KEMBAR78
CCS 101 Software and Network Midterm Lecture | PDF | Operating System | Installation (Computer Programs)
0% found this document useful (0 votes)
120 views8 pages

CCS 101 Software and Network Midterm Lecture

Copyright
© © All Rights Reserved
We take content rights seriously. If you suspect this is your content, claim it here.
Available Formats
Download as DOC, PDF, TXT or read online on Scribd
0% found this document useful (0 votes)
120 views8 pages

CCS 101 Software and Network Midterm Lecture

Copyright
© © All Rights Reserved
We take content rights seriously. If you suspect this is your content, claim it here.
Available Formats
Download as DOC, PDF, TXT or read online on Scribd
You are on page 1/ 8

Introduction to Computing Midterm

SOFTWARE
Software - comprises of computer programs, support modules, and data modules
- provides a computer with the instructions and data to carry out a specific type of task.

Program - a set of instructions that solves a problem or carries out a task

Support Module - provides an auxiliary set of instructions used in conjunction with the main software program
- not designed to be run by the computer user

Types of Software
1. Systems software or System programs
2. Application software or Application programs

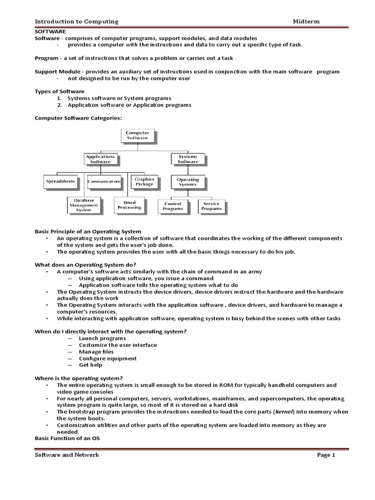
Computer Software Categories:

Basic Principle of an Operating System


• An operating system is a collection of software that coordinates the working of the different components
of the system and gets the user’s job done.
• The operating system provides the user with all the basic things necessary to do his job.

What does an Operating System do?


• A computer’s software acts similarly with the chain of command in an army
– Using application software, you issue a command
– Application software tells the operating system what to do
• The Operating System instructs the device drivers, device drivers instruct the hardware and the hardware
actually does the work
• The Operating System interacts with the application software , device drivers, and hardware to manage a
computer’s resources.
• While interacting with application software, operating system is busy behind the scenes with other tasks

When do I directly interact with the operating system?


– Launch programs
– Customize the user interface
– Manage files
– Configure equipment
– Get help

Where is the operating system?


• The entire operating system is small enough to be stored in ROM for typically handheld computers and
video game consoles
• For nearly all personal computers, servers, workstations, mainframes, and supercomputers, the operating
system program is quite large, so most of it is stored on a hard disk
• The bootstrap program provides the instructions needed to load the core parts (kernel) into memory when
the system boots.
• Customization utilities and other parts of the operating system are loaded into memory as they are
needed.
Basic Function of an OS

Software and Network Page 1


Introduction to Computing Midterm
• Process Management – handles multiprograms that are simultaneously running.
• Memory Management – manage memory between processes and data according to priority.
• Storage Management – Managing the permanent Storage of data on disks or other media
• I/O Management – Manage and schedule the input and output operations
• Device / Resource Management – Managing devices and resources and allowing the users to share the
resources
• Security and Protection – Securing the system against possible unauthorized access to data or any other
entity. Protecting the parts of the system against damage.
• Booting the System and getting it ready to work.
• Data communications – Providing interface to connect to other computers or allowing others to connect.

OS as an Interface

OS Services
• Program Development – variety of services and utilities such as Editors and debuggers. They are usually
referred to as application program development tools.
• Program Execution – involves a number of steps, such as loading Instruction and data in the main
memory, initialization of I/O devices and files, and other resources to be allocated. OS handles the
scheduling.
• Access to I/O devices – Each I/O device has its own set of Instructions and control signals. O.S. hides these
details to provide a common interface to the user/programmer.
• Controlled access to files- nature of I/O device (disk drive, tape drive) and structure of the data stored in
the files in the storage medium. In the case of multiple users accessing the processor concurrently, proper
protection mechanisms have to be used.
• System access- For shared or public systems, the O.S. controls access to the system as a whole and to
specific system resources. Access system provides protection of resources, and data from unauthorized
user s, and resolves resource conflicts
• Error detection and response – Variety of errors may occur in computer system. Responses may range
from program termination, retrial of the same operation, or reporting error to the application.
• Accounting – collecting usage statistics, CPU usages, monitor performance, etc.

Structure of an Operating System

• User – The system representation of the human operator who requests for services.
• Application Software – Special software to help the user do his task (E.g.. MS Word)

Software and Network Page 2


Introduction to Computing Midterm
• Shell – The program that interprets the commands or requests given by the user and gets the job done by
the kernel.
• Kernel – The core of the operating system. It uses the hardware to do the jobs required by the user or the
system. It coordinates among the hardware and interfaces it with the above layers.
• System Software – Software that can access the hardware directly and generally provides various system
services. (E.g.. The kernel itself, device drivers etc.).
• Hardware – The set of electronic devices that work together to ultimately do the job required by all the
upper levels

Types of Operating System


• Single-user Operating System
– Deals with one set of input devices, those that can be manipulated by one user at a time
– Multi-user Operating System
– Deals with input, output, and processing requests from many users, all at the same time
• Network Operating System
– Provides communications and routing services that allow computers to share data, programs and
peripheral devices
• Multitasking Operating System
– Provides process and memory management services that permit two or more programs to run
simultaneously
• Desktop Operating System
– Designed for a personal computer, either a desktop or notebook computer
– Designed to accommodate a single user, but may also provide networking and multitasking
capabilities

Application software, also known as an application or an "app", is computer software designed to help the user to
perform specific tasks. Examples include office suites, enterprise software, accounting software, graphics
software, media players and database management software. Many application programs deal principally
with documents. Apps may be bundled with the computer and its system software, or may be published
separately. Some users are satisfied with the bundled apps and need never install one.

Software Installation
Installation Process
a. Copy files from distribution disks to specified folders on the hard disk
b. Uncompress files if they have been distributed in a compressed format
c. Analyze the computer’s resources such as processor speed, RAM capacity, and hard disk capacity
d. Select appropriate device drivers, analyze hardware components and peripheral devices
e. Look for any system files and players such as Windows Media Player or Internet Explorer, which
are required to run the program but not supplied on the distribution disks
f. Update necessary system files like Window Registry and the Windows Program menu with
information about the new software

Software Installation Process


1. Insert the distribution disk, CD, or DVD.
2. Read the license agreement, if one is presented on the screen.
3. You will be prompted to select between full and custom installation. Choose the installation
option that best meets your needs.
4. Follow the instructions provided by the setup program to specify a folder to hold the new software
program.
5. If the software includes multiple distribution disks, insert each one in the specified drive when the
setup program tells you to do so.
6. When the setup is complete, begin the program that you just installed to make sure it works.

Compressed File Types Installation Process


 Manual Download and Installation
1. Downloaded files with a .zip extension must be located on the hard disk.
2. Use a program such as WinZip to unzip it.
3. Execute the setup program and then acknowledge the license agreement.
4. Specify the folder for the software files, and complete the installation.
 Executable File Self-Installation
1. Follow the setup program prompts to acknowledge the license agreement. The self-
installing executable file automatically unzips itself and starts the setup program.

Software and Network Page 3


Introduction to Computing Midterm
2. Specify the folder where you want to save the software files, and complete the
installation.

Ways to Uninstall a Software


 DOS – delete the software’s files
 Windows and Mac OS – delete the software’s files from various directories on the computer’s hard
disk
 Windows OS
 uninstall routine is on the same menu as the program
 use the Add/Remove Programs icon in the Control Panel

Software Copyright
 a form of legal protection that grants the author of an original” work”
 an exclusive right to copy, distribute, sell, and edit that work, except under special circumstances
described by copyright laws

Exceptions
Purchaser
 can make a backup or extra copy of the software for erased or damaged original copy
 allowed to copy and distribute parts of a software program for reviews and teaching
 has the right to copy software from a distribution disk or Web site for installation

License Agreement
a legal contract that defines the way in which a computer program may be used

Techniques Validating Software License


 shrink-wrap licenses
 installation agreements

- Guide Questions for Software License Agreement
o When does the license go into effect?
o Can I sell the software?
o Can I rent the software?
o Am I buying the software or licensing it?
o Can I loan the software to a friend?
o Does the software publisher provide a warranty?
o Under what circumstances can I make copies?

Types of Software License


Public Domain Software
o may be freely copied, distributed, and resold
o not protected by copyright
Commercial Software
o sold in computer stores or at Web sites
o adheres closely to the limitations provided by copyright law
Freeware
o a copyrighted software that is available for free
o allows you to use, copy, and distribute the software
Shareware
o a copyrighted software marketed under a “try before you buy” policy
o allows you to copy and distribute the software
o provide a low-cost marketing and distribution channel
Open Source Software
o may be sold or distributed free of charge
o uncompiled program instructions are available to programmers who want to alter and improve
the software
o Examples: Linux, FreeBSD

PRINCIPLES OF NETWORKING

Networking is the process of delivering a message from a source to a destination.

Software and Network Page 4


Introduction to Computing Midterm
Communication is the process of giving meaning to these messages received.

Computer Network
 It is a bunch of computers linked together.
 It is cost efficient and reliable.
 It serves as a good communication medium.

Uses of Network for People


 Access to remote information
 Person-to-person communication
 Interactive entertainment

Communication Channels
 a pathway over which information can be transferred
 information sent over a channel has a source (transmitter), from which the
information originates, and destination (receiver), to which the information is
delivered

Type of Communication Transmission


1. Simplex Channel
 a channel whose direction of transmission is unchanging
2. Half–Duplex Channel
 a channel in which the direction may be reversed, but the transmission does not
occur at the same time
3. Full–Duplex Channel
 a channel that allows simultaneous exchange in both directions

Types of Transmission Technologies


 Point-to-point Networks
 composed of many connections in individual pairs of machines
 Broadcast Networks
 all the machines on the network share a single channel

Types of Network Topologies

Distributed System

 Centralized Data Processing (CDP)

Software and Network Page 5


Introduction to Computing Midterm
-The conventional way of doing all the processing and control on centralized computers.

 Distributed Data Processing (DDP)


-refers to the manipulation of data using distributed systems

 Client/Server
-an extension of distributed data processing wherein it provides the best of both centralized
and distributed data processing

Types of Network
1, Local Area Network (LAN)
 connects network devices over relatively short distances
 usually owned by an individual or corporation, 10-100Mbps
2. Metropolitan Area Network (MAN)
 connects computers that are in specific geographical area like cable television
 5-10 Mbps, slower than LAN and smaller than WAN.
3. Wide Area Network (WAN)
 spans a large physical distance (geographically-dispersed collections of LANs)
 not owned by any one organization but rather exist under collective or distributed ownership
and management; 256Kbps-2Mbps

Web Technology and the Internet

Internet History and Development

Software and Network Page 6


Introduction to Computing Midterm

Types of Web Technology


 Internet
 refers to a collection of computers and cables forming a communications network
 is intended to carry computer data, similar to telephone network which is
intended to carry conversations
 carries a various data, including e-mail, videoconferences, instant messages, and
contents of Web pages
 Intranet
 is a private network contained in an enterprise that includes connections through one or
more gateway computers to the outside internet

 Extranet
 is a private network that uses Internet technology and the public telecommunication
system to securely share part of a business’ information or operations with suppliers,
vendors, partners, customers, or other businesses

Web Applications

 Web browser
 is an application software allowing users to access and view web pages?

 Web page
 is a page consisting of HTML documents stored on a web server?

 Web site

Software and Network Page 7


Introduction to Computing Midterm
 is a collection of connected web pages stored on a web server?

 Hypertext
 is a computer system that could store literary documents, link them according to
logical relationships, and permit readers to comment and annotate what they read

 HTML (Hypertext Markup Language)


 refers to plain text, or ASCII, document with embedded HTML tags

 Other Internet Services


 Electronic Mail
 File Transfer Protocol (FTP)
 Newsgroup and Message Boards
 Mailing Lists
 Chat Rooms
 Instant Messaging
 Internet Telephony

 Types of Web sites


 Portal
 News
 Informational
 Business/Marketing
 Educational
 Entertainment
 Advocacy
 Blog (weB Log)
 Personal

 Search Engine
 Is a program that finds web sites and pages
 Helps the user find particular information about certain topics or locate particular
web pages for which they do not know the exact web address
 Is a search text box available where you will enter your topic or subject to research

 Popular Search Engine


 Google
o is the largest search engine in the web whose purpose is to organize the
world’s information and make it universally accessible and useful?
 Yahoo! (Yet Another Hierarchical Officious
Oracle)
o is the first navigational portal to the web by Jerry Yang and David Filo

Software and Network Page 8

You might also like