KEMBAR78
Lec 7 Practice Problem With Ans | PDF | Teaching Methods & Materials | Technology & Engineering
0% found this document useful (0 votes)
487 views4 pages

Lec 7 Practice Problem With Ans

This document contains sample problems and questions related to heat transfer over flat plates. Specifically, it includes: - Questions about boundary layer thickness, heat transfer with constant wall temperature or constant heat flux, and drag force on plates. - Sample problems calculating boundary layer thickness, heat transfer rate, total heat transfer, and drag force in situations like air flowing over plates at different velocities and temperatures. - Questions related to local Nusselt number and its variation with distance from the leading edge for cases where plate heating starts at different distances from the edge. - Examples involving calculations for fluids like air, water, and helium flowing over plates under conditions of constant temperature or constant heat flux.
Copyright
© © All Rights Reserved
We take content rights seriously. If you suspect this is your content, claim it here.
Available Formats
Download as PDF, TXT or read online on Scribd
0% found this document useful (0 votes)
487 views4 pages

Lec 7 Practice Problem With Ans

This document contains sample problems and questions related to heat transfer over flat plates. Specifically, it includes: - Questions about boundary layer thickness, heat transfer with constant wall temperature or constant heat flux, and drag force on plates. - Sample problems calculating boundary layer thickness, heat transfer rate, total heat transfer, and drag force in situations like air flowing over plates at different velocities and temperatures. - Questions related to local Nusselt number and its variation with distance from the leading edge for cases where plate heating starts at different distances from the edge. - Examples involving calculations for fluids like air, water, and helium flowing over plates under conditions of constant temperature or constant heat flux.
Copyright
© © All Rights Reserved
We take content rights seriously. If you suspect this is your content, claim it here.
Available Formats
Download as PDF, TXT or read online on Scribd
You are on page 1/ 4

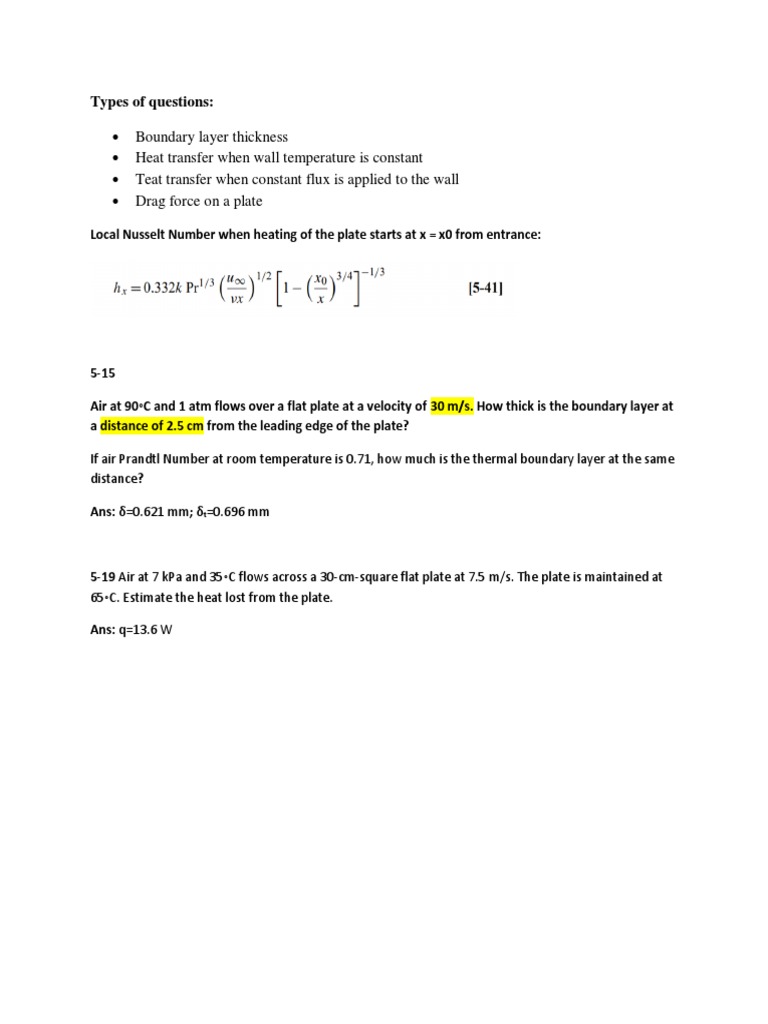
Types of questions:

 Boundary layer thickness


 Heat transfer when wall temperature is constant
 Teat transfer when constant flux is applied to the wall
 Drag force on a plate

Local Nusselt Number when heating of the plate starts at x = x0 from entrance:

5-15

Air at 90◦C and 1 atm flows over a flat plate at a velocity of 30 m/s. How thick is the boundary layer at
a distance of 2.5 cm from the leading edge of the plate?

If air Prandtl Number at room temperature is 0.71, how much is the thermal boundary layer at the same
distance?

Ans: δ=0.621 mm; δt=0.696 mm

5-19 Air at 7 kPa and 35◦C flows across a 30-cm-square flat plate at 7.5 m/s. The plate is maintained at
65◦C. Estimate the heat lost from the plate.

Ans: q=13.6 W
5.16 (modified)

Air flows over a flat plate at a constant velocity of 20 m/s and ambient conditions of 20 kPa and 20◦C.
The plate is heated to a constant temperature of 75◦C, starting at a distance of 7.5 cm from the leading
edge. What is the total heat transfer from the leading edge to a point 35 cm from the leading edge?
Variation: when the entire plate is heated instead of starting at 7.5 cm; meaning x 0=0

5-43 A 10-cm-square plate has an electric heater installed that produces a constant
heat flux. Water at 10◦C flows across the plate at a velocity of 3 m/s. What is the
total heat which can be dissipated if the plate temperature is not to exceed 80◦C?
Ans: q=1968 W

5-45 Helium at 1 atm and 300 K is used to cool a l-m-square plate maintained at 500 K. The flow
velocity is 50 m/s. Calculate the total heat loss from the plate. What is the boundary-layer
thickness as the flow leaves the plate?

Ans: q=10520 W; δ=9.4 mm

5-23 Calculate the heat transfer from a 20-cm-square plate over which air flows at 35◦C and 14 kPa. The
plate temperature is 250◦C, and the free-stream velocity is 6 m/s.

Ans: q=676 W

Drag force based calculations:

5-81 Glycerin at 30◦C flows past a 30-cm-square flat plate at a velocity of 1.5 m/s. The drag force is
measured as 8.9 N (both sides of the plate). Calculate the heat-transfer coefficient for such a flow
system.

̅ = 262 W/(m2 K)
Ans: h
Turbulent flow over a plate (Example 5-9)
Constant Heat flux:

You might also like