KEMBAR78
Call Log Summary | PDF
0% found this document useful (0 votes)
2K views37 pages

Call Log Summary

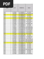
The document contains records of calls made by Darshan Shetty from August 10th to October 16th. Each record lists the manager's name, type of call, date, call status, and status. All calls made by Darshan Shetty during this period are listed as having a normal status and being completed.

Uploaded by

darshan shetty
Copyright
© © All Rights Reserved
We take content rights seriously. If you suspect this is your content, claim it here.
Available Formats
Download as XLSX, PDF, TXT or read online on Scribd
0% found this document useful (0 votes)
2K views37 pages

Call Log Summary

The document contains records of calls made by Darshan Shetty from August 10th to October 16th. Each record lists the manager's name, type of call, date, call status, and status. All calls made by Darshan Shetty during this period are listed as having a normal status and being completed.

Uploaded by

darshan shetty
Copyright
© © All Rights Reserved
We take content rights seriously. If you suspect this is your content, claim it here.
Available Formats
Download as XLSX, PDF, TXT or read online on Scribd
You are on page 1/ 37

Manager Name

Subject Date Of Calling Status

Darshan Shetty Call 8/10/2021 Normal Completed


Darshan Shetty 8/10/2021 Normal Completed
Darshan Shetty Call
Darshan Shetty Call 8/10/2021 Normal Completed
Darshan Shetty Call 8/10/2021 Normal Completed
Darshan Shetty Call 8/10/2021 Normal Completed
Darshan Shetty Call 8/10/2021 Normal Completed
Darshan Shetty Call 8/10/2021 Normal Completed
Darshan Shetty Call 8/10/2021 Normal Completed
Darshan Shetty Call 8/10/2021 Normal Completed
Darshan Shetty Call 8/10/2021 Normal Completed
Darshan Shetty Call 8/10/2021 Normal Completed
Darshan Shetty Call 8/10/2021 Normal Completed
Darshan Shetty Call 8/10/2021 Normal Completed
Darshan Shetty Call 8/10/2021 Normal Completed
Darshan Shetty Call 8/10/2021 Normal Completed
Darshan Shetty Call 8/10/2021 Normal Completed
Darshan Shetty Call 8/10/2021 Normal Completed
Darshan Shetty Call 8/10/2021 Normal Completed
Darshan Shetty Call 8/10/2021 Normal Completed
Darshan Shetty Call 8/10/2021 Normal Completed
Darshan Shetty Call 8/10/2021 Normal Completed
Darshan Shetty Call 8/10/2021 Normal Completed
Darshan Shetty Call 8/10/2021 Normal Completed
Darshan Shetty Call 8/10/2021 Normal Completed
Darshan Shetty Call 8/10/2021 Normal Completed
Darshan Shetty Call 8/10/2021 Normal Completed
Darshan Shetty Call 8/10/2021 Normal Completed
Darshan Shetty Call 8/10/2021 Normal Completed
Darshan Shetty Call 8/10/2021 Normal Completed
Darshan Shetty Call 9/10/2021 Normal Completed
Darshan Shetty 9/10/2021 Normal Completed
Darshan Shetty Call
Darshan Shetty Call 10/10/2021 Normal Completed
Darshan Shetty Call 10/10/2021 Normal Completed
Darshan Shetty Call 10/10/2021 Normal Completed
Darshan Shetty Call 10/10/2021 Normal Completed
Darshan Shetty Call 10/10/2021 Normal Completed
Darshan Shetty Call 10/10/2021 Normal Completed
Darshan Shetty Call 10/10/2021 Normal Completed
Darshan Shetty Call 10/10/2021 Normal Completed
Darshan Shetty Call 10/10/2021 Normal Completed
Darshan Shetty Call 10/10/2021 Normal Completed
Darshan Shetty Call 10/10/2021 Normal Completed
Darshan Shetty Call 10/10/2021 Normal Completed
Darshan Shetty Call 10/10/2021 Normal Completed
Darshan Shetty Call 10/10/2021 Normal Completed
Darshan Shetty Call 10/10/2021 Normal Completed
Darshan Shetty Call 10/10/2021 Normal Completed
Darshan Shetty Call 10/10/2021 Normal Completed
Darshan Shetty Call 10/10/2021 Normal Completed
Darshan Shetty Call 10/10/2021 Normal Completed
Darshan Shetty Call 10/10/2021 Normal Completed
Darshan Shetty Call 10/10/2021 Normal Completed
Darshan Shetty Call 10/10/2021 Normal Completed
Darshan Shetty Call 10/10/2021 Normal Completed
Darshan Shetty Call 10/10/2021 Normal Completed
Darshan Shetty Call 10/10/2021 Normal Completed
Darshan Shetty Call 10/10/2021 Normal Completed
Darshan Shetty Call 10/10/2021 Normal Completed
Darshan Shetty Call 10/10/2021 Normal Completed
Darshan Shetty Call 10/10/2021 Normal Completed
Darshan Shetty Call 10/10/2021 Normal Completed
Darshan Shetty Call 10/10/2021 Normal Completed
Darshan Shetty Call 10/10/2021 Normal Completed
Darshan Shetty Call 10/10/2021 Normal Completed
Darshan Shetty Call 10/10/2021 Normal Completed
Darshan Shetty Call 10/10/2021 Normal Completed
Darshan Shetty Call 10/10/2021 Normal Completed
Darshan Shetty Call 10/10/2021 Normal Completed
Darshan Shetty Call 10/10/2021 Normal Completed
Darshan Shetty Call 10/10/2021 Normal Completed
Darshan Shetty Call 10/10/2021 Normal Completed
Darshan Shetty Call 10/10/2021 Normal Completed
Darshan Shetty Call 10/10/2021 Normal Completed
Darshan Shetty Call 10/10/2021 Normal Completed
Darshan Shetty Call 10/10/2021 Normal Completed
Darshan Shetty Call 10/10/2021 Normal Completed
Darshan Shetty Call 10/10/2021 Normal Completed
Darshan Shetty Call 10/10/2021 Normal Completed
Darshan Shetty Call 10/10/2021 Normal Completed
Darshan Shetty Call 10/10/2021 Normal Completed
Darshan Shetty Call 13/10/2021 Normal Completed
Darshan Shetty Call 13/10/2021 Normal Completed
Darshan Shetty Call 13/10/2021 Normal Completed
Darshan Shetty Call 13/10/2021 Normal Completed
Darshan Shetty Call 13/10/2021 Normal Completed
Darshan Shetty Call 13/10/2021 Normal Completed
Darshan Shetty Call 13/10/2021 Normal Completed
Darshan Shetty Call 13/10/2021 Normal Completed
Darshan Shetty Call 13/10/2021 Normal Completed
Darshan Shetty Call 13/10/2021 Normal Completed
Darshan Shetty Call 13/10/2021 Normal Completed
Darshan Shetty Call 13/10/2021 Normal Completed
Darshan Shetty Call 13/10/2021 Normal Completed
Darshan Shetty Call 13/10/2021 Normal Completed
Darshan Shetty Call 13/10/2021 Normal Completed
Darshan Shetty Call 13/10/2021 Normal Completed
Darshan Shetty Call 13/10/2021 Normal Completed
Darshan Shetty Call 13/10/2021 Normal Completed
Darshan Shetty Call 13/10/2021 Normal Completed
Darshan Shetty Call 13/10/2021 Normal Completed
Darshan Shetty Call 14/10/2021 Normal Completed
Darshan Shetty Call 14/10/2021 Normal Completed
Darshan Shetty Call 14/10/2021 Normal Completed
Darshan Shetty Call 14/10/2021 Normal Completed
Darshan Shetty Call 14/10/2021 Normal Completed
Darshan Shetty Call 14/10/2021 Normal Completed
Darshan Shetty Call 14/10/2021 Normal Completed
Darshan Shetty Call 14/10/2021 Normal Completed
Darshan Shetty Call 14/10/2021 Normal Completed
Darshan Shetty Call 14/10/2021 Normal Completed
Darshan Shetty Call 14/10/2021 Normal Completed
Darshan Shetty Call 14/10/2021 Normal Completed
Darshan Shetty Call 14/10/2021 Normal Completed
Darshan Shetty Call 14/10/2021 Normal Completed
Darshan Shetty Call 15/10/2021 Normal Completed
Darshan Shetty Call 15/10/2021 Normal Completed
Darshan Shetty Call 15/10/2021 Normal Completed
Darshan Shetty Call 15/10/2021 Normal Completed
Darshan Shetty Call 15/10/2021 Normal Completed
Darshan Shetty Call 15/10/2021 Normal Completed
Darshan Shetty Call 15/10/2021 Normal Completed
Darshan Shetty Call 15/10/2021 Normal Completed
Darshan Shetty Call 15/10/2021 Normal Completed
Darshan Shetty Call 15/10/2021 Normal Completed
Darshan Shetty Call 15/10/2021 Normal Completed
Darshan Shetty Call 15/10/2021 Normal Completed
Darshan Shetty Call 15/10/2021 Normal Completed
Darshan Shetty Call 15/10/2021 Normal Completed
Darshan Shetty Call 15/10/2021 Normal Completed
Darshan Shetty Call 15/10/2021 Normal Completed
Darshan Shetty Call 15/10/2021 Normal Completed
Darshan Shetty Call 15/10/2021 Normal Completed
Darshan Shetty Call 15/10/2021 Normal Completed
Darshan Shetty Call 15/10/2021 Normal Completed
Darshan Shetty Call 15/10/2021 Normal Completed
Darshan Shetty Call 15/10/2021 Normal Completed
Darshan Shetty Call 15/10/2021 Normal Completed
Darshan Shetty Call 15/10/2021 Normal Completed
Darshan Shetty Call 15/10/2021 Normal Completed
Darshan Shetty Call 15/10/2021 Normal Completed
Darshan Shetty Call 15/10/2021 Normal Completed
Darshan Shetty Call 15/10/2021 Normal Completed
Darshan Shetty Call 15/10/2021 Normal Completed
Darshan Shetty Call 15/10/2021 Normal Completed
Darshan Shetty Call 15/10/2021 Normal Completed
Darshan Shetty Call 15/10/2021 Normal Completed
Darshan Shetty Call 15/10/2021 Normal Completed
Darshan Shetty Call 15/10/2021 Normal Completed
Darshan Shetty Call 15/10/2021 Normal Completed
Darshan Shetty Call 15/10/2021 Normal Completed
Darshan Shetty Call 15/10/2021 Normal Completed
Darshan Shetty Call 15/10/2021 Normal Completed
Darshan Shetty Call 15/10/2021 Normal Completed
Darshan Shetty Call 15/10/2021 Normal Completed
Darshan Shetty Call 15/10/2021 Normal Completed
Darshan Shetty Call 15/10/2021 Normal Completed
Darshan Shetty Call 15/10/2021 Normal Completed
Darshan Shetty Call 15/10/2021 Normal Completed
Darshan Shetty Call 15/10/2021 Normal Completed
Darshan Shetty Call 15/10/2021 Normal Completed
Darshan Shetty Call 16/10/2021 Normal Completed
Darshan Shetty Call 16/10/2021 Normal Completed
Darshan Shetty Call 16/10/2021 Normal Completed
Darshan Shetty Call 16/10/2021 Normal Completed
Darshan Shetty Call 16/10/2021 Normal Completed
Darshan Shetty Call 16/10/2021 Normal Completed
Darshan Shetty Call 16/10/2021 Normal Completed
Darshan Shetty Call 16/10/2021 Normal Completed
Darshan Shetty Call 16/10/2021 Normal Completed
Darshan Shetty Call 16/10/2021 Normal Completed
Darshan Shetty Call 16/10/2021 Normal Completed
Darshan Shetty Call 16/10/2021 Normal Completed
Darshan Shetty Call 16/10/2021 Normal Completed
Darshan Shetty Call 16/10/2021 Normal Completed
Darshan Shetty Call 16/10/2021 Normal Completed
Darshan Shetty Call 16/10/2021 Normal Completed
Darshan Shetty Call 16/10/2021 Normal Completed
Darshan Shetty Call 16/10/2021 Normal Completed
Darshan Shetty Call 16/10/2021 Normal Completed
Darshan Shetty Call 16/10/2021 Normal Completed
Darshan Shetty Call 16/10/2021 Normal Completed
Darshan Shetty Call 17/10/2021 Normal Completed
Darshan Shetty Call 17/10/2021 Normal Completed
Darshan Shetty Call 17/10/2021 Normal Completed
Darshan Shetty Call 17/10/2021 Normal Completed
Darshan Shetty Call 17/10/2021 Normal Completed
Darshan Shetty Call 17/10/2021 Normal Completed
Darshan Shetty Call 17/10/2021 Normal Completed
Darshan Shetty Call 17/10/2021 Normal Completed
Darshan Shetty Call 17/10/2021 Normal Completed
Darshan Shetty Call 17/10/2021 Normal Completed
Darshan Shetty Call 17/10/2021 Normal Completed
Darshan Shetty Call 17/10/2021 Normal Completed
Darshan Shetty Call 17/10/2021 Normal Completed
Darshan Shetty Call 17/10/2021 Normal Completed
Darshan Shetty Call 17/10/2021 Normal Completed
Darshan Shetty Call 8/1/2022 Normal Completed
Darshan Shetty Call 9/1/2022 Normal Completed
Darshan Shetty Call 9/1/2022 Normal Completed
Darshan Shetty Call 9/1/2022 Normal Completed
Darshan Shetty Call 9/1/2022 Normal Completed
Darshan Shetty Call 9/1/2022 Normal Completed
Darshan Shetty Call 9/1/2022 Normal Completed
Darshan Shetty Call 9/1/2022 Normal Completed
Darshan Shetty 9/1/2022 Normal Completed
Darshan Shetty Follow-up with CP on Walk-in
Darshan Shetty Call 9/1/2022 Normal Completed
Darshan Shetty Call 9/1/2022 Normal Completed
Darshan Shetty Call 9/1/2022 Normal Completed
Darshan Shetty Call 9/1/2022 Normal Completed
Darshan Shetty Call 9/1/2022 Normal Completed
Darshan Shetty Call 9/1/2022 Normal Completed
Darshan Shetty Call 9/1/2022 Normal Completed
Darshan Shetty 9/1/2022 Normal Completed
Darshan Shetty Follow-up with CP on Walk-in
Darshan Shetty Call 9/1/2022 Normal Completed
Darshan Shetty Call 9/1/2022 Normal Completed
Darshan Shetty 9/1/2022 Normal Completed
Darshan Shetty Follow-up with CP on Walk-in
Darshan Shetty 9/1/2022 Normal Completed
Darshan Shetty
Follow-up with CP on Walk-in
9/1/2022 Normal Completed

Darshan Shetty Follow-up with CP on Walk-in


Darshan Shetty 10/1/2022 Normal Completed
Darshan Shetty
Darshan Shetty Follow-up with CP on Walk-in
Darshan Shetty Call 11/1/2022 Normal Completed
Darshan Shetty Call 11/1/2022 Normal Completed
Darshan Shetty Call 11/1/2022 Normal Completed
Darshan Shetty Call 11/1/2022 Normal Completed
Darshan Shetty Call 11/1/2022 Normal Completed
Darshan Shetty Call 11/1/2022 Normal Completed
Darshan Shetty Call 11/1/2022 Normal Completed
Darshan Shetty Call 11/1/2022 Normal Completed
Darshan Shetty Call 11/1/2022 Normal Completed
Darshan Shetty Call 11/1/2022 Normal Completed
Darshan Shetty Call 11/1/2022 Normal Completed
Darshan Shetty Call 11/1/2022 Normal Completed
Darshan Shetty Call 11/1/2022 Normal Completed
Darshan Shetty Call 11/1/2022 Normal Completed
Darshan Shetty Call 11/1/2022 Normal Completed
Darshan Shetty Call 11/1/2022 Normal Completed
Darshan Shetty Call 11/1/2022 Normal Completed
Darshan Shetty Call 11/1/2022 Normal Completed
Darshan Shetty Call 11/1/2022 Normal Completed
Darshan Shetty Ganesh properties Broker Visit 11/1/2022 - -
Darshan Shetty Property junction Broker Visit 11/1/2022 - -
Darshan Shetty Ashok patel Broker Visit 11/1/2022 - -
Darshan Shetty Sampat ghorpade Broker Visit 11/1/2022 - -
Darshan Shetty Pravin bamboli Broker Visit 11/1/2022 - -
Darshan Shetty Jeetendra Broker Visit 11/1/2022 - -
Darshan Shetty Ganesh Broker Visit 11/1/2022 - -
Darshan Shetty Shubham Broker Visit 11/1/2022 - -
Darshan Shetty Call 12/1/2022 Normal Completed
Darshan Shetty Call 12/1/2022 Normal Completed
Darshan Shetty Call 12/1/2022 Normal Completed
Darshan Shetty Call 12/1/2022 Normal Completed
Darshan Shetty Call 12/1/2022 Normal Completed
Darshan Shetty Call 12/1/2022 Normal Completed
Darshan Shetty Call 12/1/2022 Normal Completed
Darshan Shetty Call 12/1/2022 Normal Completed
Darshan Shetty Call 12/1/2022 Normal Completed
Darshan Shetty Call 12/1/2022 Normal Completed
Darshan Shetty Call 12/1/2022 Normal Completed
Darshan Shetty Call 12/1/2022 Normal Completed
Darshan Shetty Call 12/1/2022 Normal Completed
Darshan Shetty Call 12/1/2022 Normal Completed
Darshan Shetty Call 12/1/2022 Normal Completed
Darshan Shetty Call 12/1/2022 Normal Completed
Darshan Shetty Call 12/1/2022 Normal Completed
Darshan Shetty Call 12/1/2022 Normal Completed
Darshan Shetty Call 12/1/2022 Normal Completed
Darshan Shetty Call 12/1/2022 Normal Completed
Darshan Shetty Call 12/1/2022 Normal Completed
Darshan Shetty Call 12/1/2022 Normal Completed
Darshan Shetty Call 12/1/2022 Normal Completed
Darshan Shetty Call 12/1/2022 Normal Completed
Darshan Shetty Call 12/1/2022 Normal Completed
Darshan Shetty Call 12/1/2022 Normal Completed
Darshan Shetty Call 12/1/2022 Normal Completed
Darshan Shetty Call 12/1/2022 Normal Completed
Darshan Shetty Call 12/1/2022 Normal Completed
Darshan Shetty Call 12/1/2022 Normal Completed
Darshan Shetty Call 12/1/2022 Normal Completed
Darshan Shetty Call 12/1/2022 Normal Completed
Darshan Shetty Call 12/1/2022 Normal Completed
Darshan Shetty Call 12/1/2022 Normal Completed
Darshan Shetty Call 12/1/2022 Normal Completed
Darshan Shetty Call 12/1/2022 Normal Completed
Darshan Shetty Call 12/1/2022 Normal Completed
Darshan Shetty Call 12/1/2022 Normal Completed
Darshan Shetty Call 12/1/2022 Normal Completed
Darshan Shetty Call 12/1/2022 Normal Completed
Darshan Shetty Call 12/1/2022 Normal Completed
Darshan Shetty Call 12/1/2022 Normal Completed
Darshan Shetty Call 12/1/2022 Normal Completed
Darshan Shetty Call 12/1/2022 Normal Completed
Darshan Shetty Call 12/1/2022 Normal Completed
Darshan Shetty Call 12/1/2022 Normal Completed
Darshan Shetty Call 12/1/2022 Normal Completed
Darshan Shetty Call 12/1/2022 Normal Completed
Darshan Shetty Call 12/1/2022 Normal Completed
Darshan Shetty Call 12/1/2022 Normal Completed
Darshan Shetty Joginder Broker Visit 12/1/2022 - -
Darshan Shetty Sidharath Broker Visit 12/1/2022 - -
Darshan Shetty Vishal gupta Broker Visit 12/1/2022 - -
Darshan Shetty 13/1/2022 Normal Completed
Darshan Shetty Follow-up with CP on Walk-in
Darshan Shetty Call 13/1/2022 Normal Completed
Darshan Shetty Call 13/1/2022 Normal Completed
Darshan Shetty Call 13/1/2022 Normal Completed
Darshan Shetty Call 13/1/2022 Normal Completed
Darshan Shetty Call 13/1/2022 Normal Completed
Darshan Shetty Call 13/1/2022 Normal Completed
Darshan Shetty Call 13/1/2022 Normal Completed
Darshan Shetty Call 13/1/2022 Normal Completed
Darshan Shetty Call 13/1/2022 Normal Completed
Darshan Shetty Call 13/1/2022 Normal Completed
Darshan Shetty Call 13/1/2022 Normal Completed
Darshan Shetty Call 13/1/2022 Normal Completed
Darshan Shetty Call 13/1/2022 Normal Completed
Darshan Shetty Call 13/1/2022 Normal Completed
Darshan Shetty Call 13/1/2022 Normal Completed
Darshan Shetty Call 13/1/2022 Normal Completed
Darshan Shetty Call 13/1/2022 Normal Completed
Darshan Shetty Call 13/1/2022 Normal Completed
Darshan Shetty Call 13/1/2022 Normal Completed
Darshan Shetty Call 13/1/2022 Normal Completed
Darshan Shetty Call 13/1/2022 Normal Completed
Darshan Shetty Call 13/1/2022 Normal Completed
Darshan Shetty Call 13/1/2022 Normal Completed
Darshan Shetty Call 13/1/2022 Normal Completed
Darshan Shetty Call 13/1/2022 Normal Completed
Darshan Shetty Call 13/1/2022 Normal Completed
Darshan Shetty Call 13/1/2022 Normal Completed
Darshan Shetty Call 13/1/2022 Normal Completed
Darshan Shetty Call 13/1/2022 Normal Completed
Darshan Shetty Lakedge Broker Visit 13/1/2022 - -
Darshan Shetty Kishor savlikar Broker Visit 13/1/2022 - -
Darshan Shetty Ravi bamboli Broker Visit 13/1/2022 - -
Darshan Shetty Call 14/1/2022 Normal Completed
Darshan Shetty Call 14/1/2022 Normal Completed
Darshan Shetty Call 14/1/2022 Normal Completed
Darshan Shetty Call 14/1/2022 Normal Completed
Darshan Shetty Call 14/1/2022 Normal Completed
Darshan Shetty Call 14/1/2022 Normal Completed
Darshan Shetty Call 14/1/2022 Normal Completed
Darshan Shetty Call 14/1/2022 Normal Completed
Darshan Shetty 14/1/2022 Normal Completed
Darshan Shetty Follow-up with CP on Walk-in
Darshan Shetty Call 14/1/2022 Normal Completed
Darshan Shetty Call 14/1/2022 Normal Completed
Darshan Shetty Call 14/1/2022 Normal Completed
Darshan Shetty Call 14/1/2022 Normal Completed
Darshan Shetty Call 14/1/2022 Normal Completed
Darshan Shetty Call 14/1/2022 Normal Completed
Darshan Shetty 14/1/2022 Normal Completed

Follow-up with CP on Walk-in


14/1/2022 Normal Completed
Darshan Shetty
Darshan Shetty Follow-up with CP on Walk-in
Darshan Shetty Call 14/1/2022 Normal Completed
Darshan Shetty Call 14/1/2022 Normal Completed
Darshan Shetty Call 14/1/2022 Normal Completed
Darshan Shetty Call 14/1/2022 Normal Completed
Darshan Shetty Call 14/1/2022 Normal Completed
Darshan Shetty Call 14/1/2022 Normal Completed
Darshan Shetty Call 14/1/2022 Normal Completed
Darshan Shetty Call 14/1/2022 Normal Completed
Darshan Shetty Call 14/1/2022 Normal Completed
Darshan Shetty Call 14/1/2022 Normal Completed
Darshan Shetty Call 14/1/2022 Normal Completed
Darshan Shetty Call 14/1/2022 Normal Completed
Darshan Shetty Call 14/1/2022 Normal Completed
Darshan Shetty Call 14/1/2022 Normal Completed
Darshan Shetty Call 14/1/2022 Normal Completed
Darshan Shetty Call 14/1/2022 Normal Completed
Darshan Shetty Darshan patil Broker Visit 14/1/2022 - -
Darshan Shetty Call 15/1/2022 Normal Completed
Darshan Shetty Call 15/1/2022 Normal Completed
Darshan Shetty Call 15/1/2022 Normal Completed
Darshan Shetty Call 15/1/2022 Normal Completed
Darshan Shetty Call 15/1/2022 Normal Completed
Darshan Shetty Call 15/1/2022 Normal Completed
Darshan Shetty Call 15/1/2022 Normal Completed
Darshan Shetty Call 15/1/2022 Normal Completed
Darshan Shetty Call 15/1/2022 Normal Completed
Darshan Shetty Call 15/1/2022 Normal Completed
Darshan Shetty Call 15/1/2022 Normal Completed
Darshan Shetty Call 15/1/2022 Normal Completed
Darshan Shetty Call 15/1/2022 Normal Completed
Darshan Shetty Call 15/1/2022 Normal Completed
Darshan Shetty 15/1/2022 Normal Completed
Darshan Shetty
Darshan Shetty
Darshan Shetty Follow-up with CP on Walk-in
Darshan Shetty Email: CP Onboarding Email Sent 15/1/2022 Normal Completed
Darshan Shetty Call 15/1/2022 Normal Completed
Darshan Shetty Call 15/1/2022 Normal Completed
Darshan Shetty Call 15/1/2022 Normal Completed
Darshan Shetty Call 15/1/2022 Normal Completed
Darshan Shetty Call 15/1/2022 Normal Completed
Darshan Shetty Call 15/1/2022 Normal Completed
Darshan Shetty Call 15/1/2022 Normal Completed
Darshan Shetty Call 15/1/2022 Normal Completed
Darshan Shetty Call 15/1/2022 Normal Completed
Darshan Shetty Call 15/1/2022 Normal Completed
Darshan Shetty Call 15/1/2022 Normal Completed
Darshan Shetty Call 15/1/2022 Normal Completed
Darshan Shetty Call 15/1/2022 Normal Completed
Darshan Shetty Call 15/1/2022 Normal Completed
Darshan Shetty Rahul bhan Broker Visit 15/1/2022 - -
Darshan Shetty Trustbiz Broker Visit 15/1/2022 - -
Darshan Shetty Ganesh Broker Visit 15/1/2022 - -
Darshan Shetty Call 16/1/2022 Normal Completed
Darshan Shetty Call 16/1/2022 Normal Completed
Darshan Shetty Call 16/1/2022 Normal Completed
Darshan Shetty Call 16/1/2022 Normal Completed
Darshan Shetty Call 16/1/2022 Normal Completed
Darshan Shetty Call 16/1/2022 Normal Completed
Darshan Shetty Call 16/1/2022 Normal Completed
Darshan Shetty Call 16/1/2022 Normal Completed
Darshan Shetty Call 16/1/2022 Normal Completed
Darshan Shetty Call 16/1/2022 Normal Completed
Darshan Shetty Call 16/1/2022 Normal Completed
Darshan Shetty Call 16/1/2022 Normal Completed
Darshan Shetty Call 16/1/2022 Normal Completed
Darshan Shetty Call 16/1/2022 Normal Completed
Darshan Shetty Call 16/1/2022 Normal Completed
Darshan Shetty Call 16/1/2022 Normal Completed
Darshan Shetty Call 16/1/2022 Normal Completed
Darshan Shetty Call 16/1/2022 Normal Completed
Darshan Shetty Call 16/1/2022 Normal Completed
Darshan Shetty Call 16/1/2022 Normal Completed
Darshan Shetty Lakedge Broker Visit 16/1/2022 - -
Darshan Shetty Nestinn Broker Visit 16/1/2022 - -
Darshan Shetty Devesh rtc Broker Visit 16/1/2022 - -
Darshan Shetty 17/1/2022 Normal Completed
Darshan Shetty
Darshan Shetty Follow-up with CP on Walk-in
Darshan Shetty 17/1/2022 Normal Completed
Darshan Shetty Follow-up with CP on Walk-in
Darshan Shetty 17/1/2022 Normal Completed
Darshan Shetty
Darshan Shetty Follow-up with CP on Walk-in
Darshan Shetty 17/1/2022 Normal Completed
Darshan Shetty Follow-up with CP on Walk-in
Darshan Shetty 17/1/2022 Normal Completed
Darshan Shetty
Follow-up with CP on Walk-in
17/1/2022 Normal Completed

Darshan Shetty Follow-up with CP on Walk-in


Darshan Shetty 17/1/2022 Normal Completed
Darshan Shetty Follow-up with CP on Walk-in
Darshan Shetty 17/1/2022 Normal Completed
Darshan Shetty
Darshan Shetty
Darshan Shetty Follow-up with CP on Walk-in
Darshan Shetty 17/1/2022 Normal Completed
Darshan Shetty
Darshan Shetty Follow-up with CP on Walk-in
Darshan Shetty Call 18/1/2022 Normal Completed
Darshan Shetty 18/1/2022 Normal Completed
Darshan Shetty Follow-up with CP on Walk-in
Darshan Shetty Follow-up with CP on Walk-in 18/1/2022 Normal Completed
Darshan Shetty Call 18/1/2022 Normal Completed
Darshan Shetty 18/1/2022 Normal Completed
Darshan Shetty Follow-up with CP on Walk-in
Darshan Shetty Call 18/1/2022 Normal Completed
Darshan Shetty Call 18/1/2022 Normal Completed
Darshan Shetty Call 18/1/2022 Normal Completed
Darshan Shetty 18/1/2022 Normal Completed
Darshan Shetty Follow-up with CP on Walk-in
Darshan Shetty Call 18/1/2022 Normal Completed
Darshan Shetty Call 18/1/2022 Normal Completed
Darshan Shetty Call 18/1/2022 Normal Completed
Darshan Shetty Call 18/1/2022 Normal Completed
Darshan Shetty Call 18/1/2022 Normal Completed
Darshan Shetty Call 18/1/2022 Normal Completed
Darshan Shetty Call 18/1/2022 Normal Completed
Darshan Shetty Call 18/1/2022 Normal Completed
Darshan Shetty Call 18/1/2022 Normal Completed
Darshan Shetty Call 18/1/2022 Normal Completed
Darshan Shetty Call 18/1/2022 Normal Completed
Darshan Shetty Call 18/1/2022 Normal Completed
Darshan Shetty Call 18/1/2022 Normal Completed
Darshan Shetty Call 18/1/2022 Normal Completed
Darshan Shetty Call 18/1/2022 Normal Completed
Darshan Shetty Call 18/1/2022 Normal Completed
Darshan Shetty Call 18/1/2022 Normal Completed
Darshan Shetty Call 18/1/2022 Normal Completed
Darshan Shetty Call 18/1/2022 Normal Completed
Darshan Shetty Call 18/1/2022 Normal Completed
Darshan Shetty Call 18/1/2022 Normal Completed
Darshan Shetty Call 18/1/2022 Normal Completed
Darshan Shetty Call 18/1/2022 Normal Completed
Darshan Shetty Call 18/1/2022 Normal Completed
Darshan Shetty Sampat ghorpade Broker Visit 18/1/2022 - -
Darshan Shetty Joginder Broker Visit 18/1/2022 - -
Darshan Shetty Vishal Broker Visit 18/1/2022 - -
Darshan Shetty Call 19/1/2022 Normal Completed
Darshan Shetty Call 19/1/2022 Normal Completed
Darshan Shetty 19/1/2022 Normal Completed
Darshan Shetty
Darshan Shetty Follow-up with CP on Walk-in
Darshan Shetty Call 19/1/2022 Normal Completed
Darshan Shetty Call 19/1/2022 Normal Completed
Darshan Shetty Call 19/1/2022 Normal Completed
Darshan Shetty Call 19/1/2022 Normal Completed
Darshan Shetty Call 19/1/2022 Normal Completed
Darshan Shetty Call 19/1/2022 Normal Completed
Darshan Shetty Call 19/1/2022 Normal Completed
Darshan Shetty Call 19/1/2022 Normal Completed
Darshan Shetty Call 19/1/2022 Normal Completed
Darshan Shetty Call 19/1/2022 Normal Completed
Darshan Shetty Call 19/1/2022 Normal Completed
Task CP Name

Presales Mohan Dikonda


Presales
LATA RAJAN KHARAT
Presales Nikesh Hasmukh Solanki
Presales SANJAY CHAMPSHI THAKKAR
Presales Navin Pahilajrai Duseja
Presales RAMSINGH NARMADAPRASAD PATEL
Presales RAMSINGH NARMADAPRASAD PATEL
Presales Sandesh Vilas Desai
Presales Suniti Vishal Khatri
Presales Aniket Narayan Sanas
Presales MANISH BAJRANGI SINGH
Presales Manish Mantri
Presales Sadhana Gupta
Presales Kamraj Esakymuthy Nadar
Presales Prem Kumar Singh
Presales Ashiwani Bhuvneshwar Tiwari
Presales MUKESH D GADA
Presales MILIND DATTATRAY MITHBAONKAR
Presales NEETA BANKIM JOSHI
Presales Atmiya Properties
Presales MINAL KETAN SHAH
Presales MEHRAJ SHAIKH
Presales SURESH DATTATRAY KARKHANIS
Presales Mohan Dikonda
Presales BHASKAR D MAHADIK
Presales SANTOSH KRISHNAN NAIR
Presales MOHNISH JITENDRA JOSHI
Presales Laxman Mirchandani
Presales RAJESH DIPAKLAL UDESHI
Presales LATA RAJAN KHARAT
Presales
Atmiya Properties
Presales NAVNATH VASANT SHELAR
Presales SATISH MADHUKAR KHERUDKAR
Presales SATISH MADHUKAR KHERUDKAR
Presales MONALI RUPESH BHANUSHALI
Presales SANJAY TULSIRAM PANDEY
Presales Mohan Dikonda
Presales SANJAY CHAMPSHI THAKKAR
Presales MEHRAJ SHAIKH
Presales MINAL KETAN SHAH
Presales NEETA BANKIM JOSHI
Presales MILIND DATTATRAY MITHBAONKAR
Presales MUKESH D GADA
Presales Santosh Mohan Sanghvi
Presales RAJESH DIPAKLAL UDESHI
Presales Laxman Mirchandani
Presales Ashiwani Bhuvneshwar Tiwari
Presales Prem Kumar Singh
Presales Navin Pahilajrai Duseja
Presales Kamraj Esakymuthy Nadar
Presales Suniti Vishal Khatri
Presales Sadhana Gupta
Presales Manish Mantri
Presales MOHNISH JITENDRA JOSHI
Presales SANTOSH KRISHNAN NAIR
Presales Sandesh Vilas Desai
Presales BHASKAR D MAHADIK
Presales MANISH BAJRANGI SINGH
Presales RAMSINGH NARMADAPRASAD PATEL
Presales MUKESHKUMAR TRIBHUVAN SINGH
Presales Atmiya Properties
Presales LATA RAJAN KHARAT
Presales MIT SHANTILAL GALA
Presales Manzer Anjum
Presales Mohammed Azim Vazir Alam Shaikh
Presales SATISH GOPAL POOJARY
Presales Satyawadi Estate agency
Presales Bhagwandass Tarani
Presales SAGAR DILIP JOSHI
Presales Thaksen Tukaram Ghegade
Presales Ravi Pravin Bamboli
Presales Anand Pandey
Presales Anand Pandey
Presales Vikas Vinod Todi
Presales Naresh H Rochlani
Presales MOHD TAUQEER RAFIQ HASHMI
Presales Neeta Khilnani
Presales NANDKISHORE PUNJABI
Presales Nandlal Sharma
Presales SATISH RANGNATH SANAP
Presales Manmohan Shyamsundar Maharana
Presales SEED REALTY INVESTMENTS
Presales Sunil Rajpal Goher
Presales shailendra pandey
Presales RAVINDRA SHARADRAO KATHALE
Presales Amit hasmukh raval
Presales Kuntal Krishnakanta Pal
Presales Suraj Rajnarayan Pathak
Presales Neetu Kapoor
Presales Sachche Mishra
Presales Sanaullah Mujibullah Baig
Presales Rajiv Nihalchand Jain
Presales Atmiya Properties
Presales SURESH DATTATRAY KARKHANIS
Presales BHASKAR D MAHADIK
Presales SANTOSH KRISHNAN NAIR
Presales MOHNISH JITENDRA JOSHI
Presales Laxman Mirchandani
Presales RAJESH DIPAKLAL UDESHI
Presales LATA RAJAN KHARAT
Presales shailendra pandey
Presales Manmohan Shyamsundar Maharana
Presales LATA RAJAN KHARAT
Presales Vishal Mahadev Wadhwani
Presales Sunil Rajpal Goher
Presales RAJESH DIPAKLAL UDESHI
Presales MOHNISH JITENDRA JOSHI
Presales SANTOSH KRISHNAN NAIR
Presales BHASKAR D MAHADIK
Presales Rajiv Nihalchand Jain
Presales Sachche Mishra
Presales Sanaullah Mujibullah Baig
Presales RAJESH DIPAKLAL UDESHI
Presales Atmiya Properties
Presales Atmiya Properties
Presales Aniket Narayan Sanas
Presales MUKESHKUMAR TRIBHUVAN SINGH
Presales RAMSINGH NARMADAPRASAD PATEL
Presales Manmohan Shyamsundar Maharana
Presales SEED REALTY INVESTMENTS
Presales Amit hasmukh raval
Presales Kuntal Krishnakanta Pal
Presales Neetu Kapoor
Presales Suraj Rajnarayan Pathak
Presales Sachche Mishra
Presales Rajiv Nihalchand Jain
Presales Clayton Savio Fernandez
Presales BHASKAR D MAHADIK
Presales Sandesh Vilas Desai
Presales SANTOSH KRISHNAN NAIR
Presales MOHNISH JITENDRA JOSHI
Presales Manish Mantri
Presales Sadhana Gupta
Presales Suniti Vishal Khatri
Presales PYRAMID HOMES
Presales Kamraj Esakymuthy Nadar
Presales Prem Kumar Singh
Presales Ashiwani Bhuvneshwar Tiwari
Presales Navin Pahilajrai Duseja
Presales Neeta Khilnani
Presales RAJESH DIPAKLAL UDESHI
Presales Laxman Mirchandani
Presales Santosh Mohan Sanghvi
Presales MILIND DATTATRAY MITHBAONKAR
Presales NEETA BANKIM JOSHI
Presales MINAL KETAN SHAH
Presales MEHRAJ SHAIKH
Presales SANJAY CHAMPSHI THAKKAR
Presales Mohan Dikonda
Presales SANJAY TULSIRAM PANDEY
Presales MONALI RUPESH BHANUSHALI
Presales SATISH MADHUKAR KHERUDKAR
Presales NAVNATH VASANT SHELAR
Presales Navin Pahilajrai Duseja
Presales SATISH RANGNATH SANAP
Presales Nandlal Sharma
Presales NANDKISHORE PUNJABI
Presales MOHD TAUQEER RAFIQ HASHMI
Presales Naresh H Rochlani
Presales Thaksen Tukaram Ghegade
Presales PYRAMID HOMES
Presales Clayton Savio Fernandez
Presales Clayton Savio Fernandez
Presales Thaksen Tukaram Ghegade
Presales Naresh H Rochlani
Presales MOHD TAUQEER RAFIQ HASHMI
Presales NANDKISHORE PUNJABI
Presales Nandlal Sharma
Presales Nandlal Sharma
Presales SATISH RANGNATH SANAP
Presales SATISH RANGNATH SANAP
Presales Navin Pahilajrai Duseja
Presales NAVNATH VASANT SHELAR
Presales SATISH MADHUKAR KHERUDKAR
Presales MONALI RUPESH BHANUSHALI
Presales Suniti Vishal Khatri
Presales Manmohan Shyamsundar Maharana
Presales Aniket Narayan Sanas
Presales Vishal Mahadev Wadhwani
Presales SANJAY TULSIRAM PANDEY
Presales LATA RAJAN KHARAT
Presales Naresh H Rochlani
Presales Amit hasmukh raval
Presales Vishal Mahadev Wadhwani
Presales PYRAMID HOMES
Presales LATA RAJAN KHARAT
Presales Aniket Narayan Sanas
Presales Manmohan Shyamsundar Maharana
Presales Sunil Rajpal Goher
Presales SANJAY TULSIRAM PANDEY
Presales MONALI RUPESH BHANUSHALI
Presales SATISH MADHUKAR KHERUDKAR
Presales SURESH DATTATRAY KARKHANIS
Presales NAVNATH VASANT SHELAR
Presales Navin Pahilajrai Duseja
Presales Nandlal Sharma
Presales LAKEDGE TECHNOLOGIES PRIVATE LIMITE
Presales SURESH DATTATRAY KARKHANIS
Presales Vishal Mahadev Wadhwani
Presales Sudhir Sahu
Presales SUNIL DAYANAND SHETTY
Presales Ganesh Sattaya Silveru
Presales Propertypistol Realty Private Limited
Presales Property Junction & infrastructure Pvt Ltd
Presales
Presales Propertypistol Realty Private Limited
Presales Atmiya Properties
Presales Ravi Pravin Bamboli
Presales Amit Suresh Chavan
Presales LAKEDGE TECHNOLOGIES PRIVATE LIMITE
Presales Rahul Bhan
Presales SHEETAL RAJESH UDESHI
Presales Satyam Sunil Shinde
Presales
Presales Rahul Bhan
Presales S. V. Incorporation
Presales Sunil Rajpal Goher
Presales
Presales Sunil Rajpal Goher
Presales
Presales
Propertypistol Realty Private Limited
Presales Propertypistol Realty Private Limited
Presales
Presales
Presales SANJAY CHAMPSHI THAKKAR
Presales Ganesh Properties
Presales Savio Augustine
Presales Sampat Ghorpade
Presales JEETENDRA GEHANI
Presales Property Junction & infrastructure Pvt Ltd
Presales SURESH DATTATRAY KARKHANIS
Presales Vishal Mahadev Wadhwani
Presales Amit Suresh Chavan
Presales Haresh Khatwani
Presales SANTOSH KUMAR SINGH
Presales SUNIL DAYANAND SHETTY
Presales Atmiya Properties
Presales NILESH SURYAJI SHIRKE
Presales LAKEDGE TECHNOLOGIES PRIVATE LIMITE
Presales Navin Pahilajrai Duseja
Presales Krishna Bapu hadge
Presales Sudhir Sahu
Presales Satyam Sunil Shinde
Presales Sheodata Singh
Presales Ganesh Properties
Presales Property Junction & infrastructure Pvt Ltd
Presales ASHOK BIRMARAM PATEL
Presales Sampat Ghorpade
Presales Ravi Pravin Bamboli
Presales JEETENDRA GEHANI
Presales Auspaces Realtech Services Pvt Ltd
Presales GM Ventures Real Estate and Finance
Presales Sunil Rajpal Goher
Presales LAKEDGE TECHNOLOGIES PRIVATE LIMITE
Presales GM Ventures Real Estate and Finance
Presales
Presales SHEETAL RAJESH UDESHI
Presales LAKEDGE TECHNOLOGIES PRIVATE LIMITE
Presales Sampat Ghorpade
Presales Puneet Sunil Nayyar
Presales Sheodata Singh
Presales Propertypistol Realty Private Limited
Presales Siddharth Prakash Shirsath
Presales LAKEDGE TECHNOLOGIES PRIVATE LIMITE
Presales VINOD KUMAR RAMAKRISHNAN
Presales Rajiv Mishra
Presales Shailesh Ratanlal Khandelwal
Presales PYRAMID HOMES
Presales Santosh Dattatray Arte
Presales Rakesh Bholanath Gupta
Presales S. V. Incorporation
Presales Rahul Bhan
Presales Navin Pahilajrai Duseja
Presales Haresh Khatwani
Presales APNA CHHAT
Presales Ganesh Properties
Presales S. V. Incorporation
Presales S. V. Incorporation
Presales Propertypistol Realty Private Limited
Presales SANJAY CHAMPSHI THAKKAR
Presales Satyam Sunil Shinde
Presales Ganesh Sattaya Silveru
Presales SUNIL DAYANAND SHETTY
Presales Auspaces Realtech Services Pvt Ltd
Presales Krishna Bapu hadge
Presales Manish Mantri
Presales NILESH SURYAJI SHIRKE
Presales NILESH SURYAJI SHIRKE
Presales Sudhir Sahu
Presales Vishal Mahadev Wadhwani
Presales SURESH DATTATRAY KARKHANIS
Presales JEETENDRA GEHANI
Presales Property Junction & infrastructure Pvt Ltd
Presales SANTOSH KUMAR SINGH
Presales YASHWANT H SHETTY
Presales CHETAN JANABA PATIL
Presales Amit Suresh Chavan
Presales Atmiya Properties
Presales Chandrakant Hari Gandhi
Presales Savio Augustine
Presales Ravi Pravin Bamboli
Presales Narendra Raichand Shah
Presales Trimurti Realtors
Presales Siddharth Prakash Shirsath
Presales Shalini Dinesh Gupta
Presales
Presales S. V. Incorporation
Presales JAGDISH AMBRE
Presales Trimurti Realtors
Presales Anit Gopinath
Presales Mithun Kishor More
Presales Navin Pahilajrai Duseja
Presales Property Junction & infrastructure Pvt Ltd
Presales Ganesh Sadanand Bhoir
Presales Siddharth Prakash Shirsath
Presales Ravi Pravin Bamboli
Presales Sampat Ghorpade
Presales Auspaces Realtech Services Pvt Ltd
Presales Sunil Rajpal Goher
Presales LAKEDGE TECHNOLOGIES PRIVATE LIMITE
Presales Shankardev Pomaramji Choudhary
Presales Ankit Gupta
Presales Mitul Dilip Patel
Presales DEVENDRA CHIMANLAL SHAH
Presales Propertypistol Realty Private Limited
Presales Pankaj Mahadev Patil
Presales Propertypistol Realty Private Limited
Presales VIVID REALTORS
Presales Babita Madappa Biddatanda
Presales NITIN DHUPPER
Presales Bhagwan Aswani
Presales GM Ventures Real Estate and Finance
Presales Sudhir Sahu
Presales Vishal Mahadev Wadhwani
Presales Hiraman Onkar Wagh
Presales Ganeshkumar Muthukumar Nadar
Presales LAKEDGE TECHNOLOGIES PRIVATE LIMITE
Presales Kishor Bajirao Savlikar
Presales Ravi Pravin Bamboli
Presales Ganeshkumar Muthukumar Nadar
Presales Trimurti Realtors
Presales Sampat Ghorpade
Presales Kishor Bajirao Savlikar
Presales Sheodata Singh
Presales Satyam Sunil Shinde
Presales Siddharth Prakash Shirsath
Presales Propertypistol Realty Private Limited
Presales
Presales Propertypistol Realty Private Limited
Presales Aniket Narayan Sanas
Presales Shankardev Pomaramji Choudhary
Presales Puneet Sunil Nayyar
Presales Property Junction & infrastructure Pvt Ltd
Presales JAGDISH AMBRE
Presales Auspaces Realtech Services Pvt Ltd
Presales

SURESH DATTATRAY KARKHANIS


Presales
Presales SURESH DATTATRAY KARKHANIS
Presales Vidhya Ganesh Kajrolkar
Presales Atmiya Properties
Presales SANJAY CHAMPSHI THAKKAR
Presales S. V. Incorporation
Presales S. V. Incorporation
Presales Pankaj Mahadev Patil
Presales Ravi Pravin Bamboli
Presales Ravi Pravin Bamboli
Presales Auspaces Realtech Services Pvt Ltd
Presales NESTINN LIFESPACES
Presales GM Ventures Real Estate and Finance
Presales SANTOSH KUMAR SINGH
Presales Rakesh Bholanath Gupta
Presales Shalini Dinesh Gupta
Presales Propertypistol Realty Private Limited
Presales Auspaces Realtech Services Pvt Ltd
Presales Vidhya Ganesh Kajrolkar
Presales Trustbiz Consultancy
Presales Sheodata Singh
Presales Sampat Ghorpade
Presales Atmiya Properties
Presales Sunil Rajpal Goher
Presales Auspaces Realtech Services Pvt Ltd
Presales Shalini Dinesh Gupta
Presales SANTOSH KUMAR SINGH
Presales Satyam Sunil Shinde
Presales Sudhir Sahu
Presales NESTINN LIFESPACES
Presales Propertypistol Realty Private Limited
Presales Property Junction & infrastructure Pvt Ltd
Presales S. V. Incorporation
Presales
Presales
Presales
Presales LAKEDGE TECHNOLOGIES PRIVATE LIMITE
Presales Trustbiz Consultancy
Presales SANJAY CHAMPSHI THAKKAR
Presales Santosh Dattatray Arte
Presales Vidhya Ganesh Kajrolkar
Presales Ganeshkumar Muthukumar Nadar
Presales Trimurti Realtors
Presales Propertypistol Realty Private Limited
Presales Property Junction & infrastructure Pvt Ltd
Presales Siddharth Prakash Shirsath
Presales Rakesh Bholanath Gupta
Presales Rahul Bhan
Presales LAKEDGE TECHNOLOGIES PRIVATE LIMITE
Presales GM Ventures Real Estate and Finance
Presales Navin Pahilajrai Duseja
Presales Kishor Bajirao Savlikar
Presales Rahul Bhan
Presales Trustbiz Consultancy
Presales Ganesh Properties
Presales Santosh Dattatray Arte
Presales Sunil Rajpal Goher
Presales Auspaces Realtech Services Pvt Ltd
Presales Atul Ganeshnandan Tiwari
Presales NILESH SURYAJI SHIRKE
Presales NITIN DHUPPER
Presales S. V. Incorporation
Presales Trimurti Realtors
Presales Sudhir Sahu
Presales NESTINN LIFESPACES
Presales Amit Suresh Chavan
Presales Haresh Khatwani
Presales Kishor Bajirao Savlikar
Presales YASHWANT H SHETTY
Presales Siddharth Prakash Shirsath
Presales GM Ventures Real Estate and Finance
Presales LAKEDGE TECHNOLOGIES PRIVATE LIMITE
Presales Ganesh Properties
Presales Propertypistol Realty Private Limited
Presales Vidhya Ganesh Kajrolkar
Presales LAKEDGE TECHNOLOGIES PRIVATE LIMITE
Presales NESTINN LIFESPACES
Presales Atul Ganeshnandan Tiwari
Presales
Presales
Presales NESTINN LIFESPACES
Presales
Presales NESTINN LIFESPACES
Presales
Presales
Presales Trimurti Realtors
Presales
Presales Propertypistol Realty Private Limited
Presales
Presales
GM Ventures Real Estate and Finance
Presales GM Ventures Real Estate and Finance
Presales
Presales Propertypistol Realty Private Limited
Presales
Presales
Presales
Presales Rahul Bhan
Presales
Presales
Presales Propertypistol Realty Private Limited
Presales Ravi Pravin Bamboli
Presales
Presales SANJAY CHAMPSHI THAKKAR
Presales Gautam D Singh
Presales SANTOSH KUMAR SINGH
Presales
Presales Sunil Rajpal Goher
Presales SUDESH SURESH RAUT
Presales SANJAY CHAMPSHI THAKKAR
Presales Navin Pahilajrai Duseja
Presales
Presales Propertypistol Realty Private Limited
Presales Smita Mangesh Durgude
Presales LATA RAJAN KHARAT
Presales Anit Gopinath
Presales NESTINN LIFESPACES
Presales LAKEDGE TECHNOLOGIES PRIVATE LIMITE
Presales Auspaces Realtech Services Pvt Ltd
Presales Siddharth Prakash Shirsath
Presales Sharmila bhaskar mhatre
Presales NITIN DHUPPER
Presales LATA RAJAN KHARAT
Presales Vishal Mahadev Wadhwani
Presales SURESH DATTATRAY KARKHANIS
Presales Ganeshkumar Muthukumar Nadar
Presales GM Ventures Real Estate and Finance
Presales Trimurti Realtors
Presales Propertypistol Realty Private Limited
Presales YASHWANT H SHETTY
Presales S. V. Incorporation
Presales Sampat Ghorpade
Presales Shalini Dinesh Gupta
Presales JEETENDRA GEHANI
Presales Trimurti Realtors
Presales Propertypistol Realty Private Limited
Presales Kishor Bajirao Savlikar
Presales Sampat Ghorpade
Presales Trimurti Realtors
Presales Shalini Dinesh Gupta
Presales GM Ventures Real Estate and Finance
Presales Om Sai Properties
Presales
Presales
Presales LAKEDGE TECHNOLOGIES PRIVATE LIMITE
Presales Satyam Sunil Shinde
Presales Vivek Bisram Yadav
Presales Rakesh Bholanath Gupta
Presales Jitesh Harideo Sharma
Presales Suresh Pandurang Yamgar
Presales AKHILESH RAMNARAIN OJHA
Presales Laxman Mirchandani
Presales santosh nityanand panda
Presales Rakesh Gupta
Presales GULSHAN DHUPPER
Presales Rajiv Sharma
Remarks

Follow ups
Follow up call regarding VC VP meet.
Potential client lined up
Follow up
follow up on client
follow up
follow up
follow up for vc vp
follow up
follow up for vc vp
follow up
follow up
follow up
follow up
follow up
follow up
follow up
follow up
follow ups
follow up
Call regarding follow up for VC VP
follow up
follow up
Follow up call regarding VC-VP for tomorrow
follow up
Follow up call regarding VC -VP for tomorrow
Follow up call regarding VC VP for tomorrow
follow up call regarding VC VP for tomorrow
Follow up call regarding VC VP for tomorrow
Follow Up
follow up. no update
follow up.
update for tomorrow
follow ups
follow up
follow for next week
follow up
follow ups
follow ups
follow ups
follow ups
follow up next week
follow up
follow ups
follow up
follow up
follow up
follow up
follow up
follow up
follow up
follow up
follow up
follow up
follow up
follow up
follow ups
follow up
follow up
follow up
follow up for upcoming week
follow up
follow up
follow up
follow up
follow up
follow up
follow up
follow up
follow up
follow up
follow up
follow up
follow up
follow up
follow up
Follow up working method
Follow up on clients
Follow up on CP orientation
follow up
follow up
follow up
Follow up. Scheduled for tomorrows meeting.
Follow up. Scheduled meeting for tomorrow
Follow up. Scheduled meeting for tomorrow
follow up. scheduled meeting for tomorrow
Follow up. scheduled meeting for tomorrow.
Ask to meet on friday.
follow up for this week
follow up
follow up
follow up
follow up
follow up
discussed about 2bhk in eternia
Revisit client for sunrise 2bhk
follow up
follow up
follow up
follow up
follow up
follow up
Progress on database calling.
Scheduled meeting for today.
Scheduled meeting for today. Follow up on calling done till date
Brief discussion on direct client walking.
Follow up.
Follow up
Follow up. Scheduled meeting for next week.
Attended CP meet. Follow regarding working method.
Didn't received my call.
Follow up
Follow up.
Last walkin update.
No leads generated yet.
Follow up call for 4 bhk
Call ringing. Layouts forwarded.
VC-VP confirmation, have 2 leads for this weekend.
Follow up. Working for resell.
follow up.
Ringing. Yesterdays visit follow up.
Forwarded 2 contact no. of cps
forwarded details on whatsapp. 1 walkin for weekend.
switched off.
busy. call back
in meeting. follow up call after 5 pm
No clients at moment. will let us know
Ringing
Expected 1 walkin for saturday.
Hospitalized. Follow up on next week.
follow up.
VC VP confirmation
follow for vc vp
follow up
Ringing
follow up required. ringing
Ringing. Need to call back again later in evening
No Fresh leads.
Ringing. next follow up at 6 pm
Details forwarded again.
Busy
Asked to call later
Follow back tomorrow morning.
Ringing
Ringing.
ringing.
follow up for vc vp
follow up for vc vp
Follow up
follow up for vc vp
follow up for vc vp
No fresh leads
No leads for this weekend
follow up
Focus mainly beyond kalyan. Interested for parkcity
Coordinating with team member. focusing on revisits
follow up
Started for activity.
Ringing
Follow up for vc vp
Follow up
Updated with project again
Tomorrows vc vp follow up
Follow up for tomorrow vc vp
Follow for tomorrow's vc vp
Follow up for tomorrow vc vp
Follow up for vc vp
Follow up on vc vp
Follow up for vc vp
Ringing
Ringing*.
Update for vc vp
Follow up on vc vp
Fresh update with team member
Exchange of work methods
Switched off.
Follow for tomorrow's vc vp
Ringing.
Update on vc vp
Ringing. Gave confirmation for 1 vc today.
Follow for tomorrow's vc vp.
Trying vc for tomorrow
Fresh update.
Follow for this week
Follow up vc vp
Follow up for today
Vc confirmation for today.
Follow up for today.
1 walkin didn't turned up.
1 walkin commitment for next week.
Follow up for todays vc vp
Follow up on today's vc vp
No progess. Follow up
Follow up. No progress
Booking confirmation call.
Follow up
Follow up with yukta.
No leads for this week.
Follow up on vc
Follow up on weekly cp intelligence
Follow up with weekly cp intelligence
Follow up with weekly cp intelligence
Follow up with weekly cp intelligence
Follow up with weekly cp intelligence
Follow up with weekly cp intelligence
Follow up on vc
looking for 1 bed.
close lost- will shift out of mumbai.
Follow up with weekly cp intelligence
Follow up with weekly cp intelligence
Follow up with weekly cp intelligence
Follow up with weekly cp intelligence
Follow up with weekly cp intelligence
Follow up with weekly cp intelligence
Follow up with weekly cp intelligence
was looking for 2 bed 598 for his parents.
close lost- no response.
Follow up with weekly cp intelligence
Follow up with weekly cp intelligence
client liked 664 2 bed.
will revisit on 14th january .
Client looking for 2 bed 531 sqft.
close lost- Conditional sale.
will update once done with sale.
Client looking for 2 bed with early possession.
pitched 664 2 bed.
Will revisit today.
Follow up on vc
Follow up on vc
Follow up on vc
Follow up on vc
Follow up on vc
Follow up with intelligence
Follow up with intelligence
Follow up with intelligence
Follow up with intelligence
Follow up on vc
Follow up with intelligence
Follow up with intelligence
Follow up with intelligence
Follow up with intelligence
Follow up with intelligence
Follow up
Follow up with intelligence
Follow up with intelligence
Follow up with intelligence
Follow up and activation
Follow up and activation
Follow up
Follow up and activation
Follow up and activation
Call.
Follow up
Follow on visited client
Follow up on vc and intelligence
Follow up on vc
Follow up on vc and intelligence
Follow up on vc and intelligence
Follow up on vc and intelligence
Follow up on vc and intelligence
Follow up on vc and intelligence
Follow up on vc and intelligence
Follow up with vc
Follow up on vc and intelligence
Follow up on vc and intelligence
Follow up on vc and intelligence
Follow up on vc and intelligence
Follow up on vc and intelligence
Follow up on vc and intelligence
Follow up on vc and intelligence
Follow up on vc and intelligence
Follow up on vc and intelligence
Follow up on vc and intelligence
Follow up on vc and intelligence
Follow up on vc and intelligence
Follow up on vc and intelligence
Follow up on vc and intelligence
Follow up on vc and intelligence
Follow up on vc and intelligence
Follow up on vc and intelligence
Follow up on vc and intelligence
Follow up on vc and intelligence
Follow up on vc and intelligence
Follow up on vc and intelligence
Follow up on vc and intelligence
Follow up on vc and intelligence
Follow up on vc and intelligence
Follow up on vc and intelligence
Follow up on vc and intelligence
Follow up on vc and intelligence
Follow up on vc and intelligence
Follow up on vc and intelligence
Follow up on vc and intelligence
Follow up on vc and intelligence
Follow up on vc and intelligence
Follow up on vc and intelligence
Follow up on vc and intelligence
Follow up on vc and intelligence
Follow up on vc and intelligence
Follow up on vc and intelligence
Follow up on vc and intelligence
Follow up on vc and intelligence
Follow up on vc and intelligence
Follow up on vc and intelligence
Today's meeting at site
Today's meeting at site
Today's site visit
Looking for 2 bed
Immensa 598 carpet, gave a quote of 1.23cr for 20th floor F tower.
Follow up on activities
Follow up on activities
Follow up on his activities
Follow up on activities
Follow up on activities
Follow up on activities
Follow up on activities
Follow up on activities
Follow up on activities
Follow up on activities
Follow up on activities
Follow up on activities
Follow up on activities
Follow up on activities
Follow up on activities
Follow up on activities
Follow up on activities
Follow up on activities
Follow up on activities
Follow up on activities
Follow up on activities
Follow up on activities
Follow up on activities
Follow up on activities
Follow up on activities
Follow up on activities
Follow up on activities
Follow up on activities
Follow up on activities
Today's walkin
Today's site vite
Today's site visit
Follow up on vc
Follow up on vc
Follow up on vc
Follow up on vc
Follow up on vc
Follow up on vc
Follow up on vc
Follow up on vc
Client booked 669 sqft.
Working on Payment schedule
Follow up on vc
Follow up on vc
Follow up on vc
Follow up on vc
Follow up on vc
Follow up on vc
Client looking for 2 bed.
828 sqft and 796 sqft.
Follow up on.
Today's visit and vc
Follow up on vc
Follow up on vc
Follow up on vc
Follow up on vc
Follow up on vc
Follow up on vc
Follow up on vc
Follow up on vc
Follow up on vc
Follow up on vc
Follow up on vc
Follow up on vc
Follow up on vc
Follow up on vc
Follow up on vc
Today's site visit
Follow up on vc
Follow up on vc
Follow up on vc
Follow up on vc
Follow up on vc
Follow up on vc
Follow up on vc
Follow up on vc
Follow up on vc
Follow up on vc
Follow up on vc
Follow up on vc
Follow up on vc
Follow up on vc
Clients was looking for 3 bed.
Currently was in chandigarh.
He liked the project.
Follow up on for revisit
Email Sent to CP with details for Onboarding with Kalpataru
Follow up on vc
Follow up on vc
Follow up on vc
Follow up on vc
Follow up on vc
Follow up on vc
Follow up on vc
Follow up on vc
Follow up on vc
Follow up on vc
Follow up on vc
Follow up on vc
Follow up on vc
Follow up on vc
Today's walkin lead
Today's walkin lead.
Today's site visit
Follow up on vc
Follow up on vc
Follow up on vc
Follow up on vc
Follow up on vc
Follow up on vc
Follow up on vc
Follow up on vc
Follow up on vc
Follow up on vc
Follow up on vc
Follow up on vc
Follow up on vc
Follow up on vc
Follow up on vc
Follow up on vc
Follow up on vc
Follow up on vc
Follow up on vc
Follow up on vc
Today's walkin
Today's walkin
Today's site visit.
Client was looking for 3 bed duplex.
close lost- no response till now after first visit.
looking for earliest possession. no inventory left.
client was looking for 3 bed lower floor.
close lost- Location not preferable for client.
Client is looking for 3 bed 1000+ area.
Currently looking property in meadows, thane.
Will confirm revisit after exploring 2-3 options.
Close lost- client was looking for 3 bed 1150 sqft.
delay in possession and negative feedback.
Client looking for 3 bed 1133 sqft and 1317 sqft.
budget 2 cr.
expected revisit today.
close lost- client was looking for 1 bed 468 sqft.
currently dropped the idea of purchasing.
Client looking for 2 bed early possession.
pitched 803 sqft 2 bed.
cold response till now.
follow up is on for revisit.
client came with our booked client fo 2 bed 828 sqft.
clients stays in pune.
said he wants revisit.
Follow up on vc
Expected Revisit this week.
looking for 664 sqft 2 bed in immensa.
Client came with a requirement of a 2 bhk nearing completion. Expected to explore other options and come back. Fo
Follow up on vc
Close lost- client was looking for 2 bed 664 sqft earliest possession.
Client liked the unit but dont want to go for top and podium floor.
Follow up on vc
Follow up on vc
Follow up on vc
Close lost- postponed the plan.
will update once willing to buy.
Follow up on vc
Follow up on vc
Follow up on vc
Follow up on vc
Follow up on vc
Follow up on vc
Follow up on vc
Follow up on vc
Follow up on vc
Follow up on vc
Follow up on vc
Follow up on vc
Follow up on vc
Follow up on vc
Follow up on vc
Follow up on vc
Follow up on vc
Follow up on vc
Follow up on vc
Follow up on vc
Follow up on vc
Follow up on vc
Follow up on vc
Follow up on vc
Today's walkin
Today's visit regarding unit understanding
Today's site visit
Follow up on vc JFM
Follow up on vc JFM
client looking for 3 bed.
had a zoom meeting.
expected revisit on tis weekend.
Follow up on vc JFM
Follow up on vc JFM
Follow up on vc JFM
Follow up on vc JFM
Follow up on vc JFM
Follow up on vc JFM
Follow up on vc JFM
Follow up on vc JFM
Follow up on vc JFM
Follow up on vc JFM
Follow up on vc JFM
options and come back. Follow up on revisit.

You might also like