Downloaded 31 times






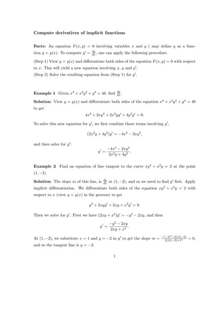
The document discusses implicit differentiation and how to determine where the slope of a curve is undefined or zero. It provides examples of using implicit differentiation to find the slope (dy/dx), points where the slope is undefined by setting the denominator equal to 0, and points where the slope is zero by setting the numerator equal to 0. The document also gives steps to find the point where a normal line to a curve intersects that same curve.