KEMBAR78
CSC206 Software Design and Architecture - Assignment #1 | PDF | Design | Computing
0% found this document useful (0 votes)
94 views1 page

CSC206 Software Design and Architecture - Assignment #1

This document outlines an assignment for a software design and architecture course. Students are asked to visit a small local business, document software requirements to digitize their manual operations, identify objects and attributes, apply design principles to create conceptual designs, and produce CRC cards and a class diagram. The assignment should be printed and submitted by the class representative by the start of class on the due date. Students are advised to complete the assignment individually while avoiding plagiarism or collusion.
Copyright
© © All Rights Reserved
We take content rights seriously. If you suspect this is your content, claim it here.
Available Formats
Download as DOCX, PDF, TXT or read online on Scribd
0% found this document useful (0 votes)
94 views1 page

CSC206 Software Design and Architecture - Assignment #1

This document outlines an assignment for a software design and architecture course. Students are asked to visit a small local business, document software requirements to digitize their manual operations, identify objects and attributes, apply design principles to create conceptual designs, and produce CRC cards and a class diagram. The assignment should be printed and submitted by the class representative by the start of class on the due date. Students are advised to complete the assignment individually while avoiding plagiarism or collusion.
Copyright
© © All Rights Reserved
We take content rights seriously. If you suspect this is your content, claim it here.
Available Formats
Download as DOCX, PDF, TXT or read online on Scribd
You are on page 1/ 1

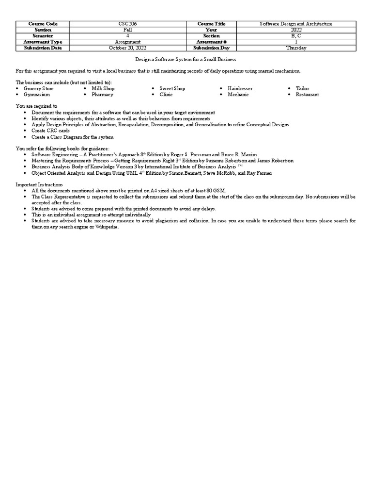
Course Code CSC206 Course Title Software Design and Architecture

Session Fall Year 2022


Semester 4 Section B, C
Assessment Type Assignment Assessment # 1
Submission Date October 20, 2022 Submission Day Thursday

Design a Software System for a Small Business

For this assignment you required to visit a local business that is still maintaining records of daily operations using manual mechanism.

The business can include (but not limited to):


 Grocery Store  Milk Shop  Sweet Shop  Hairdresser  Tailor
 Gymnasium  Pharmacy  Clinic  Mechanic  Restaurant

You are required to


 Document the requirements for a software that can be used in your target environment
 Identify various objects, their attributes as well as their behaviors from requirements
 Apply Design Principles of Abstraction, Encapsulation, Decomposition, and Generalization to refine Conceptual Designs
 Create CRC cards
 Create a Class Diagram for the system

You refer the following books for guidance:


 Software Engineering – A Practitioner’s Approach 8th Edition by Roger S. Pressman and Bruce R. Maxim
 Mastering the Requirements Process – Getting Requirements Right 3rd Edition by Suzanne Robertson and James Robertson
 Business Analysis Body of Knowledge Version 3 by International Institute of Business Analysis TM
 Object Oriented Analysis and Design Using UML 4th Edition by Simon Bennett, Steve McRobb, and Ray Farmer

Important Instructions
 All the documents mentioned above must be printed on A4 sized sheets of at least 80 GSM.
 The Class Representative is requested to collect the submissions and submit them at the start of the class on the submission day. No submissions will be
accepted after the class.
 Students are advised to come prepared with the printed documents to avoid any delays.
 This is an individual assignment so attempt individually
 Students are advised to take necessary measure to avoid plagiarism and collusion. In case you are unable to understand these terms please search for
them on any search engine or Wikipedia.

You might also like