KEMBAR78
2 Variant | PDF | Language Arts & Discipline | Foreign Language Studies
0% found this document useful (0 votes)
305 views8 pages

2 Variant

The document provides information about the West Kazakhstan M. Utemisov University, including: - It lists several degree programs and specializations offered by the Faculty of Philology and the Department of Foreign Languages, including programs related to chemistry, biology, ecology, geography, physics, and more. - It indicates that the document is for an English language course at level B2.1. - It does not provide any other context about the document's purpose or content.
Copyright
© © All Rights Reserved
We take content rights seriously. If you suspect this is your content, claim it here.
Available Formats
Download as DOCX, PDF, TXT or read online on Scribd
0% found this document useful (0 votes)
305 views8 pages

2 Variant

The document provides information about the West Kazakhstan M. Utemisov University, including: - It lists several degree programs and specializations offered by the Faculty of Philology and the Department of Foreign Languages, including programs related to chemistry, biology, ecology, geography, physics, and more. - It indicates that the document is for an English language course at level B2.1. - It does not provide any other context about the document's purpose or content.
Copyright
© © All Rights Reserved
We take content rights seriously. If you suspect this is your content, claim it here.
Available Formats
Download as DOCX, PDF, TXT or read online on Scribd
You are on page 1/ 8

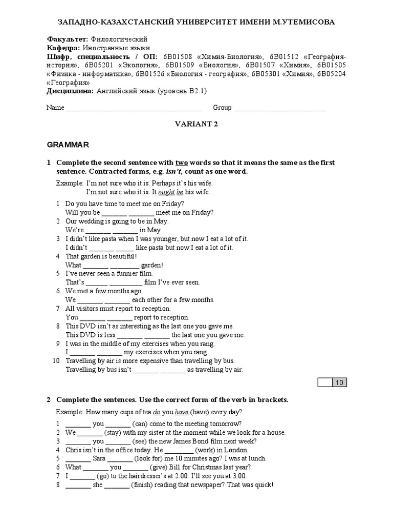
ЗАПАДНО-КАЗАХСТАНСКИЙ УНИВЕРСИТЕТ ИМЕНИ М.

УТЕМИСОВА

Факультет: Филологический
Кафедра: Иностранные языки
Шифр, специальность / ОП: 6В01508 «Химия-Биология», 6В01512 «География-
история», 6В05201 «Экология», 6В01509 «Биология», 6В01507 «Химия», 6В01505
«Физика - информатика», 6В01526 «Биология - география», 6В05301 «Химия», 6В05204
«География»
Дисциплина: Английский язык (уровень В2.1)

Name ______________________________________ Group _________________________

VARIANT 2

GRAMMAR

1 Complete the second sentence with two words so that it means the same as the first
sentence. Contracted forms, e.g. isn’t, count as one word.
Example: I’m not sure who it is. Perhaps it’s his wife.
I’m not sure who it is. It might be his wife.
1 Do you have time to meet me on Friday?
Will you be _______ _______ meet me on Friday?
2 Our wedding is going to be in May.
We’re _______ _______ in May.
3 I didn’t like pasta when I was younger, but now I eat a lot of it.
I didn’t _______ _____ like pasta but now I eat a lot of it.
4 That garden is beautiful!
What _______ ________ garden!
5 I’ve never seen a funnier film.
That’s ______ _________ film I’ve ever seen.
6 We met a few months ago.
We _______ _______ each other for a few months.
7 All visitors must report to reception.
You _______ _______ report to reception.
8 This DVD isn’t as interesting as the last one you gave me.
This DVD is less _______ _______ the last one you gave me.
9 I was in the middle of my exercises when you rang.
I _______ _______ my exercises when you rang.
10 Travelling by air is more expensive than travelling by bus.
Travelling by bus isn’t _______ _______ as travelling by air.
10

2 Complete the sentences. Use the correct form of the verb in brackets.
Example: How many cups of tea do you have (have) every day?
1 _______ you _______ (can) come to the meeting tomorrow?
2 We _______ (stay) with my sister at the moment while we look for a house.
3 _______ you _______ (see) the new James Bond film next week?
4 Chris isn’t in the office today. He ________ (work) in London.
5 _______ Sara _______ (look for) me 10 minutes ago? I was at lunch.
6 What _______ you _______ (give) Bill for Christmas last year?
7 I _______ (go) to the hairdresser’s at 2.00. I’ll see you at 3.00.
8 _______ she _______ (finish) reading that newspaper? That was quick!
9 They _______ (watch) a football match on TV when I arrived.
10 _______ you ever _______ (drive) a really fast car?
11 The coach _______ (not arrive) yet. It’s an hour late.
12 Don’t get a taxi. I _______ (meet) you at the station.
13 I ________ (answer) ten phone calls since 9 o’clock this morning.
14 I’m sorry I’m late. _______ you _______ (wait) long?
15 We _______ (finish) dinner and were having coffee when Kate arrived.
15

3 Underline the correct word(s).


Example: She wants / is wanting to be alone at the moment.
1 You don’t have to / mustn’t pay to go into museums in the UK. They’re usually free.
2 We sometimes go to the restaurants / restaurants for a change.
3 My sister eats slowlier / more slowly than I do.
4 I dropped my iPad on the floor last year so I must / had to get a new one.
5 Are you liking / Do you like travelling to new countries?
6 Have you had / been having that car for a long time?
7 I’m a science teacher / science teacher in a secondary school.
8 He drives much more / most carefully than I do.
9 I’m afraid you can’t / couldn’t see Mr Allan. He’s in a meeting.
10 She’s been teaching at this school for / since 2008.
11 The weather was OK in Italy, but it wasn’t as hot as / than it was last summer.
12 You shouldn’t / don’t have to eat a lot of sugar. It’s bad for you.
13 Adam used to play / was playing handball when he was at university.
14 She isn’t needing / doesn’t need to get up early tomorrow. It’s a holiday.
15 What time do you go / are you going to Peter’s this evening?
15
Grammar total 40

VOCABULARY

4 Underline the correct word.


Example: The journey took ages; I was really tired / tiring when we arrived.
1 I’ve left my homework at home again! It’s very frustrated / frustrating.
2 Have you ever left the cinema because the film was bored / boring?
3 I wore my wife’s glasses to work. It was so embarrassed / embarrassing.
4 We were extremely frightened / frightening during the hurricane.
5 The rain in Britain makes me feel depressed / depressing.
5

5 Complete the sentences with the correct word(s).


Example: I owe my dad £100.
borrow owe invest
1 I’m afraid I’m really busy right now. Can I _______ you back in 20 minutes?
leave dial call
2 They _______ us £15 to park the car at the bus station.
cost saved charged
3 I did the opposite of what my sister told me to do. She was _______.
filthy tiny furious
4 The _______ is much better in my new job than it was in my old job.
mortgage salary tax
5 Do you still keep in touch with any of your _______ from school?
colleagues partners classmates
6 She’s such a lovely little girl. She’s very _______.
aggressive moody affectionate
7 Are you going to apply _______ that job you were talking about?
of to for
8 Be careful what you say to Michael. He’s very _______.
responsible sensitive sensible
9 I’m trying to cut _______ on chocolate at the moment. I just eat it once a week.
out down up
10 I never eat _______ food. I think all food is better cooked!
raw boiled fried
10

6 Write the opposite of the adjective.


Example: lazy hard-working
1 organized _______
2 tidy _______
3 freezing _______
4 tiny _______
5 mature _______
5

7 Underline the odd word out.


Example: glass napkin knife eggs
1 hilarious furious tiny hungry
2 earn throw inherit charge
3 moody bossy stubborn reliable
4 win play lose draw
5 coach fan track spectator
6 roast frozen boiled fried
7 beetroot melon peach pear
8 carton margarine box jar
9 scooter van coach motorway
10 father nephew niece brother
10

8 Complete the words in the sentences.


Example: He’s very clever. He always knows the answer.
1 When Dave’s grandmother died, he i_______ her house.
2 Slow down! The speed l_______ on this road is 30!
3 My parents were an hour late because there was a terrible traffic j_______.
4 That’s Wendy, my fl_______. We live in the flat above the shops.
5 I don’t feel like cooking tonight. Shall we get a t_______?
6 You have to choose b_______ these two books.
7 You should try that new restaurant. The food is d_______.
8 Your plane is departing from g_______ 15.
9 Kate and I are really good friends because we have a lot in c_______.
10 Mr Jones is in a meeting right now. Would you like to l_______ a message?
10
Vocabulary total 40

PRONUNCIATION

9 Match the words with the same sound.

gossip injured organized selfish owe team


charming inherit paid journey height

Example: phone owe


1 train ________
2 jazz ________
3 snake ________
4 tree ________
5 fish ________
6 bike ________
7 chess ________
8 clock ________
9 zebra ________
10 egg ________
10

10 Underline the stressed syllable.


Example: com|pe|ti|tive
1 un|der|ground
2 am|bi|tious
3 mort|gage
4 rasp|be|rries
5 a|fford
6 i|ma|gi|na|tive
7 cir|cuit
8 in|de|pen|dent
9 spec|ta|tor
10 pe|de|stri|an
10
Pronunciation total 20
Grammar, Vocabulary, and Pronunciation total 100
READING

1 Read the text and tick () A, B, or C.

The transatlantic question


Charles Lindbergh’s 33-hour flight from New York to Paris in 1927 made aviation history.
Less known is the return flight to New York by two Frenchmen three years later. Taking just
over three hours longer, Costes and Bellonte made an equally exciting journey from Paris to
New York in their plane, the Question Mark. The first question they faced, Captain Costes
remembered in an article at the time, was “Would the plane lift off the ground?” ‘That was our
greatest concern. We had 5,200 litres of gasoline on board.’

This fear passed quickly but was followed by other hazards. They ran into three storms. The
third, and worst of all, was over Nova Scotia, in Canada. ‘In order to avoid it we had to fly
100 miles out of our way. Time was passing and every minute meant the loss of more of our
precious fuel.’

They had another problem: ‘The sky was overcast, it was raining and we had to fly below
those rain clouds. Sometimes they were extremely low which meant they had to fly as close
to the water as ten metres.

‘There were many exciting moments during our trip, but I think the greatest thrill came when
we first saw the coast of North America,’ said Costes. He decided that three was their lucky
number. They had survived three storms – and at 3 a.m. French time, they saw land. But
their adventures weren’t over.

Suddenly, a mountain appeared out of the mist. ‘We were between the steep banks of a
river. It was a tight place. Bellonte was at the controls at that time and he had to think fast.
Fortunately, having flown thousands of miles, the plane was light.’ Bellonte managed to turn
the plane just in time. But Costes said, ‘It is not pleasant to think how close we came to those
cruel, jagged rocks.’

Fortunately, they succeeded where many others before them had failed, and the graceful
landing at the airport in New York was greeted by 10,000 cheering people. Among them was
Colonel Charles Lindbergh who said ‘I congratulate you!’ as he shook the hands of the two
heroes.

Example: Lindbergh travelled from New York to Paris in ______.


A a plane  B a ship  C a boat 
1 Costes and Bellonte flew to New York from Paris in ______.
A 1933  B 1930  C 1927 
2 Their flight to New York took ______.
A just over 35 hours  B just over 33 hours  C just over 36 hours 
3 They were very worried because the plane was carrying a lot of ______.
A people  B luggage  C fuel 
4 The ______ of the three storms was the worst they experienced.
A first  B second  C third 
5 Costes and Bellonte ______ the storm in Nova Scotia.
A flew around  B flew through  C flew over 
6 They ______ flew above the clouds when it rained.
A always  B sometimes  C never 
7 They saw the American coast when it was ______ in France.
A midnight  B mid-afternoon  C early morning 
8 Costes thought that they were going to ______.
A fly into a storm  B crash into a mountain  C fly into the river 
9 ______ five thousand people were waiting for them at the airport.
A Fewer than  B More than  C About 
10 Colonel Lindbergh congratulated them ______.
A in a letter  B at the airport  C on the phone 
10

2 Match five of the highlighted words and phrases with the definitions.
Example: worry concern
1 on the plane __________
2 dangers __________
3 experienced (difficulties) __________
4 important __________
5 rough with pointed edges __________
5
Reading total 15

WRITING

Answer one of the questions and write 75–100 words.


1 What advice would you give to someone moving to your country?
2 Describe an exciting sporting event you have seen or been to.
3 What is your favourite way of travelling and why?
Writing total 10
Reading and Writing total 25
LISTENING

1 Complete the sentences with one word.


1 The expert mentions a celebrity who loses weight by eating _______ food.
2 You _______ do the ‘cabbage soup diet’ for more than a week.
3 On the ‘morning banana diet’ you have to go to bed before _______.
4 Doctors say that we should have a bigger meal in the _______.
5 On the ‘air diet’, you don’t eat _______ if you go out for a meal with your friends.
5

2 Listen to five conversations. Tick () A, B, or C.


1 Rob says he usually likes to eat curry _____.
A twice a week  B every week  C every weekend 
2 Lisa says that _____.
A she has never won any money  B would love to win some money 
C thinks people shouldn’t do the lottery 
3 Paul loved Iceland mostly because of _____.
A the weather  B the scenery  C the crowds 
4 Anna advises Marco not to tip taxi drivers if they _____.
A don’t drive well  B arrive late  C ask for a lot of money 
5 Sam and Alice were a couple for _____.
A a long time  B a year  C six months 
5
Listening total 10

SPEAKING

1 Answer your partner’s questions.


Now make questions and ask your partner.
1 What / food / not / like / when / child?
2 seen / an exciting film recently? What?
3 When / last buy / present? Who? What?
4 any skill / you / find / hard / learn? Why?
5 Who / you find / hilarious? Why?
6 What / most exciting way / travel? Why?
7 Which person / closest to? Why?
8 ever / go / football match?
9 What / best / way / travel / in your town?
10 What / should / give / wedding gift / in your country?

2 Talk about one of the statements below, saying if you agree or disagree. Give reasons.
1 ‘Fast food should never be sold to children.’
2 ‘All towns and cities should have a lot more cycle lanes.’
3 ‘People worry too much about manners.’

3 Listen to your partner. Do you agree with him / her?

Speaking total 15
Listening and Speaking total 25

Составил: ______________ А.А. Калиева


(подпись) (ФИО)

Заведующая кафедрой: ______________ Д.Б. Навекова


(подпись) (ФИО)

You might also like