KEMBAR78
DC ST1 | PDF | Sampling (Signal Processing) | Modulation
0% found this document useful (0 votes)
72 views3 pages

DC ST1

This document contains two sample exam papers for the subject Digital Communication for the 6th semester Electronics and Communication Engineering students. The first paper contains 5 short answer questions in Part A and 3 long answer questions in Part B testing concepts related to sampling theorem, quantization error, PPM, PAM, PCM, differential PCM, SNR, TDM. The second paper similarly contains 5 short questions in Part A and 3 long questions in Part B testing concepts like aliasing effect, Nyquist rate, PCM, DPCM, TDM, delta modulation, noise in delta modulation, digital multiplexers. Both papers aim to assess students' understanding of key digital communication concepts.

Uploaded by

shankar
Copyright
© Attribution Non-Commercial (BY-NC)
We take content rights seriously. If you suspect this is your content, claim it here.
Available Formats
Download as PDF, TXT or read online on Scribd
0% found this document useful (0 votes)
72 views3 pages

DC ST1

This document contains two sample exam papers for the subject Digital Communication for the 6th semester Electronics and Communication Engineering students. The first paper contains 5 short answer questions in Part A and 3 long answer questions in Part B testing concepts related to sampling theorem, quantization error, PPM, PAM, PCM, differential PCM, SNR, TDM. The second paper similarly contains 5 short questions in Part A and 3 long questions in Part B testing concepts like aliasing effect, Nyquist rate, PCM, DPCM, TDM, delta modulation, noise in delta modulation, digital multiplexers. Both papers aim to assess students' understanding of key digital communication concepts.

Uploaded by

shankar
Copyright
© Attribution Non-Commercial (BY-NC)
We take content rights seriously. If you suspect this is your content, claim it here.
Available Formats
Download as PDF, TXT or read online on Scribd
You are on page 1/ 3

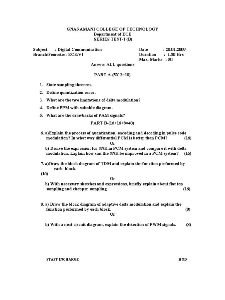
GNANAMANI COLLEGE OF TECHNOLOGY

Department of ECE
SERIES TEST-I (B)

Subject : Digital Communication Date : 20.01.2009


Branch/Semester: ECE/VI Duration : 1.30 Hrs
Max. Marks : 50
Answer ALL questions

PART A-(5X 2=10)

1. State sampling theorem.


2. Define quantization error.
3. What are the two limitations of delta modulation?
4. Define PPM with suitable diagram.
5. What are the drawbacks of PAM signals?
PART B-(16+16+8=40)

6. a)Explain the process of quantization, encoding and decoding in pulse code


modulation? In what way differential PCM is better than PCM? (16)
Or
b) Derive the expression for SNR in PCM system and compare it with delta
modulation. Explain how can the SNR be improved in a PCM system? (16)

7. a)Draw the block diagram of TDM and explain the function performed by
each block.
(16)
Or
b) With necessary sketches and expressions, briefly explain about flat top
sampling and chopper sampling. (16)

8. a) Draw the block diagram of adaptive delta modulation and explain the
function performed by each block. (8)
Or

b) With a neat circuit diagram, explain the detection of PWM signals. (8)

STAFF INCHARGE HOD


GNANAMANI COLLEGE OF TECHNOLOGY
Department of ECE
SERIES TEST-I(A)

Subject : Digital Communication Date :20.01.2009


Branch/Semester: ECE/VI Duration : 1.30 Hrs
Max.Marks : 50
Answer ALL questions

PART A-(5X 2=10)

1. What is meant by aliasing effect?


2. Define Nyquist rate.
3. A bandpass signal has the spectral range that extends from 20kHz to
82kHz.Find the acceptable range of sampling frequency fs.
4. What is meant by compander?
5. Define PWM with suitable diagram.

PART B-(16+16+8=40)
6. a) Draw the block diagram of PCM and explain the function performed by
each block. (16)
Or
b) Derive the expression for the quantization noise and signal to noise ratio in
PCM system using uniform quantizer . (16)

7. a)Draw the block diagram of DPCM and explain the function performed by
each block. (16)
Or
b) Describe the following systems by presenting appropriate diagrams.
(i)TDM (ii) Delta modulation (16)

8. a) Explain the two types of noise in delta modulation system. (8)


Or

b) With a neat circuit diagram, explain the digital multiplexers. (8)

STAFF INCHARGE HOD

You might also like