KEMBAR78
Computer Number Systems Guide | PDF | Theory Of Computation | Computer Architecture
0% found this document useful (0 votes)
362 views8 pages

Computer Number Systems Guide

This document discusses number systems in computer systems. It describes the four main number systems used: binary (base 2), octal (base 8), decimal (base 10), and hexadecimal (base 16). It explains how each system uses different sets of digits or numerals to represent values. The document also provides examples of converting values between these number systems using procedures that multiply each digit by its place value and sum the results.

Uploaded by

Vibinsha
Copyright
© © All Rights Reserved
We take content rights seriously. If you suspect this is your content, claim it here.
Available Formats
Download as PDF, TXT or read online on Scribd
0% found this document useful (0 votes)
362 views8 pages

Computer Number Systems Guide

This document discusses number systems in computer systems. It describes the four main number systems used: binary (base 2), octal (base 8), decimal (base 10), and hexadecimal (base 16). It explains how each system uses different sets of digits or numerals to represent values. The document also provides examples of converting values between these number systems using procedures that multiply each digit by its place value and sum the results.

Uploaded by

Vibinsha
Copyright
© © All Rights Reserved
We take content rights seriously. If you suspect this is your content, claim it here.
Available Formats
Download as PDF, TXT or read online on Scribd
You are on page 1/ 8

See discussions, stats, and author profiles for this publication at: https://www.researchgate.

net/publication/320677641

Number System

Presentation · October 2017


DOI: 10.13140/RG.2.2.18838.04167

CITATIONS READS

0 32,763

1 author:

Ajayi Olusola Olajide


Adekunle Ajasin University
53 PUBLICATIONS   7 CITATIONS   

SEE PROFILE

Some of the authors of this publication are also working on these related projects:

Towards reducing congestion in cellular networks View project

An Enhanced Framework For Measuring Object-Oriented Software Component Reusability View project

All content following this page was uploaded by Ajayi Olusola Olajide on 27 October 2017.

The user has requested enhancement of the downloaded file.


ajayioo.ict@gmail.com

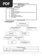
COMPUTER NUMBER SYSTEM


Number System
A number system in computer ideology is regarded as the method or system of
numbering and representing of digits in the computer ‘inner’ system. In other words, it is a
technique used in representing numbers in the computer system architecture. The digital
computer represents all kinds of data and information in binary numbers. This implies every
value/number that you are saving or feeding into/fetching from the computer system memory
has a defined number system. The value/data feed in/fetch from can includes but not limited
to: audio, graphics, video, text file, numbers etc. The total number of digits used in a number
system is called its base or radix. The base is written after the number as subscript; for instance
10001102 (1000110 base 2), 5610 (56 to base of 10), 718 (71 base 8) etc.
Computer architecture supports following number systems.
i. Binary number system (Base 2)
ii. Octal number system (Base 8)
iii. Decimal number system (Base 10)
iv. Hexadecimal number system (Base 16)

1) Binary Number System


A Binary number system has only two digits, which are 0 and 1. Every number (value) is
represented with 0 and 1 in this number system. The base of binary number system is 2, because
it has only two digits. Though DECIMAL (No 3) is more frequently used in Number
representation, BINARY is the number system form which the system/machine accepts.

2) Octal number system


Octal number system has only eight (8) digits from 0 to 7. Every number (value) is represented
with 0,1,2,3,4,5,6 and 7 in this number system. The base of octal number system is 8, because
it has only 8 digits.

3) Decimal number system


Decimal number system has only ten (10) digits from 0 to 9. Every number (value) is
represented with 0,1,2,3,4,5,6, 7,8 and 9 in this number system. The base of decimal number
system is 10, because it has only 10 digits.

AJAYI OLUSOLA OLAJIDE 1


ajayioo.ict@gmail.com

4) Hexadecimal number system


A Hexadecimal number system has sixteen (16) alphanumeric values from 0 to 9 and A to F.
Every number (value) represents with 0, 1, 2, 3, 4, 5, 6, 7, 8, 9, A, B, C, D, E and F in this
number system. The base of hexadecimal number system is 16, because it has 16 alphanumeric
values. Here, we have 0 to 9, representing 0 – 9 but from 10, we have A is 10, B is 11, C is
12, D is 13, E is 14 and F is 15.
The table above shows the sample representations

Number system Base Used digits Example

Binary 2 0,1 (11110000)2

Octal 8 0,1,2,3,4,5,6,7 (360)8

Decimal 10 0,1,2,3,4,5,6,7,8,9 (240)10

Hexadecimal 16 0,1,2,3,4,5,6,7,8,9, (F0)16


A,B,C,D,E,F

Number System Conversions


There are three types of conversion:
• Decimal Number System to Other Base
[for example: Decimal Number System to Binary Number System e.g. Base 10 to
Base 2 etc.]
• Other Base to Decimal Number System
[for example: Binary Number System to Decimal Number System e.g. Base 2 back to
Base 10 etc.]
• Other Base to Other Base
[for example: Binary Number System to Hexadecimal Number System e.g. Base 2 to
Base 16 etc.]

Let’s pick them one after the other to see how the computations are done and the underlying
logic behind them!

AJAYI OLUSOLA OLAJIDE 2


ajayioo.ict@gmail.com

Decimal Number System to Other Bases


The underlisted are the steps/procedures:
A) Divide the Number (Decimal Number) by the base of target base system (in which you
want to convert the number to e.g. Binary (2), Octal (8) OR Hexadecimal (16)).
B) Write the remainder from step 1 as a Least Signification Bit (LSB) to Step last as a Most
Significant Bit (MSB); that is, write from down-up.
Example 1: Convert 1234510 to Base 2
Solution 1:

Decimal to Binary Conversion Result

Decimal Number is : (12345)10 Binary Number is


(11000000111001)2

AJAYI OLUSOLA OLAJIDE 3


ajayioo.ict@gmail.com

Example 2: Convert same no (1234510) this time, to Base 8


Solution 2:

Decimal to Octal Conversion Result

Decimal Number is : (12345)10 Octal Number is


(30071)8

Furthering, ….
Example 3: Convert 1234510 to Base 16
Solution 3:

Decimal to Hexadecimal Conversion Result

Example 1 Hexadecimal Number is


Decimal Number is : (12345)10 (3039)16

A more complex Example 4: Hexadecimal Number is


Convert 72510 to Base 16 (2D5)16
Decimal Number is : (725)10 Convert
10, 11, 12, 13, 14, 15
to its equivalent...
A, B, C, D, E, F

AJAYI OLUSOLA OLAJIDE 4


ajayioo.ict@gmail.com

Other Base System to Decimal Number Base


The procedures are spelt out thus:
A) Determine the base value of source Number System (that you want to convert), and also
determine the position of digits from LSB (first digit’s position – 0, second digit’s position –
1 and so on).
B) Multiply each digit with its corresponding multiplication of position value and Base of
Source Number System’s Base.
C) Add/Sum up the resulted value in step-B.

Example 5: Convert 11011012 to Base 10


Solution:
Binary to Decimal Conversion

1 * 2 + 1 * 2 + 0 * 2 + 1 * 2 + 1 * 2 + 0 * 2 + 1 * 2 (Comment: What we did here is in line


with step A e.g. we multiply the given/source base’s number (e.g. Base 2 - 1101101) with the
base index e.g. 2.
Now, to complete the conversion computation, superscript the index position starting from 0
backward increasing downward. For instance, the equation becomes:

1 * 26 + 1 * 25 + 0 * 24 + 1 * 23 + 1 * 22 + 0 * 21 + 1 * 20
= 1 * 64 + 1 * 32 + 0 * 16 + 1 * 8 + 1 * 4 + 0 * 2 + 1 * 1
= 64 + 32 + 0 + 8 + 4 + 0 + 1
= 10910 (QED)

Example 6: Convert 538 to Base 10


Solution:
Octal to Decimal Conversion
5 * 8 + 3 * 8 (Comment: What we did here is in line with step A e.g. we multiply the
given/source base’s number (e.g. Base 8 - 53) with the base index e.g. 8.
Now, to complete the conversion computation, superscript the index position starting from 0
backward increasing downward. For instance, the equation becomes:

5 * 81 + 3 * 80 = 5 * 8 + 3 * 1 = 40 + 3 = 4310 (QED)

AJAYI OLUSOLA OLAJIDE 5


ajayioo.ict@gmail.com

Example 7: Convert 2948 to Base 10


Solution:
Octal to Decimal Conversion

2 * 8 + 9 * 8 + 4 * 8 (Comment: What we did here is line with step A e.g. we multiply the
given/source base’s number (e.g. Base 8 - 294) with the base index e.g. 8.
Now, to complete the conversion computation, superscript the index position starting from 0
backward increasing downward. For instance, the equation becomes:
2 * 82 + 9 * 81 + 4 * 80 = 2 * 64 + 9 * 8 + 4 * 1 = 128 + 72 + 4=
= 20410 (QED)

Example 8: Convert 3F616 to Base 10


Solution:
Hexadecimal to Decimal Conversion

3 * 16 + F(15) * 16 + 6 * 16 (Comment: What we did here is line with step A e.g. we multiply
the given/source base’s number (e.g. Base 16 – 3F6) with the base index e.g. 16.
Now, to complete the conversion computation, superscript the index position starting from 0
backward increasing downward. For instance, the equation becomes:

3 * 162 + 15 * 161 + 6 * 160 = 3 * 256 + 15 * 16 + 6 * 1 = 768 + 240 + 6 =


= 101410 (QED)
Example 9: Convert 2C4E16 to Base 10
Solution:
Hexadecimal to Decimal Conversion

2 * 16 + C(12) * 16 + 4 * 16 + E(14) * 16 (Comment: What we did here is line with step A e.g.
we multiply the given/source base’s number (e.g. Base 16 – 2C4E) with the base index e.g. 16.
Now, to complete the conversion computation, superscript the index position starting from 0
backward increasing downward. For instance, the equation becomes:
2 * 163 + 12 * 162 + 4 * 161 + 14 * 160 = 2 * 4096 + 12 * 256 + 4 * 16 + 14 * 1
= 8192 + 3072 + 64 + 14 = 1134210 (QED)

AJAYI OLUSOLA OLAJIDE 6


ajayioo.ict@gmail.com

Other Base System to Decimal Number Base


To execute this type of conversion, simply convert the given base to base ten, then convert to
the target base.

Example 10: Convert 100112 to base 8


Solution:
1 * 24 + 0 * 23 + 0 * 22 + 1 * 21 + 1 * 20 = 1 * 16 + 0 * 8 + 0 * 4 + 1 * 2 + 1 * 1
16 + 0 + 0 + 2 + 1 = 1910 ……this is the conversion to base ten; now to eight:
8 19 3
8 2 2
So, 100112 = 238
Shouldn’t you do some exercises now? Yes, I think you should. So, have these:

Exercises
1. Convert the following Base 2 numbers to Base 10:
i. 11000011
ii. 1001111
iii. 001101111
2. Convert the underlisted Base 8 numbers to Base 10:
i. 67
ii. 21
iii. 34
3. Convert the specified Base 16 numbers to Base 10:
i. 2A5
ii. 7E3D
iii. 82CA
4. Convert the listed Base 10 numbers to Base 2, 8 and 16
i. 34
ii. 89
iii. 68
5. Convert:
i. 1101102 to base 8
ii. 6789548 to base 16

AJAYI OLUSOLA OLAJIDE 7

View publication stats

You might also like