KEMBAR78
LK 1: Lembar Kerja Belajar Mandiri | PDF | Learning | Advertising
0% found this document useful (0 votes)
76 views4 pages

LK 1: Lembar Kerja Belajar Mandiri

This document provides an overview of four learning activities in Module 2 of an English language course: 1) Personal Letter, 2) Invitation, 3) Announcement, and 4) Advertisement. For each activity, it lists the main concepts and definitions covered in the module, example formats, and key features such as social function and generic structure. The document also identifies spoken and written announcements/advertisements as potentially difficult concepts for students, as well as areas where misconceptions may arise.
Copyright
© © All Rights Reserved
We take content rights seriously. If you suspect this is your content, claim it here.
Available Formats
Download as PDF, TXT or read online on Scribd
0% found this document useful (0 votes)
76 views4 pages

LK 1: Lembar Kerja Belajar Mandiri

This document provides an overview of four learning activities in Module 2 of an English language course: 1) Personal Letter, 2) Invitation, 3) Announcement, and 4) Advertisement. For each activity, it lists the main concepts and definitions covered in the module, example formats, and key features such as social function and generic structure. The document also identifies spoken and written announcements/advertisements as potentially difficult concepts for students, as well as areas where misconceptions may arise.
Copyright
© © All Rights Reserved
We take content rights seriously. If you suspect this is your content, claim it here.
Available Formats
Download as PDF, TXT or read online on Scribd
You are on page 1/ 4

LK 1: Lembar Kerja Belajar Mandiri

Judul Modul Modul 2 – Bahasa Inggris


Judul Kegiatan 1. Learning Activity 1: Personal Letter
Belajar (KB) 2. Learning Activity 2: Invitation
3. Learning Activity 3: Announcement
4. Learning Actiivity 4 : Advertisement
No Butir Respon/Jawaban
Refleksi
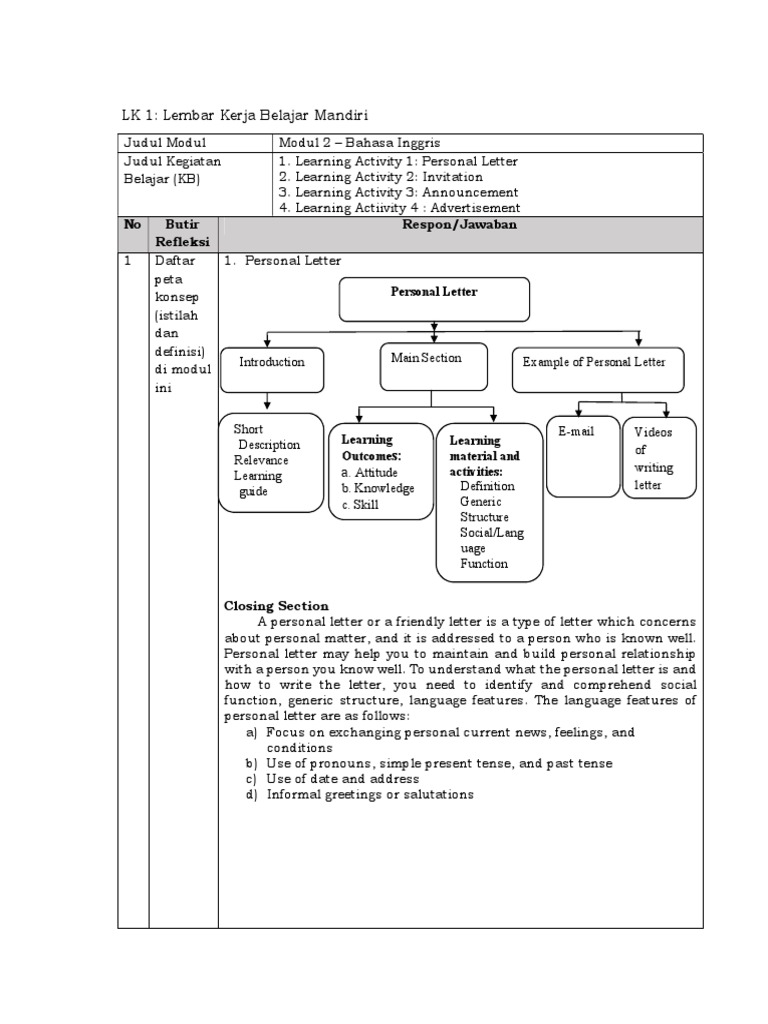
1 Daftar 1. Personal Letter
peta
konsep Personal Letter
(istilah
dan
definisi) Main Section
Introduction Example of Personal Letter
di modul
ini

Short E-mail Videos


Description Learning Learning
Outcomes: material and of
Relevance
a. Attitude activities: writing
Learning
guide b. Knowledge Definition letter
c. Skill Generic
Structure
Social/Lang
uage
Function

Closing Section
A personal letter or a friendly letter is a type of letter which concerns
about personal matter, and it is addressed to a person who is known well.
Personal letter may help you to maintain and build personal relationship
with a person you know well. To understand what the personal letter is and
how to write the letter, you need to identify and comprehend social
function, generic structure, language features. The language features of
personal letter are as follows:
a) Focus on exchanging personal current news, feelings, and
conditions
b) Use of pronouns, simple present tense, and past tense
c) Use of date and address
d) Informal greetings or salutations
2. Invitation

Invitation

Introduction Main Section Example of Invitation

Short Formal Videos


Description Learning Learning invitati
Outcomes: material and of topic
Relevance ons
a. Attitude activities: of
Learning Definiti
guide b. Knowledge Definition inviting
on of
c. Skill Generic others
invitati
Structure
on
Social
Function
Social/Lang
uage
Features

Closing Section
An invitation is a document that presents a formal request for the
presence of an individual, a group of people or an organization at an event.
An invitation may be formal or informal, and it can also be printed form or
soft file sent via email. An invitation has key features, namely: social
function, generic structure and language features.
3. Announcement

Announcement

Introduction Main Section Example of Announcement

Short Spoken Written


Description Learning Learning
Annou announc
Relevance Outcomes: material and
a. Attitude activities: nceme ement
Learning
b. Knowledge Definition nt
guide
c. Skill Generic
Structure
Social
Function
Social/Langua
ge Features

Closing Section

An announcement is a statement made to the public or to the media


which gives information about something that has happened or that will
happen. The announcement of something that has happened is the act of
telling people about it. An announcement in a public place, such as
newspaper or the window of a shop, is a short piece of writing telling people
about something or asking for something.
4. Advertisement

Closing Section

The American Marketing Association provided a more detailed


definition of advertising, namely, “a paid, non personal communication
laying emphasis on promotion and visual as well as oral presentation of the
sales message.

2 Daftar 1. Adverstisement
materi
yang
sulit
dipaham
i di
modul
ini
3 Daftar 1. Spoken and Written baik annoucement maupun advertisement.
materi
yang
sering
mengala
mi
miskons
epsi

You might also like