
 Example:
 Suppose we have two relations, "Employees" with attributes {ID,
Name} and "Departments" with attributes {Dept_ID, Dept_Name}.
 To find all possible combinations of employees and departments:
Copy code

4. ∪ (Union):
Employees × Departments

 The ∪ symbol represents the Union operation, which combines the results of
two queries and removes any duplicate rows.
 Example:
 Suppose we have two relations, R and S, with the following tuples:
 R: { (1, 'John'), (2, 'Alice'), (3, 'Bob') }

 The result of the Union operation (R ∪ S) would be:


 S: { (2, 'Alice'), (4, 'Emma'), (5, 'Kate') }

Copy code
R∪S
5. - (Difference):
 The - symbol represents the Difference operation, which returns all tuples that
are present in the first relation but not in the second relation.
 Example:
 Using the same relations R and S from the previous example:
 The result of the Difference operation (R - S) would be:
Copy code
R-S

These notations are fundamental in relational algebra and are used to express various
operations and queries on relations in a database. They provide a concise and formal way of
representing database operations.

You
B. Solve below queries in Relational Algebra 1 SAILORS( sid, sname, rating, age)
BOATS(bid, bname,color) RESERVES(sid,bid,day) 1. Find the sids of sailors with age over
20 who have not reserved a red boat. 2. Find the name of the sailors, who have reserved at
least two boats. 3. Find the names of sailors who have reserved a red or a green boat. 4. F i n
d the colors of boats reserved by “Rajesh”. 5. Find the name of the sailors who have reserved
boat 103. 6. Find the sailors with the highest rating 7. Find the average age of all sailors 8.
Find the average age of sailors with a rating of 10 9. Find the name and age of the oldest
sailor 10. Count the number of sailors 11. Find the age of the youngest sailor for each rating
level
ChatGPT
ChatGPT
Here are the relational algebra expressions for each of the queries:

1. Find the sids of sailors with age over 20 who have not reserved a red boat.
luaCopy code
π< sub >sid</ sub >(σ< sub >age > 20 AND NOT
EXISTS(π< sub >sid</ sub >(σ< sub >color = 'red' </ sub >(BOATS) ⨝ RESERVES)))
2. Find the name of the sailors who have reserved at least two boats.
phpCopy code
π<sub>sname</sub>((π<sub>sid, COUNT(bid)</sub>(RESERVES) ÷
ρ<sub>temp(sid, count)</sub>((π<sub>sid, COUNT(bid)</sub>(RESERVES)) -
π<sub>sid, 1</sub>((π<sub>sid, COUNT(bid)</sub>(RESERVES)))) ⨝ SAILORS))
3. Find the names of sailors who have reserved a red or a green boat.
luaCopy code
π< sub >sname</ sub >(π< sub >sid</ sub >(σ< sub >color = 'red' OR color =
'green' </ sub >(BOATS) ⨝ RESERVES ⨝ SAILORS))
4. Find the colors of boats reserved by “Rajesh”.
luaCopy code
π< sub >color</ sub >(σ< sub >sname = 'Rajesh' </ sub >(RESERVES ⨝ BOATS))
5. Find the name of the sailors who have reserved boat 103.
luaCopy code
π< sub >sname</ sub >(σ< sub >bid = 103 </ sub >(RESERVES ⨝ SAILORS))
6. Find the sailors with the highest rating.
luaCopy code
π< sub >sid, sname, rating, age</ sub >(σ< sub >rating =
(π< sub >rating</ sub >(SAILORS))</ sub >(SAILORS))
7. Find the average age of all sailors.
luaCopy code
AVG(π< sub >age</ sub >(SAILORS))
8. Find the average age of sailors with a rating of 10.
luaCopy code
AVG(π< sub >age</ sub >(σ< sub >rating = 10 </ sub >(SAILORS)))
9. Find the name and age of the oldest sailor.
luaCopy code
π< sub >sname, age</ sub >(σ< sub >age = MAX(age)</ sub >(SAILORS))
10. Count the number of sailors.
scssCopy code
COUNT (SAILORS)
11. Find the age of the youngest sailor for each rating level.
scssCopy code
π<sub>rating, MIN (age)</sub>(SAILORS)

These relational algebra expressions should help you solve the given queries.

You
Specify the following queries on the Flight relational database schema using relational
algebra 1.Find the eids of pilots certified for some Boeing aircraft. 2. Find the names of pilots
certified for some Boeing aircraft. 3. Find the aids of all aircraft that can be used on non-stop
flights from Bonn to Madras. 4. Identify the flights that can be piloted by every pilot whose
salary is more than $100,000. 5. Find the names of pilots who can operate planes with a range
greater than 3,000 miles but are not certified on any Boeing aircraft. 6. Find the eids of
employees who make the highest salary. 7. Find the eids of employees who make the second
highest salary. 8. Find the eids of employees who are certified for the largest number of
aircraft. 9. Find the eids of employees who are certified for exactly three aircraft. 10. Find the
total amount paid to employees as salaries
ChatGPT
ChatGPT
Here are the relational algebra expressions for each of the queries:

1. Find the eids of pilots certified for some Boeing aircraft.


luaCopy code
π< sub >eid</ sub >(σ< sub > type = 'pilot' AND exists(σ< sub >aid = aid AND
make = 'Boeing' </ sub >(CERTIFIED)))
2. Find the names of pilots certified for some Boeing aircraft.
luaCopy code
π< sub >name</ sub >((σ< sub > type = 'pilot' AND exists(σ< sub >aid = aid AND
make = 'Boeing' </ sub >(CERTIFIED))) ⨝ EMPLOYEES)
3. Find the aids of all aircraft that can be used on non-stop flights from Bonn to Madras.
luaCopy code
π< sub >aid</ sub >((σ< sub >departure = 'Bonn' AND destination = 'Madras'
AND stop = 0 </ sub >(FLIGHTS)) ⨝ FLIGHTS)
4. Identify the flights that can be piloted by every pilot whose salary is more than
$100,000.
phpCopy code
π<sub>fid</sub>(FLIGHTS) - π<sub>fid</sub>((π<sub>fid</sub>(FLIGHTS)) -
π<sub>fid</sub>((σ<sub>salary > 100000</sub>(EMPLOYEES) ⨝ CERTIFIED) ÷
π<sub>eid</sub>(σ<sub>salary > 100000</sub>(EMPLOYEES))))
5. Find the names of pilots who can operate planes with a range greater than 3,000 miles
but are not certified on any Boeing aircraft.
luaCopy code
π< sub >name</ sub >((σ< sub >range > 3000 </ sub >(AIRCRAFT) -
π< sub >aid</ sub >(σ< sub >make = 'Boeing' </ sub >(AIRCRAFT))) ⨝ CERTIFIED
⨝ EMPLOYEES)
6. Find the eids of employees who make the highest salary.
luaCopy code
π< sub >eid</ sub >(σ< sub >salary = MAX(salary)</ sub >(EMPLOYEES))
7. Find the eids of employees who make the second highest salary.
luaCopy code
π< sub >eid</ sub >((σ< sub >salary = (MAX(salary) - 1 )</ sub >(EMPLOYEES)))
8. Find the eids of employees who are certified for the largest number of aircraft.
luaCopy code
π< sub >eid</ sub >(σ< sub >count = MAX(count)</ sub >(π< sub >eid,
COUNT(aid)</ sub >(CERTIFIED)))
9. Find the eids of employees who are certified for exactly three aircraft.
luaCopy code
π< sub >eid</ sub >(σ< sub >count = 3 </ sub >(π< sub >eid,
COUNT(aid)</ sub >(CERTIFIED)))
10. Find the total amount paid to employees as salaries.
scssCopy code
SUM (salary)

These relational algebra expressions should help you solve the given queries on the Flight
relational database schema.

You
4 Solve the following queries on the Company relational database schema using the relational
algebra operators. EMPLOYEE(name,ssn,salary,sex,superssn,address,dno)
DEPARTMENT(Dname,Dnumber,MGRSSN) DEPT_LOCATIONS ( Dnumber, Dloc)
PROJECT(Pname, Pnumber,Plocation,Dnum) WORKS_ON(ESSN,PNO,Hours)
DEPENDENT(ESSN, DEPE_Name, Address,Relationship,sex) I. Find the names of
employees who work on all the projects controlled by dept no 5. II. Retrieve the name and
address of all employees who work for the sports department. III. . For every project located
in ‘Bangalore’, retrieve the project number, department number, department manager’s name,
address and salary. IV. Retrieve the names of employees who do not have dependents. V.
Find the names of all employees who are directly supervised by ‘Ram’
ChatGPT
ChatGPT
Here are the relational algebra expressions for each of the queries:

I. Find the names of employees who work on all the projects controlled by dept no 5.
luaCopy code
π< sub >name</ sub >(EMPLOYEE) - π< sub >name</ sub >(σ< sub >Dnumber =
5 </ sub >((PROJECT ⨝ DEPARTMENT) ⨝ WORKS_ON ⨝ EMPLOYEE))

II. Retrieve the name and address of all employees who work for the sports department.

luaCopy code
π< sub >name, address</ sub >((σ< sub >Dname = 'Sports' </ sub >(DEPARTMENT) ⨝
EMPLOYEE))

III. For every project located in ‘Bangalore’, retrieve the project number, department number,
department manager’s name, address, and salary.

luaCopy code
π< sub >Pnumber, Dnum, MGR_name, address, salary</ sub >((σ< sub >Plocation =
'Bangalore' </ sub >(PROJECT) ⨝ DEPARTMENT ⨝ EMPLOYEE))

IV. Retrieve the names of employees who do not have dependents.

luaCopy code
π< sub >name</ sub >(EMPLOYEE) - π< sub >name</ sub >(DEPENDENT)

V. Find the names of all employees who are directly supervised by ‘Ram’.

luaCopy code
π< sub >name</ sub >((σ< sub >name = 'Ram' </ sub >(EMPLOYEE)) ⨝ EMPLOYEE)

These relational algebra expressions should help you solve the given queries on the Company
relational database schema.

You
. Consider the following schema for a Library Database: BOOK (Book_id, Title,
Publisher_Name, Pub_Year) BOOK_AUTHORS (Book_id, Author_Name) PUBLISHER
(Name, Address, Phone) BOOK_COPIES (Book_id, Branch_id, No-of_Copies)
BOOK_LENDING (Book_id, Branch_id, Card_No, Date_Out, Due_Date)
LIBRARY_BRANCH (Branch_id, Branch_Name, Address) Write relational algebra queries
for the following 1. Retrieve details of all books in the library – id, title, name of publisher,
authors, number of copies in each branch, etc. 2. Get the particulars of borrowers who have
borrowed more than 3 books, but from Jan 2017 to Jun 2017 3. Delete a book in BOOK table.
Update the contents of other tables to reflect this data manipulation operation. 4. Partition the
BOOK table based on year of publication. Demonstrate its working with a simple query. 5.
Create a view of all books and its number of copies that are currently available in the Library.
ChatGPT
ChatGPT
Here are the relational algebra expressions for each of the queries:

1. Retrieve details of all books in the library – id, title, name of publisher, authors,
number of copies in each branch, etc.
luaCopy code
BOOK ⨝ (π< sub >Book_id, Publisher_Name, Title</ sub >(BOOK) ⨝ PUBLISHER) ⨝
(BOOK_AUTHORS ⨝ π< sub >Author_Name</ sub >(BOOK_AUTHORS)) ⨝
(BOOK_COPIES ⨝ π< sub >No-of-Copies</ sub >(BOOK_COPIES))
2. Get the particulars of borrowers who have borrowed more than 3 books, but from Jan
2017 to Jun 2017
luaCopy code
π< sub >Card_No</ sub >(σ< sub >Date_Out >= '2017-01-01' AND Date_Out <=
'2017-06-30' </ sub >(BOOK_LENDING) ⨝ π< sub >Card_No,
COUNT(Book_id)</ sub >(σ< sub >Date_Out >= '2017-01-01' AND Date_Out <=
'2017-06-30' </ sub >(BOOK_LENDING) ⨝ BOOK_LENDING) ⨝ (BOOK_LENDING ⨝
π< sub >Card_No</ sub >(σ< sub >Date_Out >= '2017-01-01' AND Date_Out <=
'2017-06-30' </ sub >(BOOK_LENDING)))
3. Delete a book in BOOK table. Update the contents of other tables to reflect this data
manipulation operation.
sqlCopy code
DELETE FROM BOOK WHERE Book_id = 'desired_id' ; DELETE FROM
BOOK_AUTHORS WHERE Book_id = 'desired_id' ; DELETE FROM BOOK_COPIES
WHERE Book_id = 'desired_id' ; DELETE FROM BOOK_LENDING WHERE Book_id
= 'desired_id' ;
4. Partition the BOOK table based on year of publication. Demonstrate its working with
a simple query.
luaCopy code
σ< sub >Pub_Year = '2017' </ sub >(BOOK)
5. Create a view of all books and its number of copies that are currently available in the
Library.
sqlCopy code
CREATE VIEW Available_Books AS SELECT BOOK.Book_id, Title, Publisher_Name,
Author_Name, No-of- Copies FROM BOOK JOIN BOOK_COPIES ON BOOK.Book_id
= BOOK_COPIES.Book_id;

These relational algebra expressions should help you solve the given queries on the Library
Database schema.

You
Specify the following queries on the COMPANY relational database schema using Relational
algebra. Employee (ssn, name, salary, sex, super_ssn, address, dno) Department (dname,
dnumber,mgr_ssn) Dept_Loc ( dnumber, dloc) Project (pname, pnumber, plocation, dnum)
Works_On (essn, pno, hours) Dependent (essn, depen_name, address, relationship, sex) i)
Retrieve the name and address of all employees who work for ‘HR’ department. ii) Retrieve
the name and address of all employees who have no dependents iii) For every project located
in ‘Stafford’, list the project number, controlling department number, department manager’s
name and address. iv) Retrieve the average salary of all female employees. v) Retrieve names
of employees who work on any of the projects that ‘John’ works.
ChatGPT
ChatGPT
Here are the relational algebra expressions for each of the queries:
i) Retrieve the name and address of all employees who work for ‘HR’ department.

luaCopy code
π< sub >name, address</ sub >((σ< sub >dname = 'HR' </ sub >(Department) ⨝
Employee))

ii) Retrieve the name and address of all employees who have no dependents.

luaCopy code
π< sub >name, address</ sub >(Employee) - π< sub >name, address</ sub >(Dependent
⨝ Employee)

iii) For every project located in ‘Stafford’, list the project number, controlling department
number, department manager’s name, and address.

luaCopy code
π< sub >pnumber, dnum, mgr_name, address</ sub >((σ< sub >plocation =
'Stafford' </ sub >(Project) ⨝ Department ⨝ Employee))

iv) Retrieve the average salary of all female employees.

luaCopy code
AVG(σ< sub >sex = 'female' </ sub >(Employee))

v) Retrieve names of employees who work on any of the projects that ‘John’ works.

luaCopy code
π< sub >name</ sub >((σ< sub >essn = ssn AND name = 'John' </ sub >(Employee)) ⨝
Works_On ⨝ Employee)

These relational algebra expressions should help you retrieve the specified information from
the COMPANY relational database schema.

You might also like