KEMBAR78
Conflict Management for Grad Students | PDF | Power (Social And Political) | Aggression
0% found this document useful (0 votes)
926 views12 pages

Conflict Management for Grad Students

The document provides an overview of interpersonal conflict in organizations for graduate students. It defines conflict, explores the different types including intergroup, intrapersonal, and interpersonal conflict. The stages of conflict are examined from latent conditions to conflict aftermath. Common conflict resolution strategies like compromising, competing, cooperating, and collaborating are discussed. The causes of organizational conflict and concepts of assertive behavior, power, politics, and authority are also summarized. Different types of power including reward, punishment, legitimate, expert, and referent power are differentiated.
Copyright
© Attribution Non-Commercial (BY-NC)
We take content rights seriously. If you suspect this is your content, claim it here.
Available Formats
Download as DOC, PDF, TXT or read online on Scribd
0% found this document useful (0 votes)
926 views12 pages

Conflict Management for Grad Students

The document provides an overview of interpersonal conflict in organizations for graduate students. It defines conflict, explores the different types including intergroup, intrapersonal, and interpersonal conflict. The stages of conflict are examined from latent conditions to conflict aftermath. Common conflict resolution strategies like compromising, competing, cooperating, and collaborating are discussed. The causes of organizational conflict and concepts of assertive behavior, power, politics, and authority are also summarized. Different types of power including reward, punishment, legitimate, expert, and referent power are differentiated.
Copyright
© Attribution Non-Commercial (BY-NC)
We take content rights seriously. If you suspect this is your content, claim it here.
Available Formats
Download as DOC, PDF, TXT or read online on Scribd
You are on page 1/ 12

GENERAL OBJECTIVES: After an hour of varied lecture-discussion, the students of the Graduate School of UC-Main will be able to gather

and supplement additional knowledge, develop skills, and enhance desirable attitudes on the concept of Interpersonal Behavior in an Organization Specific Objectives Specifically, they will be able to: 1. Define what conflict in an organizatio n means. 2. Identify the different categories of conflict. Content Time Allotted

Conflict is generally defined as the internal or external discord that results from differences in ideas, values, 2 mins. or feelings between two or more people. Because managers have interpersonal relationships with people having a variety of different values, beliefs, backgrounds, and goals, conflict is an expected outcome. Conflict is also created when there are differences in economic and professional values and when there is competition among professionals. Scarce resources, restructuring, and poorly defined role expectations also are frequent sources of conflict in organizations. Intergroup Conflict 5 mins. Occurs between 2 or more groups of people, departments, or organizations. Nurses often experience intergroup conflict with family and work issues. Research revealed that nurses experience more work interference with family than conflict caused by family interfering with work. Intrapersonal Conflict Occurs within the person Involves an internal struggle to clarify contradictory values or wants. Interpersonal Conflict Also known as Horizontal Violence or Bullying Happens between 2 or more people with differing values, goals and beliefs It is a significant issue confronting the nursing profession, especially new graduates. Because this may

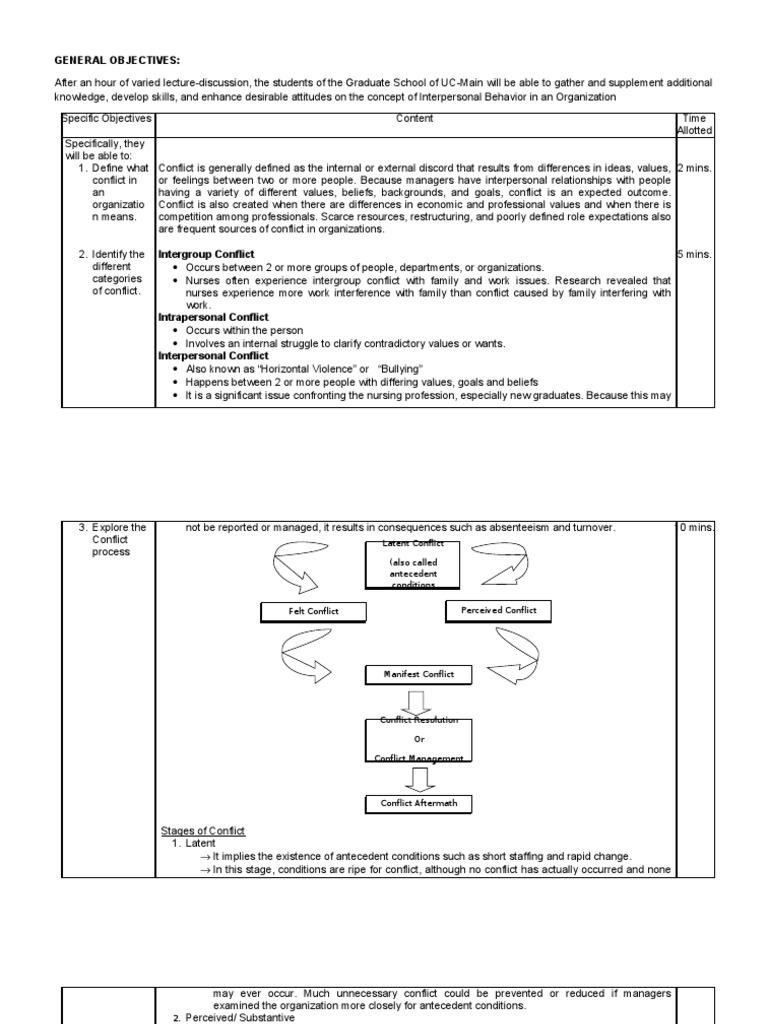
3. Explore the Conflict process

not be reported or managed, it results in consequences such as absenteeism and turnover.


Latent Conflict (also called antecedent conditions Felt Conflict Perceived Conflict

10 mins.

Manifest Conflict

Conflict Resolution Or Conflict Management

Conflict Aftermath

Stages of Conflict 1. Latent It implies the existence of antecedent conditions such as short staffing and rapid change. In this stage, conditions are ripe for conflict, although no conflict has actually occurred and none

may ever occur. Much unnecessary conflict could be prevented or reduced if managers examined the organization more closely for antecedent conditions. 2. Perceived/ Substantive Is intellectualized and often involves issues and roles. The person recognizes it logically and impersonally as occurring. Sometimes, conflict can be resolved at this stage before it is internalized or felt. 3. Felt Occurs when conflict is emotionalized. Felt emotions include hostility, fear, mistrust, and anger. Also referred to as Affective Conflict. It is possible to perceive conflict and not feel it. A person can also feel the conflict but not perceive the problem. 4. Manifest Also called Overt Conflict. In this stage, action is taken. It may be to withdraw, compete, debate, or seek conflict resolution. 5. Conflict aftermath It is the end result of conflict. It is always present and is either positive or negative. 4. Familiarize with the common Conflict Resolution strategies. Compromising 6 mins. Each party gives up something it wants. End result: Lose-Lose situation Competing It is used when one party pursues what it wants at the expense of the others. Because only one party wins, competing party seeks to win regardless of the cost to others. Managers may use this when a quick or unpopular decision needs to be made. Its also appropriately used when one party has more information or knowledge about a situation than the others. Competing in the form of resistance is also appropriate when an individual needs to resist unsafe

patient care policies or procedures, unfair treatment, abuse of power, or ethical concerns. This action is positive for both the staff nurse and the organization. End result: Win- Lose situation Cooperating/Accommodating It is the opposite of competing. One party sacrifices his or her beliefs and allows the other party to win. In this approach, actual problem is usually not solved. It is appropriate to use when item in conflict is not of high value to the person doing the accommodating. End result: Win- Lose situation. Smoothing It is used to manage a conflict situation. One person smoothens others involved in the conflict in an effort to reduce the emotional component of the conflict. It occurs when one party in a conflict attempts to accommodate or cooperate with another party or to focus on agreements rather than differences. Although appropriate for minor disagreements, it rarely results in resolution of the actual conflict. End result: Win- Lose situation Avoiding Parties involved are aware of a conflict but choose not to acknowledge it or attempt to resolve it. It may be indicated in trivial disagreements, when the cost of dealing with the conflict exceeds the benefits of solving it, when the problem should be solved by people other than you, when one party is more powerful than the other, or when the problem will solve itself. The greatest problem in using it is that the conflict remains, often only to reemerge at a later time in an even more exaggerated fashion. End result: Lose-Lose situation Collaborating It is an assertive and cooperative means of conflict resolution.

5.

Determine the common causes of Organizational Conflict.

All parties set aside their original goals and work together to establish a supraordinate or priority common goal. All parties accept mutual responsibility for reaching the supraordinate goal. It is different from cooperating because problem solving is a joint effort with no super-subordinate, order-giving-order-taking relationships. It requires mutual respect; open and honest communication; and equitable, shared decision-making powers. End result: Win-Win situation.

3 mins.

6.

Get to know the concepts behind Assertive behavior.

Poor communication Inadequately defined organizational structure Individual behavior (incompatibilities or disagreements based on differences of temperament or attitudes) Unclear expectations Individual or group conflicts of interest Operational or staffing changes Diversity in gender, culture, or age 8 mins. Assertive Behavior It is a way of communicating that allows the people to express themselves in direct, honest, and appropriate ways that do not infringe on another persons rights. It always requires that verbal and nonverbal message be congruent. 4 Misconceptions of Assertive behavior All behavior is either assertive or passive. Actually, there are 4 possibilities for communication: a. Passive -occurs when a person suffers in silence although he or she may feel strongly about the issue. b. Aggressive

7.

Understand Power, Politics and Authority.

-occurs when people express themselves in a direct and often hostile manner that infringes on another persons rights - this behavior is generally oriented toward winning at all costs or demonstrating selfexcellence c. Passive-aggressive/ Indirectly- aggressive - It generally involves limited verbal exchange (with incongruent nonverbal behavior) by a person who feels strongly about a situation. This person feigns in an effort to manipulate the situation. d. Assertive -It involves conveying a message that insists on being heard. Those who communicate or behave assertively get everything they want. It is unfeminine. Assertive and aggressive are synonymous. To be assertive is not to be aggressive. Even when faced with someone elses aggression, the assertive communicator does not become 5 mins. aggressive. Power and Politics are among the most important concepts in the study of organization behavior. Both power and politics are dynamic concepts and are a function of the interaction between different elements in organizations. Power "The ability to influence and control anything that is of value to others." It is the ability to influence the behavior of other people in the organization and to get them to do what they otherwise would not have done. It is the ability to effect a change in an individual or a group in some way. It may or may not be legitimate. It does not need to correspond with a person's organizational position. Authority

It is the right to command. It is a source of legitimate power. It is the power which is sanctioned by the organization and is often the 'source' of power. Politics It is the art of using legitimate power wisely. It requires clear decision making, assertiveness, accountability, and the willingness to express ones 8. Differentiate own views. the different 5 mins. It also requires being proactive rather than reactive and demands decisiveness. types of Power. Reward Power It is obtained by the ability to grant favors or reward others with whatever value. Punishment/ Coercive power It is based on fear of punishment if the managers expectations are not met. The manager may obtain compliance through threats of transfer, layoff, demotion, or dismissal. Legitimate power It is position power. Authority is also called legitimate power. It is the power gained by a title or official position within an organization. Inherent in it is the ability to create feelings of obligation or responsibility. Expert Power It is gained through knowledge, expertise, or experience. It is limited to a specialized area. Referent Power It is power that a person has because others identify with that leader or with what that leader symbolizes and others attempt to emulate approval. It also occurs when one gives another person the feelings of personal acceptance or approval.

9. Enumerate the sources of power.

Charismatic It is distinguished by some from referent power. Referent power is gained only through association with powerful others, whereas charisma is a more personal type of power. Informational Power It is obtained when people have information that others must have to accomplish their goals. Feminist/ Self- Power It is the power that a person gains over his or her own life. It is a personal power that comes from maturity, ego integration, security in relationships, and 3 mins. confidence in ones impulse. Association with others Position Fear Ability to grant favors Knowledge and skill Personal The need for information Maturity, ego, strength

10. Recognize what AuthorityPower Gap is.

3 mins.

11. Appreciate an understanding of the role of Politics in the organization.

It is that gap that sometimes exists between a position of authority and subordinate response. The more power subordinates perceive a manager to have, the smaller the gap between the right to expect certain 5 mins. things and the resulting fulfillment of those expectations by others. The negative effect of a wide authoritypower gap is that organizational chaos may develop. There would be little productivity if every order were questioned. It is useless to argue the ethics or value of politics in an organization, because politics exists in every organization. Thus, nurses waste energy and remain powerless when they refuse or learn the art and skill of political behavior.

Much attention is given to improving competence, but little time is spent in learning the intricacies of political behavior. The most important strategy is to learnt to read the environment through observation, listening reading, detachment, and analysis. When organizational and group relationships are developed and fostered in order to achieve a groups goals, these relationships increase a groups level of power. The relationships enable a group to access communication, information, and resources beyond those that a group could access without those relationships. Because power implies interdependence, nurses must not only understand the organizational structure in which they work but also be able to function effectively within that structure, including dealing effectively with the institutions inherent politics. The following political strategies will help the novice manager to negate the negative effects of organizational politics: Become an expert handler of information and communication. Be a proactive decision maker. Expand personal resources. Be sensitive to timing. Develop political alliances and coalitions. 5 mins. Promote subordinate identification. View personal and unit goals in terms of the organization. Leave your ego at home in a jar. A managers ability to gain and wisely use power is critical to his or her success. Nurses will never be assured of adequate resources until they gain the power to manipulate the needed resources legitimately. To do this, managers must be able to bridge the authority-power gap, build a personal power base, and minimize the negative politics of the organizations. One of the most critical leadership roles in the use of power and authority is the empowerment of subordinates. The leader recognizes the dual pyramid of power and acknowledges the power of others,

12. Integrate Leadership roles and Management functions when using authority and power in organizations.

including that of subordinates, peers, and higher administrators. The key to establishing and keeping authority and power in an organization is for the leader-manager to be able to accomplish four separate tasks: Maintain a small authority-power gap. Empower subordinates whenever possible. Use authority in such a manner that subordinates view what happens in the organization as necessary. When needed, implement political strategies to maintain power and authority. Integrating the leadership role and the functions of management reduces the risk that power will be misused. Power and authority will be used to increase respect for the position and for nursing as a whole. The leader comfortable with power ensures that the goal so political maneuvers is cooperation, not personal gain. The successful manager who has integrated the role of leadership will not seek to have power over others but instead will empower others. It is imperative for leader-managers to become skillful in the art of politics and the used of political strategy if they are to survive in the corporate world of the health care industry. It is with the use of such strategies that organizational resources are obtained and goals for nursing are achieved. Final Quote: Peace is not the absence of conflict but the presence of creative alternatives for responding to conflict- alternatives to passive and aggressive responses, alternatives to violence. It is important to remember that conflict is a natural and expected part of collaboration. Power is a positive concept, and several types of power are prerequisite for human development and self-expression. References: Ellis, J.R. & Hartley, C.L.(2004). Nursing in Todays World. 8th edition. Philadelphia: Lippincott Williams & Wilkins.

Huston, C.(2006). The Power Collaboration. 5th edition. Philadelphia: Lippincott

Williams & Wilkins. Williams

Marquis, B and Huston C.(2009). Leadership Roles and Management Functions in Nursing. 6th edition. Philadelphia: Lippincott & Wilkins. Sullivan, E.J.(2004. Becoming Influential: A Guide for Nurses. Upper Saddle River, NJ: Pearson/Prentice Hall. Vivar, C.G.(2006). Putting Conflict Management into Practice. Journal of Nursing Management, 14(3), 201-206. Web Links: http://www.icmrindia.org/courseware/Organizational%20Behavior/Power%20and%20Politics%20Chap19.htm

HUMAN BEHAVIOR IN ORGANIZATION

Submitted by: Queenie D. Valdehueza, RN Submitted to: Mr. Mauro Allan Amparado

You might also like