KEMBAR78
Dielectric Tutorial | PDF | Dielectric | Physical Quantities
0% found this document useful (0 votes)
16 views9 pages

Dielectric Tutorial

The document contains a series of tutorials on dielectrics, covering calculations related to dielectric constants, electronic polarizability, and induced dipole moments in various materials. It includes specific problems and solutions involving helium, hydrogen, argon, and other dielectric materials under different conditions. The document also discusses the relationships between electric fields, polarization, and material properties using relevant equations.

Uploaded by

santu.baidya
Copyright
© © All Rights Reserved
We take content rights seriously. If you suspect this is your content, claim it here.
Available Formats
Download as PDF, TXT or read online on Scribd
0% found this document useful (0 votes)
16 views9 pages

Dielectric Tutorial

The document contains a series of tutorials on dielectrics, covering calculations related to dielectric constants, electronic polarizability, and induced dipole moments in various materials. It includes specific problems and solutions involving helium, hydrogen, argon, and other dielectric materials under different conditions. The document also discusses the relationships between electric fields, polarization, and material properties using relevant equations.

Uploaded by

santu.baidya
Copyright
© © All Rights Reserved
We take content rights seriously. If you suspect this is your content, claim it here.
Available Formats
Download as PDF, TXT or read online on Scribd
You are on page 1/ 9

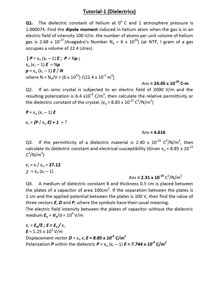
Tutorial-1 (Dielectrics)

Q1. The dielectric constant of helium at 0o C and 1 atmosphere pressure is


1.000074. Find the dipole moment induced in helium atom when the gas is in an
electric field of intensity 100 V/m. the number of atoms per unit volume of helium
gas is 2.68 x 10-27.(Avagadro’s Number Na = 6 x 1023) (at NTP, I gram of a gas
occupies a volume of 22.4 Litres)
[ P = εo (εr – 1) E ; P = Np ;
εo (εr – 1) E = Np
p = εo (εr – 1) E / N
where N = Na/V = (6 x 1023) /(22.4 x 10-3 m3]
Ans = 24.45 x 10-40 C-m
Q2. If an ionic crystal is subjected to an electric field of 2000 V/m and the
resulting polarization is 6.4 x10-8 C/m2, then calculate the relative permittivity or
the dielectric constant of the crystal. (εo = 8.85 x 10-12 C2/N/m2)
P = εo (εr – 1) E
εr = (P / εo E) + 1 = ?
Ans = 4.616
Q3. If the permittivity of a dielectric material is 2.40 x 10-10 C2/N/m2, then
calculate its dielectric constant and electrical susceptibility (Given εo = 8.85 x 10-12
C2/N/m2)
εr = ε / εo = 27.12
𝜒 = εo (εr – 1)
Ans = 2.31 x 10-10 C2/N/m2
Q4. A medium of dielectric constant 8 and thickness 0.5 cm is placed between
the plates of a capacitor of area 100cm2. If the separation between the plates is
1 cm and the applied potential between the plates is 100 V, then find the value of
three vectors E, D and P, where the symbols have their usual meaning.
The electric field intensity between the plates of capacitor without the dielectric
medium Eo = Vo/d = 104 V/m
εr = Eo/E ; E = Eo / εr
E = 1.25 x 103 V/m
Displacement vector D = εo εr E = 8.85 x 10-8 C/m2
Polarization P within the dielectric P = εo (εr – 1) E = 7.744 x 10-8 C/m2
Tutorial-2
Q1. If the radius of hydrogen atom is 0.055 nm, then calculate the electronic
polarizability and the relative permittivity. Given the number of atoms in
hydrogen gas is 9.8 x 1026atoms/m3. (εo = 8.85 x 10-12 C2/N/m2)
αe = 4πεoR3 = 1.849 x 10-41 Fm2
αe = 4πεoR3 = εo(εr – 1)/N; P = NαeE = εo(εr – 1)E
εr = 1 + 4πNR3 = 1.002048

Q2. A dielectric material with density 4 x 1028 atoms/m3 exhibits an electronic


polarizability of 2 x 10-40 Fm2. Calculate the dielectric constant of the material.
P = NαeE = εo(εr – 1)E
αe = εo(εr – 1)/N
or Nαe / εo = (εr – 1)
εr = 1 + (Nαe / εo )
εr = 1.90395
Q3. The relative permittivity of argon at 0oC and one atmosphere pressure is
1.000435. Calculate its electronic polarizability. Given that N=2.7 x 1025 atoms/m3.
αe = εo(εr – 1)/N = 1.426 x 10-40 Fm2
Q4. Argon gas contains 2.7 x 1025atoms/m3 at 0oC and at one atmospheric
pressure. Find out the dielectric constant of argon at this temperature. It is given
that the diameter of argon atom is 0.384 nm.
εr = 1 + 4πNR3 = 1.01920
Q5. Calculate the induced dipole moment per unit volume , i.e. polarization of
helium gas if it is placed in a field of 6 x 105 V/m. the atomic polarizability of He is
0.18 x 10-40 Fm2 and the concentration of atoms is 2.6 x 1025 atoms/m3. Also
calculate the separation between the positive and negative charges in each atom.
P = NαeE = 2.81 x 10-10 C/m2; Dipole moment µ = αeE = qx : x = µ/q = µ/2e =
0.3375 x 10-17 m
P = Nµ =N (qx) ; q =Ze = 2e (Z = 2 for He)
X = P/Nq = 0.3375 x 10-17 m = 3.375 x 10-16 m
Q1. If the radius of hydrogen atom is 0.055 nm, then calculate the electronic
polarizability and the relative permittivity. Given the number of atoms in
hydrogen gas is 9.8 x 1026atoms/m3. (εo = 8.85 x 10-12 C2/N/m2)
αe = 4πεoR3 = 1.849 x 10-41 Fm2
αe = 4πεoR3 = εo(εr – 1)/N; P = NαeE = εo(εr – 1)E
εr = 1 + 4πNR3 = 1.002048
Q2. A dielectric material with density 4 x 1028 atoms/m3 exhibits an electronic
polarizability of 2 x 10-40 Fm2. Calculate the dielectric constant of the material.
P = NαeE = εo(εr – 1)E
αe = εo(εr – 1)/N
Nαe / εo = (εr – 1)
εr = 1 + (Nαe / εo ) = 1.90395
Q3. The relative permittivity of argon at 0oC and one atmosphere pressure is
1.000435. Calculate its electronic polarizability. Given that N=2.7 x 1025 atoms/m3.
αe = εo(εr – 1)/N Ans: 1.426 x 10-40 Fm2
Q4. Argon gas contains 2.7x1025atoms/m3 at 0oC and at one atmospheric
pressure. Find out the dielectric constant of argon at this temperature. It is given
that the diameter of argon atom is 0.384 nm.
Ans: 1.01920
Q5. Calculate the induced dipole moment per unit volume , i.e. polarization of
helium gas if it is placed in a field of 6 x 105 V/m. the atomic polarizability of He is
0.18 x 1040 Fm2 and the concentration of atoms is 2.6x1025 atoms/m3. Also
calculate the separation between the positive and negative charges in each atom.
P = NαeE = 2.8 x 10-10 C/m2
αe = 4πεox3
x3 = αe / 4πεo
x = 0.545 Å
Tutorial-3 (Dielectrics)
Q1. If the dielectric sample has its dielectric constant 4 and refractive index
1.5, then calculate the ratio of its electronic and ionic polarizabilities.
εr = 4 and n = 1.5
From the Clausius –Mosotti equation
At low frequencies ,
(εr – 1)/ (εr + 2) = Nα / 3εo ; where α = αe + αi (since αo is very small)
(εr – 1)/ (εr + 2) = N(αe + αi) / 3εo or ½ = N(αe + αi) / 3εo
At high frequencies using the Lorentz-Lorenz relation with εr = n2 and α = αe
(n2 – 1)/ (n2+ 2) = Nαe / 3εo or 1.25/4.25 = Nαe / 3εo
(αe + αi)/ αe =(1/2)x (4.25/1.25) = 1.7
1 + αi/ αe =1.7
αi/ αe =0.7

αe / αi = 1/ 0.7 = 1.43

Q2. A dielectric material has dielectric constant εr = 5 and the square of the
refractive index is n2 = 2.50. Calculate the ratio of electronic to ionic
polarizability αe / αi for this material. Ans αe / αi =1.397

Q3. When NH3 molecules are used as dielectric material, then its total
polarizability varies from 2.5 x 10-39 Fm2 to 1.75 x 10-39 Fm2, when its temperature
changes from 300 K to 600 K. calculate the deformation polarizability and the
orientational polarizability.
Total polarizability is given by Langevin Debye Equation
α = αd + αo ; where αd is the deformation polarizability and αo is the
orientational polarizability

Since αo = µ2/3kBT = b/T ; where b is constant for a particular dielectric


material.
At a temperature of 300 K

α300 = αd + αo = αd + b/300 = 2.5 x 10-39


α300 = αd + b/300 = 2.5 x 10-39 (1)

α300 = αd + 4.5 x 10-37/300 = αd + 1.5 x 10-39 = 2.5 x 10-39


α300 = αd + 4.5 x 10-39/3 = αd + 1.5 x 10-39 = 2.5 x 10-39
αd = 2.5 x 10-39 - 1.5 x 10-39 = 1.0 x 10-39 Fm2
At a temperature of 600 K
α600 = αd + αo = αd + b/600 = 1.75 x 10-39
α600 = αd + b/600 = 1.75 x 10-39 (2)
Solving equations (1) and (2)
b = 4.5 x 10-37 Fm2

αd = 1.0 x 10-39 Fm2


(αo) 300 K = b/T = 4.5 x 10-37/ 300 = 1.5 x 10-39 Fm2
(αo) 600 K = b/T = 4.5 x 10-37/ 600 = 0.75 x 10-39 Fm2

Q4. A solid dielectric material has 4 x 1028 atoms per unit volume. If it shows an
electronic polarizability of 1.5 x 10-40 Fm2, then calculate the dielectric constant of
the material.
Tutorial-3 (Dielectrics)
Q1. If the dielectric sample has its dielectric constant 4 and refractive index
1.5, then calculate the ratio of its electronic and ionic polarizabilities.
εr = 4 and n = 1.5
From the Clausius –Mosotti equation
At low frequencies ,
(εr – 1)/ (εr + 2) = Nα / 3εo ; where α = αe + αi (since αo is very small)
At high frequencies using the Lorentz-Lorenz relation with εr = n2 and α = αe

Q2. A dielectric material has dielectric constant εr = 5 and the square of the
refractive index is n2 = 2.50. Calculate the ratio of electronic to ionic
polarizability αe / αi for this material. Ans αe / αi =1.397

Q3. When NH3 molecules are used as dielectric material, then its total
polarizability varies from 2.5 x 10-39 Fm2 to 1.75 x 10-39 Fm2, when its temperature
changes from 300 K to 600 K. calculate the deformation polarizability and the
orientational polarizability.

Total polarizability is given by Langevin Debye Equation


α = αd + αo ; where αd is the deformation polarizability and αo is the
orientational polarizability

Since αo = µ2/3kBT = b/T ; where b is constant for a particular dielectric


material.
Tutorial-4
Q4. A parallel plate capacitor has an area 20cm2 and separation between the
plates 0.2 mm. The space between the plates is filled with a dielectric having the
real part of the dielectric constant εr’ = 2.5 when subjected to an alternating
voltage of 2 Volts at 1 MHz. The loss tangent at this frequency is 4 x10-4.
Find the elements of an equivalent (i) parallel R-C circuit and (ii) series R-C circuit.
εr’ = 2.5
ω = 2πν = 2π x 106 Hz
and tan δ = εr’’/ εr’ = 4 x10-4
εr’’ = εr’ tanδ = 4 x10-4 x 2.5 = 10-3
For a parallel RC circuit

Rp = d/( ω εo εr’’A) = 1.8 x 106 Ω


Cp = (A εo εr) /d = 221.4 x 10-12 f = 221.4 µµf
For a series RC circuit

RS = 1/( ω2Cp2Rp) = 0.287 Ω


CS = 1/ ω (RpRs)1/2 = 221.4 x 10-12 f = 221.4 µµf

Q5. The variations of dielectric constant of methyl amine CH5N, as a function of


temperature are plotted in the figure. Calculate the permanent dipole moment
and the polarizability of molecules. Number of molecules/m3 may be assumed to
be 2.5 x 1025.

0.003

(εr – 1) Slope = 0.6 K -1


0.001
0.0008

0 0.001 0.002 0.003


1/T [K-1]

P = εo (εr – 1) E = N(αe + αi) E


εo (εr – 1) = N(αe + αi)
(αe + αi) = εo (εr – 1) / N = 2.84 x 10-40 Fm2
Dipolar polarizability = µo2/3kBT
P = εo (εr – 1) E = NαoE
εo (εr – 1) = Nαo
2
εo (εr – 1) = N µo /3kBT

T (εr – 1) = N µo2/3kB εo
2
(εr – 1) / (1/ T) = N µo /3kB εo

Slope = N µo2/3kB εo
µo2 = (3 x slope x kB x εo )/N (kB = 1.38 x 10-23 J/K in SI)
(εo = 8.85 x 10-12 F/m)
µo2 = 8.8 x 10-60 C-m
µo = 2.97 x 10-30 C-m

Q6. Calculate the individual dipole moment of a molecule of carbon


tetrachloride with the following data. Also find the average electron
displacement
Relative permittivity εr = 2.24
Density ρ = 1.6 x 103 kg/m3
Molecular weight M = 156
Applied electric field = 107 Volt/meter
Avogadro Number NA = 6.02 x 1023
No. of Molecules per unit volume = N = NA x ρ/M = (6.02 x 1026 x 1.6 x 103)/ 156 =
6.17 x 1027 molecules/m3
Polarization P = εo (εr – 1) E = N µo

µo = P/N = εo (εr – 1) E / N = 1.77 x 10-32 C-m


µo = Ze(x)
x = µo / Ze = 1.5 x 10-15 m (Z = 74, e = 1.6 x 10-19 C)
Q. An atom of oxygen on being polarized produces a dipole moment of
0.5 x 10-22 C-m. If the distance of the centre of the negative charge cloud from the
nucleus be 4 x 10-17 m, calculate the polarizability of the oxygen atom.
In equilibrium both the Lorentz force and the coulomb interaction will be equal
ZeE = (Ze)(Ze)/ 4πεod2 (Z = 8 for oxygen)
E = 8e/ 4πεod2 = 2.6 x 1024 Volt/meter
Dipole moment µ = α E
Polarizability α = µ / E = 1.9 x 10-45 Fm2

You might also like