KEMBAR78
Class 12 Notes 1 | PDF | Html Element | Computer Virus
100% found this document useful (1 vote)
2K views15 pages

Class 12 Notes 1

The document discusses different types of computer networks. It describes that a network allows for resource sharing, reliability through redundancy, and cost savings through shared use of files and devices. The key components of a network include nodes or workstations, servers, and network interface units. Different network topologies such as bus, ring, and star are covered along with their advantages and disadvantages. Transmission media like twisted pair cables, coaxial cables, and optical fibers are also discussed.

Uploaded by

subhash varghese
Copyright
© Attribution Non-Commercial (BY-NC)
We take content rights seriously. If you suspect this is your content, claim it here.
Available Formats
Download as PDF, TXT or read online on Scribd
100% found this document useful (1 vote)
2K views15 pages

Class 12 Notes 1

The document discusses different types of computer networks. It describes that a network allows for resource sharing, reliability through redundancy, and cost savings through shared use of files and devices. The key components of a network include nodes or workstations, servers, and network interface units. Different network topologies such as bus, ring, and star are covered along with their advantages and disadvantages. Transmission media like twisted pair cables, coaxial cables, and optical fibers are also discussed.

Uploaded by

subhash varghese
Copyright
© Attribution Non-Commercial (BY-NC)
We take content rights seriously. If you suspect this is your content, claim it here.
Available Formats
Download as PDF, TXT or read online on Scribd
You are on page 1/ 15

1|Page

subhashv1224@gmail.com

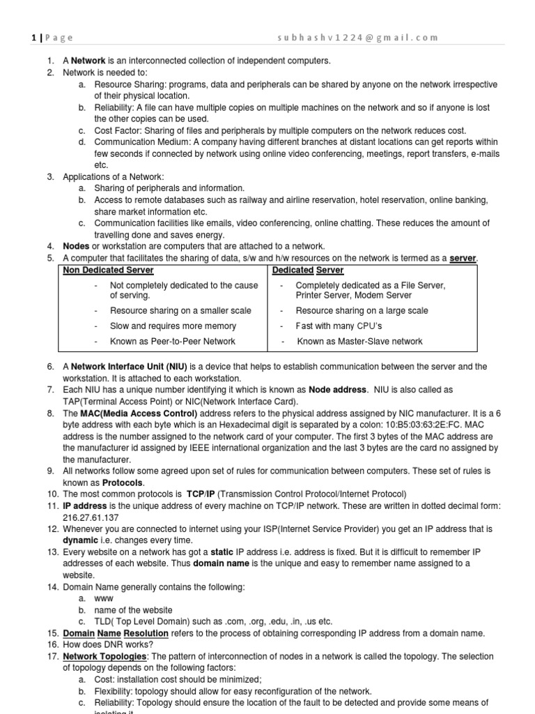
1. A Network is an interconnected collection of independent computers. 2. Network is needed to: a. Resource Sharing: programs, data and peripherals can be shared by anyone on the network irrespective of their physical location. b. Reliability: A file can have multiple copies on multiple machines on the network and so if anyone is lost the other copies can be used. c. Cost Factor: Sharing of files and peripherals by multiple computers on the network reduces cost. d. Communication Medium: A company having different branches at distant locations can get reports within few seconds if connected by network using online video conferencing, meetings, report transfers, e-mails etc. 3. Applications of a Network: a. Sharing of peripherals and information. b. Access to remote databases such as railway and airline reservation, hotel reservation, online banking, share market information etc. c. Communication facilities like emails, video conferencing, online chatting. These reduces the amount of travelling done and saves energy. 4. Nodes or workstation are computers that are attached to a network. 5. A computer that facilitates the sharing of data, s/w and h/w resources on the network is termed as a server. Non Dedicated Server Dedicated Server Not completely dedicated to the cause of serving. Resource sharing on a smaller scale Slow and requires more memory Known as Peer-to-Peer Network Completely dedicated as a File Server, Printer Server, Modem Server Resource sharing on a large scale Fast with many CPUs Known as Master-Slave network

6. A Network Interface Unit (NIU) is a device that helps to establish communication between the server and the workstation. It is attached to each workstation. 7. Each NIU has a unique number identifying it which is known as Node address. NIU is also called as TAP(Terminal Access Point) or NIC(Network Interface Card). 8. The MAC(Media Access Control) address refers to the physical address assigned by NIC manufacturer. It is a 6 byte address with each byte which is an Hexadecimal digit is separated by a colon: 10:B5:03:63:2E:FC. MAC address is the number assigned to the network card of your computer. The first 3 bytes of the MAC address are the manufacturer id assigned by IEEE international organization and the last 3 bytes are the card no assigned by the manufacturer. 9. All networks follow some agreed upon set of rules for communication between computers. These set of rules is known as Protocols. 10. The most common protocols is TCP/IP (Transmission Control Protocol/Internet Protocol) 11. IP address is the unique address of every machine on TCP/IP network. These are written in dotted decimal form: 216.27.61.137 12. Whenever you are connected to internet using your ISP(Internet Service Provider) you get an IP address that is dynamic i.e. changes every time. 13. Every website on a network has got a static IP address i.e. address is fixed. But it is difficult to remember IP addresses of each website. Thus domain name is the unique and easy to remember name assigned to a website. 14. Domain Name generally contains the following: a. www b. name of the website c. TLD( Top Level Domain) such as .com, .org, .edu, .in, .us etc. 15. Domain Name Resolution refers to the process of obtaining corresponding IP address from a domain name. 16. How does DNR works? 17. Network Topologies: The pattern of interconnection of nodes in a network is called the topology. The selection of topology depends on the following factors: a. Cost: installation cost should be minimized; b. Flexibility: topology should allow for easy reconfiguration of the network. c. Reliability: Topology should ensure the location of the fault to be detected and provide some means of isolating it. 18. Repeaters are used to amplify a signal being transmitted on the network. 19. Bus or Linear Topology: In linear bus topology, all computers are connected by a single length of cabling with a terminator at each end. In this only one computer at a time can send message. a. Advantages: i. This topology is simple and reliable in very small network. It is easy to use and understand. ii. Requires least amount of cabling, therefore less expensive. iii. It is easy to extend a bus with the help of connectors. iv. If any node fails, the network does not go down.

Subhashv1224@gmail.com

Class 12 Notes

2|Page

subhashv1224@gmail.com

b. Disadvantages: i. Heavy network traffic can slow down a bus considerably. ii. Cable break and loose connectors bring down the whole network. iii. Fault diagnosis is very difficult. 20. Ring or Circular Topology: Here, nodes are connected in a circle using cable segments. Each node passes information along to the next, until it arrives at its intended destination. Its an active network because each node transmits what it receives. There is no termination because there is no end to the ring. a. Advantages: i. The sharing of network allows the network to continue function in a useful manner as more users are added. ii. It does not rely on a central host computer for the operation. Thus, entire network remains operational even if one of the computer fails. iii. Low cabling cost. iv. Since traffic on a ring travels in one direction, it is easy to use optical fibers as a medium of transmission. b. Disadvantages: i. Failure of one computer on the ring can affect the whole network. ii. Adding or removing computer disrupts the network. iii. Each node of the ring must handle the data. iv. Network reconfiguration is difficult and fault diagnosis is difficult. v. A node can hear data transmission between two other nodes. 21. Star Topology: In this, each node communicates with a central hub that resends the message either to all the computers or only to the destination computer. These nodes are not linked directly to each other and communicate via the host computer only. Common files and shared programs are stored on host computer. a. Advantage: i. It is easy to modify and add new computers without disturbing the rest of the network. ii. If a node fails, the whole network will not go down. b. Disadvantage: i. If the central hub fails, whole network goes down. ii. It cost more to cable this network and thus expensive. iii. The addition of new node involves a connection all the way to the central node. 22. On the basis of geographical spread, computer network can be classified as: a. Local Area Network b. Metropolitan Area Network c. Wide Area Network d. Personal Area Network Basis LAN WAN MAN 1 2 Stands for Location of computers Scope Local Area Network Located within the same building, office or a campus Small, limited to few kilometers Wide Area Network Are distributed all over the country or the world Large geographical area upto thousands of kilometers Modems, multiplexers, satellite links and other communication devices required Very expensive Lowest data rate Very complex and difficult Metropolitan Area Network Are located within the same city Over an entire city

Connection

No modems or multiplexers required

Modem and telephone lines required

5 6 7

Expensive Data rate Installation

Inexpensive High data rate up to 100 mbps Easy

Less expensive than wan Data rate higher than WAN Easy to install as compared to WAN Errors may occur during data transmission Wholly owned and operated by pvt. Co. or public co.

Errors

Accurate data transmission without any errors Private owned

High possibility of errors

Owner

Utilize public, leased or private communication devices in combination Connection of various branches of a multinational corp.

10

Example

Office whose different deptts are located in the same building

Cable television network or local telephone company

Subhashv1224@gmail.com

Class 12 Notes

3|Page

subhashv1224@gmail.com

23. Transmission Media are connecting cables that connect two or more workstations on the network. 24. Design Factors for Transmission Media a. Bandwidth: All other factors remaining constant, the greater the band-width of a signal, the higher the data rate that can be achieved. b. Transmission impairments. Limit the distance a signal can travel. c. Interference: Competing signals in overlapping frequency bands can distort or wipe out a signal. d. Number of receivers: Each attachment introduces some attenuation and distortion, limiting distance and/or data rate. 25. Guided Transmission Media: Transmission capacity depends on the distance and on whether the medium is point-to-point or multipoint Examples: a. twisted pair wires b. coaxial cables c. optical fiber 26. Twisted Pair Wires: Consists of two insulated copper wires arranged in a regular spiral pattern to minimize the electromagnetic interference between adjacent pairs a. Often used at customer facilities and also over distances to carry voice as well as data communications b. Low frequency transmission medium 27. A special type of twisted pair cable known as CAT5 and CAT6is mostly used in a specific type of LAN namely Ethernet and hence known as Ethernet Cable. 28. Crosstalk is a kind of signal interference where a signal leaks from one wire to another and corrupts the signal and cause network error. i. Twisted Pair Advantages 1. Inexpensive and readily available 2. Flexible and light weight 3. Easy to work with and install ii. Twisted Pair Disadvantages 1. Susceptibility to interference and noise 2. Attenuation problem 3. For analog, repeaters needed every 5-6km 4. For digital, repeaters needed every 2-3km 5. Relatively low bandwidth (3000Hz) 29. Coaxial Cable (or Coax) a. Used for cable television, LANs, telephony b. Has an inner conductor surrounded by a braided mesh c. Both conductors share a common center axial, hence the term co-axial

i. Coax Advantages 1. Higher bandwidth 2. 400 to 600Mhz 3. up to 10,800 voice conversations 4. Can be tapped easily (pros and cons) 5. Much less susceptible to interference than twisted pair ii. Coax Disadvantages 1. High attenuation rate makes it expensive over long distance 2. Bulky 30. Fiber Optic Cable a. Relatively new transmission medium used by telephone companies in place of long-distance trunk lines b. Also used by private companies in implementing local data communications networks c. Require a light source with injection laser diode (ILD) or light-emitting diodes (LED)

Subhashv1224@gmail.com

Class 12 Notes

4|Page

subhashv1224@gmail.com

i. The core i.e. the glass or plastic through which the light travels ii. The cladding, i.e. the covering of the core that reflects light back to the core iii. The protective coating or sheath protects the fiber cable from hostile environment 31. Fiber Optic i. Fiber Optic Advantages 1. greater capacity (bandwidth of up to 2 Gbps) 2. smaller size and lighter weight 3. lower attenuation 4. immunity to environmental interference 5. highly secure due to tap difficulty and lack of signal radiation ii. Fiber Optic Disadvantages 1. expensive over short distance 2. requires highly skilled installers 3. adding additional nodes is difficult Wireless (Unguided Media) Transmission: transmission and reception are achieved by means of an antenna a. directional i. transmitting antenna puts out focused beam ii. transmitter and receiver must be aligned b. omnidirectional i. signal spreads out in all directions ii. can be received by many antennas 1. Wireless Examples a. terrestrial microwave b. satellite microwave c. broadcast radio d. infrared Terrestrial Microwave a. used for long-distance telephone service b. uses radio frequency spectrum, from 2 to 40 Ghz c. parabolic dish transmitter, mounted high d. used by common carriers as well as private networks e. requires unobstructed line of sight between source and receiver f. curvature of the earth requires stations (repeaters) ~30 miles apart Satellite Microwave Applications a. Television distribution b. Long-distance telephone transmission c. Private business networks 1. Microwave Transmission Disadvantages a. line of sight requirement b. expensive towers and repeaters c. subject to interference such as passing airplanes and rain d. bandwidth allocation is limited Satellite Microwave Transmission a. a microwave relay station in space b. can relay signals over long distances c. geostationary satellites i. remain above the equator at a height of 22,300 miles (geosynchronous orbit) ii. travel around the earth in exactly the time the earth takes to rotate Satellite Transmission Links a. earth stations communicate by sending signals to the satellite on an uplink b. the satellite then repeats those signals on a downlink c. the broadcast nature of the downlink makes it attractive for services such as the distribution of television programming

32.

33.

34.

35.

36.

Subhashv1224@gmail.com

Class 12 Notes

5|Page

subhashv1224@gmail.com

37. Satellite Transmission Applications a. television distribution i. a network provides programming from a central location ii. direct broadcast satellite (DBS) b. long-distance telephone transmission i. high-usage international trunks c. private business networks

38. 39. Radio a. radio is omnidirectional and microwave is directional b. Radio is a general term often used to encompass frequencies in the range 3 kHz to 300 GHz. c. Mobile telephony occupies several frequency bands just under 1 GHz. 40. Infrared a. Uses transmitters/receivers (transceivers) that modulate noncoherent infrared light. b. Transceivers must be within line of sight of each other (directly or via reflection ). c. Unlike microwaves, infrared does not penetrate walls. 41. Bluetooth: It is a specification that describes how mobile phones, computers and PDAs can be easily interconnected using a short range wireless communication. This requires a low cost transceiver chip be included in each device. Each device has a unique 48 bit address from the IEEE 802 standard. The maximum range is 10 meters. The technology got its unusual name in honor of Harald Bluetooth, king of Denmark in mid tenth century. 42. A Modem is a device that allows you to connect and communicate with other computers via telephone lines. 43. Modulation is the process of sending data on a wave for which three types of modulation techniques are used: AM(Amplitude Modulation), FM(Frequency Modulation) and PM(Phase Modulation) 44. There are two varieties of Modems: Internal are fixed within the computer and External are connected externally to the computer. 45. A concentrator is a device that provides a central connection point from cables from workstations, servers and peripherals. In star topology, twisted pair wire is run from each workstation to a central connector. 46. A Router is a network device that connects multiple networks irrespective of their protocols. 47. A Gateway is a network device that connects dissimilar networks. 48. Intrusion Problems/Access Attacks: a. Snooping refers to unauthorized access of someone elses data, email, computer activity or data communication. b. Eavesdropping is the act of secretly listening /intercepting someone elses private communication or data or information. 49. Denial of Service attacks are those attacks that prevent the legitimate users of the system from accessing or using the resources, information or capabilities of the system. 50. Network Security Measures: a. Authorization: by asking the user for a legal login id. b. Authentication: by asking the user for a valid password c. Firewall: is a system designed to prevent unauthorized access to and from a pvt network.

Subhashv1224@gmail.com

Class 12 Notes

6|Page

subhashv1224@gmail.com

51. 52.

53. 54.

d. Intrusion Detection: is the art and science of sensing when a system or network is being used inappropriately or without authorization. A Hub is a hardware device that is used to connect several computers together. Hubs forward any data packet they receive over one port from one workstation to all of their remaining ports. All users connected to a single hub or stack of connected hubs are in the same segment , sharing the hubs bandwidth or data carrying capacity A Switch is a device that is used to segment networks into different subnetworks called subnets or LAN segments and thus prevents traffic overloading in a network. Switch is responsible for filtering i.e. transforming data in a specific way and forwarding packets between LAN segments.

55. Repeater is a network device that amplifies and restores signals for long distance transmission. 56. Bridge is a device which is used to connect two local area networks or two segments of the same LAN and each segment must follow the same protocol. 57. A bridge cannot handle multiple protocols but a router can AND a bridge works with MAC address whereas a router works with IP addresses. 58. PAN stands for Personal Area Network: Bluetooth connection, Infrared Connection. 59. GNU stands for Gnus Not Unix. gnu is an animal living in freedom. The GNU Project was initiated by Richard M. Stallman with an objective to create a system compatible to Unix but not identical with it.
60. Full Forms:

61.

62. 63. 64.

65. 66. 67. 68. 69.

a. FLOSS - Free Libre Open Source Software where Libre a Spanish word means freedom b. PHP PHP :Hypertext Preprocessor c. GPL General Public License d. FSF Free Software Foundation Free software means the s/w is freely accessible and can be freely used, changed, improved, copied and distributed by all who wish to do so. And no payments are needed to be made. But Open Source Software can be freely used in terms of making modifications but it does not have to be free of charge. OSS refers to Open Source Software which refers to s/w whose source code is available to customers and it can be modified and redistribution without any limitation. FLOSS refer to s/w which is both free s/w as well as OSS. OSI refers to Open Source Initiative and it is an organization dedicated to cause of promoting OSS. Bruce Perens and Erics Raymond were the founders of OSI W3C is an acronym for World Wide Web Consortium. It is responsible for producing the software standards for the web. It was created in 1994 to lead the www to its full potential by developing common protocols that promote its evolution and ensure its interoperability. Proprietary Software is the s/w that is neither open nor freely available and its use is regulated by the supplier or vendor. Freeware is a s/w which is available free of cost and which allows copying and further distribution but not modification and whose source code is not available. Freeware is NOT open or free software. Shareware is a s/w which is made available with the right to redistribute copies but it stipulated i.e. till a specific time period and after that a license fee should be paid. Shareware is different from free and open source software (FOSS) as its source code is not available and modifications to the software are not allowed. Some open source and free software: a. Linux: this is a very popular computer operating system and its is freely available and its source code is available to all and anyone can freely and openly use it, modify it and redistribute it. It was originally written by a Finnish student Linus Torvalds. Linux is a part of the popular webserver set of program: LAMP(Linux, Apache, MySQL and PHP) b. Mozilla: it is a free, cross platform internet software suite that includes (a) a web browser (b) an email client (c) an html editor and (d) IRC client. Its web browser is called Firefox and its email client has a name Thunderbird. c. Apache server: Apache HTTP server is open source web server available for many platforms such as BSD, Linux, Unit Systems , Windows and other platforms. d. MySQL: is one of the most popular open source database system. It is a multithreaded, multi user SQL relational database system. It is owned and sponsored by a Swedish firm MySQL AB. e. OpenOffice: is an office application suite and is intended to be compatible and directly compete with Microsoft office.

Subhashv1224@gmail.com

Class 12 Notes

7|Page
f.

subhashv1224@gmail.com

PHP is a widely used open source programming language primarily for server-side applications and developing dynamic web content. 70. Different types of Standards: a. Proprietary Standards: are those for which users have to buy license to use them. These are owned by a single company or person or vendor or a group of vendors. Standards like Microsoft Office formats (.doc, .ppt,.xls etc) or Windows media format (.wama, .wmv etc) , Apple Media formats (.mov) are PS as they are the property of their respective owners. Its disadvantages are: i. Recipient may not be able to read the file. ii. You may transmit confidential information iii. Single supplier or vendor has total control over the functionality and usefulness of the product. b. Open Standards guarantee that data can be exchanged or is accessible across platforms and applications even as technology change. Its advantages are: i. Making the data accessible to iii. No hidden information. all. iv. Diversity and interoperability in ii. Applications and platform the industry. independence v. Offers diverse choices for users. 71. Some common Open Standard Formats: a. ASCII is a format for plain text. b. HTML is the standard language for the web. c. DVI(Device Independent) are used to typeset documents and programming language. d. Open Document Format for office application(ODF) OpenDocument is am open XML based file format. e. Joint Photographic Expert Group (JPEG): is one of the most efficient picture compression formats. f. Portable Network Graphics(PNG): they represent the principal alternative to the GIF format. g. Scalable Vector Graphics(SVG): this format allows for the creation of vectorial images which are rescalable, save bandwidth and allow zooming without losing quality of the image. h. OGG (Ogg Vorbis): its a lossy audio compression format. It was developed to replace proprietary formats such as mp3, wma etc. i. Free Lossless Audio Codec(FLAC) its a lossless compression format that is totally open 72. Open Document Format: ODF is an XML based file format for representing electronic documents such as formatted text documents, spreadsheets, electronic presentations, graphics etc. This standard was developed by OASIS(Organization for the Advancement of structured Information Standards) and approved by ISO (International Standards Organization) and the IEC(International Electrotechnical Commission). 73. Most commonly used file extensions with ODF documents are: a. .odt for word processing files an alternative for MS Office .doc b. .ods for spreadsheet files an alternative for MS Office .xls c. .odp for presentation files an alternative for MS Office .ppt d. .odg for graphics file an alternative for MS Office .bmp e. .odb for database file an alternative for MS Office .dbf 74. Ogg Vorbis: is a new audio compression format which is an open format developed by Xiph.org. Ogg is the name of Xiph.orgs container format for audio, video and metadata. Vorbis is the name of a specific audio compression scheme. a. OV compresses audio information using lossy algorithm that discard data in order to compress it better. b. OV is freely available open format for audio streaming without any restrictions on its usage or distribution. 75. A font refers to a set of displayable text characters (called glyphs) having specific style and size. a. True Type Font(TTF): these are normally 8 bit fonts. i. Advantage: One file making it easy to manage fonts. ii. Disadvantage: 1. Not cross platform compatible. 2. Will not work with some older printing devices. 3. There are better quality fonts available. b. Open Type Font(OTF): these are 16 bit fonts. i. Advantage: 1. Better quality of output. 2. One file making it easy to manage fonts. 3. Cross platform - same file will work with MAC and Windows. 4. Easy to read file names. ii. Disadvantage :Not all applications support the extended features. c. Static Fonts: the characters are designed and digitized and then stored in font files. Ex Times New Roman, Arial, Courier etc. d. Dynamic Fonts: the characters are redefined at every occurrence. These fonts generate different font shape using certain parameter values. All hand written fonts such as handwritten alphabets, calligraphic letters, graffiti etc are dynamic fonts because of individual variations 76. Words typed as per their pronunciation in English script and later converted to corresponding language word is known as Phonetic Text Entry or Transliteration. 77. The mapping of a keyboards keys to specific characters is known as keymap based text entry. Indian language keymaps are known as Inscript or Indian Script keymaps.

Subhashv1224@gmail.com

Class 12 Notes

8|Page

subhashv1224@gmail.com

78. Indian Language Computing refers to ability to interact in diverse Indian languages on electronic systems. 79. To represent Indian script characters various encodings that are used are: inicode and ISCII 80. Ordinary compilation converts a source code directly into machine language which is machine dependent
while java compilation converts a source code into byte code which is machine independent.

81. Both checkbox and radiobutton are used to select from a group while a one of the radio button can be
selected from the group and none to many checkboxes can be selected from a group.

82. Container can hold other controls while a component can not. 83. Listbox is readonly and allows multiple selections while combobox cannot. 84. A private access specifier denotes a variable or method as being private to the class and may not be accessed outside the class. 85. A public access specifier denotes a variable or method as being directly accessible from all other classes by using a dot operator. 86. String class contains different methods related to strings while Math class contains various methods related to numeric values. 87. String class contains a method called compareTo: int compareTo(String1,String2) : In this string1 is compared to string2 lexicographically. 88. Math class contains a method called pow: double pow(double x,double y) : this method will find the result of X raised to power Y. 89. A web browser is a WWW client that navigates through the World Wide Web and displays web pages. 90. HTTP is a protocol used by WWW to create, display and link hypertext files. 91. XML is eXtensible Markup Language which allows to create applications specific structured documents by allowing creation of new tags. 92. Difference between XML and HTML: a. HTML document formats and displays web pages data while XML documents carry data along with their descriptions b. HTML tags are predefined while XML tags are not predefined. c. HTML tags may not have closing tags while XML tags must have closing tags. d. HTML tags are not case sensitive while XML tags are. e. HTML documents are directly viewable in a browser while XML documents can be viewed only if proper stylesheet file is also available along with XML file. 93. Event refers to the occurrence of an activity. Listener is an object that is waiting for an event to occur and can respond in some way when it does. 94. A program that is oriented around a GUI responding to events from the user is called as Event Driven Programming. 95. Property is a characteristic of an object such as its size or colour etc. Methods are small programs that receive 0 or more values of specific data type as parameters and return 0 or 1 value of a specific data type and perform a specific task. The advantage is that it can be reused anywhere once written and can be easily modified. 96. If a method is not returning any value than its return type should be void. 97. A constructor is a method with the same name as that of the class and is called automatically when an object of a class is created. 98. The values that appear in method call statement are known as actual parameters and values that appear in method definition statement are known as formal parameters. 99. In call by value the actual parameters are copied to the formal parameters and after that there is no connection between the two. Whatever changes made to the formal parameters in the method definition is not reflected in the actual parameters. In call by reference actual address of the object is passed to the formal parameters of the method and changes made to those parameters in the method is reflected back in the main program. 100. When a class acts as a user defined data type, it should not contain main method. While a class acting as an application should contain main method. Diagrammatic representation of various topologies:

Subhashv1224@gmail.com

Class 12 Notes

9|Page

subhashv1224@gmail.com

What is XML?

XML XML XML XML XML XML stands for EXtensible Markup Language is a markup language much like HTML was designed to carry data, not to display data tags are not predefined. You must define your own tags is designed to be self-descriptive is a W3C Recommendation

The Difference Between XML and HTML


XML is not a replacement for HTML. XML and HTML were designed with different goals:

XML was designed to transport and store data, with focus on what data is HTML was designed to display data, with focus on how data looks

HTML is about displaying information, while XML is about carrying information.

XML Does Not DO Anything


Maybe it is a little hard to understand, but XML does not DO anything. XML was created to structure, store, and transport information.

With XML You Invent Your Own Tags


The tags in the example above (like <to> and <from>) are not defined in any XML standard. These tags are "invented" by the author of the XML document. That is because the XML language has no predefined tags. The tags used in HTML are predefined. HTML documents can only use tags defined in the HTML standard (like <p>, <h1>, etc.). XML allows the author to define his/her own tags and his/her own document structure.

XML is Not a Replacement for HTML


XML is a complement to HTML. It is important to understand that XML is not a replacement for HTML. In most web applications, XML is used to transport data, while HTML is used to format and display the data. My best description of XML is this: XML is a software- and hardware-independent tool for carrying information.

XML Separates Data from HTML


If you need to display dynamic data in your HTML document, it will take a lot of work to edit the HTML each time the data changes. With XML, data can be stored in separate XML files. This way you can concentrate on using HTML for layout and display, and be sure that changes in the underlying data will not require any changes to the HTML. With a few lines of JavaScript code, you can read an external XML file and update the data content of your web page.

XML Simplifies Data Transport


One of the most time-consuming challenges for developers is to exchange data between incompatible systems over the Internet. Exchanging data as XML greatly reduces this complexity, since the data can be read by different incompatible applications.

Subhashv1224@gmail.com

Class 12 Notes

10 | P a g e

subhashv1224@gmail.com

XML Documents Form a Tree Structure


XML documents must contain a root element. This element is "the parent" of all other elements. The elements in an XML document form a document tree. The tree starts at the root and branches to the lowest level of the tree. All elements can have sub elements (child elements):

<root> <child> <subchild>.....</subchild> </child> </root>

The terms parent, child, and sibling are used to describe the relationships between elements. Parent elements have children. Children on the same level are called siblings (brothers or sisters). All elements can have text content and attributes (just like in HTML).

Example:

The image above represents one book in the XML below:

<bookstore> <book category="COOKING"> <title lang="en">Everyday Italian</title> <author>Giada De Laurentiis</author> <year>2005</year> <price>30.00</price> </book> <book category="CHILDREN"> <title lang="en">Harry Potter</title> <author>J K. Rowling</author> <year>2005</year> <price>29.99</price> </book> <book category="WEB"> <title lang="en">Learning XML</title> <author>Erik T. Ray</author> <year>2003</year> <price>39.95</price> </book> </bookstore>

The root element in the example is <bookstore>. All <book> elements in the document are contained within <bookstore>. The <book> element has 4 children: <title>,< author>, <year>, <price>.

Subhashv1224@gmail.com

Class 12 Notes

11 | P a g e

subhashv1224@gmail.com

The syntax rules of XML are very simple and logical. The rules are easy to learn, and easy to use.

All XML Elements Must Have a Closing Tag


In HTML, elements do not have to have a closing tag:

<p>This is a paragraph <p>This is another paragraph

In XML, it is illegal to omit the closing tag. All elements must have a closing tag:

<p>This is a paragraph</p> <p>This is another paragraph</p>

Note: You might have noticed from the previous example that the XML declaration did not have a closing tag. This is not an error. The declaration is not a part of the XML document itself, and it has no closing tag.

XML Tags are Case Sensitive


XML tags are case sensitive. The tag <Letter> is different from the tag <letter>. Opening and closing tags must be written with the same case:

<Message>This is incorrect</message> <message>This is correct</message>

Note: "Opening and closing tags" are often referred to as "Start and end tags". Use whatever you prefer. It is exactly the same thing.

XML Elements Must be Properly Nested


In HTML, you might see improperly nested elements:

<b><i>This text is bold and italic</b></i>

In XML, all elements must be properly nested within each other:

<b><i>This text is bold and italic</i></b>

In the example above, "Properly nested" simply means that since the <i> element is opened inside the <b> element, it must be closed inside the <b> element.

XML Documents Must Have a Root Element


XML documents must contain one element that is the parent of all other elements. This element is called the root element.

<root> <child> <subchild>.....</subchild> </child> </root>

Subhashv1224@gmail.com

Class 12 Notes

12 | P a g e

subhashv1224@gmail.com

XML Attribute Values Must be Quoted


XML elements can have attributes in name/value pairs just like in HTML. In XML, the attribute values must always be quoted. Study the two XML documents below. The first one is incorrect, the second is correct:

<note date=12/11/2007> <to>Tove</to> <from>Jani</from> </note>

There are 5 predefined entity references in XML: &lt; &gt; &amp; &apos; &quot; < > & ' " less than greater than ampersand apostrophe quotation mark

Note: Only the characters "<" and "&" are strictly illegal in XML. The greater than character is legal, but it is a good habit to replace it.

XML with correct syntax is "Well Formed" XML. XML validated against a DTD is "Valid" XML.

Well Formed XML Documents


A "Well Formed" XML document has correct XML syntax.

XML XML XML XML XML

documents must have a root element elements must have a closing tag tags are case sensitive elements must be properly nested attribute values must be quoted

Valid XML Documents

A "Valid" XML document is a "Well Formed" XML document, which also conforms to the rules of a Document Type Definition (DTD):

<?xml version="1.0" encoding="ISO-8859-1"?> <!DOCTYPE note SYSTEM "Note.dtd"> <note> <to>Tove</to> <from>Jani</from> <heading>Reminder</heading> <body>Don't forget me this weekend!</body> </note>

The DOCTYPE declaration in the example above, is a reference to an external DTD file. The content of the file is shown in the paragraph below.

XML DTD

The purpose of a DTD is to define the structure of an XML document. It defines the structure with a list of legal elements:

Subhashv1224@gmail.com

Class 12 Notes

13 | P a g e

subhashv1224@gmail.com

<!DOCTYPE [ <!ELEMENT <!ELEMENT <!ELEMENT <!ELEMENT <!ELEMENT ]>

note note (to,from,heading,body)> to (#PCDATA)> from (#PCDATA)> heading (#PCDATA)> body (#PCDATA)>

Note: Only Internet Explorer will actually check your XML against the DTD. Firefox, Mozilla, Netscape, and Opera will not. XML document system mainly comprises of the following: A style sheet presentation through CSS or XSL A grammar structure through DTD Semantics of data through XML file.

Advantages of XML: 1. 2. 3. 4. 5. 6. 7. 8. Easy as HTML It is fully compatible with applications like JAVA. Extremely portable and can be used on large networks with multiple platforms. It is platform independent. It is also vendor and system independent. From a programmers point of view there are a lot of parsers available like the API, C and many more. It can represent hierarchically rich data in plain text in a language that humans can read. XML can also be stored in databases in XML format.

Example: employee.xml <?xml version="1.0" ?> <?xml-stylesheet type="text/css" href="empl.css" ?> <employees> <empl mf="Male"> <name> <first> Alok </first> <last> Sharma </last> </name> <title> Manager </title> <projects> <project> Salary Hike </project> <project> Junior Level Recruiter </project> </projects> <email> aloks@gmail.com </email> <phone> <home> 0141223567 </home> <office> 0141225678 </office> <cell> 098765432 </cell> </phone> <address> <street> a-43, queens road </street> <city> Jaipur </city> <state> Rajasthan </state> <zip> 302021 </zip> </address> </empl> </employees>

Subhashv1224@gmail.com

Class 12 Notes

14 | P a g e
empl.css

subhashv1224@gmail.com

employees {display : block ; background-color: #0000ff ; } empl { background-color="yellow" ; } name { display : block ; color: blue ; font-size:14pt ; font-family: "arial black" ; } last { margin-left : 17pt ; } title { margin-left : 10pt ; text-transform : uppercase ; font-style : italic ; font -weight : bold ; margin-top : 14pt ; textdecoration : underline ; } projects { margin-left : 19pt; color : black; } project { margin-left : 16pt ; text-decoration : blink ; } email { display : block ; margin-left : 10pt ; margin-top : 10pt ; color : blue ; } phone { display : block ; margin-left : 10pt ; margin-top : 10pt ; color : blue ; } home, office, cell { margin-right: 14pt ; } address { display : block ; margin-left : 10pt ; margin-top : 10pt ; color : blue ; } street, city, state, zip { margin-right : 14pt ; font-weight : bold ; font-family : "courier" ; }

What Is a Virus?
A computer virus attaches itself to a program or file enabling it to spread from one computer to another, leaving infections as it travels. Like a human virus, a computer virus can range in severity: some may cause only mildly annoying effects while others can damage your hardware, software or files. Almost all viruses are attached to an executable file, which means the virus may exist on your computer but it actually cannot infect your computer unless you run or open the malicious program. It is important to note that a virus cannot be spread without a human action, (such as running an infected program) to keep it going. Because a virus is spread by human action people will unknowingly continue the spread of a computer virus by sharing infecting files or sending emails with viruses as attachments in the email.

What Is a Worm?
A worm is similar to a virus by design and is considered to be a sub-class of a virus. Worms spread from computer to computer, but unlike a virus, it has the capability to travel without any human action. A worm takes advantage of file or information transport features on your system, which is what allows it to travel unaided. The biggest danger with a worm is its capability to replicate itself on your system, so rather than your computer sending out a single worm, it could send out hundreds or thousands of copies of itself, creating a huge devastating effect. One example would be for a worm to send a copy of itself to everyone listed in your e-mail address book. Then, the worm replicates and sends itself out to everyone listed in each of the receiver's address book, and the manifest continues on down the line. Due to the copying nature of a worm and its capability to travel across networks the end result in most cases is that the worm consumes too much system memory (or network bandwidth), causing Web servers, network servers and individual computers to stop responding. In recent worm attacks such as the much-talked-about Blaster Worm, the worm has been designed to tunnel into your system and allow malicious users to control your computer remotely.

What Is a Trojan horse?


A Trojan Horse is full of as much trickery as the mythological Trojan Horse it was named after. The Trojan Horse, at first glance will appear to be useful software but will actually do damage once installed or run on your computer. Those on the receiving end of a Trojan Horse are usually tricked into opening them because they appear to be receiving legitimate software or files from a legitimate source. When a Trojan is activated on your computer, the results can vary. Some Trojans are designed to be more annoying than malicious (like changing your desktop, adding silly active desktop icons) or they can cause serious damage by deleting files and destroying information on your system. Trojans are also known to create a backdoor on your computer that gives malicious users access to your system, possibly allowing confidential or personal information to be compromised. Unlike viruses and worms, Trojans do not reproduce by infecting other files nor do they self-replicate.

Subhashv1224@gmail.com

Class 12 Notes

15 | P a g e

subhashv1224@gmail.com

What Are Blended Threats?


Added into the mix, we also have what is called a blended threat. A blended threat is a more sophisticated attack that bundles some of the worst aspects of viruses, worms, Trojan horses and malicious code into one single threat. Blended threats can use server and Internet vulnerabilities to initiate, then transmit and also spread an attack. Characteristics of blended threats are that they cause harm to the infected system or network, they propagates using multiple methods, the attack can come from multiple points, and blended threats also exploit vulnerabilities. To be considered a blended thread, the attack would normally serve to transport multiple attacks in one payload. For example it wouldn't just launch a DoS attack it would also, for example, install a backdoor and maybe even damage a local system in one shot. Additionally, blended threats are designed to use multiple modes of transport. So, while a worm may travel and spread through e-mail, a single blended threat could use multiple routes including e-mail, IRC and file-sharing sharing networks. Lastly, rather than a specific attack on predetermined .exe files, a blended thread could do multiple malicious acts, like modify your exe files, HTML files and registry keys at the same time basically it can cause damage within several areas of your network at one time. Blended threats are considered to be the worst risk to security since the inception of viruses, as most blended threats also require no human intervention to propagate.

Tips to Combat Viruses, Worms and Trojan Horses on Your Computer


Keep The Operating System Updated
The first step in protecting your computer from any malicious there is to ensure that your operating system (OS) is up-to-date. This is essential if you are running a Microsoft Windows OS. Secondly, you need to have anti-virus software installed on your system and ensure you download updates frequently to ensure your software has the latest fixes for new viruses, worms, and Trojan horses. Additionally, you want to make sure your anti-virus program has the capability to scan e-mail and files as they are downloaded from the Internet, and you also need to run full disk scans periodically. This will help prevent malicious programs from even reaching your computer.

Use a Firewall
You should also install a firewall. A firewall is a system that prevents unauthorized use and access to your computer. A firewall can be either hardware or software. Hardware firewalls provide a strong degree of protection from most forms of attack coming from the outside world and can be purchased as a stand-alone product or in broadband routers. Unfortunately, when battling viruses, worms and Trojans, a hardware firewall may be less effective than a software firewall, as it could possibly ignore embedded worms in out going emails and see this as regular network traffic. For individual home users, the most popular firewall choice is a software firewall. A good software firewall will protect your computer from outside attempts to control or gain access your computer, and usually provides additional protection against the most common Trojan programs or e-mail worms. The downside to software firewalls is that they will only protect the computer they are installed on, not a network. It is important to remember that on its own a firewall is not going to rid you of your computer virus problems, but when used in conjunction with regular operating system updates and a good anti-virus scanning software, it will add some extra security and protection for your computer or network. Did You Know... CodeRed, a blended threat, launched DoS attacks, defaced Web servers, and its variant, CodeRed II, left Trojan horses behind for later execution. CodeRed was processed in memory not on a hard disk allowing it to slip past some anti-virus products. Computer Economics has estimated the worldwide cost of CodeRed at $2.62 billion dollars. [Source: Symantec Web site]

Key Terms To Understanding Computer Viruses:



virus: A program or piece of code that is loaded onto your computer without your knowledge and runs against your wishes. Trojan Horse: A destructive program that masquerades as a benign application. Unlike viruses, Trojan horses do not replicate themselves worm: A program or algorithm that replicates itself over a computer network and usually performs malicious actions blended threat: Blended threats combine the characteristics of viruses, worms, Trojan Horses, and malicious code with server and Internet vulnerabilities . antivirus program: A utility that searches a hard disk for viruses and removes any that are found.

Subhashv1224@gmail.com

Class 12 Notes

You might also like