KEMBAR78
ConLaw FlowChart | PDF | Due Process Clause | Contract Clause
82% found this document useful (17 votes)
8K views2 pages

ConLaw FlowChart

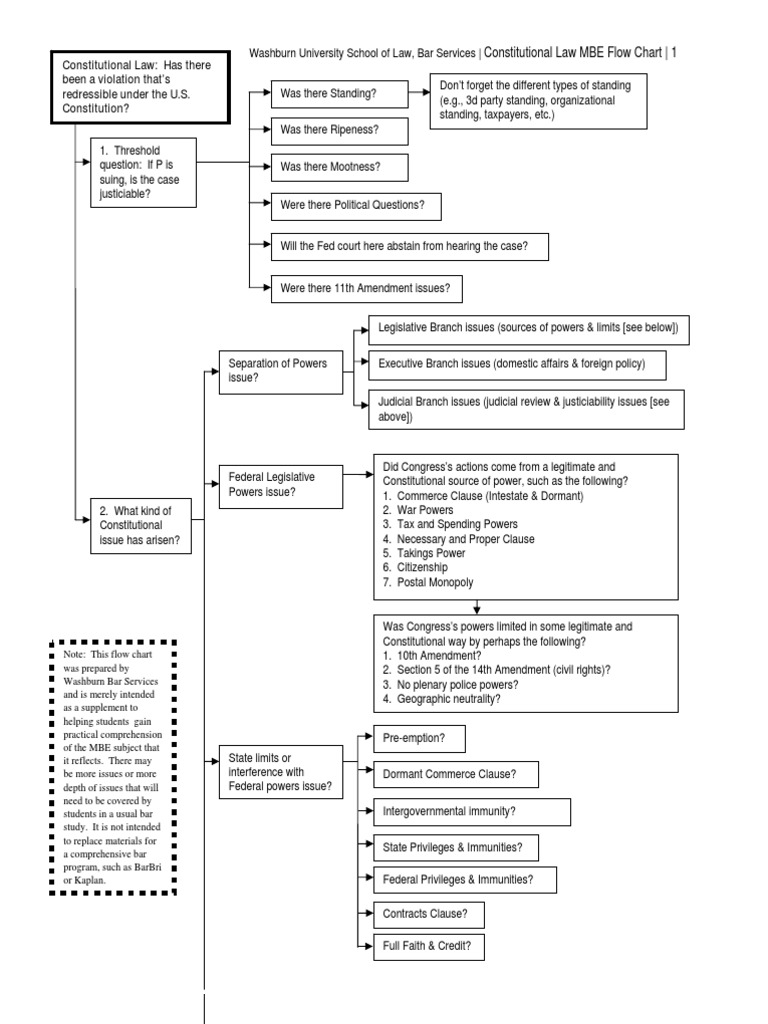
This document provides a flow chart to analyze potential constitutional law issues on the Multistate Bar Exam (MBE). It outlines threshold questions about justiciability and jurisdiction. It then examines potential issues regarding federal legislative powers, limits on those powers, and state interference with federal powers. Finally, it addresses potential individual rights issues under the First Amendment and other amendments. The flow chart is intended as a supplement to bar exam study materials.

Uploaded by

Aisha Lesley
Copyright
© Attribution Non-Commercial (BY-NC)
We take content rights seriously. If you suspect this is your content, claim it here.
Available Formats
Download as PDF, TXT or read online on Scribd
82% found this document useful (17 votes)
8K views2 pages

ConLaw FlowChart

This document provides a flow chart to analyze potential constitutional law issues on the Multistate Bar Exam (MBE). It outlines threshold questions about justiciability and jurisdiction. It then examines potential issues regarding federal legislative powers, limits on those powers, and state interference with federal powers. Finally, it addresses potential individual rights issues under the First Amendment and other amendments. The flow chart is intended as a supplement to bar exam study materials.

Uploaded by

Aisha Lesley
Copyright
© Attribution Non-Commercial (BY-NC)
We take content rights seriously. If you suspect this is your content, claim it here.
Available Formats
Download as PDF, TXT or read online on Scribd
You are on page 1/ 2

Constitutional Law: Has there been a violation thats redressible under the U.S. Constitution? 1.

Threshold question: If P is suing, is the case justiciable?

Washburn University School of Law, Bar Services | Constitutional Law MBE Flow Chart | 1 Was there Standing? Was there Ripeness? Was there Mootness? Were there Political Questions? Will the Fed court here abstain from hearing the case? Were there 11th Amendment issues? Legislative Branch issues (sources of powers & limits [see below]) Separation of Powers issue? Executive Branch issues (domestic affairs & foreign policy) Judicial Branch issues (judicial review & justiciability issues [see above]) Dont forget the different types of standing (e.g., 3d party standing, organizational standing, taxpayers, etc.)

Federal Legislative Powers issue? 2. What kind of Constitutional issue has arisen?

Did Congresss actions come from a legitimate and Constitutional source of power, such as the following? 1. Commerce Clause (Intestate & Dormant) 2. War Powers 3. Tax and Spending Powers 4. Necessary and Proper Clause 5. Takings Power 6. Citizenship 7. Postal Monopoly Was Congresss powers limited in some legitimate and Constitutional way by perhaps the following? 1. 10th Amendment? 2. Section 5 of the 14th Amendment (civil rights)? 3. No plenary police powers? 4. Geographic neutrality? Pre-emption?

Note: This flow chart was prepared by Washburn Bar Services and is merely intended as a supplement to helping students gain practical comprehension of the MBE subject that it reflects. There may be more issues or more depth of issues that will need to be covered by students in a usual bar study. It is not intended to replace materials for a comprehensive bar program, such as BarBri or Kaplan.

State limits or interference with Federal powers issue?

Dormant Commerce Clause? Intergovernmental immunity? State Privileges & Immunities? Federal Privileges & Immunities? Contracts Clause? Full Faith & Credit?

Washburn University School of Law, Bar Services | Constitutional Law MBE Flow Chart | 2 Content based regulations (including defamation) Content neutral regulations Prior Restraints Privacy 1st Amendment issues Reasonableness (vagueness & overbreadth, etc) Free Exercise Always analyze first if there was state action. Then move onto the constitutional issues involving individual rights. Religion Establishment Clause Press Association

Speech

Individual rights issue?

Equal Protection

Know the scrutiny tests and what kind of violations will trigger what corresponding test. For instance, discrimination based on race will trigger strict scrutiny.

Note: This flow chart was prepared by Washburn Bar Services and is merely intended as a supplement to helping students gain practical comprehension of the MBE subject that it reflects. There may be more issues or more depth of issues that will need to be covered by students in a usual bar study. It is not intended to replace materials for a comprehensive bar program, such as BarBri or Kaplan.

Substantive Due Process

Know the scrutiny tests and what kind of rights violations will trigger what corresponding test. For instance, right to vote will always trigger strict strutiny.

Procedural Due Process

Takings Ex post facto laws Retroactive legislation Contracts Clause Bills of Attainder

You might also like