KEMBAR78
What Is Project Control | PDF | Project Management | Economies
100% found this document useful (1 vote)
698 views4 pages

What Is Project Control

Project controlling should be established as an independent function to verify performance and goals. Key tasks include creating infrastructure for updated project information, communicating disparities, developing project technology, determining KPIs, analyzing divergences, and establishing appropriate structure and governance. Specific controlling methods can then be applied, such as investment analysis, cost-benefit analysis, risk analysis, and target-actual comparisons. Project control involves planning, monitoring progress, and reviewing to keep projects on track, on time, and within budget.

Uploaded by

Nikunj Patel
Copyright
© Attribution Non-Commercial (BY-NC)
We take content rights seriously. If you suspect this is your content, claim it here.
Available Formats
Download as DOCX, PDF, TXT or read online on Scribd
100% found this document useful (1 vote)
698 views4 pages

What Is Project Control

Project controlling should be established as an independent function to verify performance and goals. Key tasks include creating infrastructure for updated project information, communicating disparities, developing project technology, determining KPIs, analyzing divergences, and establishing appropriate structure and governance. Specific controlling methods can then be applied, such as investment analysis, cost-benefit analysis, risk analysis, and target-actual comparisons. Project control involves planning, monitoring progress, and reviewing to keep projects on track, on time, and within budget.

Uploaded by

Nikunj Patel
Copyright
© Attribution Non-Commercial (BY-NC)
We take content rights seriously. If you suspect this is your content, claim it here.
Available Formats
Download as DOCX, PDF, TXT or read online on Scribd
You are on page 1/ 4

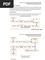
Project controlling :Project controlling should be established as an independent function in project management.

It implements verification and controlling function during the processing of a project in order to reinforce the defined performance and formal goals.[ The tasks of project controlling are also:

the creation of infrastructure for the supply of the right information and its update the establishment of a way to communicate disparities of project parameters the development of project information technology based on an intranet or the determination of a project key performance index system (KPI) divergence analyses and generation of proposals for potential project regulations[29] the establishment of methods to accomplish an appropriate the project structure, project workflow organization, project control and governance creation of transparency among the project parameters[30]

Fulfillment and implementation of these tasks can be achieved by applying specific methods and instruments of project controlling. The following methods of project controlling can be applied:

investment analysis costbenefit analyses value benefit Analysis expert surveys simulation calculations risk-profile analyses surcharge calculations milestone trend analysis cost trend analysis target/actual-comparison

Project control is that element of a project that keeps it on-track, on-time and within budget. Project control begins early in the project with planning and ends late in the project with post-implementation review, having a thorough involvement of each step in the process. Each project should be assessed for the appropriate level of control needed: too much control is too time consuming, too little control is very risky. If project control is not implemented correctly, the cost to the business should be clarified in terms of errors, fixes, and additional audit fees.

What Project Control Really Means The term control has several meanings. Those new to project management are initially dismayed by the use of the term control, because they mistakenly equate it with the concept of authority. In the world of project management, control has very little to do with telling people what to do, dictating their actions or thoughts, or trying to force them to behave in a certain way all of which are common interpretations of control. In project management, the term control is much more analogous to steering a ship. Its about continually making course adjustments with one main objective in mindbringing the ship into safe harbor, as promised at the start of the voyage. And the successful project voyage includes identifying a specific destination, carefully charting a course to get there, evaluating your location throughout the voyage, and keeping a watchful eye on what lies ahead. The Objective of Project Control Fledgling project managers (and some experienced ones!) Often make the same mistake when trying to keep control of their projects. They get wrapped up in the here and nowthe measurement and evaluation of their immediate situationto the exclusion of everything else. They calculate their current position and how far off course they are. Thats what they report to management and promise to fix. Their entire focus consists of staying on the line theyve drawn from the beginning to end of the project. Unfortunately, controlling the destiny of your project is not that simple. As well see, evaluating where you are in terms of where youre supposed to be is certainly part of the overall control and getting back on track is almost always a sound strategy. But your primary mission is to deliver what youve promised, so you should think of maintaining control in terms of minimizing the distance between where you end up and where you said youd end up. This means that overall project control requires an eye on the future, as this formula shows: Calculated Present Variance + Estimated Future Variance = Final Project Variance Maintaining proper control really requires that you consider three parameters: (a) where you are, compared with where youre supposed to be; (b) what lies ahead

that can affect you; and (c) where youre going to end up, compared with where you said you would end up. Bear in mind that (a) and (b) are used primarily as internal control functions (although you may choose to report them outside the team). Theyre used for evaluating (c). At the risk of being repetitive, your primary focus should always be on evaluating where you think youre going to end up. Two of the targets pertain to the consumption of resources: Schedule: Was the project completed on time? (How long did we take?) Cost: Did the project come in at cost? (How much did we spend?) The other two targets are tied to the deliverables of the project: Functionality: Do project deliverables have the expected capability? (What can they do?) Quality: Do the deliverables perform as well as promised? (How well can they do it?) Project implementation Implementation is the stage where all the planned activities are put into action. Before the implementation of a project, the implementers (spearheaded by the project committee or executive) should identify their strength and weaknesses (internal forces), opportunities and threats (external forces).

The strength and opportunities are positive forces that should be exploited to efficiently implement a project. The weaknesses and threats are hindrances that can hamper project implementation. The implementers should ensure that they devise means of overcoming them.

Monitoring is important at this implementation phase to ensure that the project is implemented as per the schedule. This is a continuous process that should be put in place before project implementation starts.

As such, the monitoring activities should appear on the work plan and should involve all stake holders. If activities are not going on well, arrangements should

be made to identify the problem so that they can be corrected. Monitoring is also important to ensure that activities are implemented as planned. This helps the implementers to measure how well they are achieving their targets. This is based on the understanding that the process through which a project is implemented has a lot of effect on its use, operation and maintenance.

When implementation of the project is not on target, there is a need for the project managers to ask themselves and answer the question, "How best do we get there?"

You might also like