KEMBAR78
Math 140 Chapter 2 Notes | PDF | Histogram | Categorical Variable
0% found this document useful (0 votes)
175 views5 pages

Math 140 Chapter 2 Notes

This document discusses methods for organizing and presenting data through frequency distributions and statistical graphs. It defines key terms like histograms, frequency polygons and ogives. Examples are provided to illustrate how to construct these graphs from raw data. The majority of employees in one example worked for 6 years or less.

Uploaded by

gftfhfhjhf
Copyright
© Attribution Non-Commercial (BY-NC)
We take content rights seriously. If you suspect this is your content, claim it here.
Available Formats
Download as DOC, PDF, TXT or read online on Scribd
0% found this document useful (0 votes)
175 views5 pages

Math 140 Chapter 2 Notes

This document discusses methods for organizing and presenting data through frequency distributions and statistical graphs. It defines key terms like histograms, frequency polygons and ogives. Examples are provided to illustrate how to construct these graphs from raw data. The majority of employees in one example worked for 6 years or less.

Uploaded by

gftfhfhjhf
Copyright
© Attribution Non-Commercial (BY-NC)
We take content rights seriously. If you suspect this is your content, claim it here.
Available Formats
Download as DOC, PDF, TXT or read online on Scribd
You are on page 1/ 5

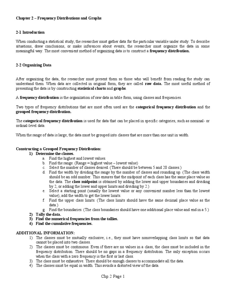
Chapter 2 Frequency Distributions and Graphs 2-1 Introduction When conducting a statistical study, the researcher must gather

r data for the particular variable under study. To describe situations, draw conclusions, or make inferences about events, the researcher must organize the data in some meaningful way. The most convenient method of organizing data is to construct a frequency distribution. 2-2 Organizing Data After organizing the data, the researcher must present them so those who will benefit from reading the study can understand them. When data are collected in original form, they are called raw data. The most useful method of presenting the data is by constructing statistical charts and graphs. A frequency distribution is the organization of raw data in table form, using classes and frequencies. Two types of frequency distributions that are most often used are the categorical frequency distribution and the grouped frequency distribution. The categorical frequency distribution is used for data that can be placed in specific categories, such as nominal- or ordinal-level data. When the range of data is large, the data must be grouped into classes that are more than one unit in width. Constructing a Grouped Frequency Distribution: 1) Determine the classes. a. Find the highest and lowest values. b. Find the range. (Range = highest value lowest value) c. Select the number of classes desired. (There should be between 5 and 20 classes.) d. Find the width by dividing the range by the number of classes and rounding up. (The class width should be an odd number. This ensures that the midpoint of each class has the same place value as the data. The class midpoint is obtained by adding the lower and upper boundaries and dividing by 2, or adding the lower and upper limits and dividing by 2.) e. Select a starting point (usually the lowest value or any convenient number less than the lowest value); add the width to get the lower limits. f. Find the upper class limits. (The class limits should have the same decimal place value as the data.) g. Find the boundaries. (The class boundaries should have one additional place value and end in a 5.) 2) Tally the data. 3) Find the numerical frequencies from the tallies. 4) Find the cumulative frequencies. ADDITIONAL INFORMATION: 1) The classes must be mutually exclusive; i.e., they must have nonoverlapping class limits so that data cannot be placed into two classes. 2) The classes must be continuous. Even if there are no values in a class, the class must be included in the frequency distribution. There should be no gaps in a frequency distribution. The only exception occurs when the class with a zero frequency is the first or last class. 3) The class must be exhaustive. There should be enough classes to accommodate all the data. 4) The classes must be equal in width. This avoids a distorted view of the data.

Chp.2 Page 1

One exception occurs when there is an open-ended distribution (it has no specific beginning value or no specific ending value.) The method for constructing a frequency distribution is not unique, and there are other ways of constructing one. Slight variations exist, especially in computer packages. But regardless of what methods are used, classes should be mutually exclusive, continuous, exhaustive, and of equal width. Reasons for Constructing a Frequency Distribution: 1) To organize the data in a meaningful, intelligible way. 2) To enable the reader to determine the nature or shape of the distribution. 3) To facilitate computational procedures for measures of average and speed. 4) To enable the researcher to draw charts and graphs for the presentation of data. 5) To enable the reader to make comparisons among different data sets. Example 1: Thirty army inductees were given a blood test to determine their blood type. The data set is given below: A O A AB O A O B B O AB B B A B B B O O O A AB O B A O AB O B B

Construct a categorical frequency distribution for the data. Example 2: The heights in inches of commonly grown herbs are shown below. Organize the data into a frequency distribution with six classes, and think of a way in which these results would be useful. 18 12 18 20 20 16 18 36 16 18 14 20 24 20 7 10 18 15 24

Source: The Old Farmers Almanac

2-3 Histograms, Frequency Polygons, and Ogives After the data have been organized into a frequency distribution, they can be presented in graphical form. The purpose of graphs in statistics is to convey the data to viewers in pictorial form. Graphs are also useful in getting the audiences attention in a publication or a speaking presentation. They can be used to discuss an issue, reinforce a critical point, or summarize a data set. The can also be used to discover a trend or pattern in a situation over a period of time. The three most commonly used graphs in research are: 1) The histogram: a graph that displays the data by using contiguous vertical bars (unless the frequency of a class is 0) of various heights to represent the frequencies of the classes. 2) The frequency polygon: a graph that displays the data by using lines that connect points plotted for the frequencies at the midpoints of the classes. The frequencies are represented by the heights of the points.

Chp.2 Page 2

3) The ogive (or cumulative frequency): a graph that represents the cumulative frequencies for the classes in a frequency distribution. Constructing Statistical Graphs 1) Draw and label the x and y axes. 2) Choose a suitable scale for the frequencies or cumulative frequencies, and label it on the y axis. 3) Represent the class boundaries for the histogram or ogive, or the midpoint for the frequency polygon, on the x axis. 4) Plot the points and then draw the bars or lines. The histogram, the frequency polygon, and the ogive are constructed by using frequencies in terms of raw data. These distributions can be converted to distributions using proportions instead of raw data as frequencies. These types of graphs are called relative frequency graphs. Relative frequency graphs are used when the proportion of data values that fall into a given class is more important than the actual number of data values that fall into that class. To convert a frequency into a proportion or relative frequency, divide the frequency for each class by the total of the frequencies. The sum of the relative frequencies will always be one. Example 1: For 75 employees of a large department store, the following distribution for years of service was obtained. Construct a histogram, frequency polygon, and ogive for the data. A majority of the employees have worked for how many years or less? Class limits 1.5 6.10 11.15 16.20 21.25 26.30 Distribution Shapes Distributions are most often not perfectly shaped, so it is necessary not to have an exact shape but rather to identify an overall pattern. A bell-shaped distribution has a single peak and tapers off at either end. It is approximately symmetric; i.e., it is roughly the same on both sides of a line running through the center. A uniform distribution is basically flat or rectangular. A J-shaped distribution has a few data values on the left side and increases as one moves to the right. A reverse J-shaped distribution is the opposite of a J-shaped distribution. When the peak of the distribution is to the left and the data values taper off to the right, a distribution is said to be right-skewed. Frequency 21 25 15 0 8 6

Chp.2 Page 3

When the data values are clustered to the right and taper off to the left, a distribution is said to be left-skewed. Distributions with one peak are said to be unimodal. When a distribution has two peaks of the same height, it is said to be bimodal. A U-shaped distribution has peaks on both the left and right and then decreases as one moves toward the center. The highest peak of a distribution indicates where the mode of the data value is. The mode is the data value that occurs more often than any other data value.

2-4 Other Types of Graphs I. Pareto Charts: used to represent a frequency distribution for a categorical variable, and the frequencies are displayed by the heights of vertical bars, which are arranged in order from highest to lowest.

Suggestions for Drawing Pareto Charts: 1) Make the bars the same width. 2) Arrange the data from largest to smallest according to frequencies. 3) Make the units that are used for the frequency equal in size. Example 1: The World Roller Coaster Census Report lists the following number of roller coasters on each continent. Represent the data graphically, using a Pareto Chart. Africa Asia Australia Europe North America 643 South America 45 Source: www.rcdb.com II. Time Series Graphs: represents data that occur over a specific period of time Steps: 1) Draw and label the x and y axes. 2) Label the x axis for years and the y axis for the frequencies. 3) Plot each point according to the table. 4) Draw line segments connecting adjacent points. Do not try to fit a smooth curve through the data points. 17 315 22 413

Chp.2 Page 4

Example 2: Draw a time series graph to represent the data for the number of airline departures (in millions) for the given years. Year No. of departures 1994 7.5 1995 8.1 1996 8.2 1997 8.2 1998 8.3 1999 8.6 2000 9.0

Source: The World Almanac and Book of Facts III. Pie Graphs: circles that are divided into sections or wedges according to the percentages of frequencies in each category of the distributions. Steps: 1) Since there are 360 degrees in a circle, the frequency for each class must be converted into a proportional f 360 . part of the circle. This conversion is done by using the formula Degrees = n 2) Convert each frequency into a percentage. 3) Use a protractor and a compass to draw the graph and label each section with the name and percentages. 4) Example 3: The following data are based on a survey from American Travel Survey on why people travel. Construct a pie graph for the data and analyze the results. Purpose Personal Business Visit friends or relatives Work-related Leisure IV. Number 146 330 225 299

Stem and Leaf Plots: data plot that uses part of the data value as the stem and part of the data value as the leaf to form groups or classes. Steps: 1) Arrange the data in order. 2) Separate the data according to the first digit. 3) Use the leading digit as the stem and the trailing digit as the leaf.

Example 4: The National Insurance Crime Bureau reported that these data represent the number of registered vehicles per car stolen for 35 selected cities in the United States. For example, in Miami, one automobile is stolen for every 38 registered vehicles in the city. Construct a stem and leaf plot for the data and analyze the distribution. (The data have been rounded to the nearest whole number.) 38 53 53 56 69 89 94 41 58 68 66 69 89 52 50 70 83 81 80 90 74 50 70 83 59 75 78 73 92 84 87 84 85 84 89 V. Back-to-back Stem and Leaf Plot: uses the same digits for the stems of both distributions, but the digits that are used for the leaves are arranged in order out from the stems on both sides.

Example 5: (Exercise #18)

Chp.2 Page 5

You might also like