KEMBAR78
Module 3 | PDF | Input/Output | Central Processing Unit
0% found this document useful (0 votes)
35 views47 pages

Module 3

Uploaded by

Usha Gonal
Copyright
© © All Rights Reserved
We take content rights seriously. If you suspect this is your content, claim it here.
Available Formats
Download as PPTX, PDF, TXT or read online on Scribd
0% found this document useful (0 votes)
35 views47 pages

Module 3

Uploaded by

Usha Gonal
Copyright
© © All Rights Reserved
We take content rights seriously. If you suspect this is your content, claim it here.
Available Formats
Download as PPTX, PDF, TXT or read online on Scribd
You are on page 1/ 47

MODULE 3:INPUT/OUTPUT

ORGANIZATION
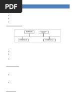
Accessing I/O Devices
Accessing I/O devices

Processor Memory

Bus

I/O device 1 I/O device n


•Multiple I/O devices may be connected to the processor and the
memory via a bus.
•Bus enables the exchange of information between the devices
connected to it.
•Bus consists of three sets of lines to carry address, data and control
signals.
•Each I/O device is assigned a unique address.
•To access an I/O device, the processor places the address on the
address lines.
•The device recognizes the address and responds to the control
signals.
•The processor request either the read or write operation, and the
requested data are sent Over data lines
Accessing I/O devices (contd..)
 I/O devices and the memory may share the same address space:
 Memory-mapped I/O.
 Any machine instruction that can access memory can be used to transfer data to or from an I/O device.
MOVE DATAIN, R0
MOVE R0, DATAOUT
 Simpler software.
 I/O devices and the memory may have different address spaces:
 Special instructions to transfer data to and from I/O devices. i.e IN and OUT instructions
 I/O devices may have to deal with fewer address lines.
 I/O address lines need not be physically separate from memory address lines.
 In fact, address lines may be shared between I/O devices and memory, with a control signal to indicate
whether it is a memory address or an I/O address.

5
Accessing I/O devices (contd..)
Address lines
Bus Data lines
Control lines

Address Control Data and I/O


decoder circuits status registers interface

Input device
•I/O device is connected to the bus using an I/O interface circuit which has:
- Address decoder, control circuit, and data and status registers.
•Address decoder decodes the address placed on the address lines thus enabling

the
device to recognize its address.
•Data register holds the data being transferred to or from the processor.
•Status register holds information necessary for the operation of the I/O device.
•Data and status registers are connected to the data lines and have unique

addresses.
•I/O interface circuit coordinates I/O transfers.
Accessing I/O devices (contd..)
Recall that the rate of transfer to and from I/O devices is
slower than the speed of the processor. This creates the need
for mechanisms to synchronize data transfers between them.
Program-controlled I/O:
 Processor repeatedly monitors a status flag to achieve the necessary synchronization.
 Processor polls the I/O device.
Two other mechanisms used for synchronizing data transfers
between the processor and memory:
 Interrupts.
 Direct Memory Access.
Program Controlled I/O
Interrupts
Interrupts
 Inprogram-controlled I/O, when the processor continuously
monitors the status of the device, it does not perform any
useful tasks.
 An alternate approach would be for the I/O device to alert the

processor when it becomes ready.


 Do so by sending a hardware signal called an interrupt to the processor.
 At least one of the bus control lines, called an interrupt-request line is dedicated for this purpose.
 Processor can perform other useful tasks while it is waiting for
the device to be ready.
Interrupts (contd..)
Program 1 Interrupt Service routine

1
2

Interrupt
occurs i
here
i+1

M
•Processor is executing the instruction located at address i when an
interrupt occurs.
•Routine executed in response to an interrupt request is called the
interrupt-service routine.
•When an interrupt occurs, control must be transferred to the
interrupt service routine.
•But before transferring control, the current contents of the PC (i+1),
must be saved in a known
location.
•This will enable the return-from-interrupt instruction to resume
execution at i+1.
•Return address, or the contents of the PC are usually stored on the
processor stack.
Interrupts (contd..)
Treatment of an interrupt-service routine is very similar to that
of a subroutine.
However there are significant differences:
 A subroutine performs a task that is required by the calling program.
 Interrupt-service routine may not have anything in common with the program it interrupts.
 Interrupt-service routine and the program that it interrupts may belong to different users.
 As a result, before branching to the interrupt-service routine, not only the PC, but other information
such as condition code flags, and processor registers used by both the interrupted program and the
interrupt service routine must be stored.
 This will enable the interrupted program to resume execution upon return from interrupt service
routine.
Interrupts (contd..)
 Saving and restoring information can be done automatically by the
processor or explicitly by program instructions.
 Saving and restoring registers involves memory transfers:
 Increases the total execution time.
 Increases the delay between the time an interrupt request is received, and the start of execution of the interrupt-
service routine. This delay is called interrupt latency.
 In
order to reduce the interrupt latency, most processors save only the
minimal amount of information:
 This minimal amount of information includes Program Counter and processor status registers.
 Any additional information that must be saved, must be saved explicitly
by the program instructions at the beginning of the interrupt service
routine.
Interrupts (contd..)
 When a processor receives an interrupt-request, it must
branch to the interrupt service routine.
 It must also inform the device that it has recognized the

interrupt request.
 This can be accomplished in two ways:
 Some processors have an explicit interrupt-acknowledge control signal for this purpose.
 In other cases, the data transfer that takes place between the device and the processor can be
used to inform the device.
Interrupt Hardware

 I/O device request an interrupt by activating a bus line called


interrupt request.
 A single interrupt request line may be used to serve n devices
Interrupt Hardware
 All devices are connected to this line via switches to ground.
 To request an interrupt, a device closes its associated switch.
 If all interrupt request signals are inactive, i.e. if all switches

are open, the voltage on the interrupt request line is equal to


Vdd. This ia an inactive state of the line.
 When device request an interrupt by closing its switch, the

voltage on the line drops to 0, causing an interrupt signal ,


INTR received by processor to go high(1).
Enabling and Disabling Interrupts
 Interrupt-requests
interrupt the execution of a program, and may alter
the intended sequence of events:
 Sometimes such alterations may be undesirable and must not be allowed.
 For example, the processor may not want to be interrupted by the same device while executing its interrupt-
service routine.
 Processors generally provide the ability to enable and disable such
interruptions as desired.
 One simple way is to provide machine instructions such as Interrupt-

enable and Interrupt-disable for this purpose.


 To avoid interruption by the same device during the execution of an

interrupt service routine. Several mechanisms are used:


 First option:
 First instruction of an interrupt service routine can be Interrupt-disable.
 Last instruction of an interrupt service routine can be Interrupt-enable.
Enabling and Disabling Interrupts
(contd..)
Second option
• Processor automatically disables the interrupt before starting the execution of
ISR.
• After storing the PC and processor status register on stack, the processor
performs the equivalent of executing an interrupt disable instruction.
Third option
• Making the interrupt request line as edge triggered so that processor
responds to only leading edge of the signal.
• Hence, the processor will receive only one request regardless of how long
the line is activated.
Enabling and Disabling Interrupts
(contd..)
Sequence of events involved in handling interrupt request from
a single device (assume that interrupts are enabled)
1. The device raises interrupt request
2. The processor interrupts the program currently being executed.
3. Interrupts are disabled
4. The device is informed that its request has been recognized, and in
response it deactivates the interrupt request signal
5. The action requested by the interrupt is performed by interrupt service
routine.
6. Interrupts are enabled and the execution of interrupted program is resumed.
Handling multiple devices.
• Multiple I/O devices may be connected to the processor and the memory via a bus.
Some or all of these devices may be capable of generating interrupt requests.
 Each device operates independently, and hence no definite order can be imposed
on how the devices generate interrupt requests?
 This give rise to number of questions:
 1.How does the processor know which device has generated an
 interrupt?
 2. How does the processor know which interrupt service routine needs
 to be executed for the device ?
 3. When the processor is executing an interrupt service routine for one
 device, can other device interrupt the processor?
 4. If two or more interrupt-requests are received simultaneously, then
 how to handle them?
Handling multiple devices (contd..)
 Consider a simple arrangement where all devices send their interrupt-
requests over a single control line in the bus.
 When the processor receives an interrupt request over this control
line, how does it know which device is requesting an interrupt?
 This information is available in the status register of the device

requesting an interrupt:
 The status register of each device has an IRQ bit which it sets to 1 when it requests an interrupt.
 Interrupt service routine can poll the I/O devices connected to the
bus. The first device with IRQ equal to 1 is the one that is serviced.
 Polling mechanism is easy, but time consuming to query the status

bits of all the I/O devices connected to the bus.


Handling multiple devices (contd..)
Vectored Interrupts
 To reduce time involved in polling process, a device
requesting an interrupt may identify itself directly to the
processor.
 Device can do so by sending a special code (4 to 8 bits) to the processor over the bus.
 Code supplied by the device may represent a part of the starting address of the interrupt-
service routine.
 The remainder of the starting address is supplied by the processor based on the area in its
memory where interrupt service routines are located.
 This method of handling the interrupt is called as Vectored interrupt.
 Usually the location pointed to by the interrupting device is used to
store the starting address of the interrupt-service routine.
 The Processor reads this address called interrupt vector and loads it
into PC.
Handling multiple devices (contd..)
Interrupt Nesting
 Before the processor started executing the interrupt service
routine for a device, it disabled the interrupts to ensure that the
same device will not cause more than one interruption.
 In general, same arrangement is used when multiple devices

can send interrupt requests to the processor.


 During the execution of an interrupt service routine of device, the processor does not accept interrupt
requests from any other device.
 Since the interrupt service routines are usually short, the delay that this causes is generally
acceptable.
 However, for certain devices this delay may not be acceptable.
 Which devices can be allowed to interrupt a processor when it is executing an interrupt service
routine of another device?
Handling multiple devices(contd..)
Interrupt Nesting
 I/O devices are organized in a priority structure:
 An interrupt request from a high-priority device is accepted while the processor is
executing the interrupt service routine of a low priority device.
A priority level is assigned to a processor that can be
changed under program control.
 Priority level of a processor is the priority of the program that is currently being executed.
 When the processor starts executing the interrupt service routine of a device, its priority is
raised to that of the device.
 If the device sending an interrupt request has a higher priority than the processor, the
processor accepts the interrupt request.
Handling multiple devices(contd..)
Interrupt Nesting
 Processor’s priority is encoded in a few bits of the
processor status register.
 Priority can be changed by instructions that write into the processor status register.
 Usually, these are privileged instructions, are the instructions that can be executed only in
the supervisor mode.
 Privileged instructions cannot be executed in the user mode.
 Prevents a user program from accidentally or intentionally changing the priority of the
processor.
 Ifthere is an attempt to execute a privileged instruction
in the user mode, it causes a special type of interrupt
called as privilege exception.
Handling multiple devices(contd..)
Interrupt Nesting
IN T R 1 I NTR p
Processor

Device 1 Device 2 Device p

INTA1 INTA p

Priority arbitration

•Each device has a separate interrupt-request and interrupt-


acknowledge line.
•Each interrupt-request line is assigned a different priority level.
•Interrupt requests received over these lines are sent to a
priority arbitration circuit in the processor.
•If the interrupt request has a higher priority level than the
priority of the processor, then the request is accepted.
Handling multiple devices(contd..)
Simultaneous Requests
 Which interrupt request does the processor accept if it
receives interrupt requests from two or more devices
simultaneously?.
 If the I/O devices are organized in a priority structure, the

processor accepts the interrupt request from a device with


higher priority.
 Each device has its own interrupt request and interrupt acknowledge line.
 A different priority level is assigned to the interrupt request line of each device.
 However,if the devices share an interrupt request line, then
how does the processor decide which interrupt request to
accept?
Handling multiple devices(contd..)
Simultaneous Requests
Polling scheme:
•If the processor uses a polling mechanism to poll the status registers of
I/O devices to determine which device is requesting an interrupt.
•In this case the priority is determined by the order in which the devices
are polled.
•The first device with status bit set to 1 is the device whose interrupt
Daisy is
request chain scheme:
accepted.
I NTR
Processor

Device 1 Device 2 Device n


INTA

•Devices are connected to form a daisy chain.


•Devices share the interrupt-request line, and interrupt-acknowledge line is
connected to form a daisy chain.
•When devices raise an interrupt request, the interrupt-request line is
activated.
•The processor in response activates interrupt-acknowledge.

Handling multiple devices(contd..)
Simultaneous Requests(contd…)
•When I/O devices were organized into a priority structure, each device
had its own
interrupt-request and interrupt-acknowledge line.
•When I/O devices were organized in a daisy chain fashion, the devices
shared an
interrupt-request line, and the interrupt-acknowledge
I NT R 1 propagated through
the devices.
•A combination of priority structure and daisy chain scheme can also used.
Device Device
INTA1
Processor

IN T R p

Device Device
INTA p
Priority arbitration
circuit

•Devices are organized into groups.


•Each group is assigned a different priority level.
•All the devices within a single group share an interrupt-request
line, and are
connected to form a daisy chain.
Controlling Device Requests
 Only those devices that are being used in a program should be
allowed to generate interrupt requests.
 To control which devices are allowed to generate interrupt

requests, the interface circuit of each I/O device has an interrupt-


enable bit.
 If the interrupt-enable bit in the device interface is set to 1, then the device is
allowed to generate an interrupt-request.
 Interrupt-enable bit in the device’s interface circuit determines
whether the device is allowed to generate an interrupt request.
 Interrupt-enable bit in the processor status register or the priority

structure of the interrupts determines whether a given interrupt


will be accepted.
Direct Memory Access
Direct Memory Access (contd..)
 Direct Memory Access (DMA):
 Used to transfer large block of data at high speed
 It is a special control unit provided to transfer a block of data directly between an I/O device
and the main memory, without continuous intervention by the processor.
 Control unit which performs these transfers is a part of the
I/O device’s interface circuit. This control unit is called as a
DMA controller.
 DMA controller performs functions that would be normally

carried out by the processor when accessing memory:


 For each word, it provides the memory address and all the control signals.
 To transfer a block of data, it increments the memory addresses and keeps track of the number
of transfers.
Direct Memory Access (contd..)
 DMA controller can transfer a block of data from an external
device to the processor, without any intervention from the
processor.
 However, the operation of the DMA controller must be under the control of a program executed
by the processor. That is, the processor must initiate the DMA transfer.
 To
initiate the DMA transfer, the processor informs the DMA
controller of:
 Starting address,
 Number of words in the block.
 Direction of transfer (I/O device to the memory, or memory to the I/O device).
 Once the DMA controller completes the block transfer, it
informs the processor by raising an interrupt signal.
Direct Memory Access (contd..)
 When DMA a transfer is taking place , the program that
requested the control cannot continue, hence processor can
execute another program.
 Once DMA transfer is complete, the processor can return to

the program that requested the transfer.


 OS is responsible for suspending the execution of one

program and starting another program.


Direct Memory Access (contd..)

• Two registers are used for storing the starting address and the word count.
• The third register contains status and control flags.
• The R/W bit determines the direction of transfer.
• When R/W = 1, the controller performs the read operation, it transfers data from memory to I/O
device.
• When R/W = 0, the controller performs the write operation, it transfers data from I/O device to
memory
• When data transfer is completed the Done flag is set to 1.
• When IE=1, it allows the controller to raise interrupt signal , when the transfer is complete.
• When controller request the interrupt , it sets IRQ=1.
Direct Memory Access
An example of computer system showing how a DMA controller may be used
Main
Processor
memory

System bus

Disk/DMA DMA Keyboard


controller controller Printer

Disk Disk
Network
Interface

•DMA controller connects a high-speed network to the computer bus.


•Disk controller, which controls two disks also has DMA capability. It
provides two
DMA channels.
•It can perform two independent DMA operations, as if each disk has
its own DMA
controller. The registers to store the memory address, word count
Direct Memory Access (contd..)
 Processorand DMA controllers have to use the bus in an
interwoven fashion to access the memory.
 Requests by DMA devices are given higher priority than the processor to access the bus.
 Among different DMA devices, high priority is given to high-speed peripherals such as a disk or a
graphics display device.
 Processor originates most memory access cycles on the bus.
 DMA controller can be said to “steal” memory access cycles from the bus. This interweaving
technique is called as “cycle stealing”.
 Analternate approach is to provide a DMA controller an
exclusive capability to initiate transfers on the bus, and hence
exclusive access to the main memory to transfer a block of
data without interruption. This is known as the block or burst
mode.
Bus arbitration
 Processor and DMA controllers both need to initiate data transfers
on the bus and access main memory.
 The device that is allowed to initiate data transfers on the bus at

any given time is called the bus master.


 When the current bus master relinquishes its status as the bus

master, another device can acquire this status.


 The process by which the next device to become the bus master is selected and bus mastership is
transferred to it is called bus arbitration.
 Centralized arbitration:
 A single bus arbiter performs the arbitration.
 Distributed arbitration:
 All devices participate in the selection of the next bus master.
Centralized Bus Arbitration

B BS Y

BR

Processor

DMA DMA
controller controller
BG1 1 BG2 2
Centralized Bus Arbitration(cont.,)
• Bus arbiter may be the processor or a separate unit connected to the bus.
• Normally, the processor is the bus master, unless it grants bus
membership to one of the DMA controllers.
• DMA controller requests the control of the bus by asserting the Bus
Request (BR) line.
• In response, the processor activates the Bus-Grant1 (BG1) line, indicating
that the controller may use the bus when it is free.
• BG1 signal is connected to all DMA controllers in a daisy chain fashion.
• BBSY signal is 0, it indicates that the bus is busy. When BBSY becomes 1,
the DMA controller which asserted BR can acquire control of the bus.
Centralized arbitration (contd..)
DMA controller 2
asserts the BR signal. Time
Processor asserts
BR
the BG1 signal

BG1 BG1 signal propagates


to DMA#2.
BG2

BBSY

Bus
master
Processor DMA controller 2 Processor

Processor relinquishes control


of the bus by setting BBSY to 1.
Distributed arbitration
 Alldevices waiting to use the bus share the responsibility of carrying
out the arbitration process.
 Arbitration process does not depend on a central arbiter and hence distributed arbitration has higher reliability.
 Each device is assigned a 4-bit ID number.
 All the devices are connected using 5 lines, 4 arbitration lines to

transmit the ID, and one line for the Start-Arbitration signal.
 To request the bus a device:
 Asserts the Start-Arbitration signal.
 Places its 4-bit ID number on the arbitration lines.
 The pattern that appears on the arbitration lines is the logical-OR of
all the 4-bit device IDs placed on the arbitration lines.
Distributed arbitration
Distributed arbitration(Contd.,)
 Arbitration process:
 Each device compares the pattern that appears on the arbitration
lines to its own ID, starting with MSB.
 If it detects a difference, it transmits 0s on the arbitration lines for
that and all lower bit positions.
 The pattern that appears on the arbitration lines is the logical-OR of
all the 4-bit device IDs placed on the arbitration lines.
Distributed arbitration (contd..)
•Device A has the ID 5 and wants to request the bus:
- Transmits the pattern 0101 on the arbitration lines.
•Device B has the ID 6 and wants to request the bus:
- Transmits the pattern 0110 on the arbitration lines.
•Pattern that appears on the arbitration lines is the logical OR of the patterns:
- Pattern 0111 appears on the arbitration lines.

Arbitration process:
•Each device compares the pattern that appears on the arbitration lines to its own
ID, starting with MSB.
•If it detects a difference, it transmits 0s on the arbitration lines for that and all lower
bit positions.
•Device A compares its ID 5 with a pattern 0101 to pattern 0111.
•It detects a difference at bit position 0, as a result, it transmits a pattern 0100 on the
arbitration lines.
•The pattern that appears on the arbitration lines is the logical-OR of 0100 and 0110,
which is 0110.
•This pattern is the same as the device ID of B, and hence B has won the arbitration.

You might also like