KEMBAR78
Week 4 | PDF | Internal Combustion Engine | Engines
0% found this document useful (0 votes)
314 views28 pages

Week 4

The document discusses several key points about determining entropy change: 1) Entropy change can be determined from initial and final states using the Tds relations, without needing to know the process path. This involves integrating functions of temperature and pressure. 2) For pure substances, tables provide the specific entropy at different conditions, allowing entropy change to be calculated as the difference in specific entropy between initial and final states. 3) An isentropic process for a pure substance or ideal gas is one where entropy remains constant. This allows determining unknown state properties from known entropy values.

Uploaded by

Mohamed nasser
Copyright
© © All Rights Reserved
We take content rights seriously. If you suspect this is your content, claim it here.
Available Formats
Download as PDF, TXT or read online on Scribd
0% found this document useful (0 votes)
314 views28 pages

Week 4

The document discusses several key points about determining entropy change: 1) Entropy change can be determined from initial and final states using the Tds relations, without needing to know the process path. This involves integrating functions of temperature and pressure. 2) For pure substances, tables provide the specific entropy at different conditions, allowing entropy change to be calculated as the difference in specific entropy between initial and final states. 3) An isentropic process for a pure substance or ideal gas is one where entropy remains constant. This allows determining unknown state properties from known entropy values.

Uploaded by

Mohamed nasser
Copyright
© © All Rights Reserved
We take content rights seriously. If you suspect this is your content, claim it here.
Available Formats
Download as PDF, TXT or read online on Scribd
You are on page 1/ 28

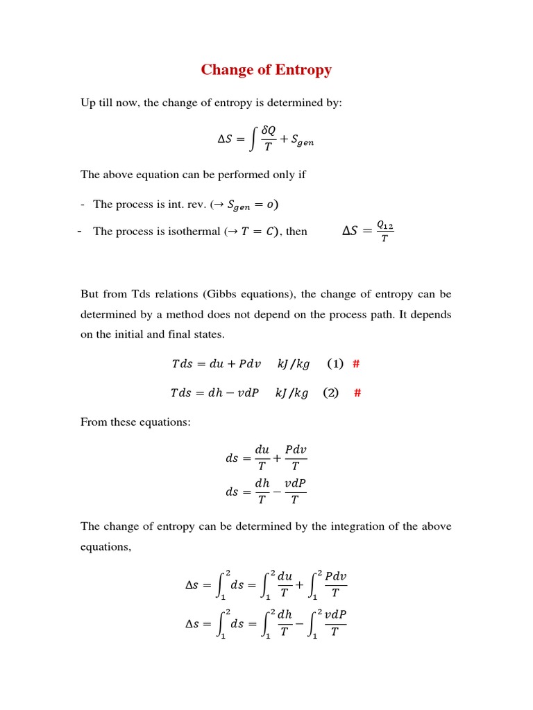
Change of Entropy

Up till now, the change of entropy is determined by:

𝛿𝑄
∆𝑆 = ∫ + 𝑆𝑔𝑒𝑛
𝑇

The above equation can be performed only if

- The process is int. rev. (→ 𝑆𝑔𝑒𝑛 = 𝑜)


𝑄12
- The process is isothermal (→ 𝑇 = 𝐶), then ∆𝑆 =
𝑇

But from Tds relations (Gibbs equations), the change of entropy can be
determined by a method does not depend on the process path. It depends
on the initial and final states.

𝑇𝑑𝑠 = 𝑑𝑢 + 𝑃𝑑𝑣 𝑘𝐽 ⁄𝑘𝑔 (1) #

𝑇𝑑𝑠 = 𝑑ℎ − 𝑣𝑑𝑃 𝑘𝐽 ⁄𝑘𝑔 (2) #

From these equations:

𝑑𝑢 𝑃𝑑𝑣
𝑑𝑠 = +
𝑇 𝑇
𝑑ℎ 𝑣𝑑𝑃
𝑑𝑠 = −
𝑇 𝑇

The change of entropy can be determined by the integration of the above


equations,

2 2 𝑑𝑢 2 𝑃𝑑𝑣
∆𝑠 = ∫ 𝑑𝑠 = ∫ +∫
1 1 𝑇 1 𝑇
2 22
𝑑ℎ 𝑣𝑑𝑃
∆𝑠 = ∫ 𝑑𝑠 = ∫ −∫
1 1 𝑇 1 𝑇
To perform the integrations, the relations of (u-T), (h, T) and (P-v-T)
must be known.

For pure substances:

The relations of (u-T), (h, T) and (P-v-T) are very complicated. The
above integrations were performed and the results given in tables and
charts.

In tables, there is a column (s) 𝑘𝐽 ⁄𝑘𝑔𝐾 , it is the specific entropy at


arbitrary chosen zero state entropy.

The change of entropy is then determined by:

∆𝑠 = 𝑚(𝑠2 − 𝑠1)

𝑠1 is specific entropy at state 1

𝑠2 is specific entropy at state 2

m is the mass of the system

Isentropic process for pure substance

The isentropic process is the int. rev. adiabatic process. It is the ideal
process for many devices that operates adiabatically such as turbine and
nozzle.

The isentropic process, ∆𝑠 = 0, is constant entropy process

𝑠2 = 𝑠1
Case study: Determination of ∆𝑺

A rigid tank contains 5 kg of refrigerant-134a initially at


20oC and 140 kPa. The refrigerant is now cooled by
putting the tank in surrounding of temperature – 30oC
while being stirred until its pressure drops to 100 kPa.
Determine the entropy change of the refrigerant during
this process, the amount of heat removed and the type of
process.

Solution

The volume of the tank is constant and thus v2 = v1.

We take the refrigerant in the tank as the system. This is a closed system
since no mass crosses the system boundary during the process.

State 1

P1=140 kPa

T1=20oC

Tsat@P1= 𝑇1 > 𝑇𝑠𝑎𝑡

The state is superheated

From superheated table:

s1 = 1.0625 kJ/kg·K v1 = 0.16544 m3/kg 𝑢1 =

State 2

P2=100 kPa v2 = v1=0.16544 m3/kg

vf@P2= 0.0007258 m3/kg vg@P2= 0.19255 m3/kg


The refrigerant is a saturated liquid–vapor mixture at the final state since

vf <v2 < vg . Therefore, we need to determine the quality first:

𝑣2 = 𝑣𝑓 + 𝑥2 (𝑣𝑔 − 𝑣𝑓 )

𝑥2 = 0.859

𝑠2 = 𝑠𝑓 + 𝑥2 (𝑠𝑔 − 𝑠𝑓 ) = 0.07182 + 0.859 × 0.88008


= 0.8278𝑘𝐽/𝑘𝑔 · 𝐾

𝑢2 = 𝑢𝑓 + 𝑥2 (𝑢𝑔 − 𝑢𝑓 ) =

Then, the entropy change of the refrigerant during this process is

∆𝑠 = 𝑚(𝑠2 − 𝑠1) = 5(0.8278 − 1.0625) = −1.173 𝑘𝐽 ⁄𝐾

From the 1st law for closed system,

𝑄12 − 𝑊12 = 𝑚(𝑢2 − 𝑢1 )

For constant volume, 𝑊12 = 0

𝑄12 = 𝑚(𝑢2 − 𝑢1 ) = −𝑣𝑒

The change of entropy of the surroundings:

𝑄12 +𝑣𝑒
∆𝑠𝑠𝑢𝑟𝑟 = =
𝑇𝑠𝑢𝑟𝑟 𝑇𝑠𝑢𝑟𝑟

The total change of entropy of entropy:

∆𝑠𝑡𝑜𝑡𝑎𝑙 = ∆𝑠𝑠𝑦𝑠 + ∆𝑠𝑠𝑢𝑟𝑟


If

> 0 → 𝑖𝑟𝑟𝑒𝑣𝑒𝑟𝑠𝑖𝑏𝑙𝑒 𝑝𝑟𝑜𝑐𝑒𝑠𝑠


∆𝑆𝑡𝑜𝑡𝑎𝑙 {= 0 → 𝑟𝑒𝑣𝑒𝑟𝑠𝑖𝑏𝑙𝑒 𝑝𝑟𝑜𝑐𝑒𝑠𝑠
< 0 → 𝑖𝑚𝑝𝑜𝑠𝑠𝑖𝑏𝑙𝑒 𝑝𝑟𝑜𝑐𝑒𝑠𝑠

Case study: Isentropic Expansion of Steam in a Turbine

Steam enters an adiabatic turbine at 5 MPa and 450oC and


leaves at a pressure of 1.4 MPa. Determine the work output
of the turbine per unit mass of steam if the process is
reversible.

Solution

The inlet state is completely specified since two properties are given. But
only one property (pressure) is given at the final state, and we need one
more property to fix it. The second property comes from the observation
that the process is reversible and adiabatic, and thus isentropic. Therefore,
s2 = s1, and

State 1:

P1=5 MPa T1=450oC

Tsat@P1=

The state is superheated

From superheated table:

s1 = 6.8210 kJ/kg·K h1= 3317.2 kJ/kg


State 2

P2=1.4 MPa s2 = s1=6.8210 m3/kg

sf@P2= sg@P2=

The state is superheated since s2 > sg

From superheated table (by interpolation): h2 = 2967.4 kJ/kg

From 1st law for open system:

𝑞12 − 𝑤12 = ℎ2 − ℎ1

For adiabatic turbine, 𝑞12 = 0

Then, the work output of the turbine per unit mass of the steam becomes

𝑤12 = ℎ1 − ℎ2 = 3317.2 − 2967.4 = 349.8 𝑘𝐽/𝑘𝑔

𝑜 (𝑘𝑔⁄𝑠) × 𝑤12 (𝑘𝑗⁄𝑘𝑔) =


𝑃𝑜𝑤𝑒𝑟 = 𝑚𝑠𝑡𝑒𝑎𝑚 𝑘𝑊
The entropy change of ideal gases

2 2 2
𝑑𝑢 𝑃𝑑𝑣
∆𝑠 = ∫ 𝑑𝑠 = ∫ +∫
1 1 𝑇 1 𝑇
2 2 2
𝑑ℎ 𝑣𝑑𝑃
∆𝑠 = ∫ 𝑑𝑠 = ∫ −∫
1 1 𝑇 1 𝑇

By employing the property relations for ideal gases: 𝑑𝑢 = 𝐶𝑣 (𝑇)𝑑𝑇,


𝑑ℎ = 𝐶𝑝 (𝑇)𝑑𝑇 and 𝑃𝑣 = 𝑅𝑇, then

2
2 𝐶 (𝑇 )𝑑𝑇 2 𝑑𝑣 2 𝐶 (𝑇 )𝑑𝑇 𝑣2
𝑣 𝑣
∆𝑠 = ∫ 𝑑𝑠 = ∫ +∫ 𝑅 =∫ + 𝑅 𝑙𝑛
1 𝑇 1 𝑣 1 𝑇 𝑣1
1
2
2 𝐶 (𝑇)𝑑𝑇 2 2 𝐶 (𝑇)𝑑𝑇
𝑝 𝑑𝑃 𝑝 𝑃2
∆𝑠 = ∫ 𝑑𝑠 = ∫ −∫ 𝑅 =∫ − 𝑅 𝑙𝑛
1 𝑇 1 𝑃 1 𝑇 𝑃1
1

We deal with the specific heats of ideal gases by two methods:

Constant Specific Heat method (Approximate method)

The specific heats are considered constant and equal their values at the
average temperature Tav between the temperatures T1 and T2 as shown in
the figure.

𝑇2 𝑣2
∆𝑠 = 𝐶𝑣 𝑎𝑣 𝑙𝑛 + 𝑅 𝑙𝑛 (𝑘𝑗/𝑘𝑔.K)
𝑇1 𝑣1

𝑇2 𝑃2
∆𝑠 = 𝐶𝑝 𝑎𝑣 𝑙𝑛 − 𝑅 𝑙𝑛 (𝑘𝑗/𝑘𝑔.K)
𝑇1 𝑃1
Variable Specific Heat method (Exact method)

When the temperature change during a process is large, the assumption of


constant specific heats may lead to large errors in entropy-change
calculations. For this case, the variation of specific heats with temperature
should be accounted for.

𝑇 𝐶𝑝 (𝑇)𝑑𝑇
We can deal with the integration ∫𝑇 2 as follow:
1 𝑇

𝑇2 𝐶 (𝑇)𝑑𝑇 𝑇2 𝐶 (𝑇)𝑑𝑇 𝑇1 𝐶 (𝑇 )𝑑𝑇


𝑝 𝑝 𝑝
∫ =∫ −∫ = 𝑠2𝑜 − 𝑠1𝑜
𝑇1 𝑇 0 𝑇 0 𝑇

The exact function of 𝐶𝑝 (𝑇) is used and the results are given in the ideal
𝑇 𝐶𝑝 (𝑇)𝑑𝑇
gas table as 𝑠 𝑜 = ∫0 where 𝑠2𝑜 is the value of 𝑠 𝑜 at T2 and 𝑠1𝑜 is the
𝑇

value at T1. Thus,

𝑃2
∆𝑠 = (𝑠2𝑜 − 𝑠1𝑜 ) − 𝑅 𝑙𝑛 (𝑘𝑗/𝑘𝑔.K)
𝑃1

Case study

Air is compressed from an initial state of 100 kPa and 17 C o to a final


state of 600 kPa and 57 Co. Determine the entropy change of air during
this compression process by using (a) variable specific heat (property
values from the air table) and (b) average specific heats.

Solution

(a) Using variable specific heat method:

𝑃2
∆𝑠 = (𝑠2𝑜 − 𝑠1𝑜 ) − 𝑅 𝑙𝑛
𝑃1
From the ideal gas table (TA17), read values of 𝑠2𝑜 at T2=330 K and 𝑠1𝑜 at
T1=290 K and substitute in the equation

600
∆𝑠 = (1.79783 − 1.66802) − 0.287 𝑙𝑛
100

∆𝑠 = − 0.3844 𝑘𝐽/𝑘𝑔 · 𝐾

(b) Using constant specific heat method:

𝑇2 𝑃2
∆𝑠 = 𝐶𝑝 𝑎𝑣 𝑙𝑛 − 𝑅 𝑙𝑛
𝑇1 𝑃1

𝐶𝑝 𝑎𝑣 is determined at the average temperature of 310 K


(Table A–2b)

330 600
∆𝑠 = 1.006 𝑙𝑛 − 0.287 𝑙𝑛
290 100

∆𝑠 = − 0.3842 𝑘𝐽/𝑘𝑔 · 𝐾
Isentropic process for ideal gases

Constant specific heats (Approximate method)

The isentropic relations for ideal gases are obtained by setting ∆𝑠


equations (using constant specific heat) equal to zero. If we do that, we
will obtain the following isentropic relations:

𝑇2 𝑃2 (𝑘𝑎𝑣 −1)/𝑘𝑎𝑣 𝑣 𝑘𝑎𝑣 −1


=( ) = ( 1)
𝑇1 𝑃1 𝑣2

Variable Specific Heats (Exact Analysis)

The isentropic relations for ideal gases are obtained by setting ∆𝑠 (using
variable specific heat) equal to zero.

𝑃 𝑃𝑟2
( 2) = #
𝑃1 𝑠=𝑐𝑜𝑛𝑠𝑡 𝑃𝑟1

Where 𝑃𝑟 = 𝑒𝑥𝑝(𝑠𝑜 ⁄𝑅 )

The values of Pr can tabulated against temperature.


This is done for air in Table A–17. The use of Pr
data is illustrated in the shown figure.

The use of Pr data for calculating


the final temperature during an
isentropic process
Sometimes specific volume ratios are given instead of pressure ratios.
In such cases, one needs to work with volume ratios. Therefore, we
define another quantity related to specific volume ratios for isentropic
processes. This is done by using the ideal-gas relations:

𝑃1𝑣1 𝑃2𝑣2 𝑣2 𝑇2𝑃1 𝑇2𝑃𝑟1 𝑇2⁄𝑃𝑟2


𝑅= = → = = =
𝑇1 𝑇2 𝑣1 𝑇1𝑃2 𝑇1𝑃𝑟2 𝑇1⁄𝑃𝑟1

The quantity T/Pr is a function of temperature only and is defined as


relative specific volume vr. Thus,

𝑣 𝑣𝑟2
( 2) = #
𝑣1 𝑠=𝑐𝑜𝑛𝑠𝑡 𝑣𝑟1

Also vr is listed in Table A–17.

Summary
𝑃 𝑃𝑟2 𝑣 𝑣𝑟2
Equations of ( 2) = , and ( 2) = are strictly
𝑃1 𝑠=𝑐𝑜𝑛𝑠𝑡 𝑃𝑟1 𝑣1 𝑠=𝑐𝑜𝑛𝑠𝑡 𝑣𝑟1

valid for isentropic processes of ideal gases only. They account for the
variation of specific heats with temperature and therefore give more
𝑘𝑎𝑣 −1
𝑇2 𝑃2 𝑘𝑎𝑣 𝑣 𝑘𝑎𝑣 −1
accurate results than =( ) = ( 1) which are used for
𝑇1 𝑃1 𝑣2

isentropic processes of ideal gases but with constant specific heat


assumption.
Case study
Air is compressed in a car engine (piston-cylinder device) from 22Co and
95 kPa in a reversible and adiabatic manner. If the compression ratio
V1/V2 of this engine is 8, determine the final temperature of the air and the
work done.

Solution
This process is easily recognized as being isentropic
since it is both reversible and adiabatic. The problem
can be solved by:

- Using variable specific heat method

𝑉2 𝑣2 1
For closed system = =
𝑉1 𝑣1 8

And for isentropic process


𝑣2 𝑣𝑟2
( )=
𝑣1 𝑣𝑟1
From (Table A–17),
At T1 = 295 K: vr1 = 647.9, u1 =
Substituting in the above equation:
𝑣2 1
𝑣𝑟2 = 𝑣𝑟1 ( ) = 647.9 ( ) = 80.99
𝑣1 8
And from (Table A–17) again,
At 𝑣𝑟2 = 80.99 (by interpolation), T2= 662.7 K, u2 =

To determine the work done:


1st law for closed system
𝑞 − 𝑤 = 𝑢2 − 𝑢1 𝑞 = 0 for adiabatic process
𝑤 = 𝑢1 − 𝑢2 , kj/kg

- Using constant specific heat method

The relation between the temperature and specific volume is:


𝑇2 𝑣1 𝑘𝑎𝑣−1
=( )
𝑇1 𝑣2
We need to use the value of k corresponding to the average temperature.
However, the final temperature is not given, and so we cannot determine
the average temperature in advance. For such cases, calculations can be
started with a k value at the initial temperature 𝑇1 .
From Table A–2b
At T1 = 295 K: k = 1.4

𝑇2 = 295 (8)1.4−1 = 677.73 𝐾


This value can be refined, by determining new value of k by using:
𝑇1 + 𝑇2
𝑇𝑎𝑣 = = 486.36
2
And from Table A–2b again, 𝑘𝑎𝑣 = 1.39

𝑇2 = 295 (8)1.39−1 = 663.78 𝐾

To determine the work done


1st law for closed system
𝑞 − 𝑤 = 𝑢2 − 𝑢1 𝑞 = 0 → for adiabatic process

𝑤 = 𝑢1 − 𝑢2 = 𝐶𝑣 𝑎𝑣 (𝑇1 − 𝑇2) = 𝐶𝑣 𝑎𝑣 (295 − 663.78)


𝑇𝑎𝑣 = (𝑇1 + 𝑇2 )/2 = (295 + 663.78)/2 = 479.39

From Table A–2b


At 𝑇𝑎𝑣 = 479.39: 𝐶𝑣 𝑎𝑣 = (by interpolation)
POWER CYCLES

Power cycles are the cycles of the heat engines, the cycles which heat
engines operate.

Power cycles can also be categorized as


gas cycles and vapor cycles, depending on
the phase of the working fluid. In gas
cycles, the working fluid remains in the
gaseous phase throughout the entire cycle,
whereas in vapor cycles the working fluid
exists in the vapor phase during one part
of the cycle and in the liquid phase during
another part.

Power cycles can also be categorized by another way: closed and open
cycles. In closed cycles, the working fluid is returned to the initial state at
the end of the cycle and is
recirculated (such as the steam-
power plant). In open cycles, the
working fluid is renewed at the end of
each cycle instead of being
recirculated. In automobile engines,
the combustion gases are exhausted

and replaced by fresh air–fuel mixture Closed-vapor cycle, steam-power


plant
at the end of each cycle. The engine operates on a mechanical cycle, but
the working fluid does not go through a complete thermodynamic cycle.

Heat engines are categorized as internal combustion and external


combustion engines, depending on how the heat is supplied to the
working fluid. In external combustion engines (such as steam-power
plants), heat is supplied to the working fluid from an external source
such as a furnace, a nuclear reactor, or even the sun. In internal
combustion engines (such as automobile engines), this is done by
burning the fuel within the system boundaries.

Gas-Power Cycles

In this section, we will consider different types of gas power cycles,


cycles of automobile engines and cycle of gas turbine engine.

Air-standard assumptions
The gas power cycles are open-loop cycles; they
give heat engines that are internal combustion
engines. The actual gas power cycles are rather
complex. To simplify the analysis, we use the
following approximations, commonly known as the
air-standard assumptions:
1- The working fluid is air, which circulates in a
closed loop and always behaves as an ideal gas.
2- All the processes that make up the cycle are
internally reversible.
3- The combustion process is replaced by a heat-addition process from an
external source as shown.
4- The exhaust process is replaced by a heat-rejection process that
restores the working fluid to its initial state.

Another assumption that is often utilized to simplify the analysis even


more is that air has constant specific heats whose values are determined at
room temperature (25oC). When this assumption is utilized, the air-
standard assumptions are called the cold-air-standard assumptions.

An Overview of Reciprocating Engines

The reciprocating engine is simply a piston–cylinder device with intake


and exhaust valves. The basic components of a reciprocating engine are
shown. The piston reciprocates in the cylinder
between two fixed positions called:
- The top dead center (TDC), the position of the
piston when it forms the smallest volume in the
cylinder.
- The bottom dead center (BDC), the position of
the piston when it forms the largest volume in the
cylinder.
- The distance between the TDC and the BDC
is the largest distance that the piston can
travel in one direction, and it is called the
stroke of the engine.
- The diameter of the piston is called the bore.
- The minimum volume formed in the cylinder when the piston is at
TDC is called the clearance volume. The volume displaced by the
piston as it moves between TDC and BDC is called the displacement
volume (volume of stroke).
- The ratio of the maximum volume formed in the cylinder to the
minimum (clearance) volume is called the compression ratio (r) of the
engine.
𝑉𝐵𝐷𝐶 𝑉𝑚𝑎𝑥
𝑟= =
𝑉𝑇𝐷𝐶 𝑉𝑚𝑖𝑛

Another term frequently used in conjunction with reciprocating engines is


the Mean effective pressure (MEP). It is a hypothetical pressure that, if
it acted on the piston during the entire one (power) stroke, would produce
the same amount of net-work as that produced during the actual whole
cycle.

𝑊𝑛𝑒𝑡 = 𝑀𝐸𝑃 × 𝐷𝑖𝑠𝑝𝑙𝑎𝑐𝑒𝑚𝑒𝑛𝑡 𝑣𝑜𝑙𝑢𝑚𝑒 (𝑉𝑚𝑎𝑥 − 𝑉𝑚𝑖𝑛 )

𝑊𝑛𝑒𝑡, 𝑘𝑗 𝑤𝑛𝑒𝑡 , 𝑘𝑗⁄𝑘𝑔


𝑀𝐸𝑃 = = = 𝑘𝑃𝑎
(𝑉𝑚𝑎𝑥 − 𝑉𝑚𝑖𝑛 ), 𝑚3 (𝑣𝑚𝑎𝑥 − 𝑣𝑚𝑖𝑛 ), 𝑚3⁄𝑘𝑔

The mean effective pressure can be used as a parameter to compare the


performance of reciprocating engines of equal size. The engine with a
larger value of MEP delivers more net-work per cycle and thus performs
better.

Reciprocating engines are classified as spark-ignition (SI) engines or


compression-ignition (CI) engines, depending on how the combustion
process in the cylinder is initiated. In SI engines, the combustion of the
air–fuel mixture is initiated by a spark plug. In CI engines, the air–fuel
mixture is self-ignited as a result of compressing the mixture above its
self-ignition temperature. In the next sections, we discuss the ideal cycles
for the SI and CI reciprocating engines, respectively.

Otto Cycle: The Ideal Cycle for Spark-Ignition Engines

The Otto cycle is the ideal cycle for spark-


ignition reciprocating engines. The actual
cycle for spark-ignition is shown on the P-v
diagram for the four-stroke engines.

The ideal Otto cycle consists of four


internally reversible processes:

1- Isentropic compression process, 1-2


2- Constant-volume heat addition process, 2-3
3- Isentropic expansion process, 3-4
4- Constant-volume heat rejection process, 4-1

Energy analysis:

The Otto cycle is executed in a closed system,


with neglected changes in kinetic and potential
energies, the 1st law for any of the processes is
expressed as:
𝑞 − 𝑤 = ∆𝑢 𝑘𝑗⁄𝑘𝑔
- For process 2-3, heat addition process,

𝑞23 − 𝑤23 = 𝑢3 − 𝑢2

𝑤23 = 0, (𝑣 = 𝑐)

𝑞𝑖𝑛 = 𝑞23 = 𝑢3 − 𝑢2 = 𝑐𝑣 (𝑇3 − 𝑇2) #

- For process 4-1, heat rejection process,

𝑞41 − 𝑤41 = 𝑢1 − 𝑢4

𝑤41 = 0, (𝑣 = 𝑐)

𝑞𝑜𝑢𝑡 = − 𝑞41 = 𝑢4 − 𝑢1 = 𝑐𝑣 (𝑇4 − 𝑇1) #

Then the thermal efficiency of the ideal Otto cycle under the cold air
standard-assumptions becomes,

𝑤𝑛𝑒𝑡 𝑞𝑜𝑢𝑡 𝑐𝑣 (𝑇4 −𝑇1 ) 𝑇1 (𝑇4 ⁄𝑇1 −1)


th= 𝑞𝑖𝑛
=1−
𝑞𝑖𝑛
=1−
𝑐𝑣 (𝑇3 −𝑇2 )
= 1−
𝑇2 (𝑇3 ⁄𝑇2 −1)
#

𝑇2 𝑣 𝑘−1
Process 1-2 is isentropic, = ( 1) = (𝑟)𝑘−1 (1)
𝑇1 𝑣2

𝑇3 𝑣 𝑘−1
Process 3-4 is isentropic, = ( 4) = (𝑟)𝑘−1 (2)
𝑇4 𝑣3

𝑇2 𝑇3 𝑇3 𝑇4
From (1), (2) = → =
𝑇1 𝑇4 𝑇2 𝑇1

Substituting in th equation,

𝑇 1
th= 1 − 𝑇1 = 1 − (𝑟)𝑘−1
2

1
th, otto= 1 − (𝑟)𝑘−1 #
The equation shows that under the cold-air-standard assumptions, the
thermal efficiency of an ideal Otto cycle depends on the compression
ratio (𝑟) of the engine and the specific
heat ratio (𝑘 ) of the working fluid. The
thermal efficiency of the ideal Otto cycle
increases with both the compression ratio
and the specific heat ratio. This is also
true for actual spark-ignition internal
combustion engines. A plot of thermal
efficiency versus the compression ratio is
shown for k = 1.4, which is the specific
heat ratio value of air at room
temperature.

Also, when high compression ratios are used, the temperature of the air–
fuel mixture rises above the auto-ignition temperature of the fuel (the
temperature at which the fuel ignites without
the help of a spark) during the combustion
process, causing an early and rapid burn of the
fuel at some point or points ahead of the flame
front, followed by almost instantaneous
inflammation of the end gas. This premature
ignition of the fuel, called self-ignition,
produces an audible noise, which is called
engine knock. Auto-ignition in spark-ignition
engines cannot be tolerated because it hurts
performance and can cause engine damage.
Improvement of the thermal efficiency of gasoline engines by utilizing
higher compression ratios (up to about 12) without facing the auto-
ignition problem has been made possible by using gasoline blends that
have good antiknock characteristics, such as gasoline mixed with
tetraethyl lead. It is an inexpensive method of raising the octane rating,
which is a measure of the engine knock resistance of a fuel. Leaded
gasoline, however, has a very undesirable side effect to health and
pollutes the environment. The ready availability of high octane fuels
made it possible to raise the compression ratios again in recent years.
Also, owing to the improvements in other areas (reduction in overall
automobile weight, improved aerodynamic design, etc.), today’s cars
have better fuel economy and consequently get more miles per gallon of
fuel. The second parameter affecting the thermal efficiency of an ideal
Otto cycle is the specific heat ratio k. For a given compression ratio, an
ideal Otto cycle using a monatomic gas (such as argon or helium, k =
1.667) as the working fluid will have the highest thermal efficiency. The
specific heat ratio k, and thus the thermal efficiency of the ideal Otto
cycle, decreases as the molecules of the working fluid get larger. At room
temperature it is 1.4 for air, 1.3 for carbon dioxide, and 1.2 for ethane.
The working fluid in actual engines contains larger molecules such as
carbon dioxide, and the specific heat ratio decreases with temperature,
which is one of the reasons that the actual cycles have lower thermal
efficiencies than the ideal Otto cycle. The thermal efficiencies of actual
spark-ignition engines range from about 25 to 30 percent.
Case study

An ideal Otto cycle has a compression ratio of 8. At the beginning of the


compression process, air is at 100 kPa and 17 oC, and 800 kJ/kg of heat is
transferred to air during the constant-volume heat-addition process.
Accounting for the variation of specific heats of air with temperature,
determine (a) the maximum temperature and pressure that occur during
the cycle, (b) the net-work output, (c) the thermal efficiency, and (d) the
mean effective pressure for the cycle. (e) Also, determine the power
output from the cycle, in kW, for an engine speed of 4000 rpm (rev/min).
Assume that this cycle is operated on an engine that has four cylinders
with a total displacement volume of 1.6 L.

Solution

- Using variable specific heat method:

From (T-A17), 𝑢@𝑇1=290 𝐾 = 206.91 𝑘𝑗/𝑘𝑔,


𝑣𝑟1@𝑇1=290 𝐾 = 606.7

Process 1-2 is isentropic,

𝑣𝑟2 𝑣2 1 1
= = =
𝑣𝑟1 𝑣1 𝑟 8

606.7
𝑣𝑟2 = = 84.51 → 𝑇2 = 652.4 𝐾, 𝑢2
8
= 475.11 𝑘𝑗/𝑘𝑔

𝑃1 𝑣1 𝑃2𝑣2
𝑅= =
𝑇1 𝑇2
𝑇2 𝑣1 652.4
𝑃2 = 𝑃1 ( ) ( ) = 100 ( ) (8) = 1799.9 𝑘𝑃𝑎
𝑇1 𝑣2 290

Process 2-3 is (const. vol. heat addition),

𝑞𝑖𝑛 = 𝑢3 − 𝑢2

800 = 𝑢3 − 475.11

𝑢3 = 1275.11 𝑘𝑗⁄𝑘𝑔 → 𝑇3 = 1575.1 𝐾, 𝑣𝑟3 = 6.108

𝑃3𝑣3 𝑃2𝑣2
𝑅= =
𝑇3 𝑇2

𝑇3 𝑣2 1575.1
𝑃3 = 𝑃2 ( ) ( ) = 1799.9 ( ) (1) = 4345 𝑘𝑃𝑎
𝑇2 𝑣3 652.4

Process 3-4 is isentropic,

𝑣𝑟4 𝑣4
= =𝑟=8
𝑣𝑟3 𝑣3

𝑣𝑟4 = 6.108 (8) = 48.864 → 𝑇4 = 795.6 𝐾, 𝑢4 = 588.74 𝑘𝑗⁄𝑘𝑔

Process 4-1 is (const. vol. heat rejection),

From 1st law,

𝑞41 = 𝑢1 − 𝑢4

𝑞𝑜𝑢𝑡 = − 𝑞41 = 𝑢4 − 𝑢1 = 588.74 − 206.91 = 381.83 𝑘𝑗⁄𝑘𝑔


For the whole cycle,

𝑤𝑛𝑒𝑡 = 𝑞𝑖𝑛 − 𝑞𝑜𝑢𝑡 = 800 − 381.83 = 418.17 𝑘𝑗⁄𝑘𝑔

The thermal efficiency of the cycle is:

𝑤𝑛𝑒𝑡 418.17
th, otto= 𝑞𝑖𝑛
=
800
= 0.523 = 52.3 %

To determine the MEP,

𝑃1𝑣1 = 𝑅𝑇1

𝑅𝑇1 0.287(290)
𝑣1 = = = 0.8323 𝑚3⁄𝑘𝑔
𝑃1 100

𝑣1 0.8323
𝑣2 = = = 0.104 𝑚3⁄𝑘𝑔
𝑟 8

𝑤𝑛𝑒𝑡 418.17
𝑀𝐸𝑃 = = = 574 𝑘𝑃𝑎
𝑣1 − 𝑣2 0.8323 − 0.104

To determine the power output:

The mass of the air due to displacement volume (1.6 L),

𝑉𝑑 0.0016
𝑚𝑎𝑖𝑟 = = = 0.001922 𝑘𝑔
𝑣1 0.8323

Total work net,

𝑊𝑛𝑒𝑡 = 𝑤𝑛𝑒𝑡 × 𝑚𝑎𝑖𝑟 = 418.17 × 0.001922 = 0.8037 𝑘𝑗⁄𝑐𝑦𝑐𝑙𝑒

𝑇ℎ𝑒 𝑛𝑢𝑚𝑏𝑒𝑟 𝑜𝑓 𝑐𝑦𝑐𝑙𝑒𝑠 = 𝑛𝑢𝑚𝑏𝑒𝑟 𝑜𝑓 𝑟𝑒𝑣𝑜𝑙𝑢𝑡𝑖𝑜𝑛𝑠 ⁄2


= 4000⁄2 = 2000 𝑐𝑦𝑐𝑙𝑒 ⁄𝑚𝑖𝑛.

2000
𝑝𝑜𝑤𝑒𝑟 𝑜𝑢𝑡𝑝𝑢𝑡 = 0.8037 ( ) = 26.8 𝑘𝑗⁄𝑠 = 26.8𝑘𝑊
60
- Using constant specific heat method:

Process 1-2 is isentropic,

𝑇2 𝑣1 𝑘−1
=( ) = (𝑟)𝑘−1 = (8)1.4−1 = (8)0.4
𝑇1 𝑣2
𝑇2 = 290(8)0.4 = 666.24 𝐾

𝑃1 𝑣1 𝑃2 𝑣2
𝑅= =
𝑇1 𝑇2

𝑇2 𝑣1 666.24
𝑃2 = 𝑃1 ( ) ( ) = 100 ( ) (8)
𝑇1 𝑣2 290
= 1837.9 𝑘𝑃𝑎

Process 2-3 is (const. vol. heat addition),

𝑞𝑖𝑛 = 𝑢3 − 𝑢2

800 = 𝑢3 − 𝑢2 = 𝑐𝑣 (𝑇3 − 𝑇2)


= 0.718(𝑇3 − 666.24 )

𝑇3 = 1780.4 𝐾

𝑃3𝑣3 𝑃2𝑣2
𝑅= =
𝑇3 𝑇2

𝑇3 𝑣2 1780.4
𝑃3 = 𝑃2 ( ) ( ) = 1837.9 ( ) (1) = 4911.4 𝑘𝑃𝑎
𝑇2 𝑣3 666.24

Process 3-4 is isentropic,

𝑇3 𝑣4 𝑘−1
=( ) = (𝑟)𝑘−1 = (8)1.4−1 = (8)0.4
𝑇4 𝑣3
𝑇3 1780.4
𝑇4 = = = 774.96 𝐾
(8)0.4 (8)0.4
Prcess 4-1 is (const. vol. heat rejection),

From 1st law,

𝑞41 = 𝑢1 − 𝑢4

𝑞𝑜𝑢𝑡 = − 𝑞41 = 𝑢4 − 𝑢1 = 𝑐𝑣 (𝑇4 − 𝑇1)

𝑞𝑜𝑢𝑡 = 0.718(774.96 − 290) = 348.2 𝑘𝑗⁄𝑘𝑔 #

𝑤𝑛𝑒𝑡 = 𝑞𝑖𝑛 − 𝑞𝑜𝑢𝑡 = 800 − 348.2 = 451.8 𝑘𝑗⁄𝑘𝑔 #

The thermal efficiency of the cycle is:

𝑤𝑛𝑒𝑡 451.8
th, otto= 𝑞𝑛𝑒𝑡
=
800
= 0.5647 = 56.47 %

To determine the MEP,

𝑃1𝑣1 = 𝑅𝑇1

𝑅𝑇1 0.287(290)
𝑣1 = = = 0.8323 𝑚3⁄𝑘𝑔
𝑃1 100

𝑣1 0.8323
𝑣2 = = = 0.104 𝑚3⁄𝑘𝑔
𝑟 8

𝑤𝑛𝑒𝑡 451.8
𝑀𝐸𝑃 = = = 620.6 𝑘𝑃𝑎 #
𝑣1 − 𝑣2 0.8323 − 0.104

To determine the power output:

The mass of the air due to displacement volume (1.6 L),

𝑉𝑑 0.0016
𝑚𝑎𝑖𝑟 = = = 0.001922 𝑘𝑔
𝑣1 0.8323
Total work net,

𝑊𝑛𝑒𝑡 = 𝑤𝑛𝑒𝑡 × 𝑚𝑎𝑖𝑟 = 451.8 × 0.001922 = 0.86835 𝑘𝑗⁄𝑐𝑦𝑐𝑙𝑒

𝑇ℎ𝑒 𝑛𝑢𝑚𝑏𝑒𝑟 𝑜𝑓 𝑐𝑦𝑐𝑙𝑒𝑠 = 𝑛𝑢𝑚𝑏𝑒𝑟 𝑜𝑓 𝑟𝑒𝑣𝑜𝑙𝑢𝑡𝑖𝑜𝑛𝑠 ⁄2


= 4000⁄2 = 2000 𝑐𝑦𝑐𝑙𝑒 ⁄𝑚𝑖𝑛.

2000
𝑃𝑜𝑤𝑒𝑟 𝑜𝑢𝑡𝑝𝑢𝑡 = 0.86835 ( ) = 28.94 𝑘𝑗⁄𝑠 = 28.94 𝑘𝑊 #
60

You might also like