KEMBAR78
OBE Syllabus PDF | PDF | Audit | Auditor's Report
0% found this document useful (0 votes)
759 views8 pages

OBE Syllabus PDF

This document outlines the course syllabus for an Auditing Theory Review course, including course objectives, topics, activities, and assessments. The course aims to provide an understanding of auditing concepts, standards, and practices. Students will learn about audit planning, evidence, procedures, and reporting through lectures, exercises, assignments, and exams.

Uploaded by

rollrams
Copyright
© Attribution Non-Commercial (BY-NC)
We take content rights seriously. If you suspect this is your content, claim it here.
Available Formats
Download as PDF, TXT or read online on Scribd
0% found this document useful (0 votes)
759 views8 pages

OBE Syllabus PDF

This document outlines the course syllabus for an Auditing Theory Review course, including course objectives, topics, activities, and assessments. The course aims to provide an understanding of auditing concepts, standards, and practices. Students will learn about audit planning, evidence, procedures, and reporting through lectures, exercises, assignments, and exams.

Uploaded by

rollrams
Copyright
© Attribution Non-Commercial (BY-NC)
We take content rights seriously. If you suspect this is your content, claim it here.
Available Formats
Download as PDF, TXT or read online on Scribd
You are on page 1/ 8

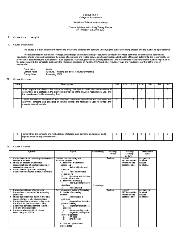
X UNIVERSITY College of Accountancy Bachelor of Science in Accountancy Course Syllabus in Auditing Theory Review 2nd Trimester, S.Y.

2011-2012

I.
II.

Course Code:

Acctg30

Course Description: The course is a three-unit subject intended to provide the students with concepts underlying the public accounting practice and the auditor as a professional. This subject tests the candidates conceptual knowledge and understanding of assurance and related services performed by professional accountants. Candidates should know and understand the nature of assurance and related services particularly independent audits of financial statements, the responsibilities of professional accountants; the audit process; audit objectives, evidence, procedures, auditing standards, and the elements of the independent auditors report. In all the areas included, the candidate shall apply the Philippine Standards on Auditing (PSA) and other regulatory laws and regulations in effect at the time of examination. Credit Units Contact Hours Prerequisites : 3 units : 50 hours, 1 meeting per week, 4 hours per meeting : Accounting 20/21

III.

Course Outcomes: CO # 1 Description State, explain and discuss the nature of auditing, the type of audit, the characteristics if accounting, as a profession, the significant provisions of the Revised Accountancy Law, and the operations of public accounting firms. Explain and discuss the nature of audit objectives, evidences, procedures and techniques and apply the concepts and principles of internal control and techniques used to review and evaluate internal controls. PO1 3 PO2 1 PO3 2 PO4 1 PO5 1 PO6 1 PO7 3

Demonstrate the concepts and methodology of statistic audit sampling and prepare audit reports under varying circumstances.

IV.

Course Contents:
Objectives Topics Fundamentals of Auditing and Assurance Services A. Introduction to assurance engagements 1. Nature, objective and elements 2. Types of assurance engagements 3. Assurance service vis-vis attestation services B. Introduction to auditing 1. Nature, philosophy, and objectives 2. Types of audits The Professional Practice of Accounting A. Practice of accounting profession 1. Accounting as a profession 2. Organizations that affect public accounting a. Regulatory government agencies b. Standard-setting bodies 3. Regulation of the public accounting practice a. RA 9298 b. SRC Rule 68 B. The CPAs professional responsibilities # of meetings Grading Period Teaching Learning Activities Lecture/ PPT Presentation Problem-solving Board Exercises Assessment Tools Assignments Seatwork Quizzes Recitations

1. Discuss the essence of auditing and assurance services in business. 2. Identify the elements of assurance engagements and cites actual examples of assurance engagements 3. Discuss the basic principles of auditing 4. Discuss the classification of audit and auditors

Prelims

3 meetings Prelims
Lecture/ PPT Presentation Problem-solving Board Exercises Assignments Seatwork Quizzes Recitations

1. Discuss the attributes of a profession 2. Discuss the environment of the accounting professions 3. Identify and discuss the impact of regulatory agencies to the exercise of accountancy 4. Discuss the different standard setting bodies that affects the practice of accountancy 5. Discuss the regulations set forth under the Code of Professional Ethics 6. Discuss requirement of the Philippine Accountancy Act of 2004

1.Philippine Standards on Auditing 2.Code of Ethics 3.Quality control 4. PSA 240 Fraud, Error, and Noncompliance

1. Discuss the overview of the audit process.


2. Rationalize and discuss the importance of risks assessment procedures in the pre-engagement stage of the audit. 3. Discuss the elements of audit planning and its scope. 4. Discuss the importance of supervision

PRELIM EXAMINATION OCTOBER 21-22, 2011 The Financial Statements Audit Client 1 meeting Midterms Acceptance, Audit Planning, Supervision and Monitoring A. The Generally Accepted Auditing Standards (GAAS) B. Overview of the audit process C. Pre-engagement procedures D. Audit Planning Requirements 1. Planning requirements a. Knowledge of the business b. Preliminary analytical procedures c. Materiality d. Assessing and managing audit risks e. Overall audit plan and audit program f. Considerations of the work of others (experts, internal auditor, other independent auditors) 2.Direction, supervision and review PSA 315 and PSA 330 Understanding the Entity and its Environment Including its Internal Control and Assessing the Risks of Material Misstatement A. Industry, regulatory and other external factors, including the applicable financial reporting framework B. Internal control a. Understanding and

Lecture/ PPT Presentation Problem-solving Board Exercises

Assignments Seatwork Quizzes Recitations

1. Discuss the procedures used to obtain understanding of an entity and its environment. 2. Discuss the required understanding of the entitys internal control. 3. Discuss assessing the risks of material misstatement at the financial statement level and at the assertion level. 4. Discuss development of responses to assessed level of risks at the financial statement level and assertion level.

1 meeting

Midterms

Lecture/ PPT Presentation Problem-solving Board Exercises

Assignments Seatwork Quizzes Recitations

documentation b. Assessment of control risks a) Test of controls b) Documentation C. Assessing the risks of material misstatement 1. D. Communicating with those charged with governance and management

1. Define and contrast audit objectives, 2. 3.


procedures, evidence and documentations Discuss reliability of audit evidence Discuss audit procedures and working paper documentations

Audit Objectives, Procedures, Evidences and Documentation A. Nature and significance B. Evidential matters C. Audit procedures / techniques D. Audit working papers Audit Sampling A. Basic audit sampling concepts 1.Nature and purpose 2. Non-statistical and statistical sampling 3. Attribute and variables sampling technique 4.Sampling and non-sampling risk 5. Testing procedures which do not involve sampling B. Factors affecting sample design C. Factors affecting sample size D. Sample selection methods E. Evaluation of sample results

1.5 meeting

Midterms

Lecture/ PPT Presentation Problem-solving Board Exercises

Assignments Seatwork Quizzes Recitations

1. Discuss the nature and type of sampling


2. 3. 4. 5. approaches Distinguish statistical and non-statistical sampling Discuss the application of audit sampling for test of controls Discuss the application of audit sampling for substantive tests Discuss projection and estimation of errors in a given population Discuss evaluation of sampling results

1.5 meeting

Midterms

Lecture/ PPT Presentation Problem-solving Board Exercises

Assignments Seatwork Quizzes Recitations

6.

1. Discuss and identify engagement wrap-up procedures 2. Discuss the auditors post audit responsibilities

MIDTERM EXAMINATION NOVEMBER 23 24, 2011 Completing the Audit / Post-Audit 1 meeting Finals Responsibilities A. Completing the audit and audit report preparation B. Post-audit responsibilities 1.Subsequent discovery of facts 2. Subsequent discovery of omitted

Lecture/ PPT Presentation Problem-solving Board Exercises

Assignments Seatwork Quizzes Recitations

procedures 1. Discuss the preparation of audit reports 2. Discuss the rules of modification of the audit reports 3. Distinguish issues that do not lead to modification of the opinion and those that do not 4. Discuss reporting on comparatives Reports on Audited Financial Statements A. The unqualified auditors report B. Basic elements of the unqualified auditors report C. Modified auditors report 1.Matters that do not affect the auditors opinion 2. Matters that do affect the auditors opinion D. Report on comparatives Other Assurance and Non-assurance Services A. Procedures and reports on special purpose audit engagements 1.Audit of financial statements prepared in accordance with a comprehensive basis of accounting other than GAAP in the Philippines 2. Audit of a component of financial statements 3. Reports on compliance with contractual agreements 4.Reports on summarized financial statements B. Other assurance engagements: procedures and reports 1.Examination of prospective financial information 2. Engagements to review financial statements C. Non-assurance engagements 1. Agreed-upon procedures regarding financial information 2.Compilation of financial information

1 meeting

Finals

Lecture/ PPT Presentation Problem-solving Board Exercises

Assignments Seatwork Quizzes Recitations

1. Identify and discuss other assurance and nonassurance engagements that are provided by professional accountants in practice 2. Discuss professional requirements imposed by applicable standards for each line of service

1 meeting

Finals

Lecture/ PPT Presentation Problem-solving Board Exercises

Assignments Seatwork Quizzes Recitations

FINAL EXAMINATION

DECEMBER 14 -17, 2011

V. Teaching-Learning Activities (TLA) TLA Description 1 Lecture presentation 2 Problem-solving 3 Board exercises VI. Assessment Tools (AT) AT 1 2 3 Description Assignments and seatwork Examinations Recitations and quizzes

CO1 60% 30% 10%

CO2 60% 30% 10%

CO3 70% 20% 10%

CO1 10% 50% 40%

CO2 10% 50% 40%

CO3 10% 50% 40%

VII. Computation of Scores: Prelims: Prelim Grade = 10%SW/A + 40% QUIZ + 50% EXAM Midterms: Raw Midterm Grade = 10% SW/A + 40% QUIZ + 50% EXAM Midterm Grade = 50% Prelim Grade + 50% Midterm Raw Score Finals: Raw Final Grade = 10% SW/A + 40% QUIZ + 50% EXAM Final Grade = 50% Midterm grade + 50% Raw Final Grade VIII. References: A. Textbook: Acl 657.450218599 P538 2008 Acl 657.45 R358 2010 PICPA-MMR Committee on CPE (2008), Philippine Standards on Auditing, Ricchiute, David N. Auditing and Assurance Services 7th Edition, South Western College Publishing, Cincinnati, Ohio 2010 Ireneo, Jose M., Ireneo, Shirley C., and James, George R. (2011), Auditing and Assurance Principles

Salosagcol, Jekell, Tiu, Micheal and Hermosilla, Roel, Auditing Theory and Concepts, GIC Enterprises & Co., Inc. 2008 B. Books: Acl 657.45076 B63 2008 Acl 657.45076 C112 2008 Acl 657.45076 W618 2008 Bobadilla, Apolinario D. and Ocampo, Reynaldo R. (2008 Edition), Reviewer in Auditing Theory, Lares Bookstore, Manila Cabrera, Ma. Elenita Balatbat, Comprehensive CPA Reviewer in Auditing Theory, GIC Enterprises & Co. Inc, Manila 2008 Whittington, O. Ray and Delaney, Patrick R. (2008 Edition), Wiley CPA Exam Reviewer Auditing and Attestation, John Wiley & Sons, Inc., Hoboken, New Jersey Code of Ethics for Professional Accountants in the Philippines (Effective June 30, 2008) Philippine Standards on Auditing (PSAs), Auditing and Assurance Standards Council Philippine Standards on Assurance Engagements (PSAEs), Auditing and Assurance Standards Council Philippine Standards on Related Services (PSRSs), Auditing and Assurance Standards Council Philippine Standards on Review Engagements (PSREs), Auditing and Assurance Standards Council Philippine Standards on Quality Control (PSQCs), Auditing and Assurance Standards Council Practice Statements, Auditing and Assurance Standards Council R.A. 9298 Philippine Accountancy Act of 2004 (Effective May 13, 2004) Rules and Regulations for the Accreditation of Accounting Teachers (Effective June 20, 2008) C. Online References: www.prboa.com www.aasc.org.ph www.picpa.com.ph

Prepared by:

Evaluated by:

Approved by:

Noted by:

You might also like