KEMBAR78
Operations Management Question Bank | PDF | Moving Average | Forecasting
0% found this document useful (0 votes)
173 views19 pages

Operations Management Question Bank

The document provides a question bank for modules 1 and 2 of an Operations Management course. Module 1 questions cover topics like defining operations management, productivity improvement steps, systematic decision making, and productivity calculations. Module 2 questions focus on forecasting patterns, exponential smoothing, forecasting techniques like moving averages, and least squares forecasting. The document lists 20 multiple choice questions related to these module topics.

Uploaded by

Anirudh S
Copyright
© © All Rights Reserved
We take content rights seriously. If you suspect this is your content, claim it here.
Available Formats
Download as PDF, TXT or read online on Scribd
0% found this document useful (0 votes)
173 views19 pages

Operations Management Question Bank

The document provides a question bank for modules 1 and 2 of an Operations Management course. Module 1 questions cover topics like defining operations management, productivity improvement steps, systematic decision making, and productivity calculations. Module 2 questions focus on forecasting patterns, exponential smoothing, forecasting techniques like moving averages, and least squares forecasting. The document lists 20 multiple choice questions related to these module topics.

Uploaded by

Anirudh S
Copyright
© © All Rights Reserved
We take content rights seriously. If you suspect this is your content, claim it here.
Available Formats
Download as PDF, TXT or read online on Scribd
You are on page 1/ 19

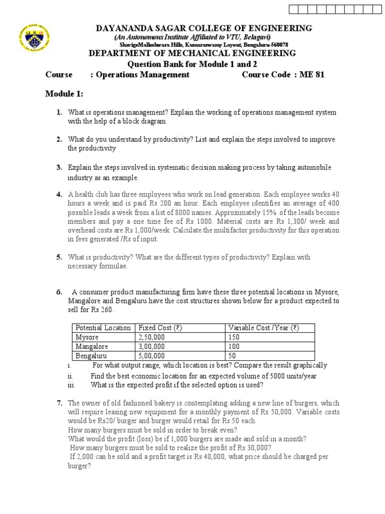
DAYANANDA SAGAR COLLEGE OF ENGINEERING

(An Autonomous Institute Affiliated to VTU, Belagavi)


ShavigeMalleshwara Hills, Kumaraswamy Layout, Bengaluru-560078
DEPARTMENT OF MECHANICAL ENGINEERING
Question Bank for Module 1 and 2
Course : Operations Management Course Code : ME 81

Module 1:
1. What is operations management? Explain the working of operations management system
with the help of a block diagram

2. What do you understand by productivity? List and explain the steps involved to improve
the productivity

3. Explain the steps involved in systematic decision making process by taking automobile
industry as an example.

4. A health club has three employees who work on lead generation. Each employee works 40
hours a week and is paid Rs 200 an hour. Each employee identifies an average of 400
possible leads a week from a list of 8000 names. Approximately 15% of the leads become
members and pay a one time fee of Rs 1000. Material costs are Rs 1,300/ week and
overhead costs are Rs 1,000/week. Calculate the multifactor productivity for this operation
in fees generated /Rs of input.

5. What is productivity? What are the different types of productivity? Explain with
necessary formulae.

6. A consumer product manufacturing firm have these three potential locations in Mysore,
Mangalore and Bengaluru have the cost structures shown below for a product expected to
sell for Rs 260.

Potential Location Fixed Cost (₹) Variable Cost /Year (₹)


Mysore 2,50,000 150
Mangalore 3,00,000 100
Bengaluru 5,00,000 50
i. For what output range, which location is best? Compare the result graphically
ii. Find the best economic location for an expected volume of 5000 units/year
iii. What is the expected profit if the selected option is used?

7. The owner of old fashioned bakery is contemplating adding a new line of burgers, which
will require leasing new equipment for a monthly payment of Rs 50,000. Variable costs
would be Rs20/ burger and burger would retail for Rs 50 each.
How many burgers must be sold in order to break even?
What would the profit (loss) be if 1,000 burgers are made and sold in a month?
How many burgers must be sold to realize the profit of Rs 30,000?
If 2,000 can be sold and a profit target is Rs 40,000, what price should be charged per
burger?
8. Shyam is currently working a total 12 hours per day to produce 240 castings. He thinks
that by changing the melting process, he can increase his rate of production to 360
castings per day. Total material cost for each casting is approximately ₹350, he has to
invest ₹2000 in the necessary supplies per day, energy costs are assumed to be ₹400 per
day and he thinks he should be making ₹1000 per hour for his time. Viewing this from a
total productivity perspective, what is his productivity at present and with change in
melting process? (assumption: casting costs the same amount )

Module 2:

1. What is forecasting? Explain the various forecasting patterns based on time series data.

2. A firm uses simple exponential with α = 0.1 to forecast demand. The forecast for the
week February 1 was 500 units, where as actual demand turned out to be 450 units.
Forecast the demand for the week of February 8. Assume that the actual demand during
the week of February 8 turned out to be 505 units. Forecast the demand for the week of
February 15. Continue forecasting through March 15, assuming that subsequent
demands were actually 516,488,467,554 &510 units.

3. For the given the data Prepare a forecast for period 6 using each of these approaches
Period 1 2 3 4 5
Number of Complaints 60 65 55 58 64
i. A three period moving average
ii. A weighted average using weights of 0.5(most recent) , 0.3 and 0.2

4. Monthly sales of a product in thousands of rupees for the past 2 years are shown below:
Month Jan Feb Mar Apr May June July Aug Sep Oct Nov Dec
2 yers 25 236 245 246 260 251 249 242 234 244 246 251
Ago 3
1 yers 25 252 248 241 247 244 244 249 511 238 249 252
Ago 0
a. Fit a line to the data and determine a forecast of the next month.
b. Select an initial forecast from part ‘a’ and use 𝛼=0.2 to determine the forecast for the
next Jan by exponential smoothing.
c. Compare the forecast from (a) and (b), which one would you select

5. The data given below refers to past sales of production unit for the last eleven years. Using
least squares method estimate the sales forecast for the next two years.
Objective Question Bank for Module 1 and 2

1. Productivity can be measured in which of the following input resource(s)


(i) Material input (ii) Labour input (iii) Capital and Land Input (iv) All of the above

2. Which of the following is not a type of production system


(i) Mass production (ii) Class production (iii) Batch production (iv) Jobshop production

3. Raw material productivity can be increased by


(i) Proper choice of design (ii) Reuse of material (iii) Scrap control (iv) All of the above

4. Three employees process 600 insurance policies in a week. They work 8 hours/day for 5
days a week. What is the productivity
(i) 15 policies/hr (ii) 5 policies/hr (iii) 200 policies/hr (iv) 40 policies/hr

5. Break even quantity is equal to


(i) FC/(VC-SP) (ii) FC/(SP-VC) (iii) VC/(SP-FC) (iv) SP/(FC-VC)

6. Which of the following are characteristics of B.E.P?


(i) There is no loss and no profit to the firm. (ii) Total revenue is equal to total cost.
(iii) Contribution is equal to fixed cost. (iv) All of the above.

7. In which of the following forecasting technique, data obtained from past experience is
analyzed?
(i) Judgemental forecast (ii) Time series forecast
(iii) Associative model (iv) All of the above

8. Delphi method is used for


(i) Judgemental forecast (ii) Time series forecast
(iii) Associative model (iv) All of the above

9. A linear trend equation has the form


(i) F=a-bt (ii) F=a+bt (iii) F=2a-bt (iv) F=2a+bt

10. Considering the forecasting periods, the plans that are for the tenure of one to five years
are classified as
(i) intermediate plans (ii) long term plans (iii) short term plans (iv) all of the above

11. Operation management is a ___________________process


i. Transition ii. Translation iii. Transformation iv. Transaction

12. Which of the following activities is NOT a direct responsibility of operation


management?
i. Planning and controlling the operation
ii. Determining the exact mix of products and services that customers will want
iii. Developing an operation strategy for the operation.
iv. Designing the operation’s products, services and process
13. What are the input resources to any transformation process?
i. Information, materials and customers ii. Processes, people and parts
ii. Staff, facilities, materials, information and customers iv. People and machine

14. Productivity is expressed as


i..Output plus input ii. Input divided by output
iii. Output times input iv. Output divided by input

15. Write an expression for profit volume ratio


i (Contribution / Total sales revenue) x 100 ii. (Fixed cost /Total sales revenue) x 100
iii (sales revenue/ total cost) x 100 iv. (variable cost/ total cost)x 100

16. Process of using the present and past conditions for analyzing future aspects is classified
as
i. Forecasting ii. Term analysis iii. Expectations analysis iv. All of the above.

17. A linear trend equation has the form


i. F=a-bt ii. F= a+bt iii. F= 2a-bt iv. F= 2a +bt

18. If demand is 106 during January, 120 in February, 134 in March, and 142 in April, what
is the 3-month simple moving average for May?
i. 138 ii. 126 iii 142 iv 132

19. Given last period's forecast of 65, and last period's demand of 62, what is the simple
exponential smoothing forecast with an alpha of 0.4 for the next period?
i. 63.2 ii. 65 iii 63.8 iv 62.8

20. The method that considers several variables that are related to the variable being
predicted is
i. Weighted moving average ii. Weighted average iii exponential smoothing iv
Multiple regression

You might also like