KEMBAR78
Lithium Battery Flowchart | PDF | Dangerous Goods | Cargo
0% found this document useful (0 votes)
328 views6 pages

Lithium Battery Flowchart

Effective January 5, 2018, FedEx Express updated its policies on shipping lithium ion batteries. Key points include: - Section IA batteries over 20Wh for cells or 100Wh for batteries require special labeling and UN packaging. Section IB batteries under these limits have less strict requirements. - Section I batteries in equipment have the same requirements whether contained in or packed with the equipment. Section II batteries in equipment are more flexible to ship. - Hazard labels, marks, and statements are required indicating the presence of lithium batteries. Packages cannot contain certain hazardous materials together and have limits on the number and power of cells/batteries included.

Uploaded by

Roland
Copyright
© © All Rights Reserved
We take content rights seriously. If you suspect this is your content, claim it here.
Available Formats
Download as PDF, TXT or read online on Scribd
0% found this document useful (0 votes)
328 views6 pages

Lithium Battery Flowchart

Effective January 5, 2018, FedEx Express updated its policies on shipping lithium ion batteries. Key points include: - Section IA batteries over 20Wh for cells or 100Wh for batteries require special labeling and UN packaging. Section IB batteries under these limits have less strict requirements. - Section I batteries in equipment have the same requirements whether contained in or packed with the equipment. Section II batteries in equipment are more flexible to ship. - Hazard labels, marks, and statements are required indicating the presence of lithium batteries. Packages cannot contain certain hazardous materials together and have limits on the number and power of cells/batteries included.

Uploaded by

Roland
Copyright
© © All Rights Reserved
We take content rights seriously. If you suspect this is your content, claim it here.
Available Formats
Download as PDF, TXT or read online on Scribd
You are on page 1/ 6

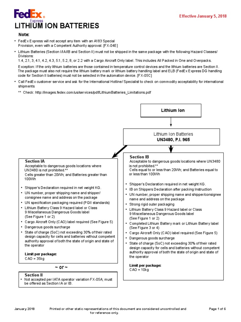
Effective January 5, 2018

LITHIUM ION BATTERIES


Note:
• FedEx Express will not accept any item with an A183 Special
Provision, even with a Competent Authority approval. [FX-04E]
• Lithium Batteries (Section I/IA/IB and Section II) must not be shipped in the same package with the following Hazard Classes/
Divisions:
1.4, 2.1, 3, 4.1, 4.2, 4.3, 5.1, 5.2, 8, or 2.2 with a Cargo Aircraft Only label. This includes All Packed in One and Overpacks.
Exception: If the only lithium batteries are those contained in temperature control devices and the lithium batteries are Section II.
The package must also not require the lithium battery mark or lithium battery handling label and ELB (FedEx Express DG handling
code for Section II batteries) must not be selected in the automation device. [FX-05C]
• Call FedEx customer service and ask for the International Hotline/ Specialist to check on commodity acceptability for international
shipments
** Check: http://images.fedex.com/us/services/pdf/LithiumBatteries_Limitations.pdf

Lithium Ion

Lithium Ion Batteries


UN3480, P.I. 965

Section IB
Section IA Acceptable to dangerous goods locations where UN3480
Acceptable to dangerous goods locations where is not prohibited.**
UN3480 is not prohibited.** Cells equal to or less than 20Wh; and Batteries equal to
Cells greater than 20Wh; and Batteries greater than or less than 100Wh
100Wh
• Shipper’s Declaration required in net weight KG.
• Shipper’s Declaration required in net weight KG. • IB on Shippers Declaration after packing Instruction
• UN number, proper shipping name and shipper/ • UN number, proper shipping name and shipper/consignee
consignee name and address on the package name and address on the package
• UN specification packaging required (PGII standards) • Strong rigid outer packaging
• Lithium Battery Class 9 Hazard label or Class • Lithium Battery Class 9 Hazard label or Class
9 Miscellaneous Dangerous Goods label 9 Miscellaneous Dangerous Goods label
(See Figure 1 or 2) (See Figure 1 or 2)
• Cargo Aircraft Only (CAO) label required (See Figure 5) • Completed Lithium Battery mark or Lithium Battery label
• Dangerous goods surcharge (See Figure 3 or 4)
• State of charge (SoC) not exceeding 30% of their rated • Cargo Aircraft Only (CAO) label required (See Figure 5)
design capacity for cells and batteries without competent • Dangerous goods surcharge
authority approval of both the state of origin and state of
• State of charge (SoC) not exceeding 30% of their rated
the operator
design capacity for cells and batteries without competent
authority approval of both the state of origin and state of
Limit per package:
the operator
CAO = 35kg
Limit per package:
~ or ~ CAO = 10kg
Section II
• Not accepted per IATA operator variation FX-05A; must
be offered as Section IA or IB.

January 2018 Printed or other static representations of this document are considered uncontrolled and Page 1 of 6
for reference-only.
Effective January 5, 2018

FedEx Express does not provide these DG Labels. Customers may order these labels from vendors, such as those
at www.iata.org/labels.

*
9 9_
**
_

Lithium Battery Class 9 Class 9 Miscellaneous Lithium Battery Mark Lithium Battery Label
Hazard Label Dangerous Goods Hazard
Label
Figure 1 Figure 2 Figure 3 Figure 4
Shipper must add UN “Lithium ion battery” OR
CARGO AIRCRAFT number(s). It should be 12 mm “Lithium metal battery” AND
ONLY high AND
Shipper must complete phone
6

Shipper must complete phone number portion of label. AND


number portion
of label. Mark the UN number(s) on the
FORBIDDEN IN PASSENGER AIRCRAFT package adjacent to the label
per FX-05D.

Figure 5

January 2018 Printed or other static representations of this document are considered uncontrolled and Page 2 of 6
for reference-only.
Effective January 5, 2018
LITHIUM ION BATTERIES
Lithium Ion

Lithium Ion Batteries packed with equipment Lithium Ion Batteries contained in equipment
UN3481, P.I. 966 UN3481, P.I. 967

Section I Section I
Acceptable to dangerous goods locations Acceptable to dangerous goods locations
Only. Only. Cells greater than 20Wh; and
Cells greater than 20Wh; and Batteries Batteries greater than 100Wh
greater than 100Wh
• Shipper’s Declaration required in net weight • Shipper’s Declaration required in net
KG. weight KG.
• UN number, proper shipping name and • UN number, proper shipping name and
shipper/consignee name and address on the shipper/consignee name and address on
package the package
• UN specification packaging required (PGII • Strong rigid outer packaging
standards) • Lithium Battery Class 9 Hazard label or
• Lithium Battery Class 9 Hazard label or Class 9 Miscellaneous Dangerous Goods
Class 9 Miscellaneous Dangerous Goods label (See Figure 1 or 2)
label (See Figure 1 or 2) • Dangerous goods surcharge
• Dangerous goods surcharge
• 2 spare cells or batteries per device Limit per package:
maximum PAX = 5kg
CAO = 35kg
Limit per package:
PAX = 5kg
CAO = 35kg ~ or ~
~ or ~ Section II
Acceptable to most locations
Cells equal to or less than 20Wh; and Batteries equal to
Section II or less than 100Wh
Acceptable to most locations.
Cells equal to or less than 20Wh; and Batteries • No Shipper’s Declaration
equal to or less than 100Wh • Strong rigid outer packaging
• Completed Lithium Battery mark or Lithium Battery label
• No Shipper’s Declaration if more than 4 cells and 2 batteries per package (See
• Strong rigid outer packaging Figure 3 or 4)
• Completed Lithium Battery mark or Lithium • When the lithium battery label (Figure 4) is used, the UN
Battery label (See Figure 3 or 4) number must be on the package adjacent to the label.
• When the lithium battery label (Figure 4) is used, Exception
the UN number must be on the package adjacent
This requirement does not apply to:
to the label.
– packages containing only button cell batteries
• No Dangerous goods surcharge
installed in equipment (including circuit boards) or
• 2 spare cells or batteries per device maximum
– consignments of two packages or less where each
package contains no more than 4 cells or 2 batteries
Limit per package: installed in equipment
PAX = 5kg
CAO = 5kg • No Dangerous goods surcharge

Limit per package:


PAX = 5kg
CAO = 5kg

January 2018 Printed or other static representations of this document are considered uncontrolled and Page 3 of 6
for reference-only.
LITHIUM METAL BATTERIES Effective January 5, 2018

Lithium Metal

Lithium Metal Batteries


UN3090, P.I. 968

Section IA Section IB
Acceptable to dangerous goods locations where Acceptable to dangerous goods locations where UN3090
UN3090 is not prohibited.** is not prohibited.**
Cells greater than 1g and Batteries greater than 2g Cells equal to or less than 1g; and Batteries equal to or
less than 2g
• Shipper’s Declaration required in net weight KG.
• UN number, proper shipping name and shipper/ • Shipper’s Declaration required in net weight KG.
consignee name and address on the package • IB on Shipper’s Declaration after packing instruction
• UN specification packaging required (PGII • UN number, proper shipping name and shipper/consignee
standards) name and address on the package
• Lithium Battery Class 9 Hazard label or Class • Strong rigid outer packaging.
9 Miscellaneous Dangerous Goods label • Lithium Battery Class 9 Hazard label or Class 9
(See Figure 1 or 2) Miscellaneous Dangerous Goods label (See Figure 1 or 2)
• Cargo Aircraft Only (CAO) label required (See • Completed Lithium Battery mark or Lithium Battery label
Figure 5) (See Figure 3 or 4)
• Dangerous goods surcharge • Cargo Aircraft Only (CAO) label required (See Figure 5)
• Shipper must be on Section I (IA/IB) preapproval list • Shipper must be on Section I (IA/IB) preapproval list
(FX-05B) (FX-05B)
• Dangerous goods surcharge
Limit per package:
Must be on CAO = 35kg
Limit per package:
Must be CAO = 2.5kg
~ or ~
Section II
• Not accepted per IATA operator variation FX-05A;
must be offered as Section IA or IB.

FedEx Express does not provide these DG Labels. Customers may order these labels from vendors, such as those at www.iata.org/labels.

*
9
_ 9_ **
Lithium Battery Class 9 Class 9 Miscellaneous Lithium Battery Label
Lithium Battery Mark
Hazard Label Dangerous Goods Hazard Label
Figure 1 Figure 2 Figure 4
Figure 3
CARGO AIRCRAFT Shipper must add UN “Lithium ion battery” OR
ONLY
number(s). It should be 12 “Lithium metal battery” AND
mm high AND
6

Shipper must complete phone


Shipper must complete number portion of label. AND
phone number portion Mark the UN number(s) on the
FORBIDDEN IN PASSENGER AIRCRAFT
of label. package adjacent to the label per
FX-05D.
Figure 5
January 2018 Printed or other static representations of this document are considered uncontrolled and Page 4 of 6
for reference-only.
LITHIUM METAL BATTERIES Effective January 5, 2018

Lithium Metal

Lithium Metal Batteries packed with equipment Lithium Metal Batteries contained in equipment
UN3091, P.I. 969 UN3091, P.I. 970

Section I Section I
Acceptable to Dangerous goods locations Only. Acceptable to dangerous goods locations Only.
Cells greater than 1g; and Batteries greater than 2g Cells greater than 1g; and
Batteries greater than 2g
• Shipper’s Declaration required in net weight KG.
• UN number, proper shipping name and shipper/ • Shipper’s Declaration required in net weight KG.
consignee name and address on the package • UN number, proper shipping name and shipper/
consignee name and address on the package
• UN specification packaging required (PGII
standards) • Strong rigid outer packaging
• Lithium Battery Class 9 Hazard label or Class • Lithium Battery Class 9 Hazard label or Class
9 Miscellaneous Dangerous Goods label 9 Miscellaneous Dangerous Goods label
(See Figure 1 or 2) (See Figure 1 or 2)
• Dangerous goods surcharge • Dangerous goods surcharge
• 2 spare cells or batteries per device maximum
Limit per package:
Limit per package: PAX = 5kg
PAX = 5kg CAO = 35kg
CAO = 35kg ~ or ~
Section II
~ or ~ Acceptable to most locations..
Cells equal to or less than 1g; and Batteries equal to or
Section II less than 2g
Acceptable to most locations.
Cells equal to or less than 1g; and Batteries • No Shipper’s Declaration
equal to or less than 2g • Strong rigid outer packaging
• Completed Lithium Battery mark or Lithium Battery label
• No Shipper’s Declaration if more than 4 cells and 2 batteries per package (See
• Strong rigid outer packaging Figure 3 or 4)
• Completed Lithium Battery mark or Lithium • When the lithium battery label (Figure 4) is used, the UN
Battery label (See Figure 3 or 4) number must be on the package adjacent to the label.
• When the lithium battery label (Figure 4) is used, Exception
the UN number must be on the package adjacent
to the label. This requirement does not apply to:
• No Dangerous goods surcharge – packages containing only button cell batteries
• 2 spare cells or batteries per device maximum installed in equipment (including circuit boards) or
– consignments of two packages or less where each
package contains no more than 4 cells or 2 batteries
Limit per package:
installed in equipment
PAX = 5kg
CAO = 5kg • No Dangerous goods surcharge

Limit per package:


PAX = 5kg
CAO = 5kg

If you have questions please contact the Dangerous Goods/Hazardous Materials Hotline at (800) GOFEDEX and press “81” or say
dangerous goods. Press “4” to reach next available agent.

January 2018 Printed or other static representations of this document are considered uncontrolled and Page 5 of 6
for reference-only.
Effective January 5, 2018

DISCLAIMER:
This guide is based upon the 2018 “IATA Dangerous Goods Regulations” and provides a general overview of lithium battery shipping requirements. It does not
provide complete shipping information. Consult the packing instruction and all applicable Special Provisions for the product being shipped.

These materials are provided as a courtesy, to be used as guidelines to assist properly trained shippers. These materials do not alter, satisfy, or influence any
governmental requirements. The contents of these materials are subject to change due to constant changes in government regulations. FedEx Express accepts no
liability for loss or damage resulting from changes, errors, omissions, or misinterpretations of these materials.

January 2018 Printed or other static representations of this document are considered uncontrolled and Page 6 of 6
for reference-only.

You might also like