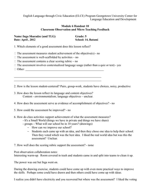
KEMBAR78
App.for.that.ppt 2 | PPTX
There’s An App 
For That 
By: Kathryn Linch 
Contessa Shew
4th Grade Learning Games 
● Teaches math and 
language arts 
● Uses games to 
teach subjects 
● Designed using 4th 
grade curriculums 
and Common Core 
standards.
Why we recommend it 
● Provides feedback to 
students by giving 
scores after games 
● Easy to navigate 
through games 
● Provides higher 
learning thinking skills 
by teaching subjects 
through playing 
games. 
● Addresses fractions, 
word problems, angles 
and geometry, graphs 
and grids, patterns 
missing vowels, 
spelling, punctuation 
and grammar, 
synonyms and 
antonyms, 
homophones
Stack the States 
● Geography for ages 
9-11 
● Encourages learning 
state shapes, capital 
abbreviation, flag, 
and location 
● Uses unique 
questions for 
problem solving
Why we recommend it 
● Problem solving by 
hundred of unique 
questions in order to 
learn the states, learn a 
state for every 
successfully completed 
level. 
● Applies to common core 
standards 
● Privacy: does not 
include 3rd party links or 
advertisement 
● Privacy: does not 
include 3rd party links or 
advertisement 
● Easy to use and 
navigate 
● Fast-paced games and 
engaging visuals hold 
kids' interest on a topic 
that can get repetitious.
4th Grade: Common Core 
● Math, language arts, 
and reading 
● Fun and educational 
games 
● Allows students to 
keep track and 
manage progress 
● Fun and easy for 
students to navagate
Why we recommend it 
● Has immediate feedback to let a student know if 
they answered questions correctly or incorrectly. 
● Parents, teachers, or students can review all study 
sessions and see which questions students missed. 
● School mode allows you to track up to 25 students. 
● Promotes higher level thinking by having high quality 
question content built specifically to Common Core 
standards.
Science Quest- 4th Grade 
● Provides higher 
learning skills by 
having 300 high 
quality science 
quizzes 
● Students earn 
marine animals by 
passing quizzes 
● Quizzes are used to 
track performance
Why we recommend it 
● Designed by 
educators to allow 
young learners to be 
motivated in learning 
and enjoy solving 
science problems 
● Themes, interactivity 
and animation of the 
quizzes aim to provide 
a fun and engaging 
learning environment 
● Easy to follow and the 
quizzes are fun and 
engaging 
● Level of difficulty can 
be adjusted by the 
adult or teacher to 
cater to the varying 
needs of students.
Mathmateer 
● Math app for ages 
9-11 
● Answer questions 
to keep rocket in 
the air 
● Easy to follow with 
clear direction
Why we recommend it 
● Missions cover such 
topics as odd and even 
numbers, money, 
shapes, telling time, the 
four operations, 
fractions, decimals, and 
square roots, at six 
levels of difficulty, from 
novice to genius. 
● Applies to Common 
Core standards 
● In a shared-device 
classroom, teachers 
could offer Mathmateer 
as a station activity for 
math practice. 
● The level of precision 
students or teachers can 
select from within each 
level makes it really 
customizable
BrainPOP 
● Geared for all grades 
● Covers numerous 
subjects including 
math, science, and 
arts. 
● Quizzes for students 
and updates for 
teachers.
Why we recommend it 
● Easy to use and 
navigate by anyone 
● It provides quizzes for 
students and updates 
teacher with score. 
● Content is carefully 
mapped to the Common 
Core, aligned to 
academic standards, 
and searchable with our 
online Standards Tool. 
● Privacy: does not 
include 3rd party links or 
advertisement 
● The diversity of the app 
covers a broad scope of 
education including 
subjects such as math, 
science, social studies, 
English, engineering, 
Arts, health and music.
Toontastic 
● Writer, actor, director: 
Kids play all parts in 
riveting storytelling too 
● Students animate and 
record their voices 
while learning key 
story elements 
● Share video privately 
or publish online
Why we recommend it 
● It employs a "Story Arc" 
that contains five 
sequential scenes to 
guide story structure 
(Setup, Conflict, 
Challenge, Climax, and 
Resolution) 
● Can be applied to other 
story arts like writing, 
moviemaking, 
songwriting, 
storyboarding, and 
more. 
● Creative learning 
aligned with Common 
Core 
● There's excellent in-app 
support for kids, 
teachers, and parents. 
● Teacher feedback is the 
animation video itself. 
Provides a way to 
directly monitor 
student’s progress.
World Atlas By National Geographic 
● All ages can spin, pan, 
and zoom in on the 
world with our 
interactive 3-D globe 
● Get up-to-date 
information on every 
country and capital city 
in the world, including 
socio-economic data, 
demographics, weather, 
and currency.
Why we recommend it 
● Impressive resolution and level of detail 
captures student’s attention. 
● Navigation is a breeze; simply pinch and 
swipe to zoom and find places of interest, or 
tap the home button to return the full globe 
screen. 
● Teachers with interactive whiteboards or 
projectors in the classroom will find this atlas 
particularly useful as part of a whole-class 
discussion.
Rainbow Sentences 
● An individualized sentence-building 
app to help kids 
with their grammar, 
expressive language, 
reading, and 
comprehension. 
● Students learn to 
recognize the parts of 
speech such as nouns, 
verbs, and adjectives. 
● Multisensory approach to 
learning writing skills
Why we recommend it 
● Sentences are saved 
and emailed for 
progress 
● Impressive 
accommodations 
support kids with 
learning difficulties. 
● Teacher chooses levels 
and the ability to record 
audio and to color-code 
sentences, among other 
things. 
● Can be used individually 
or as a group through a 
projector 
● An extensive tutorial 
guides for users 
● Connect and aligns with 
Common Core 
Standards for multiple 
grade levels
instaGrok 
● Interactive search 
engine for learners 
● Kids can learn research 
skills as well as detailed 
information about the 
subject of their choice. 
● Teacher dashboard lets 
you track students, 
create assignments, and 
add quizzes all within 
the site.
Why we recommend it 
● Auto-generated quizzes offer stimulating 
active recall practice that reinforces 
learning 
● Built-in journals help develop research and 
synthesis skills, and allow teachers to track 
students' progress. 
● Students can personalize the graph by 
pinning artifacts to it
What about my personal 
information? 
● Some apps may collect phone information 
● Used to report bugs, send updates 
● Will never share or sell information to 3rd 
parties 
● Some may link to external sites (for 
example, app developer’s homepage)

App.for.that.ppt 2

  • 1.
    There’s An App For That By: Kathryn Linch Contessa Shew
  • 2.
    4th Grade LearningGames ● Teaches math and language arts ● Uses games to teach subjects ● Designed using 4th grade curriculums and Common Core standards.
  • 3.
    Why we recommendit ● Provides feedback to students by giving scores after games ● Easy to navigate through games ● Provides higher learning thinking skills by teaching subjects through playing games. ● Addresses fractions, word problems, angles and geometry, graphs and grids, patterns missing vowels, spelling, punctuation and grammar, synonyms and antonyms, homophones
  • 4.
    Stack the States ● Geography for ages 9-11 ● Encourages learning state shapes, capital abbreviation, flag, and location ● Uses unique questions for problem solving
  • 5.
    Why we recommendit ● Problem solving by hundred of unique questions in order to learn the states, learn a state for every successfully completed level. ● Applies to common core standards ● Privacy: does not include 3rd party links or advertisement ● Privacy: does not include 3rd party links or advertisement ● Easy to use and navigate ● Fast-paced games and engaging visuals hold kids' interest on a topic that can get repetitious.
  • 6.
    4th Grade: CommonCore ● Math, language arts, and reading ● Fun and educational games ● Allows students to keep track and manage progress ● Fun and easy for students to navagate
  • 7.
    Why we recommendit ● Has immediate feedback to let a student know if they answered questions correctly or incorrectly. ● Parents, teachers, or students can review all study sessions and see which questions students missed. ● School mode allows you to track up to 25 students. ● Promotes higher level thinking by having high quality question content built specifically to Common Core standards.
  • 8.
    Science Quest- 4thGrade ● Provides higher learning skills by having 300 high quality science quizzes ● Students earn marine animals by passing quizzes ● Quizzes are used to track performance
  • 9.
    Why we recommendit ● Designed by educators to allow young learners to be motivated in learning and enjoy solving science problems ● Themes, interactivity and animation of the quizzes aim to provide a fun and engaging learning environment ● Easy to follow and the quizzes are fun and engaging ● Level of difficulty can be adjusted by the adult or teacher to cater to the varying needs of students.
  • 10.
    Mathmateer ● Mathapp for ages 9-11 ● Answer questions to keep rocket in the air ● Easy to follow with clear direction
  • 11.
    Why we recommendit ● Missions cover such topics as odd and even numbers, money, shapes, telling time, the four operations, fractions, decimals, and square roots, at six levels of difficulty, from novice to genius. ● Applies to Common Core standards ● In a shared-device classroom, teachers could offer Mathmateer as a station activity for math practice. ● The level of precision students or teachers can select from within each level makes it really customizable
  • 12.
    BrainPOP ● Gearedfor all grades ● Covers numerous subjects including math, science, and arts. ● Quizzes for students and updates for teachers.
  • 13.
    Why we recommendit ● Easy to use and navigate by anyone ● It provides quizzes for students and updates teacher with score. ● Content is carefully mapped to the Common Core, aligned to academic standards, and searchable with our online Standards Tool. ● Privacy: does not include 3rd party links or advertisement ● The diversity of the app covers a broad scope of education including subjects such as math, science, social studies, English, engineering, Arts, health and music.
  • 14.
    Toontastic ● Writer,actor, director: Kids play all parts in riveting storytelling too ● Students animate and record their voices while learning key story elements ● Share video privately or publish online
  • 15.
    Why we recommendit ● It employs a "Story Arc" that contains five sequential scenes to guide story structure (Setup, Conflict, Challenge, Climax, and Resolution) ● Can be applied to other story arts like writing, moviemaking, songwriting, storyboarding, and more. ● Creative learning aligned with Common Core ● There's excellent in-app support for kids, teachers, and parents. ● Teacher feedback is the animation video itself. Provides a way to directly monitor student’s progress.
  • 16.
    World Atlas ByNational Geographic ● All ages can spin, pan, and zoom in on the world with our interactive 3-D globe ● Get up-to-date information on every country and capital city in the world, including socio-economic data, demographics, weather, and currency.
  • 17.
    Why we recommendit ● Impressive resolution and level of detail captures student’s attention. ● Navigation is a breeze; simply pinch and swipe to zoom and find places of interest, or tap the home button to return the full globe screen. ● Teachers with interactive whiteboards or projectors in the classroom will find this atlas particularly useful as part of a whole-class discussion.
  • 18.
    Rainbow Sentences ●An individualized sentence-building app to help kids with their grammar, expressive language, reading, and comprehension. ● Students learn to recognize the parts of speech such as nouns, verbs, and adjectives. ● Multisensory approach to learning writing skills
  • 19.
    Why we recommendit ● Sentences are saved and emailed for progress ● Impressive accommodations support kids with learning difficulties. ● Teacher chooses levels and the ability to record audio and to color-code sentences, among other things. ● Can be used individually or as a group through a projector ● An extensive tutorial guides for users ● Connect and aligns with Common Core Standards for multiple grade levels
  • 20.
    instaGrok ● Interactivesearch engine for learners ● Kids can learn research skills as well as detailed information about the subject of their choice. ● Teacher dashboard lets you track students, create assignments, and add quizzes all within the site.
  • 21.
    Why we recommendit ● Auto-generated quizzes offer stimulating active recall practice that reinforces learning ● Built-in journals help develop research and synthesis skills, and allow teachers to track students' progress. ● Students can personalize the graph by pinning artifacts to it
  • 22.
    What about mypersonal information? ● Some apps may collect phone information ● Used to report bugs, send updates ● Will never share or sell information to 3rd parties ● Some may link to external sites (for example, app developer’s homepage)