KEMBAR78
Project 1 | PDF | Numerical Analysis | Equations
0% found this document useful (0 votes)
154 views11 pages

Project 1

This document provides details on a project investigating the natural frequency of a fixed beam structure using numerical analysis methods. It includes: 1) Derivation of the characteristic equation for the beam's governing equation and explanation that it cannot be solved analytically. 2) Demonstration that the secant method is an appropriate numerical analysis technique. 3) A 14-step algorithm for implementing the secant method to find the roots of the characteristic equation. 4) A MATLAB program applying the secant method, displaying iteration results, calculating the natural frequency, and comparing to an exact solution.

Uploaded by

Ahmed Abdelhalim
Copyright
© © All Rights Reserved
We take content rights seriously. If you suspect this is your content, claim it here.
Available Formats
Download as PDF, TXT or read online on Scribd
0% found this document useful (0 votes)
154 views11 pages

Project 1

This document provides details on a project investigating the natural frequency of a fixed beam structure using numerical analysis methods. It includes: 1) Derivation of the characteristic equation for the beam's governing equation and explanation that it cannot be solved analytically. 2) Demonstration that the secant method is an appropriate numerical analysis technique. 3) A 14-step algorithm for implementing the secant method to find the roots of the characteristic equation. 4) A MATLAB program applying the secant method, displaying iteration results, calculating the natural frequency, and comparing to an exact solution.

Uploaded by

Ahmed Abdelhalim
Copyright
© © All Rights Reserved
We take content rights seriously. If you suspect this is your content, claim it here.
Available Formats
Download as PDF, TXT or read online on Scribd
You are on page 1/ 11

SEMM3023

SECTION 31
Applied Numerical Methods

Project One
Submission date: 10/12/2022

Prepared by:
WALEED KHALED A19EM4039
MOAHMMED OMAR
AHMED ABDELHALIM A19EM4025
FARAG
Contents

1.Introduction

1.1 Abstract
1.2 Problem Statement
1.3 Report Objective

2.Discussion

2.1 Background on numerical methods


2.2 Analytical analysis
2.2.1 Characteristic equation derivation
2.2.2 Validity of the analytical method
2.3 Demonstration of numerical analysis
2.4 Algorithm
2.5 Flowchart
2.6 MatLab program
2.7 Results
2.8 Validity of the numerical analysis
3.Conclusion
4.References
1. Introduction:

1.1 Abstract:
Now adays the real-world applications in the fields of science and engineering such as
power units, machines and engines are highly compromised with some criterium such as control
& safety in which finding the roots of the governing equation for those systems becomes handful
e.x stability of the , those are monitored by a magnitude of accountabilities that enforce
implementations of mathematical modelling and numerical analysis which successfully helped
the modern world into making a big step towards the future of highly safe and dependable
technological aspects. In this project we are investigating the application of fixed beam structures
using fundamentals of modelling a linear system in which necessitates the presence of a
numerical approach which will be discussed for the given mathematical model which happens to
be a non- linear approach. For such event we noticed that for a proposed algorithm a magnitude
of numerical methods that can be carried on and establish the mathematical solving for the
problem. In addition, most “real world” applications are considered a non- linear type of
problems. Relating to the theory of selected numerical methods for building the proposed
algorithm a program has been developed, showcasing the results and a variation of objectives.
The program calculates within a margin of conditions as the analysis takes place along the
existing structure.

1.2 Problem Statement:

For this project we are investigating a solid structure problem in which we describe the
behaviour of the natural frequency of the dissipated structure. The problem discusses the
derivation of the governing equation of the structure in which the natural frequency can be
obtained given the values of the following parameters, young modulus (E), thickness (t),
density(𝜌) and length (L). The fundamental natural frequency equation for the rectangular fixed
beam is given as the following.
1 𝐸𝑡 3
𝑤1 = 𝛽√
2𝜋 1 𝜌𝐿4

The eigenfrequency is given as (β) is related to the natural frequency of the beam which is also
corresponding to the following matrix as the smallest absolute value of the characteristic
equation which indicates finding the smallest root of the following matrix
cosh (𝛽) sinh(𝛽) + sin (𝛽)
[A]=[ ]
sinh(𝛽) − sin (𝛽) cosh (𝛽)

1.3 Objective:
By the end of this report the investigation for this problem will show the following resolutions:
• To derive the governing equation of the structure and discuss finding the roots both
analytically and numerically.
• Depict demonstrative evidence for solving the governing equation numerically.
• Propose a valid algorithm for the selected numerical method.
• Build a program corresponding to the developed algorithm.
• Analyze and investigate the validity of the selected numerical method.
2. Discussion

2.1.Numerical methods background


Root finding techniques of complex mathematical models has varied along multiple events
depending on the existing engineering application. Including analytical, graphical and many
others in order to search for roots of a specified equation. However, some problems require
another approach to search for the exact root which includes the use of numerical methods. For
some problems a range of methods is only applicable ex. Non-linear equations for generators
which insist on the fact that only numerical methods corresponding to solve for non-linear
functions are applicable and more likely to become a valid approach for solving the problem.
Such as solving using Incremental search method, bisection method, Newton-Raphson method
and secant method.
2.2.Analytical analysis
In order to approach the solution of the given problem analytical analysis shall be conducted to
determine the eigenfrequency of the derived characteristic equation of the problem.

2.2.1 Derivation of the characteristic equation


Finding the characteristic equation p(λ)= | A- λI| = 0, which A for this problem is the eigenfrequency
matrix and λ is indication the eigenvalue corresponding to the identity matrix I. The characteristic
equation is equal to the determinate of subtracting the identity matrix with respect to λ [λI]from the
system matrix [A].
cosh (𝛽) sinh(𝛽) + sin (𝛽)
[A]=[ ]
sinh(𝛽) − sin (𝛽) cosh (𝛽)
1 0 λ 0
[λI] = λ [ ]=[ ]
0 1 0 λ
Derivation

P(λ) = ( cosh(βn) – cos(βn) ) (cosh(βn)- cos(βn) ) – ( sinh(βn)+sin(βn) ) ( sinh(βn) – sin(βn) )

= cosh2(βn) – cosh(βn)cos(βn) – cos(βn)cosh(βn) +cos2(βn) – (sinh2(βn) -sinh(βn) sin(βn)


+sinh(βn) sin(βn) – sin2(βn) )
= cosh2(βn)-2cosh(βn)cos(βn) – cos2(βn)-sinh2(βn)+sin2(βn) = 0
Since cosh2(x) – sinh2(x) = 1 , sin2(x) + cos2(x) = 1 *Identities*
-2cosh(βn)cos(βn) +2 = 0 , divide by two
cosh(βn)cos(βn) -1 = 0
Characteristic Equation
2.2.2 Validity of analytical analysis
We come to a resolution that this problem cannot be solved analytically after checking the
validity as follows,
𝒄𝒐𝒔𝒉(𝜷𝒏 )𝒄𝒐𝒔(𝜷𝒏 ) − 𝟏 = 𝟎
𝒆𝛃𝐧 −𝒆−𝛃𝐧
Cosh(βn)cos(βn) – 1 = 0, using identity cosh(βn)= 𝟐

((e^βn-e^(-βn))/2)cos(βn) = 1, applying natural log on both sides


βn cos(βn) – βn cos(βn) = log 2
βn cos(βn) – βn cos(βn) = 0.301
0≠0.301
Therefore, the roots of this equation cannot be located we can say that this equation cannot be
solved analytically as the trigonometric function cos(βn) has infinite values of βn and cannot be
generalized in a single expression.

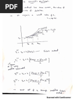
2.3 Demonstration of numerical analysis

The selected numerical method appropriate for this problem is the secant method. This
method allows to find the roots for any non-linear function without the need to differentiate
the function, which can be represented by the approximation of two consecutive iterative
value of the function as:
𝒇(𝒙𝒊 ) − 𝒇(𝒙𝒊−𝟏 )
𝒇′ (𝒙𝒊 ) ≈
𝒙𝒊 − 𝒙𝒊−𝟏

As, xi+1= xi – f(xi)/f ’(xi-)


Which indicates that the secant method requires two initial guesses. As the iteration table
shows xi, xi-1 and the error.
For the used approach for solving the problem we have used the given initial guesses both 3
and 5 for the xi-1 and xi respectively, we obtain the xi+1 as we apply the formulas shown
above to initiate the iteration until reaching the desired tolerance error in which we stop
the iteration.
Step 1 : assigning the initial values as 3 and 5 as given
Step 2: Initiate the iteration by evaluating for xi+1.
Step 3: construct a data table to show the obtained values of each iteration relation xi, xi-1
and f(xi).
Step 4: stopping iteration until reaching the tolerance error which is 0.01.

2.4 Algorithm

1. Define the function to solve.


2. Set the initial guesses and tolerance error.
3. Create an empty table to store the iteration results.
4. Iterate until the solution is found.
5. Compute the next guess using the secant method.
7. Assign the results of the iteration to the table.
8.Update the initial guesses.
9. Store the iteration results in the table.
10. Print the table of iteration results
11. Print the solution.
12. set the values of the variables for the natural frequency equation.
13. Calculate for natural frequency.
14. Use built-in function to find the exact solution.
15. Define the error equation.
16. Display the error between the iteration result and the exact solution.
2.5 Flowchart
2.5 MatLab program

clear; clc; %Using the secant method to solve the function


% Define the function derived from Q1
f = @(x) cos(x).*cosh(x)-1;

% Set the initial guesses and tolerance error


x0 = 3;
x1 = 5;
tol = 0.01;

results = table('Size', [0 3], 'VariableTypes', {'double', 'double', 'double'}, ...


'VariableNames', {'x0', 'x1', 'f(x1)'}); %create a table to store the iteration
results

% Iterate until the solution is found


while abs(f(x1)) > tol

% Compute the next guess using the secant method


x2 = x1 - f(x1)*(x1-x0)/(f(x1)-f(x0));

results = [results; {x0 x1 f(x1)}]; %assign the results of the iteration to the table

% Update the initial guesses


x0 = x1;
x1 = x2;
end

disp(results); %display the iteration results in a table


% Print the solution
fprintf('The solution is x = %0.4f\n', x1);

Bn=x1; %assign Bn as the B result from the iteration


E=69e+9; %define the variables to solve for the natural frequency
t=0.1e-2;
rho=2700;
L=20e-2;
W= (1/(2*pi)*Bn*sqrt((E*(t^3))/(12*rho*(L^4)))); %Calculate for natural frequency
fprintf('\nW= %.4f Hz\n',W);

% Use built-in function to find the exact solution


builtin_sol = fsolve(f, [x0 x1]); %built-in function to solve the equation
fprintf('The exact solution using the built-in function is:\n %.3f \n ',
builtin_sol); %display the exact solution

error = abs(x1 - builtin_sol)/builtin_sol * 100; %define the error equation


fprintf('The percentage error between the iteration result and the built in function
is %.3f %',error);%Display the error between the interation result and the exact
solution
2.7 Results

2.8 Validity of the numerical analysis

The error between the numerical method that was used and the exact solution is 0.002 as
shown in the results above. The exact solution was found by using an in-built function in
Matlab, and then evaluating the error between the exact solution and the result that was
found by the secant method. The error was too small as it is almost 0 which indicates that
the method used was accurate.
We learnt that the secant method appears to converges quicker than a linear rate, making
it more convergent than the bisection method.
Also, it does not necessitate the usage of the function’s derivative, which is not available in
a number of applications.
Finally, unlike Newton-Raphson method, which requires two function evaluations in every
iteration, it only requires one.

3. Conclusion

To conclude the objective of this project has been achieved since the natural frequency of
the rectangular fixed beam which has been obtained from the eigenfrequency Bn, by using
secant method that its iteration has converged the solution for the eigenfrequency to a
solution with an error of 0.01 %. Moreover, the derivation of the characteristic has
resolved the mathematical model to a much simpler model that can initiate the iteration
using secant method. The selected method has successfully converged to a logical result and
a very small percentage error for the natural frequency within the allocated criteria.

4. References
[1] Solution to Non- Linear Problems. ( march 2020). Dr.Faruq M

You might also like