KEMBAR78
Set A Long Questions: (10 2 10) Attempt Any Two | PDF | Project Management | Software Architecture
0% found this document useful (0 votes)
411 views2 pages

Set A Long Questions: (10 2 10) Attempt Any Two

This document contains two sets of questions for a software engineering exam. Set A contains long questions on object oriented design, software process models, and software project management. It also contains short questions covering topics like software planning, architecture, emergent properties, system engineering, modular decomposition, requirements, project scheduling, testing, risk management, and evolution. Set B similarly contains long questions on project management, process models, and testing. It's short questions cover topics like PERT vs Gantt charts, risk management, evolution, architectural models, system engineering, requirements, software architecture, emergent properties, modular decomposition, and planning.

Uploaded by

setup vpn
Copyright
© © All Rights Reserved
We take content rights seriously. If you suspect this is your content, claim it here.
Available Formats
Download as DOCX, PDF, TXT or read online on Scribd
0% found this document useful (0 votes)
411 views2 pages

Set A Long Questions: (10 2 10) Attempt Any Two

This document contains two sets of questions for a software engineering exam. Set A contains long questions on object oriented design, software process models, and software project management. It also contains short questions covering topics like software planning, architecture, emergent properties, system engineering, modular decomposition, requirements, project scheduling, testing, risk management, and evolution. Set B similarly contains long questions on project management, process models, and testing. It's short questions cover topics like PERT vs Gantt charts, risk management, evolution, architectural models, system engineering, requirements, software architecture, emergent properties, modular decomposition, and planning.

Uploaded by

setup vpn
Copyright
© © All Rights Reserved
We take content rights seriously. If you suspect this is your content, claim it here.
Available Formats
Download as DOCX, PDF, TXT or read online on Scribd
You are on page 1/ 2

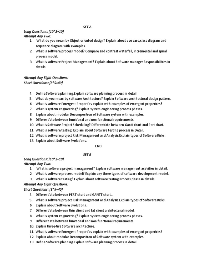
SET A

Long Questions: [10*2=10]


Attempt Any Two:
1. What do you mean by Object oriented design? Explain about use case,class diagram and
sequence diagram with examples.
2. What is software process model? Compare and contrast waterfall, incremental and spiral
process model.
3. What is software Project Management? Explain about Software manager Responsibilities in
details.

Attempt Any Eight Questions:


Short Questions: [8*5=40]

4. Define Software planning.Explain software planning process in detail


5. What do you mean by software Architecture? Explain Software architectural design pattern.
6. What is software Emergent Properties explain with examples of emergent properties?
7. What is system engineering? Explain system engineering process phases.
8. Explain about modular Decomposition of Software system with examples.
9. Differentiate between functional and non functional requirements.
10. What is Software Project Scheduling? Differentiate between Gantt chart and Pert chart.
11. What is software testing. Explain about Software testing process in Detail.
12. What is software project Risk Management and Analysis.Explain types of Software Risks.
13. Explain about Software Evolutions.
END

SET B
Long Questions: [10*2=10]
Attempt Any Two:
1. What is software project management? Explain software management activities in detail.
2. What is software process model? Explain any three types of software development model.
3. What is software testing? Explain about software testing Process phase in details.
Attempt Any Eight Questions:
Short Questions: [8*5=40]
4. Differentiate between PERT chart and GANTT chart..
5. What is software project Risk Management and Analysis.Explain types of Software Risks.
6. Explain about Software Evolutions.
7. Differentiate between thin client and fat client architectural model.
8. What is system engineering? Explain system engineering process phases.
9. Differentiate between functional and non functional requirements.
10. Explain three-tire Software architecture.
11. What is software Emergent Properties explain with examples of emergent properties?
12. Explain about modular Decomposition of Software system with examples.
13. Define Software planning.Explain software planning process in detail
END

You might also like