KEMBAR78
Engr 213 midterm 2a 2009 | PDF
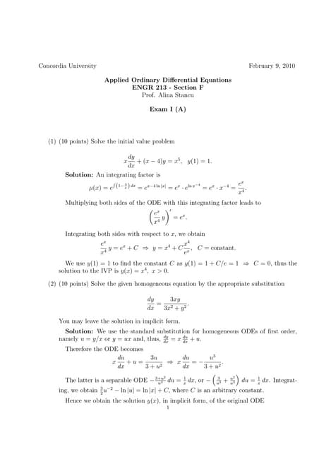
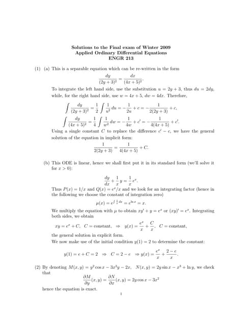
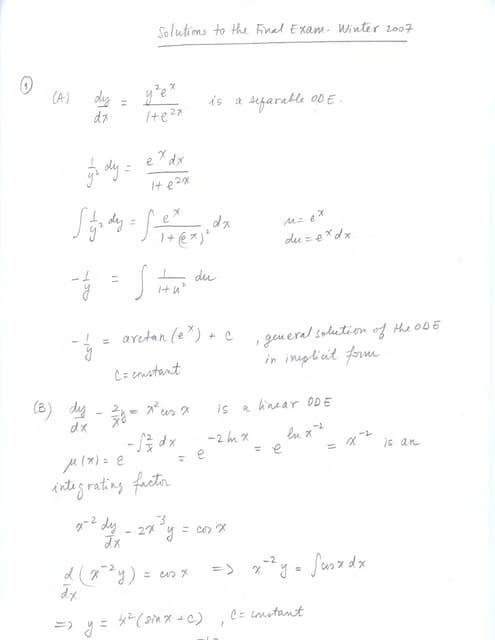
Concordia University                                                                March 20, 2009

                         Applied Ordinary Differential Equations
                                 ENGR 213 - Section J
                                    Prof. Alina Stancu

                                         Exam II (A)


Directions: You have 60 minutes to solve the following 4 problems. You may use an admis-
sible calculator. No cell phones are allowed during the exam.


   (1) (8 points) Determine whether the functions f1 (x) = x, f2 (x) = x2 , f3 (x) = 4x − 3x2
       are linearly dependent or linearly independent on the interval (0, ∞).



   (2) (15 points) Solve the initial value problem

                         y − 2y + 2y = 2x − 2,         y(0) = 2, y (0) = 0.




   (3) (12 points) Solve the differential equation

                                         y + y = csc2 x.




   (4) (5 points) Find a general solution of the differential equation

                                          xy + 2y = 0.




                               1               1
Useful Formulas: sec x =           , csc x =       ,      sec u du = ln | sec u + tan u| + C,
                             cos x           sin x
  csc u du = ln | csc u − cot u| + C.




                                                 1

Engr 213 midterm 2a 2009

  • 1.
    Concordia University March 20, 2009 Applied Ordinary Differential Equations ENGR 213 - Section J Prof. Alina Stancu Exam II (A) Directions: You have 60 minutes to solve the following 4 problems. You may use an admis- sible calculator. No cell phones are allowed during the exam. (1) (8 points) Determine whether the functions f1 (x) = x, f2 (x) = x2 , f3 (x) = 4x − 3x2 are linearly dependent or linearly independent on the interval (0, ∞). (2) (15 points) Solve the initial value problem y − 2y + 2y = 2x − 2, y(0) = 2, y (0) = 0. (3) (12 points) Solve the differential equation y + y = csc2 x. (4) (5 points) Find a general solution of the differential equation xy + 2y = 0. 1 1 Useful Formulas: sec x = , csc x = , sec u du = ln | sec u + tan u| + C, cos x sin x csc u du = ln | csc u − cot u| + C. 1