KEMBAR78
Sample REM Front With Prepayment | PDF | Mortgage Law | Mortgage Loan
100% found this document useful (1 vote)
239 views2 pages

Sample REM Front With Prepayment

1. Annabelle Bauszat obtained a PHP800,000 loan from Binhi Rural Bank and used two parcels of land as collateral. 2. The document details the terms of the mortgage including the loan amount, interest rate, borrower's obligation to repay, bank's right to foreclose if default occurs, and procedures for prepayment. 3. Bauszat signed the mortgage to legally transfer rights over the two properties to the bank until the loan is repaid in full.

Uploaded by

kat perez
Copyright
© © All Rights Reserved
We take content rights seriously. If you suspect this is your content, claim it here.
Available Formats
Download as DOCX, PDF, TXT or read online on Scribd
100% found this document useful (1 vote)
239 views2 pages

Sample REM Front With Prepayment

1. Annabelle Bauszat obtained a PHP800,000 loan from Binhi Rural Bank and used two parcels of land as collateral. 2. The document details the terms of the mortgage including the loan amount, interest rate, borrower's obligation to repay, bank's right to foreclose if default occurs, and procedures for prepayment. 3. Bauszat signed the mortgage to legally transfer rights over the two properties to the bank until the loan is repaid in full.

Uploaded by

kat perez
Copyright
© © All Rights Reserved
We take content rights seriously. If you suspect this is your content, claim it here.
Available Formats
Download as DOCX, PDF, TXT or read online on Scribd
You are on page 1/ 2

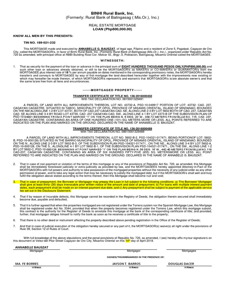
BINHI Rural Bank, Inc.

(Formerly: Rural Bank of Balingasag ( Mis.Or.), Inc.)

REAL ESTATE MORTGAGE


LOAN (Php800,000.00)

KNOW ALL MEN BY THIS PRESENTS:

TIN NO. 189-021-232

This MORTGAGE made and executed by ANNABELLE G. BAUSZAT, of legal age, Filipino and a resident of Zone 5, Pagatpat, Cagayan de Oro
City, called the MORTGAGOR/s, in favor of Binhi Rural Bank, Inc. (Formerly Rural Bank of Balingasag (Mis.Or.), Inc.)., organized under Republic Act No.
720 as amended, with principal office at RBBI Building Rizal Cor. Malvar St., Brgy-.5, Poblacion, Balingasag, Misamis Oriental called the MORTGAGEE.

WITNESSETH:

1. That as security for the payment of the loan or advance in the principal sum of EIGHT HUNDRED THOUSAND PESOS ONLY(PHP800,000.00) and
such other loan or advances already obtained, or still to be the MORTGAGOR/s as MAKER/s or CO-MAKER/s or GUARANTOR/s from the
MORTGAGEE plus interest rate of 18 % per annum payable on dates mentioned in the corresponding promissory notes, the MORTGAGOR/s hereby
transfer/s and convey/s to MORTGAGEE by way of first mortgage the land described hereunder together with the improvements now existing or
which may hereafter be made thereon, of which MORTGAGOR/s represent/s and warrant/s that MORTGAGOR/s is/are absolute owner/s and that
the same is/are free from all liens and encumbrances.

- - - - - - M O R T G AG E D P R O P E R T Y - - - - - -

TRANSFER CERTIFICATE OF TITLE NO. 136-2016000450


With TAX DECLARATION NO. 0815001329491

A PARCEL OF LAND WITH ALL IMPROVEMENTS THEREON, LOT NO. 43732-A, PSD-10-049917 PORTION OF LOT: 43732- CAD. 237,
CAGAYAN CADASTRE, SITUATED IN TABOC, MINICIPALITY OF OPOL, PROVINCE OF MISAMIS ORIENTAL, ISLAND OF MINDANAO. BOUNDED
ON THE NW ALONG LINE 1-2 BY LOT 43731, BOTH OF CAD.237 CAGAYAN CAD. NE, ALONG LINE 2-3 BY LOT 5602 BOTH OF CAD. 237, CAGAYAN
CAD. SE ALONG LINE 3-4 BY ROAD LOT 43739, CAD -237 CAGAYAN CAD. SW., ALONG LINE 4-1 BY LOT 4373-B OF THE SUBDIVISION PLAN OF
PSD-10-04991 BEGINNING FROM A POINT MARKED “1” ON THE PLAN BEING N. 6 DEG. 20’ W., 349.72 METERS FROM BLLM NO. 115, CAD. 237,
CAGAYAN CADASTRE, CONTAINING AN AREA OF ONE HUNDRED ONE (101) SQ, METERS MORE OR LESS. ALL POINTS REFERRED TO ARE
INDICATED ON THE PLAN AND MARKED ON THE GROUND. DECLARED IN THE NAME OF ANNABELLE G. BAUSZAT.

TRANSFER CERTIFICATE OF TITLE NO. 136-2016000489


With TAX DECLARATION NO. 08015001329489

A PARCEL OF LAND WITH ALL IMPROVEMENTS THEREON, (LOT NO. 5602-B-2, PSD-104321-017471, BEING PORTIONOF LOT: 5602-
B, PSD-10-000126) SITUATED IN THE BARRIO MUNICIPALITY OF OPOL, PROVINCE OF MISAMIS ORIENTAL, ISLAND OF MINDANAO. BOUNDED
ON THE N., ALONG LINE 2-3 BY LOT 5602-B-3, OF THE SUBDIVISION PLAN PSD-104321-017471., ON THE NE., ALONG LINE 3-4 BY LOT 5602-A,
PSD-10-000126, ON THE S., ALONGLINE 4-1 BY LOT 5602-B-1, OF THE SUBDIVISION PLAN PSD-104321-017471., ON THE SW., ALONG LINE 1-2
BY LOT 5602-C, PSD-10-000126. BEGINNING AT POINT MARKED “1” ON THE PLAN BEING N. 56 DEG. 16’ W., 442.40 METERS FROM BLLM NO.116
CAD-237, CAGAYAN CADASTRE. CONTAINING AN AREA OF SIX HUNDRED FIFTY-FIVE (655) SQ. METERSMORE OR LESS. ALL POINT
REFERRED TO ARE INDICATED ON THE PLAN AND MARKED ON THE GROUND. DECLARED IN THE NAME OF ANNABELE G. BAUSZAT.

2. That in case of non-payment or violation of the terms of this mortgage or any of the provisions of Republic Act No. 720, as amended, this Mortgage
shall be immediately foreclosed judicially or extra-judicially as provided by law, and the MORTGAGEES hereby appointed Attorney-in-Fact of the
MORTGAGOR/s with full powers and authority to take possession of the mortgaged properties without the necessity of any judicial order as any other
permission of power, and to take any legal action that may be necessary to satisfy the mortgaged debt, but if the MORTGAGOR/s shall well and truly
fulfill the obligation above stated according to the terms thereof, then this Mortgage shall become null and void;

3. That in case of prepayment, the Borrower or Mortgagor may prepay the Loan in full subject to the following conditions: a) The Borrower/ Mortgagor
shall give at least thirty (30) days irrevocable prior written notice of the amount and date of prepayment; b) For loans with multiple interest payment
dates, each prepayment shall be made on an interest payment due date; and c) Any prepayment shall be subject to payment of the applicable service
fee set out in the Disclosure Statement.

4. That if by reason of incurable defects, this Mortgage cannot be recorded in the Registry of Deeds, the obligation therein secured shall immediately
become due, payable and defaulted;

5. That it is further agreed that when the properties mortgaged are not registered under the Torrens system nor the Spanish Mortgage Law, this Mortgage
shall be registered under Act No. 3344, provided that when the property becomes registered under the Torrens Law, which this mortgage subsist,
this contract is the authority for the Register of Deeds to annotate this mortgage at the bank of the corresponding certificate of title; and provided,
further, that mortgagor obliges himself to notify the bank as soon as he receives a certificate of title to the property;

6. That there is no other deed or instrument affecting the property described above pending registration in the Office of the Register of Deeds;

7. And that in case of judicial execution of the obligation hereby secured or any part of it, the MORTGAGOR(s) waive(s) all right under the provisions of
Rule 39, Section 12 of Rules of Court.

With full knowledge of the above stipulations and the penal provisions of Republic No. 720, as amended, I (we) hereby affix my/our signature/s on
this document at Velez-del Pilar Street Cagayan de Oro City, Misamis Oriental on this 14th day of April 2018.

ANNABELLE BAUSZAT
Mortgagor Mortgagor Mortgagee

SIGNED/THUMBMARKED IN THE PRESENCE OF:

MA. FE BORRES JAYSON T. BARROS DOUGLAS DACER


Witness Witness Witness
ACKNOWLEDGEMENT

REPUBLIC OF THE PHILIPPINES )


) S.S.

At the locality above-mentioned, this 14th day of April, 2018 personally appeared the following:

NAMES VALID IDS DATE/PLACE ISSUED


ANNABELLE G. BAUSZAT PASSPORT C223V3MKG JULY 4, 2010
CALVIN CEAZAR EMATA DRIVER’S LICENSE K02-97-071692 FEBRUARY 25, 2015 CDOC

known to mw to be the same person/s who executed the foregoing instrument and acknowledged that the same is his/her free and voluntary act and deed. This instrument
refers to a mortgage of five (5) parcel/s of land described on the face hereof, consists of two (2) pages, and is/are signed by the mortgagor/s and his/their witness.

IN WITNESS WHEREOF, I have set my hand and affixed my seal on the date and place above stated.

NOTARY PUBLIC
Page No. :
Book No. :
Doc. No. :
Series of :

You might also like