KEMBAR78
Introduction To Microprocessor | PDF | Central Processing Unit | Input/Output
0% found this document useful (0 votes)
213 views21 pages

Introduction To Microprocessor

The document provides an overview of the 8086 microprocessor, including its architecture, features, and history. It discusses the major components of a simple microcomputer including the CPU, memory, and I/O. It then describes the architecture of the 8086, which divides it into two functional units: the execution unit that decodes and executes instructions, and the bus interface unit that handles data transfers. The 8086 uses pipelining to prefetch multiple instruction bytes to improve performance.

Uploaded by

devi devi
Copyright
© © All Rights Reserved
We take content rights seriously. If you suspect this is your content, claim it here.
Available Formats
Download as DOCX, PDF, TXT or read online on Scribd
0% found this document useful (0 votes)
213 views21 pages

Introduction To Microprocessor

The document provides an overview of the 8086 microprocessor, including its architecture, features, and history. It discusses the major components of a simple microcomputer including the CPU, memory, and I/O. It then describes the architecture of the 8086, which divides it into two functional units: the execution unit that decodes and executes instructions, and the bus interface unit that handles data transfers. The 8086 uses pipelining to prefetch multiple instruction bytes to improve performance.

Uploaded by

devi devi
Copyright
© © All Rights Reserved
We take content rights seriously. If you suspect this is your content, claim it here.
Available Formats
Download as DOCX, PDF, TXT or read online on Scribd
You are on page 1/ 21

UNIT-IV INTRODUCTION TO 8086 CSE DEPARTMENT

8086
UNIT-I
INTRODUCTION TO 8086

Contents at a glance:

 Architecture of 8086 microprocessor


 Register organization
 8086 flag register and its functions
 Addressing modes of 8086
 Pin diagram of 8086
 Minimum mode & Maximum mode system operation

INTRODUCTION TO MICROPROCESSOR:
OVERVIEW OF A SIMPLE MICRO COMPUTER:

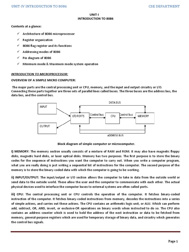
The major parts are the central processing unit or CPU, memory, and the input and output circuitry or I/O.
Connecting these parts together are three sets of parallel lines called buses. The three buses are the address bus, the
data bus, and the control bus.

Block diagram of simple computer or microcomputer.

i) MEMORY: The memory section usually consists of a mixture of RAM and ROM. It may also have magnetic floppy
disks, magnetic hard disks, or laser optical disks. Memory has two purposes. The first purpose is to store the binary
codes for the sequence of instructions you want the computer to carry out. When you write a computer program,
what you are really doing is just writing a sequential list of instructions for the computer. The second purpose of the
memory is to store the binary-coded data with which the computer is going to be working.

ii) INPUT/OUTPUT: The input/output or I/O section allows the computer to take in data from the outside world or
send data to the outside world. These allow the user and the computer to communicate with each other. The actual
physical devices used to interface the computer buses to external systems are often called ports.

iii) CPU: The central processing unit or CPU controls the operation of the computer. It fetches binary-coded
instruction of the computer. It fetches binary-coded instructions from memory, decodes the instructions into a series
of simple actions, and carries out these actions. The CPU contains an arithmetic logic unit, or ALU. Which can perform
add, subtract, OR, AND, invert, or exclusive-OR operations on binary words when instructed to do so. The CPU also
contains an address counter which is used to hold the address of the next instruction or data to be fetched from
memory, general-purpose registers which are used for temporary storage of binary data, and circuitry which generates
the control bus signals.

Page 1
iv) ADDRESS BUS: The address bus consists of 16, 20, 24, or more parallel signal lines. On these lines the CPU sends
out the address of the memory location that is to be written to or read from. The number of address lines determines
the number of memory locations that the CPU can address. If the CPU has N address lines then it can directly address
2N memory locations.

v) DATA BUS: The data bus consists of 8, 16, 32 or more parallel signal lines. As indicated by the double-ended arrows
on the data bus line, the data bus lines are bi-directional. This means that the CPU can read data in on these lines
from memory or from a port as well as send data out on these lines to memory location or to a port. Many devices in
a system will have their outputs connected to the data bus, but the outputs of only one device at a time will be
enabled.

vi) CONTROL BUS: The control bus consists of 4-10 parallel signal lines. The CPU sends out signals on the control bus
to enable the outputs of addressed memory devices or port devices. Typical control bus signals are memory read,
memory write, I/O read, and I/O writer. To read a byte of data from a memory location, for example, the CPU sends
out the address of the desired byte on the address bus and then sends out a memory read signal on the control bus.

What is a Microprocessor?
• The word comes from the combination micro and processor.
– Processor means a device that processes numbers, specifically binary numbers, 0’s and 1’s.
– Micro is a new addition.
– In the late 1960’s, processors were built using discrete elements.
– These devices performed the required operation, but were too large and too slow.
– In the early 1970’s the microchip was invented. All of the components that made up the processor
were now placed on a single piece of silicon. The size became several thousand times smaller and the
speed became several hundred times faster.
– The “Micro” Processor was born.

Definition of Microprocessor:
 Microprocessor is a multipurpose, programmable device that accepts digital data as input, processes it
according to instructions stored in its memory, and provides results as output.
or

 A microprocessor is a multipurpose, programmable, clock-driven, register-based electronic device that reads


binary instructions from a storage device called memory accepts binary data as input and processes data
according to instructions, and provides result as output.

MICROCONTROLLER:
 A microcontroller (sometimes abbreviated µC, uC or MCU) is a small computer on a single integrated circuit
containing a processor core, memory, and programmable input/output peripherals.
or
 CPUs with integrated memory or peripheral interfaces

History fo Microprocessors:
Processor No. of bits Clock speed (Hz) Year of introduction
4004 4 740K 1971
8008 8 500K 1972

8080 8 2M 1974
8085 8 3M 1976
8086 16 5, 8 or 10M 1978
8088 16 5, 8 or 10M 1979
80186 16 6M 1982
80286 16 8M 1982
80386 32 16 to 33M 1986
80486 32 16 to 100M 1989
Pentium 32 66M 1993
Pentium II 32 233 to 500M 1997
Pentium III 32 500M to 1.4G 1999
Pentium IV 32 1.3 to 3.8G 2000
Dual core 32 1.2 to 3 G 2006
Core 2 Duo 64 1.2 to 3G 2006
i3, i5 and i7 64 2.4G to 3.6G 2010
8086 Microprocessor features:
1. It is 16-bit microprocessor
2. It has a 16-bit data bus, so it can read data from or write data to memory and ports either 16-bit or 8-bit at
a time.
3. It has 20 bit address bus and can access up to 2 20 memory locations (1 MB).
4. It can support up to 64K I/O ports
5. It provides 14, 16-bit registers
6. It has multiplexed address and data bus AD 0-AD15 & A16-A19
7. It requires single phase clock with 33% duty cycle to provide internal timing.
8. Prefetches up to 6 instruction bytes from memory and queues them in order to speed up the processing.
9. 8086 supports 2 modes of operation
a. Minimum mode
b. Maximum mode
Architecture of 8086 microprocessor:
 As shown in the below figure, the 8086 CPU is divided into two independent functional parts
o Bus Interface Unit(BIU)

o Execution Unit(EU)

 Dividing the work between these two units’ speeds up processing.


The Execution Unit (EU):

 The execution unit of the 8086 tells the BIU where to fetch instructions or data from, decodes instructions,
and executes instructions.
 The EU contains control circuitry, which directs internal operations.
 A decoder in the EU translates instructions fetched from memory into a series of actions, which the EU carries
out.
 The EU has a 16-bit arithmetic logic unit (ALU) which can add, subtract, AND, OR, XOR, increment, decrement,
complement or shift binary numbers.
 The main functions of EU are:
o Decoding of Instructions
o Execution of instructions
 Steps
 EU extracts instructions from top of queue in BIU
 Decode the instructions
 Generates operands if necessary
 Passes operands to BIU & requests it to perform read or write bus cycles to memory or I/O
 Perform the operation specified by the instruction on operands

Bus Interface Unit (BIU):

 The BIU sends out addresses, fetches instructions from memory, reads data from ports and memory, and
writes data to ports and memory.
 In simple words, the BIU handles all transfers of data and addresses on the buses for the execution unit.
8086 HAS PIPELINING ARCHITECTURE:

 While the EU is decoding an instruction or executing an instruction, which does not require use of the buses,
the BIU fetches up to six instruction bytes for the following instructions.
 The BIU stores these pre-fetched bytes in a first-in-first-out register set called a queue.
 When the EU is ready for its next instruction from the queue in the BIU. This is much faster than sending out
an address to the system memory and waiting for memory to send back the next instruction byte or bytes.
 Except in the case of JMP and CALL instructions, where the queue must be dumped and then reloaded starting
from a new address, this pre-fetch and queue scheme greatly speeds up processing.
 Fetching the next instruction while the current instruction executes is called pipelining.

Register organization:
 8086 has a powerful set of registers known as general purpose registers and special purpose registers.
 All of them are 16-bit registers.
 General purpose registers:
o These registers can be used as either 8-bit registers or 16-bit registers.
o They may be either used for holding data, variables and intermediate results temporarily or for other
purposes like a counter or for storing offset address for some particular addressing modes etc.
 Special purpose registers:
o These registers are used as segment registers, pointers, index registers or as offset storage registers
for particular addressing modes.
 The 8086 registers are classified into the following types:
o General Data Registers
o Segment Registers
o Pointers and Index Registers
o Flag Register

General Data Registers:

 The registers AX, BX, CX and DX are the general purpose 16-bit registers.
 AX is used as 16-bit accumulator. The lower 8-bit is designated as AL and higher 8-bit is designated as AH. AL
can be used as an 8-bit accumulator for 8-bit operation.
 All data register can be used as either 16 bit or 8 bit. BX is a 16 bit register, but BL indicates the lower 8-bit of
BX and BH indicates the higher 8-bit of BX.
 The register BX is used as offset storage for forming physical address in case of certain addressing modes.
 The register CX is used default counter in case of string and loop instructions.
 DX register is a general purpose register which may be used as an implicit operand or destination in case of a
few instructions.
Segment Registers:

 There are 4 segment registers. They are:


o Code Segment Register(CS)
o Data Segment Register(DS)
o Extra Segment Register(ES)
o Stack Segment Register(SS)
 The 8086 architecture uses the concept of segmented memory. 8086 able to address a memory capacity of 1
megabyte and it is byte organized. This 1 megabyte memory is divided into 16 logical segments. Each segment
contains 64 kbytes of memory.
 Code segment register (CS): is used for addressing memory location in the code segment of the memory,
where the executable program is stored.
 Data segment register (DS): points to the data segment of the memory where the data is stored.
 Extra Segment Register (ES) : also refers to a segment in the memory which is another data segment in the
memory.
 Stack Segment Register (SS): is used for addressing stack segment of the memory. The stack segment is that
segment of memory which is used to store stack data.
 While addressing any location in the memory bank, the physical address is calculated from two parts:
Physical address= segment address + offset address
 The first is segment address, the segment registers contain 16-bit segment base addresses, related to different
segment.
 The second part is the offset value in that segment.

Pointers and Index Registers:

 The index and pointer registers are given below:


o IP—Instruction pointer-store memory location of next instruction to be executed
o BP—Base pointer
o SP—Stack pointer
o SI—Source index
o DI—Destination index
 The pointers registers contain offset within the particular segments.
o The pointer register IP contains offset within the code segment.
o The pointer register BP contains offset within the data segment.
o Thee pointer register SP contains offset within the stack segment.
 The index registers are used as general purpose registers as well as for offset storage in case of indexed, base
indexed and relative base indexed addressing modes.
 The register SI is used to store the offset of source data in data segment.
 The register DI is used to store the offset of destination in data or extra segment.
 The index registers are particularly useful for string manipulation.

8086 flag register and its functions:

 The 8086 flag register contents indicate the results of computation in the ALU. It also contains some flag bits
to control the CPU operations.
 A 16 bit flag register is used in 8086. It is divided into two parts .
o Condition code or status flags
o Machine control flags
 The condition code flag register is the lower byte of the 16-bit flag register. The condition code flag register is
identical to 8085 flag register, with an additional overflow flag.
 The control flag register is the higher byte of the flag register. It contains three flags namely direction flag (D),
interrupt flag (I) and trap flag (T).

Flag register configuration

The description of each flag bit is as follows:

SF- Sign Flag: This flag is set, when the result of any computation is negative. For signed computations the sign flag
equals the MSB of the result.

ZF- Zero Flag: This flag is set, if the result of the computation or comparison performed by the previous instruction is
zero.

PF- Parity Flag: This flag is set to 1, if the lower byte of the result contains even number of 1’s.

CF- Carry Flag: This flag is set, when there is a carry out of MSB in case of addition or a borrow in case of subtraction.

AF-Auxilary Carry Flag: This is set, if there is a carry from the lowest nibble, i.e, bit three during addition, or borrow for
the lowest nibble, i.e, bit three, during subtraction.

OF- Over flow Flag: This flag is set, if an overflow occurs, i.e, if the result of a signed operation is large enough to
accommodate in a destination register. The result is of more than 7-bits in size in case of 8-bit signed operation and
more than 15-bits in size in case of 16-bit sign operations, and then the overflow will be set.

TF- Tarp Flag: If this flag is set, the processor enters the single step execution mode. The processor executes the
current instruction and the control is transferred to the Trap interrupt service routine.

IF- Interrupt Flag: If this flag is set, the mask able interrupts are recognized by the CPU, otherwise they are ignored.

D- Direction Flag: This is used by string manipulation instructions. If this flag bit is ‘0’, the string is processed beginning
from the lowest address to the highest address, i.e., auto incrementing mode. Otherwise, the string is processed from
the highest address towards the lowest address, i.e., auto decrementing mode.

Memory Segmentation:
 The memory in an 8086 based system is organized as segmented memory.
 The CPU 8086 is able to access 1MB of physical memory. The complete 1MB of memory can be divided into 16
segments, each of 64KB size and is addressed by one of the segment register.
 The 16-bit contents of the segment register actually point to the starting location of a particular segment. The
address of the segments may be assigned as 0000H to F000h respectively.
 To address a specific memory location within a segment, we need an offset address. The offset address values
are from 0000H to FFFFH so that the physical addresses range from 00000H to FFFFFH.
Physical address is calculated as below:
Ex: Segment address------- 1005H
Offset address ---------- 5555H
Segment address ------- 1005H-------0001 0000 0000 0101
Shifted left by 4 Positions------0001 0000 0000 0101 0000
+
Offset address --- 5555H ------ 0101 0101 0101 0101
Physical address -------155A5H 0001 0101 0101 1010 0101
Physical address = Segment address * 10H + Offset address.
The main advantages of the segmented memory scheme are as follows:
1. Allows the memory capacity to be 1MB although the actual addresses to be handled are of 16-bit size.
2. Allows the placing of code, data and stack portions of the same program in different parts (segments) of
memory, for data and code protection.
3. Permits a program and/or its data to be put into different areas of memory each time the program is
executed, i.e., provision for relocation is done.
Overlapping and Non-overlapping Memory segments:
 In the overlapping area locations physical address = CS1+IP1 = CS2+IP2. Where ‘+’ indicates the procedure of
physical address formation.

Addressing modes of 8086:


 Addressing mode indicates a way of locating data or operands.
 The addressing modes describe the types of operands and the way they are accessed for executing an
instruction.
 According to the flow of instruction execution, the instructions may be categorized as
i) Sequential control flow instructions and
ii) Control transfer instructions
Sequential control flow instructions are the instructions, which after execution, transfer control to the next
instruction appearing immediately after it (in the sequence) in the program. For example, the arithmetic, logic, data
transfer and processor control instructions are sequential control flow instructions.
The control transfer instructions, on the other hand, transfer control to some predefined address or the
address somehow specified in the instruction, after their execution. For example, INT, CALL, RET and JUMP
instructions fall under this category.

The addressing modes for sequential control transfer instructions are:

1. Immediate: In this type of addressing, immediate data is a part of instruction and appears in the form of successive
byte or bytes.

Ex: MOV AX, 0005H

In the above example, 0005H is the immediate data. The immediate data may be 8-bit or 16-bit in size.

2. Direct: In the direct addressing mode a 16-bit memory address (offset) is directly specified in the instruction as a
part of it.

Ex: MOV AX, [5000H]

Here, data resides in a memory location in the data segment, whose effective address may be completed using 5000H
as the offset address and content of DS as segment address. The effective address here, is 10H * DS + 5000H.

3. Register: In register addressing mode, the data is stored in a register and is referred using the particular register. All
the registers, except IP, may be used in this mode.

Ex: MOV BX, AX

4. Register Indirect: Sometimes, the address of the memory location, which contains data or operand, is determined in
an indirect way, using the offset register. This mode of addressing is known as register indirect mode. In this
addressing mode, the offset address of data is in either BX or SI or DI register. The default segment is either DS or ES.
The data is supposed to be available at the address pointed to by the content of any of the above registers in the
default data segment.

Ex: MOV AX, [BX]

Here, data is present in a memory location in DS whose offset address is in BX. The effective address of the data is
given as 10H * DS+[BX].

5. Indexed: In this addressing mode, offset of the operand is stored in one of the index registers. DS and ES are the
default segments for index registers, SI and DI respectively. This is a special case of register indirect addressing mode.

Ex: MOV AX, [SI]

Here, data is available at an offset address stored in SI in DS. The effective address, in this case, is computed as 10*DS+
[SI].

6. Register Relative: In this addressing mode, the data is available at an effective address formed by adding an 8-bit or
16-bit displacement with the content of any one of the registers BX, BP, SI and DI in the default (either DS or ES)
segment.

Ex: MOV AX, 50H[BX]

Here, the effective address is given as 10H *DS+50H+[BX]

7. Based Indexed: The effective address of data is formed, in this addressing mode, by adding content of a base
register (any one of BX or BP) to the content of an index register (any one of SI or DI). The default segment register
may be ES or DS.

Ex: MOV AX, [BX][SI]

Here, BX is the base register and SI is the index register the effective address is computed as 10H * DS + [BX] + [SI].
8. Relative Based Indexed: The effective address is formed by adding an 8 or 16-bit displacement with the sum of the
contents of any one of the base register (BX or BP) and any one of the index register, in a default segment.

Ex: MOV AX, 50H [BX] [SI]

Here, 50H is an immediate displacement, BX is base register and SI is an index register the effective address of data is
computed as

10H * DS + [BX] + [SI] + 50H

For control transfer instructions, the addressing modes depend upon whether the destination is within the same
segment or different one. It also depends upon the method of passing the destination address to the processor.

Basically, there are two addressing modes for the control transfer instructions, intersegment addressing and
intrasegment addressing modes.

If the location to which the control is to be transferred lies in a different segment other than the current one, the
mode is called intersegment mode.

If the destination location lies in the same segment, the mode is called intrasegment mode.

Intersegment direct

Intersegment

Modes for control Intersegment indirect

Transfer instructions Intrasegment direct

Intrasegment

Intrasegment indirect

Addressing modes for Control Transfer Instructions

9. Intrasegment Direct Mode: In this mode, the address to which the control is to be transferred lies in the same
segment in which the control transfer instruction lies and appears directly in the instruction as an immediate
displacement value. In this addressing mode, the displacement is computed relative to the content of the instruction
pointer IP.

The effective address to which the control will be transferred is given by the sum of 8 or 16-bit displacement and
current content of IP. In the case of jump instruction, if the signed displacement (d) is of 8-bits (i.e –128<d<+128) we
term it as short jump and if it is of 16-bits (i.e-32, 768<d<+32,768) it is termed as long jump.

10. Intrasegment Indirect Mode: In this mode, the displacement to which the control is to be transferred, is in the
same segment in which the control transfer instruction lies, but it is passed to the instruction indirectly. Here, the
branch address is found as the content of a register or a memory location. This addressing mode may be used in
unconditional branch instructions.

11. Intersegment Direct: In this mode, the address to which the control is to be transferred is in a different segment.
This addressing mode provides a means of branching from one code segment to another code segment. Here, the CS
and IP of the destination address are specified directly in the instruction.

12. Intersegment Indirect: In this mode, the address to which the control is to be transferred lies in a different
segment and it is passed to the instruction indirectly, i.e contents of a memory block containing four bytes, i.e IP (LSB),
IP(MSB), CS(LSB) and CS (MSB) sequentially. The starting address of the memory block may be referred using any of
the addressing modes, except immediate mode.
Forming the effective Addresses:

The following examples explain forming of the effective addresses in the different modes.

Ex: 1. The contents of different registers are given below. Form effective addresses for different addressing modes.

Offset (displacement)=5000H

[AX]-1000H, [BX]- 2000H, [SI]-3000H, [DI]-4000H, [BP]-5000H, [SP]-6000H,

[CS]-0000H, [DS]-1000H, [SS]-2000H, [IP]-7000H

Shifting segment address four bits to the left is equivalent to multiplying it by 16 D or 10H

i. Direct addressing mode:


MOV AX,[5000H]

DS : OFFSET  1000H : 5000H

10H*DS  10000—segment address

offset  +5000---offset address

15000H – Effective address

ii. Register indirect:


MOV AX, [BX]

DS: BX  1000H: 2000H

10H*DS  10000—segment address

[BX]  +2000---offset address

12000H – Effective address

iii. Register relative:


MOV AX, 5000 [BX]

DS : [5000+BX]

10H*DS  10000

offset  +5000

[BX]  +2000

17000H – Effective address

iv. Based indexed:


MOV AX, [BX] [SI]
DS : [BX + SI]

10H*DS  10000

[BX]  +2000

[SI]  +3000

15000H – Effective address

v. Relative based index:


MOV AX, 5000[BX][SI]

DS : [BX+SI+5000]

10H*DS  10000

[BX]  +2000

[SI]  +3000

+5000

1A000H – Effective address

Pin Diagram of 8086:


Signal description of 8086:
 The 8086 is a 16-bit microprocessor. This microprocessor operates in single processor or multiprocessor
configurations to achieve high performance.
 The pin configuration of 8086 is shown in the figure. Some of the pins serve a particular function in minimum
mode (single processor mode) and others function in maximum mode (multiprocessor mode).
The 8086 signals are categorized into 3 types:
1. Common signals for both minimum mode and maximum mode.
2. Special signals which are meant only for minimum mode
3. Special signals which are meant only for maximum mode
Common Signals for both Minimum mode and Maximum mode:

AD7  AD0 : The address/ data bus lines are the multiplexed address data bus and contain the right most eight bit of
memory address or data. The address and data bits are separated by using ALE signal.

AD15  AD8 : The address/data bus lines compose the upper multiplexed address/data bus. This lines contain address
bit A  A
15 8 or data bus D15  D8 . The address and data bits are separated by using ALE signal.

A19 / S6  A18 / S3 The address/status bus bits are multiplexed to provide address signals A19  A16 and also status bits
S6  S3 . The address bits are separated from the status bits using the ALE signals. The status bit S6 is always a logic 0,
bit S5 indicates the condition of the interrupt flag bit. The S4 and S3 indicate which segment register is presently
being used for memory access.
S4 S3 Type of segment register used

0 0 Extra segment

0 1 Stack segment

1 0 Code or no segment

1 1 Data Segment

BHE / The bus high enable (BHE) signal is used to indicate the transfer of data over the higher order  D15  D8 
S7
data bus. It goes low for the data transfer over D15  D8 and is used to derive chip select of odd address memory bank or
peripherals.

BHE A0 Indication

0 0 Whole word

0 1 Upper byte from or to odd address

1 0 Lower byte from or to even address

1 1 None
RD : Read: whenever the read signal is at logic
0, the data bus receives the data from the memory or I/O devices connected to the system

READY: This is the acknowledgement from the slow devices or memory that they have completed the data transfer
operation. This signal is active high.

INTR: Interrupt Request: Interrupt request is used to request a hardware interrupt of INTR is held high when interrupt
enable flag is set, the 8086 enters an interrupt acknowledgement cycle after the current instruction has
completed its execution.

TEST : This input is tested by “WAIT” instruction. If the TEST input goes low; execution will continue. Else the
processor remains in an idle state.

NMI- Non-maskable Interrupt: The non-maskable interrupt input is similar to INTR except that the NMI interrupt does
not check for interrupt enable flag is at logic 1, i.e, NMI is not maskable internally by software. If NMI is
activated, the interrupt input uses interrupt vector 2.

RESET: The reset input causes the microprocessor to reset itself. When 8086 reset, it restarts the execution from
memory location FFFF0H. The reset signal is active high and must be active for at least four clock cycles.

CLK: Clock input: The clock input signal provides the basic timing input signal for processor and bus control operation.
It is asymmetric square wave with 33% duty cycle.

VCC (+5V): Power supply for the operation of the internal circuit

GND: Ground for the internal circuit

MN / MX : The minimum/maximum mode signal to select the mode of operation either in minimum or maximum
mode configuration. Logic 1 indicates minimum mode.

Minimum mode Signals: The following signals are for minimum mode operation of 8086.

M / IO - Memory/IO M / IO signal selects either memory operation or I/O operation. This line indicates that the
microprocessor address bus contains either a memory address or an I/O port address. Signal high at this pin
indicates a memory operation. This line is logically equivalent to S2 in maximum mode.

INTA - Interrupt acknowledge: The interrupt acknowledge signal is a response to the INTR input signal. The INTA
signal is normally used to gate the interrupt vector number onto the data bus in response to an interrupt
request.

ALE- Address Latch Enable: This output signal indicates the availability of valid address on the address/data bus, and is
connected to latch enable input of latches.

DT / R : Data transmit/Receive: This output signal is used to decide the direction of date flow through the bi-
directional buffer. DT / R  1 Indicates transmitting and DT / R  0 indicates receiving the data.

DEN Data Enable: Data bus enable signal indicates the availability of valid data over the address/data lines.

𝑊 𝑅 Write: whenever the write signal is at logic 0, the data bus transmits the data to the memory or I/O devices
connected to the system.

HOLD: The hold input request a direct memory access (DMA). If the hold signal is at logic 1, the micro process stops its
normal execution and places its address, data and control bus at the high impedance state.
HLDA: Hold acknowledgement indicates that 8086 has entered into the hold state.

Maximum mode signal: The following signals are for maximum mode operation of 8086.

S2 , S1, S0 - Status lines: These are the status lines that reflect the type of operation being carried out by the processor.

These status lines are encoded as follows

S2 S1 S0 Function

0 0 0 Interrupt Acknowledge

0 0 1 Read I/O port

0 1 0 Write I/O port

0 1 1 Halt

1 0 0 Code Access

1 0 1 Read memory

1 1 0 Write memory

1 1 1 Passive (In active)

LOCK : The lock output is used to lock peripherals off the system, i.e, the other system bus masters will be prevented
from gaining the system bus.

QS1 and QS0 - Queue status: The queue status bits shows the status of the internal instruction queue. The encoding
of these signals is as follows

QS1 QS0 Function

0 0 No operation, queue is idle

0 1 First byte of opcode

1 0 Queue is empty

1 1 Subsequent byte of opcode

RQ / GT1 and RQ / GT 0 - request/Grant: The request/grant pins are used by other local bus masters to force the
processor to release the local bus at the end of the processors current bus cycle. These lines are bi-
directional and are used to both request and grant a DMA operation. RQ / GT 0 is having higher priority

than RQ / GT1

8086 Minimum mode system operation with timing diagrams:

 In a minimum mode 8086 system, the microprocessor 8086 is operated in minimum mode by strapping its
MN/MX| pin to logic1.
 In this mode, all the control signals are given out by the microprocessor chip itself. There is a single
microprocessor in the minimum mode system. The remaining components in the system are latches,
transreceivers, clock generator, memory and I/O devices.
 Some type of chip selection logic may be required for selecting memory or I/O devices, depending upon the
address map of the system.
 The general system organization is shown in below figure.

Figure: Minimum mode 8086 system


 The latches are generally buffered output D-type flip-flops, like, 74LS373 or 8282.
 They are used for separating the valid address from the multiplexed address/data signals and are controlled by
the ALE signal generated by 8086.
 Since it has 20 address lines and 16 data lines, the 8086 CPU requires three octal address latches and two octal
data buffers for the complete address and data separation.
 Transreceivers are the bidirectional buffers and sometimes they are called as data amplifiers. They are
required to separate the valid data from the time multiplexed address/data signal.
 They are controlled by two signals, namely, DEN’ and DT/R’. The DEN’ signal indicates that the valid data is
available on the data bus, while DT/R’ indicates the direction of data, i.e. from or to the processor.
 The system contains memory for the monitor and users program storage. Usually, EPROMS are used for
monitor storage, while RAMs for users program storage.
 A system may contain I/O devices for communication with the processor as well as some special purpose I/O
devices.
 The clock generator generates the clock from the crystal oscillator and then shapes it and divides to make it
more precise so that it can be used as an accurate timing reference for the system.
 The clock generator also synchronizes some external signals with the system clock.
 The working of the minimum mode configuration system can be better described in terms of the timing
diagrams rather than qualitatively describing the operations.
 The opcode fetch and read cycles are similar. Hence the timing diagram can be categorized in two parts, the
first is the timing diagram for read cycle and the second is the timing diagram for write cycle.

Timing Diagrams:

 Timing diagram is graphical representation of the operations of microprocessor with respect to the time.
 State: one cycle of the clock is called state.
 Machine cycle: The basic microprocessor operation such as reading a byte from memory or writing a byte to a
port is called machine cycle and made up of more than one state.
 Instruction cycle: The time required for microprocessor to fetch and execute an entire instruction is called
Instruction cycle and made up of more than one machine cycle.

Note: An instruction cycle is made up of machine cycles, and a machine cycle is made up of states. The time for a
state is determined by the frequency of the clock signal.

Read cycle timing diagram for Minimum mode:

 The best way to analyze a timing diagram such as the one to think of time as a vertical line moving from left to
right across the diagram.

 The read cycle begins in T1 with the assertion of the address latch enable (ALE) signal and also M/IO’ signal.
 During the negative going edge of this signal, the valid address is latched on the local bus. The BHE’ and A0
signals address low, high or both bytes.
 From T1 to T4, the M/IO’ signal indicate a memory or I/O operation. At T2, the address is removed from the

local bus and is sent to the output. The bus is then tristated. The read ( ) control signal is also activated in
T2.
 The read ( ) signal causes the addressed device to enable its data bus drivers. After goes low, the
valid data is available on the data bus. The addressed device will drive the READY line high. When the
processor returns the read signal to high level, the addressed device will again tristate its bus drivers.

Write cycle timing diagram for Minimum mode:

 A write cycle also begins with the assertion of ALE and the emission of the address. The M/IO’ signal is again
asserted to indicate a memory or I/O operation.
 In T2, after sending the address in T1, the processor sends the data to be written to the addressed location. The
data remains on the bus until middle of T 4 state. The WR’ becomes active at the beginning of T 2 (unlike RD’ is
somewhat delayed in T2 to provide time for floating).
 The BHE’ and A0 signals are used to select the proper byte or bytes of memory or I/O word to be read or
written.
 The M/IO’, RD’ and WR’ signals indicate the types of data transfer as specified in Table

8086 Maximum mode system operation with timing diagrams:

 In the maximum mode, the 8086 is operated by strapping the MN/MX’ pin to ground. In this mode, the
processor derives the status signals S2’, S1’ and S0’. Another chip called bus controller derives the control
signals using this status information.
 In the maximum mode, there may be more than one microprocessor in the system configuration. The other
components in the system are the same as in the minimum mode system. The general system organization is
as shown in the below figure.
 The basic functions of the bus controller chip IC8288, is to derive control signals like RD’and WR’ (for memory
and I/O devices), DEN, DT/R’, ALE, etc. using the information made available by the processor on the status
lines.
 The bus controller chip has input lines S2’, S1’ and S0’ and CLK. These inputs to 8288 are driven by the CPU. It
derives the outputs ALE, DEN, DT/R’, MWTC’, MRDC’, IORC’, IOWC’ and INTA’.
 INTA’ pin is used to issue two interrupt acknowledge pulses to the interrupt controller or to an interrupting
device.

 IORC*, IOWC* are I/O read command and I/O write command signals respectively. These signals enable an IO
interface to read or write the data from or to the addressed port. The MRDC*, MWTC* are memory read
command and memory write command signals respectively and may be used as memory read and write
signals. All these command signals instruct the memory to accept or send data from or to the bus.
 The maximum mode system timing diagrams are also divided in two portions as read (input) and write
(output) timing diagrams. The address/data and address/status timings are similar to the minimum mode. ALE
is asserted in T1, just like minimum mode. The only difference lies in the status signals used and the available
control and advanced command signals.
Read cycle timing diagram for Maximum mode:

Write cycle timing diagram for Maximum mode:

You might also like