KEMBAR78
PDFViewer | PDF
0% found this document useful (0 votes)
37 views61 pages

PDFViewer

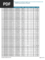
The document provides results from a flight crew licence examination for various subjects like air regulation, aviation meteorology, and technical general. It lists 57 candidates with their roll numbers, computer numbers, licence categories, subjects, marks obtained and results.

Uploaded by

srii21rohith
Copyright
© © All Rights Reserved
We take content rights seriously. If you suspect this is your content, claim it here.
Available Formats
Download as PDF, TXT or read online on Scribd
0% found this document useful (0 votes)
37 views61 pages

PDFViewer

The document provides results from a flight crew licence examination for various subjects like air regulation, aviation meteorology, and technical general. It lists 57 candidates with their roll numbers, computer numbers, licence categories, subjects, marks obtained and results.

Uploaded by

srii21rohith
Copyright
© © All Rights Reserved
We take content rights seriously. If you suspect this is your content, claim it here.
Available Formats
Download as PDF, TXT or read online on Scribd
You are on page 1/ 61

CENTRAL EXAMINATION ORGANISATION, OFFICE OF THE DIRECTOR GENERAL OF CIVIL AVIATION, RK PURAM,New Delhi

Flight Crew Licence Examination Result


Session:OLODE FC 08 OF 2023 On Demand Session

S.No Roll No Computer Lic. Subject Aircraft Obj Essay ResultDate Status
No Category Marks Marks
1 03850001 P-23461066 CPL Air - 48/100 --/-- 06/12/2023 FAIL
Regulation
2 03850002 P-23460821 CPL Technical - 74/100 --/-- 06/12/2023 PASS
General
3 03850003 P-23463465 CPL Air - 64/100 --/-- 06/12/2023 FAIL
Regulation
4 03850004 P-22462150 CPL Aviation - 68/100 --/-- 06/12/2023 FAIL
Meteorology
5 03850005 P-23463684 CPL Air - 74/100 --/-- 06/12/2023 PASS
Regulation
6 03850006 P-22461713 CPL Air - 60/100 --/-- 06/12/2023 FAIL
Regulation
7 03850007 P-23462251 CPL Air - --/100 --/-- 06/12/2023 Absent
Navigation
8 03850008 P-21460683 CPL Technical - --/100 --/-- 06/12/2023 Absent
General
9 03850009 P-22462336 CPL Aviation - 56/100 --/-- 06/12/2023 FAIL
Meteorology
10 03850010 P-23463012 CPL Aviation - 74/100 --/-- 06/12/2023 PASS
Meteorology
11 03850011 P-23460719 CPL Aviation - 54/100 --/-- 06/12/2023 FAIL
Meteorology
12 03850012 P-18460252 CPL Technical - 77/100 --/-- 06/12/2023 PASS
General
13 03850013 P-22463330 CPL Air - 72/100 --/-- 06/12/2023 PASS
Navigation
14 03850014 P-23462848 CPL Air - 60/100 --/-- 06/12/2023 FAIL
Navigation
15 03850015 P-23463023 CPL Aviation - 84/100 --/-- 06/12/2023 PASS
Meteorology
16 03850016 P-23461859 CPL Air - 73/100 --/-- 06/12/2023 PASS
Navigation
17 03850017 P-22462389 CPL Air - 73/100 --/-- 06/12/2023 PASS
Navigation
18 03850018 P-23462986 CPL Aviation - 72/100 --/-- 06/12/2023 PASS
Meteorology
19 03850019 P-23463087 CPL Air - 74/100 --/-- 06/12/2023 PASS
Regulation
20 03850020 P-06022575 CPLCG Air - 68/100 --/-- 06/12/2023 FAIL
(Conversion) Navigation
Comp
21 03850021 P-23463552 CPL Aviation - 78/100 --/-- 06/12/2023 PASS
Meteorology
22 03850022 P-23463432 CPL Aviation - 66/100 --/-- 06/12/2023 FAIL
Meteorology
Wed Dec 06 2023 11:39:00 page 1 of 61
S.No Roll No Computer Lic. Subject Aircraft Obj Essay ResultDate Status
No Category Marks Marks
23 03850023 P-22462301 CPL Air - 62/100 --/-- 06/12/2023 FAIL
Navigation
24 03850024 P-22461793 CPL Air - 77/100 --/-- 06/12/2023 PASS
Navigation
25 03850025 P-23464079 CPL Aviation - 38/100 --/-- 06/12/2023 FAIL
Meteorology
26 03850026 P-23463102 CPL Air - 90/100 --/-- 06/12/2023 PASS
Navigation
27 03850026 P-23463102 CPL Air - 84/100 --/-- 06/12/2023 PASS
Regulation
28 03850027 P-23463909 CPL Aviation - 64/100 --/-- 06/12/2023 FAIL
Meteorology
29 03850027 P-23463909 CPL Air - 54/100 --/-- 06/12/2023 FAIL
Regulation
30 03850028 P-21460095 CPL Air - 69/100 --/-- 06/12/2023 FAIL
Navigation
31 03850029 P-22462820 CPL Aviation - 58/100 --/-- 06/12/2023 FAIL
Meteorology
32 03850030 P-22462571 CPL Air - 59/100 --/-- 06/12/2023 FAIL
Navigation
33 03850031 P-22462651 CPL Air - 75/100 --/-- 06/12/2023 PASS
Navigation
34 03850032 P-23462961 CPL Air - 68/100 --/-- 06/12/2023 FAIL
Regulation
35 03850033 P-23461641 CPL Air - 62/100 --/-- 06/12/2023 FAIL
Regulation
36 03850034 P-23464114 CPL Aviation - 92/100 --/-- 06/12/2023 PASS
Meteorology
37 03850035 P-23463941 CPL Air - 71/100 --/-- 06/12/2023 PASS
Navigation
38 03850036 P-18460457 CPL Air - 68/100 --/-- 06/12/2023 FAIL
Navigation
39 03850037 P-21462243 CPL Aviation - 84/100 --/-- 06/12/2023 PASS
Meteorology
40 03850038 P-22461669 CPL Aviation - --/100 --/-- 06/12/2023 Absent
Meteorology
41 03850039 P-22460028 CPL Technical - 57/100 --/-- 06/12/2023 FAIL
General
42 03850040 P-23462070 CPL Air - 77/100 --/-- 06/12/2023 PASS
Navigation
43 03850041 P-23462741 CPL Air - 78/100 --/-- 06/12/2023 PASS
Regulation
44 03850042 P-23463784 CPL Aviation - 60/100 --/-- 06/12/2023 FAIL
Meteorology
45 03850043 P-19462989 CPL Air - 69/100 --/-- 06/12/2023 FAIL
Navigation
46 03850044 P-23463703 CPL Air - 54/100 --/-- 06/12/2023 FAIL
Regulation

Wed Dec 06 2023 11:39:00 page 2 of 61


S.No Roll No Computer Lic. Subject Aircraft Obj Essay ResultDate Status
No Category Marks Marks
47 03850045 P-23461865 CPL Aviation - 48/100 --/-- 06/12/2023 FAIL
Meteorology
48 03850045 P-23461865 CPL Air - 60/100 --/-- 06/12/2023 FAIL
Regulation
49 03850046 P-22462368 CPL Aviation - 64/100 --/-- 06/12/2023 FAIL
Meteorology
50 03850047 P-22462145 CPL Technical Cessna 82/100 --/-- 06/12/2023 PASS
Specific 172 R
51 03850048 P-23461832 CPL Air - 62/100 --/-- 06/12/2023 FAIL
Regulation
52 03850049 P-23463898 CPL Aviation - 78/100 --/-- 06/12/2023 PASS
Meteorology
53 03850050 P-23461361 CPL Air - --/100 --/-- 06/12/2023 Absent
Regulation
54 03850051 P-23461316 CPL Air - 59/100 --/-- 06/12/2023 FAIL
Navigation
55 03850051 P-23461316 CPL Aviation - 56/100 --/-- 06/12/2023 FAIL
Meteorology
56 03850052 P-22462584 CPL Technical Diamond 76/100 --/-- 06/12/2023 PASS
Specific D A 42
Lycoming
57 03850053 P-21461471 PPL Composite - 76/100 --/-- 06/12/2023 PASS
58 03850054 P-22462680 CPL Technical Diamond 70/100 --/-- 06/12/2023 PASS
Specific DA-42
Thielert
59 03850055 P-20460352 CPL Technical - --/100 --/-- 06/12/2023 Absent
General
60 03850056 P-23461632 CPL Air - 62/100 --/-- 06/12/2023 FAIL
Regulation
61 03850057 P-23463069 CPL Air - 65/100 --/-- 06/12/2023 FAIL
Navigation
62 03850058 P-18455510 CPL Technical - 96/100 --/-- 06/12/2023 PASS
General
63 03850059 P-22461689 CPL Air - 76/100 --/-- 06/12/2023 PASS
Regulation
64 03850060 P-22463031 CPL Technical - 73/100 --/-- 06/12/2023 PASS
General
65 03850061 P-22460227 CPL Air - --/100 --/-- 06/12/2023 Absent
Navigation
66 03850061 P-22460227 CPL Technical - --/100 --/-- 06/12/2023 Absent
General
67 03850062 P-22462220 CPL Air - 82/100 --/-- 06/12/2023 PASS
Regulation
68 03850063 P-22463023 CPL Aviation - 68/100 --/-- 06/12/2023 FAIL
Meteorology
69 03850064 P-23464148 CPL Aviation - 52/100 --/-- 06/12/2023 FAIL
Meteorology

Wed Dec 06 2023 11:39:00 page 3 of 61


S.No Roll No Computer Lic. Subject Aircraft Obj Essay ResultDate Status
No Category Marks Marks
70 03850064 P-23464148 CPL Air - 62/100 --/-- 06/12/2023 FAIL
Regulation
71 03850065 P-23462767 CPL Air - 76/100 --/-- 06/12/2023 PASS
Navigation
72 03850066 P-22460586 CPL Technical Piper 86/100 --/-- 06/12/2023 PASS
Specific PA-28-181
Archer III
TAE-125
Engine
73 03850067 P-23463321 CPL Aviation - 64/100 --/-- 06/12/2023 FAIL
Meteorology
74 03850068 P-22460002 CPL Technical - 51/100 --/-- 06/12/2023 FAIL
General
75 03850069 P-21460566 CPL Air - 82/100 --/-- 06/12/2023 PASS
Navigation
76 03850070 P-22462343 CPL Technical - 62/100 --/-- 06/12/2023 FAIL
General
77 03850071 P-21461603 CPL Technical TECNAM 94/100 --/-- 06/12/2023 PASS
Specific P2006T
78 03850072 P-22462125 CPL Aviation - --/100 --/-- 06/12/2023 Absent
Meteorology
79 03850072 P-22462125 CPL Air - 62/100 --/-- 06/12/2023 FAIL
Regulation
80 03850073 P-23462346 CPL Aviation - 68/100 --/-- 06/12/2023 FAIL
Meteorology
81 03850074 P-23462202 CPL Aviation - 64/100 --/-- 06/12/2023 FAIL
Meteorology
82 03850074 P-23462202 CPL Air - 60/100 --/-- 06/12/2023 FAIL
Regulation
83 03850075 P-23460617 CPL Technical - 73/100 --/-- 06/12/2023 PASS
General
84 03850076 P-18460756 CPL Technical - 66/100 --/-- 06/12/2023 FAIL
General
85 03850077 P-23464044 CPL Aviation - 60/100 --/-- 06/12/2023 FAIL
Meteorology
86 03850077 P-23464044 CPL Air - 60/100 --/-- 06/12/2023 FAIL
Regulation
87 03850078 P-23463631 CPL Aviation - 64/100 --/-- 06/12/2023 FAIL
Meteorology
88 03850079 P-23463093 CPL Air - 71/100 --/-- 06/12/2023 PASS
Navigation
89 03850079 P-23463093 CPL Air - 74/100 --/-- 06/12/2023 PASS
Regulation
90 03850080 P-22460404 CPL Air - 68/100 --/-- 06/12/2023 FAIL
Regulation
91 03850081 P-23463879 CPL Air - 35/100 --/-- 06/12/2023 FAIL
Navigation
92 03850081 P-23463879 CPL Aviation - 56/100 --/-- 06/12/2023 FAIL
Meteorology
Wed Dec 06 2023 11:39:00 page 4 of 61
S.No Roll No Computer Lic. Subject Aircraft Obj Essay ResultDate Status
No Category Marks Marks
93 03850082 P-21462105 CPL Technical - 50/100 --/-- 06/12/2023 FAIL
General
94 03850083 P-20460476 CPL Aviation - 58/100 --/-- 06/12/2023 FAIL
Meteorology
95 03850084 P-23463346 CPL Aviation - 60/100 --/-- 06/12/2023 FAIL
Meteorology
96 03850085 P-22462455 CPL Technical - 83/100 --/-- 06/12/2023 PASS
General
97 03850086 P-23463596 CPL Aviation - 72/100 --/-- 06/12/2023 PASS
Meteorology
98 03850086 P-23463596 CPL Air - 72/100 --/-- 06/12/2023 PASS
Regulation
99 03850087 P-22460302 CPL Air - 72/100 --/-- 06/12/2023 PASS
Regulation
100 03850088 P-22462852 CPL Technical Diamond 92/100 --/-- 06/12/2023 PASS
Specific DA-42
Thielert
101 03850089 P-23463633 CPL Aviation - --/100 --/-- 06/12/2023 Absent
Meteorology
102 03850089 P-23463633 CPL Air - --/100 --/-- 06/12/2023 Absent
Regulation
103 03850090 P-18460702 CPL Technical TECNAM 88/100 --/-- 06/12/2023 PASS
Specific P2006T
104 03850091 P-21461578 CPL Aviation - 92/100 --/-- 06/12/2023 PASS
Meteorology
105 03850091 P-21461578 CPL Air - 82/100 --/-- 06/12/2023 PASS
Regulation
106 03850092 P-23463125 CPL Aviation - 80/100 --/-- 06/12/2023 PASS
Meteorology
107 03850093 P-23462821 CPL Air - 84/100 --/-- 06/12/2023 PASS
Regulation
108 03850094 P-16451221 CPL Technical - --/100 --/-- 06/12/2023 Absent
General
109 03850095 P-21460829 CPL Technical Diamond 94/100 --/-- 06/12/2023 PASS
Specific DA-42
Thielert
110 03850096 P-23462936 CPL Aviation - 52/100 --/-- 06/12/2023 FAIL
Meteorology
111 03850097 P-21462349 CPL Technical - 69/100 --/-- 06/12/2023 FAIL
General
112 03850097 P-21462349 CPL Technical Piper 74/100 --/-- 06/12/2023 PASS
Specific PA-28-181
Archer III
TAE-125
Engine
113 03850098 P-22462534 CPL Technical Diamond 88/100 --/-- 06/12/2023 PASS
Specific D A 42
Lycoming

Wed Dec 06 2023 11:39:00 page 5 of 61


S.No Roll No Computer Lic. Subject Aircraft Obj Essay ResultDate Status
No Category Marks Marks
114 03850099 P-23462571 CPL Air - 68/100 --/-- 06/12/2023 FAIL
Navigation
115 03850100 P-23464073 CPL Air - 89/100 --/-- 06/12/2023 PASS
Navigation
116 03850100 P-23464073 CPL Air - 90/100 --/-- 06/12/2023 PASS
Regulation
117 03850101 P-23463347 CPL Air - 66/100 --/-- 06/12/2023 FAIL
Regulation
118 03850102 P-23460443 CPL Air - 63/100 --/-- 06/12/2023 FAIL
Navigation
119 03850103 P-23460749 CPL Air - 68/100 --/-- 06/12/2023 FAIL
Regulation
120 03850104 P-21460914 CPL Technical - 52/100 --/-- 06/12/2023 FAIL
General
121 03850104 P-21460914 CPL Technical Cessna 46/100 --/-- 06/12/2023 FAIL
Specific 172 R
122 03850105 P-23463724 CPL Aviation - 64/100 --/-- 06/12/2023 FAIL
Meteorology
123 03850106 P-23463006 CPL Air - 48/100 --/-- 06/12/2023 FAIL
Regulation
124 03850107 P-23461223 CPL Air - 62/100 --/-- 06/12/2023 FAIL
Regulation
125 03850108 P-23464028 CPL Aviation - 54/100 --/-- 06/12/2023 FAIL
Meteorology
126 03850109 P-23463430 CPL Air - 72/100 --/-- 06/12/2023 PASS
Regulation
127 03850110 P-21461469 CPL Aviation - 64/100 --/-- 06/12/2023 FAIL
Meteorology
128 03850111 P-23460896 CPL Aviation - 46/100 --/-- 06/12/2023 FAIL
Meteorology
129 03850112 P-23464011 CPLCG Air - 68/100 --/-- 06/12/2023 FAIL
(Conversion) Regulation
130 03850113 P-23462149 CPL Air - 81/100 --/-- 06/12/2023 PASS
Navigation
131 03850113 P-23462149 CPL Air - --/100 --/-- 06/12/2023 Absent
Regulation
132 03850113 P-23462149 CPL Technical - --/100 --/-- 06/12/2023 Absent
General
133 03850114 P-21460817 CPL Aviation - 66/100 --/-- 06/12/2023 FAIL
Meteorology
134 03850115 P-23463506 CPL Air - 64/100 --/-- 06/12/2023 FAIL
Navigation
135 03850115 P-23463506 CPL Aviation - 60/100 --/-- 06/12/2023 FAIL
Meteorology
136 03850116 P-23463805 CPL Air - 72/100 --/-- 06/12/2023 PASS
Navigation
137 03850116 P-23463805 CPL Aviation - 72/100 --/-- 06/12/2023 PASS
Meteorology

Wed Dec 06 2023 11:39:00 page 6 of 61


S.No Roll No Computer Lic. Subject Aircraft Obj Essay ResultDate Status
No Category Marks Marks
138 03850117 P-23464020 CPL Aviation - 88/100 --/-- 06/12/2023 PASS
Meteorology
139 03850118 P-18454324 CPL Aviation - 68/100 --/-- 06/12/2023 FAIL
Meteorology
140 03850119 P-23463808 CPL Aviation - 66/100 --/-- 06/12/2023 FAIL
Meteorology
141 03850119 P-23463808 CPL Air - 68/100 --/-- 06/12/2023 FAIL
Regulation
142 03850120 P-19461855 CPL Technical - 79/100 --/-- 06/12/2023 PASS
General
143 03850121 P-23463981 CPL Aviation - 58/100 --/-- 06/12/2023 FAIL
Meteorology
144 03850122 P-19460851 CPL Air - 70/100 --/-- 06/12/2023 PASS
Navigation
145 03850123 P-19461175 CPL Air - --/100 --/-- 06/12/2023 Absent
Navigation
146 03850123 P-19461175 CPL Aviation - --/100 --/-- 06/12/2023 Absent
Meteorology
147 03850124 P-23463829 CPL Technical - 55/100 --/-- 06/12/2023 FAIL
General
148 03850125 P-22461177 CPL Air - 74/100 --/-- 06/12/2023 PASS
Regulation
149 03850126 P-23463608 CPL Air - 41/100 --/-- 06/12/2023 FAIL
Navigation
150 03850126 P-23463608 CPL Aviation - 74/100 --/-- 06/12/2023 PASS
Meteorology
151 03850127 P-13449312 CPL Technical - 71/100 --/-- 06/12/2023 PASS
General
152 03850128 P-22463018 CPL Air - 74/100 --/-- 06/12/2023 PASS
Navigation
153 03850129 P-23460764 CPL Air - --/100 --/-- 06/12/2023 Absent
Navigation
154 03850130 P-23463192 CPL Air - 64/100 --/-- 06/12/2023 FAIL
Regulation
155 03850131 P-21461183 CPL Air - 74/100 --/-- 06/12/2023 PASS
Navigation
156 03850132 P-22463027 CPL Air - 70/100 --/-- 06/12/2023 PASS
Regulation
157 03850133 P-95009838 CPL Technical - --/100 --/-- 06/12/2023 Absent
General
158 03850134 P-22462545 CPL Air - 70/100 --/-- 06/12/2023 PASS
Regulation
159 03850135 P-22462979 CPL Technical - 52/100 --/-- 06/12/2023 FAIL
General
160 03850136 P-23461971 CPL Air - 65/100 --/-- 06/12/2023 FAIL
Navigation
161 03850137 P-22463362 CPL Aviation - 54/100 --/-- 06/12/2023 FAIL
Meteorology

Wed Dec 06 2023 11:39:00 page 7 of 61


S.No Roll No Computer Lic. Subject Aircraft Obj Essay ResultDate Status
No Category Marks Marks
162 03850138 P-21461458 CPL Technical - 68/100 --/-- 06/12/2023 FAIL
General
163 03850139 P-22463185 CPL Air - 80/100 --/-- 06/12/2023 PASS
Navigation
164 03850140 P-23463496 CPL Air - 76/100 --/-- 06/12/2023 PASS
Navigation
165 03850141 P-23463822 CPL Aviation - 52/100 --/-- 06/12/2023 FAIL
Meteorology
166 03850142 P-23463972 PPL Composite - 75/100 --/-- 06/12/2023 PASS
167 03850143 P-23461548 CPL Aviation - 58/100 --/-- 06/12/2023 FAIL
Meteorology
168 03850144 P-23462950 CPL Air - 76/100 --/-- 06/12/2023 PASS
Navigation
169 03850144 P-23462950 CPL Air - 62/100 --/-- 06/12/2023 FAIL
Regulation
170 03850145 P-23464130 CPL Aviation - 76/100 --/-- 06/12/2023 PASS
Meteorology
171 03850146 P-21460284 CPL Air - 82/100 --/-- 06/12/2023 PASS
Regulation
172 03850146 P-21460284 CPL Technical Piper 58/100 --/-- 06/12/2023 FAIL
Specific Seneca
P A-34
173 03850147 P-23462953 CPL Air - 76/100 --/-- 06/12/2023 PASS
Regulation
174 03850148 P-23462197 CPL Aviation - 44/100 --/-- 06/12/2023 FAIL
Meteorology
175 03850148 P-23462197 CPL Air - 66/100 --/-- 06/12/2023 FAIL
Regulation
176 03850149 P-19462901 CPL Air - 50/100 --/-- 06/12/2023 FAIL
Navigation
177 03850150 P-19462294 CPL Aviation - 80/100 --/-- 06/12/2023 PASS
Meteorology
178 03850151 P-23463689 CPL Aviation - 72/100 --/-- 06/12/2023 PASS
Meteorology
179 03850152 P-23463992 CPL Aviation - 74/100 --/-- 06/12/2023 PASS
Meteorology
180 03850152 P-23463992 CPL Air - 70/100 --/-- 06/12/2023 PASS
Regulation
181 03850153 P-23463485 CPL Technical - 74/100 --/-- 06/12/2023 PASS
General
182 03850153 P-23463485 CPL Technical Cessna 70/100 --/-- 06/12/2023 PASS
Specific 172 R
183 03850154 P-21462225 CPL Air - 64/100 --/-- 06/12/2023 FAIL
Regulation
184 03850155 P-23462164 CPL Air - 66/100 --/-- 06/12/2023 FAIL
Regulation
185 03850155 P-23462164 CPL Technical Cessna 48/100 --/-- 06/12/2023 FAIL
Specific 172 R

Wed Dec 06 2023 11:39:00 page 8 of 61


S.No Roll No Computer Lic. Subject Aircraft Obj Essay ResultDate Status
No Category Marks Marks
186 03850156 P-21460143 CPL Air - 78/100 --/-- 06/12/2023 PASS
Navigation
187 03850157 P-23463592 CPL Aviation - 66/100 --/-- 06/12/2023 FAIL
Meteorology
188 03850158 P-23462704 CPL Aviation - 78/100 --/-- 06/12/2023 PASS
Meteorology
189 03850159 P-23462499 CPL Air - 54/100 --/-- 06/12/2023 FAIL
Regulation
190 03850160 P-23461828 CPL Aviation - --/100 --/-- 06/12/2023 Absent
Meteorology
191 03850161 P-22461228 CPL Aviation - 62/100 --/-- 06/12/2023 FAIL
Meteorology
192 03850162 P-23460471 CPL Aviation - 78/100 --/-- 06/12/2023 PASS
Meteorology
193 03850163 P-22460658 CPL Air - 59/100 --/-- 06/12/2023 FAIL
Navigation
194 03850164 P-23461584 CPL Air - 68/100 --/-- 06/12/2023 FAIL
Navigation
195 03850165 P-23460175 CPL Aviation - 60/100 --/-- 06/12/2023 FAIL
Meteorology
196 03850166 P-18454060 CPL Technical P-68 C --/100 --/-- 06/12/2023 Absent
Specific
197 03850167 P-23463978 CPL Aviation - 76/100 --/-- 06/12/2023 PASS
Meteorology
198 03850168 P-23464019 CPL Aviation - 86/100 --/-- 06/12/2023 PASS
Meteorology
199 03850169 P-22460096 CPL Technical - 59/100 --/-- 06/12/2023 FAIL
General
200 03850170 P-17452739 PPL Composite - 65/100 --/-- 06/12/2023 FAIL
201 03850171 P-23463226 CPL Air - 77/100 --/-- 06/12/2023 PASS
Navigation
202 03850172 P-23464140 CPL Air - 68/100 --/-- 06/12/2023 FAIL
Navigation
203 03850173 P-23463718 CPL Aviation - 68/100 --/-- 06/12/2023 FAIL
Meteorology
204 03850174 P-18460226 CPL Aviation - 88/100 --/-- 06/12/2023 PASS
Meteorology
205 03850175 P-23461705 CPLCG Air - 76/100 --/-- 06/12/2023 PASS
(Defence) Navigation
Comp
206 03850176 P-23462959 CPL Air - 76/100 --/-- 06/12/2023 PASS
Regulation
207 03850177 P-23463201 CPL Air - 84/100 --/-- 06/12/2023 PASS
Navigation
208 03850178 P-21461105 CPL Air - 73/100 --/-- 06/12/2023 PASS
Navigation

Wed Dec 06 2023 11:39:00 page 9 of 61


S.No Roll No Computer Lic. Subject Aircraft Obj Essay ResultDate Status
No Category Marks Marks
209 03850179 P-22463095 CPL Technical Diamond 86/100 --/-- 06/12/2023 PASS
Specific D A 42
Lycoming
210 03850180 P-21461249 CPL Air - --/100 --/-- 06/12/2023 Absent
Navigation
211 03850180 P-21461249 CPL Aviation - --/100 --/-- 06/12/2023 Absent
Meteorology
212 03850180 P-21461249 CPL Air - --/100 --/-- 06/12/2023 Absent
Regulation
213 03850181 P-19462210 CPL Technical Cessna 64/100 --/-- 06/12/2023 FAIL
Specific 172 R
214 03850182 P-23463119 CPL Aviation - 72/100 --/-- 06/12/2023 PASS
Meteorology
215 03850183 P-23460494 CPL Aviation - 72/100 --/-- 06/12/2023 PASS
Meteorology
216 03850184 P-22462304 CPL Aviation - 50/100 --/-- 06/12/2023 FAIL
Meteorology
217 03850184 P-22462304 CPL Technical Cessna 50/100 --/-- 06/12/2023 FAIL
Specific 172 R
218 03850185 P-22463169 CPL Air - 84/100 --/-- 06/12/2023 PASS
Regulation
219 03850186 P-23463489 CPL Air - 70/100 --/-- 06/12/2023 PASS
Regulation
220 03850187 P-23464093 CPL Aviation - 60/100 --/-- 06/12/2023 FAIL
Meteorology
221 03850188 P-23464077 CPL Aviation - 64/100 --/-- 06/12/2023 FAIL
Meteorology
222 03850189 P-22460843 CPL Technical - --/100 --/-- 06/12/2023 Absent
General
223 03850190 P-23463991 CPL Aviation - 76/100 --/-- 06/12/2023 PASS
Meteorology
224 03850190 P-23463991 CPL Air - 80/100 --/-- 06/12/2023 PASS
Regulation
225 03850191 P-23463422 CPL Air - 72/100 --/-- 06/12/2023 PASS
Regulation
226 03850192 P-23460192 CPL Air - 81/100 --/-- 06/12/2023 PASS
Navigation
227 03850193 P-20460188 CPL Air - 64/100 --/-- 06/12/2023 FAIL
Navigation
228 03850193 P-20460188 CPL Air - 66/100 --/-- 06/12/2023 FAIL
Regulation
229 03850193 P-20460188 CPL Technical - 57/100 --/-- 06/12/2023 FAIL
General
230 03850194 P-23461246 CPL Aviation - 38/100 --/-- 06/12/2023 FAIL
Meteorology
231 03850194 P-23461246 CPL Air - 56/100 --/-- 06/12/2023 FAIL
Regulation

Wed Dec 06 2023 11:39:00 page 10 of 61


S.No Roll No Computer Lic. Subject Aircraft Obj Essay ResultDate Status
No Category Marks Marks
232 03850195 P-23461201 CPL Air - 64/100 --/-- 06/12/2023 FAIL
Navigation
233 03850196 P-22463054 CPL Air - 62/100 --/-- 06/12/2023 FAIL
Navigation
234 03850197 P-23462017 CPL Air - 53/100 --/-- 06/12/2023 FAIL
Navigation
235 03850198 P-23463443 CPL Air - --/100 --/-- 06/12/2023 Absent
Navigation
236 03850198 P-23463443 CPL Aviation - 72/100 --/-- 06/12/2023 PASS
Meteorology
237 03850199 P-22461257 CPL Air - --/100 --/-- 06/12/2023 Absent
Regulation
238 03850200 P-21461116 CPL Air - 68/100 --/-- 06/12/2023 FAIL
Regulation
239 03850201 P-23462156 CPL Air - 64/100 --/-- 06/12/2023 FAIL
Regulation
240 03850202 P-23462372 CPL Aviation - 70/100 --/-- 06/12/2023 PASS
Meteorology
241 03850203 P-23463579 CPL Aviation - 50/100 --/-- 06/12/2023 FAIL
Meteorology
242 03850204 P-22460940 CPL Aviation - --/100 --/-- 06/12/2023 Absent
Meteorology
243 03850205 P-23460814 CPL Air - 60/100 --/-- 06/12/2023 FAIL
Regulation
244 03850206 P-22462226 CPL Aviation - 88/100 --/-- 06/12/2023 PASS
Meteorology
245 03850207 P-23460683 CPL Air - 66/100 --/-- 06/12/2023 FAIL
Navigation
246 03850208 P-23462033 CPL Aviation - 54/100 --/-- 06/12/2023 FAIL
Meteorology
247 03850208 P-23462033 CPL Air - 48/100 --/-- 06/12/2023 FAIL
Regulation
248 03850209 P-23463711 CPL Aviation - 60/100 --/-- 06/12/2023 FAIL
Meteorology
249 03850210 P-23461249 CPL Air - 70/100 --/-- 06/12/2023 PASS
Regulation
250 03850211 P-23461046 CPL Air - 73/100 --/-- 06/12/2023 PASS
Navigation
251 03850212 P-23463577 CPL Aviation - 78/100 --/-- 06/12/2023 PASS
Meteorology
252 03850212 P-23463577 CPL Air - 66/100 --/-- 06/12/2023 FAIL
Regulation
253 03850213 P-23462250 CPL Aviation - 64/100 --/-- 06/12/2023 FAIL
Meteorology
254 03850214 P-23461561 CPL Aviation - 68/100 --/-- 06/12/2023 FAIL
Meteorology
255 03850215 P-23463482 CPL Air - 52/100 --/-- 06/12/2023 FAIL
Navigation

Wed Dec 06 2023 11:39:00 page 11 of 61


S.No Roll No Computer Lic. Subject Aircraft Obj Essay ResultDate Status
No Category Marks Marks
256 03850216 P-23461463 CPL Technical - 75/100 --/-- 06/12/2023 PASS
General
257 03850217 P-23463534 CPL Air - 54/100 --/-- 06/12/2023 FAIL
Navigation
258 03850217 P-23463534 CPL Air - 48/100 --/-- 06/12/2023 FAIL
Regulation
259 03850218 P-22462907 CPL Aviation - 48/100 --/-- 06/12/2023 FAIL
Meteorology
260 03850219 P-23463140 CPL Air - 68/100 --/-- 06/12/2023 FAIL
Regulation
261 03850220 P-23461597 CPL Air - 68/100 --/-- 06/12/2023 FAIL
Regulation
262 03850221 P-23462310 CPL Air - 70/100 --/-- 06/12/2023 PASS
Regulation
263 03850222 P-14449645 CPL Air - --/100 --/-- 06/12/2023 Absent
Navigation
264 03850223 P-22463111 CPL Air - 60/100 --/-- 06/12/2023 FAIL
Regulation
265 03850224 P-23462533 CPL Aviation - 44/100 --/-- 06/12/2023 FAIL
Meteorology
266 03850225 P-20460513 CPL Technical - 68/100 --/-- 06/12/2023 FAIL
General
267 03850226 P-22463272 CPL Aviation - 60/100 --/-- 06/12/2023 FAIL
Meteorology
268 03850227 P-23462895 CPL Air - 80/100 --/-- 06/12/2023 PASS
Navigation
269 03850228 P-23462073 CPL Air - 54/100 --/-- 06/12/2023 FAIL
Regulation
270 03850229 P-22462621 CPL Technical - 70/100 --/-- 06/12/2023 PASS
General
271 03850230 P-23461766 CPL Aviation - 72/100 --/-- 06/12/2023 PASS
Meteorology
272 03850231 P-23462043 CPL Air - 64/100 --/-- 06/12/2023 FAIL
Regulation
273 03850232 P-23462381 CPL Aviation - 52/100 --/-- 06/12/2023 FAIL
Meteorology
274 03850233 P-23461086 CPL Air - 76/100 --/-- 06/12/2023 PASS
Navigation
275 03850234 P-23463045 CPL Air - 56/100 --/-- 06/12/2023 FAIL
Navigation
276 03850235 P-22461404 CPL Air - 59/100 --/-- 06/12/2023 FAIL
Navigation
277 03850236 P-18454854 CPL Aviation - 68/100 --/-- 06/12/2023 FAIL
Meteorology
278 03850237 P-23462049 CPL Air - 59/100 --/-- 06/12/2023 FAIL
Navigation
279 03850238 P-21462298 CPL Air - 57/100 --/-- 06/12/2023 FAIL
Navigation

Wed Dec 06 2023 11:39:00 page 12 of 61


S.No Roll No Computer Lic. Subject Aircraft Obj Essay ResultDate Status
No Category Marks Marks
280 03850239 P-23464084 CPL Aviation - 68/100 --/-- 06/12/2023 FAIL
Meteorology
281 03850240 P-23461016 CPL Air - 62/100 --/-- 06/12/2023 FAIL
Navigation
282 03850241 P-20460255 CPL Technical Diamond 88/100 --/-- 06/12/2023 PASS
Specific DA-42
Thielert
283 03850242 P-15450882 CPL Technical Tecnam 86/100 --/-- 06/12/2023 PASS
Specific P2010TDI
284 03850243 P-23464025 CPL Aviation - 72/100 --/-- 06/12/2023 PASS
Meteorology
285 03850244 P-22460890 CPL Technical Cessna 66/100 --/-- 06/12/2023 FAIL
Specific 172 R
286 03850245 P-23460734 CPL Air - 76/100 --/-- 06/12/2023 PASS
Navigation
287 03850246 P-23461108 CPL Air - --/100 --/-- 06/12/2023 Absent
Regulation
288 03850247 P-23463622 CPL Aviation - --/100 --/-- 06/12/2023 Absent
Meteorology
289 03850248 P-22461855 CPL Air - 66/100 --/-- 06/12/2023 FAIL
Regulation
290 07850001 P-22460540 CPL Technical Piper 84/100 --/-- 06/12/2023 PASS
Specific Seneca
P A-34
291 07850002 P-23460306 CPL Air - 82/100 --/-- 06/12/2023 PASS
Regulation
292 07850003 P-21461021 CPL Air - 74/100 --/-- 06/12/2023 PASS
Regulation
293 07850004 P-23463235 CPL Aviation - 86/100 --/-- 06/12/2023 PASS
Meteorology
294 07850005 P-22461730 CPL Air - 72/100 --/-- 06/12/2023 PASS
Regulation
295 07850006 P-23462860 CPL Air - 83/100 --/-- 06/12/2023 PASS
Navigation
296 07850007 P-23463034 CPL Air - 84/100 --/-- 06/12/2023 PASS
Navigation
297 07850007 P-23463034 CPL Air - 66/100 --/-- 06/12/2023 FAIL
Regulation
298 07850008 P-23463305 CPL Aviation - 82/100 --/-- 06/12/2023 PASS
Meteorology
299 07850009 P-23463632 CPL Aviation - 58/100 --/-- 06/12/2023 FAIL
Meteorology
300 07850010 P-23462118 CPL Air - 86/100 --/-- 06/12/2023 PASS
Navigation
301 07850011 P-23460585 CPL Aviation - 52/100 --/-- 06/12/2023 FAIL
Meteorology
302 07850012 P-23464110 CPL Aviation - 68/100 --/-- 06/12/2023 FAIL
Meteorology

Wed Dec 06 2023 11:39:00 page 13 of 61


S.No Roll No Computer Lic. Subject Aircraft Obj Essay ResultDate Status
No Category Marks Marks
303 07850013 P-23462442 CPL Technical - 75/100 --/-- 06/12/2023 PASS
General
304 07850014 P-20460343 CPL Aviation - 70/100 --/-- 06/12/2023 PASS
Meteorology
305 07850015 P-23460183 CPL Air - 74/100 --/-- 06/12/2023 PASS
Regulation
306 07850016 P-23463067 CPL Aviation - 62/100 --/-- 06/12/2023 FAIL
Meteorology
307 07850017 P-23463927 CPL Technical - 71/100 --/-- 06/12/2023 PASS
General
308 07850018 P-17453675 CPL Air - 64/100 --/-- 06/12/2023 FAIL
Regulation
309 07850019 P-23462674 CPL Aviation - --/100 --/-- 06/12/2023 Absent
Meteorology
310 07850019 P-23462674 CPL Technical Cessna 74/100 --/-- 06/12/2023 PASS
Specific 172 R
311 07850020 P-22462419 CPL Air - --/100 --/-- 06/12/2023 Absent
Navigation
312 07850021 P-22462682 CPL Aviation - --/100 --/-- 06/12/2023 Absent
Meteorology
313 07850022 P-23461883 CPL Aviation - 76/100 --/-- 06/12/2023 PASS
Meteorology
314 07850023 P-23462200 CPL Air - 70/100 --/-- 06/12/2023 PASS
Regulation
315 07850024 P-23462624 CPL Air - 76/100 --/-- 06/12/2023 PASS
Navigation
316 07850024 P-23462624 CPL Air - --/100 --/-- 06/12/2023 Absent
Regulation
317 07850025 P-23463619 CPL Aviation - 78/100 --/-- 06/12/2023 PASS
Meteorology
318 07850025 P-23463619 CPL Air - 72/100 --/-- 06/12/2023 PASS
Regulation
319 07850026 P-23462611 CPL Aviation - 54/100 --/-- 06/12/2023 FAIL
Meteorology
320 07850027 P-23462136 CPL Aviation - --/100 --/-- 06/12/2023 Absent
Meteorology
321 07850028 P-23464138 CPL Aviation - 60/100 --/-- 06/12/2023 FAIL
Meteorology
322 07850029 P-23460116 CPL Aviation - 72/100 --/-- 06/12/2023 PASS
Meteorology
323 07850030 P-23462806 CPL Air - 56/100 --/-- 06/12/2023 FAIL
Regulation
324 07850031 P-23463357 CPL Air - 82/100 --/-- 06/12/2023 PASS
Regulation
325 07850032 P-23463918 CPL Aviation - 72/100 --/-- 06/12/2023 PASS
Meteorology
326 07850033 P-05018927 CPL Technical Tecnam 66/100 --/-- 06/12/2023 FAIL
Specific P2010TDI

Wed Dec 06 2023 11:39:00 page 14 of 61


S.No Roll No Computer Lic. Subject Aircraft Obj Essay ResultDate Status
No Category Marks Marks
327 07850034 P-23462836 CPL Aviation - 70/100 --/-- 06/12/2023 PASS
Meteorology
328 07850035 P-23463762 CPL Air - 70/100 --/-- 06/12/2023 PASS
Regulation
329 07850036 P-19462187 CPL Technical P-68 C 92/100 --/-- 06/12/2023 PASS
Specific
330 07850037 P-22463180 CPL Air - 68/100 --/-- 06/12/2023 FAIL
Navigation
331 07850038 P-23463952 CPL Air - 77/100 --/-- 06/12/2023 PASS
Navigation
332 07850039 P-23463398 CPLCG Air - 80/100 --/-- 06/12/2023 PASS
(Conversion) Navigation
Comp
333 07850039 P-23463398 CPLCG Air - 90/100 --/-- 06/12/2023 PASS
(Conversion) Regulation
334 07850040 P-23462966 CPL Air - 77/100 --/-- 06/12/2023 PASS
Navigation
335 07850041 P-23463798 CPL Aviation - 64/100 --/-- 06/12/2023 FAIL
Meteorology
336 07850042 P-23462554 CPL Air - 70/100 --/-- 06/12/2023 PASS
Regulation
337 07850043 P-23461216 CPL Air - 82/100 --/-- 06/12/2023 PASS
Navigation
338 07850044 P-23463676 CPL Aviation - 74/100 --/-- 06/12/2023 PASS
Meteorology
339 07850045 P-23463599 CPL Aviation - 82/100 --/-- 06/12/2023 PASS
Meteorology
340 07850046 P-23462196 CPL Aviation - 82/100 --/-- 06/12/2023 PASS
Meteorology
341 07850047 P-23462493 CPL Air - --/100 --/-- 06/12/2023 Absent
Navigation
342 07850048 P-22462972 CPL Aviation - 66/100 --/-- 06/12/2023 FAIL
Meteorology
343 07850049 P-19460250 CPL Aviation - 62/100 --/-- 06/12/2023 FAIL
Meteorology
344 07850049 P-19460250 CPL Air - 70/100 --/-- 06/12/2023 PASS
Regulation
345 07850050 P-23462065 CPL Technical - 76/100 --/-- 06/12/2023 PASS
General
346 07850051 P-23463696 CPL Technical - 85/100 --/-- 06/12/2023 PASS
General
347 07850052 P-19462385 CPL Aviation - 62/100 --/-- 06/12/2023 FAIL
Meteorology
348 07850053 P-23463778 CPL Air - 56/100 --/-- 06/12/2023 FAIL
Regulation
349 07850054 P-23462356 CPL Air - 76/100 --/-- 06/12/2023 PASS
Navigation

Wed Dec 06 2023 11:39:00 page 15 of 61


S.No Roll No Computer Lic. Subject Aircraft Obj Essay ResultDate Status
No Category Marks Marks
350 07850055 P-23462859 CPL Air - 73/100 --/-- 06/12/2023 PASS
Navigation
351 07850056 P-23463765 CPL Aviation - 74/100 --/-- 06/12/2023 PASS
Meteorology
352 07850056 P-23463765 CPL Technical - 75/100 --/-- 06/12/2023 PASS
General
353 07850057 P-23460546 CPL Air - 88/100 --/-- 06/12/2023 PASS
Regulation
354 07850058 P-19460959 CPL Aviation - --/100 --/-- 06/12/2023 Absent
Meteorology
355 07850059 P-11033212 CPL Technical Diamond --/100 --/-- 06/12/2023 Absent
Specific DA-42
Thielert
356 07850060 P-19462673 CPL Aviation - 36/100 --/-- 06/12/2023 FAIL
Meteorology
357 07850061 P-23462137 CPL Technical - --/100 --/-- 06/12/2023 Absent
General
358 07850062 P-22462739 CPL Technical - 67/100 --/-- 06/12/2023 FAIL
General
359 07850063 P-23462495 CPL Air - 78/100 --/-- 06/12/2023 PASS
Regulation
360 07850064 P-23461579 CPL Technical - 80/100 --/-- 06/12/2023 PASS
General
361 07850065 P-23463410 CPL Aviation - --/100 --/-- 06/12/2023 Absent
Meteorology
362 07850066 P-23460679 CPL Air - 72/100 --/-- 06/12/2023 PASS
Regulation
363 07850067 P-22463360 CPL Air - 68/100 --/-- 06/12/2023 FAIL
Regulation
364 07850068 P-23463930 CPL Aviation - 76/100 --/-- 06/12/2023 PASS
Meteorology
365 07850069 P-23460379 CPL Aviation - 60/100 --/-- 06/12/2023 FAIL
Meteorology
366 07850070 P-23461962 CPL Air - --/100 --/-- 06/12/2023 Absent
Regulation
367 07850071 P-21462422 CPL Air - 79/100 --/-- 06/12/2023 PASS
Navigation
368 07850072 P-23463477 CPL Aviation - 76/100 --/-- 06/12/2023 PASS
Meteorology
369 07850072 P-23463477 CPL Air - 60/100 --/-- 06/12/2023 FAIL
Regulation
370 07850073 P-22461349 CPL Air - 58/100 --/-- 06/12/2023 FAIL
Regulation
371 07850074 P-22463291 CPL Air - 60/100 --/-- 06/12/2023 FAIL
Navigation
372 07850075 P-23460879 CPL Air - 84/100 --/-- 06/12/2023 PASS
Navigation

Wed Dec 06 2023 11:39:00 page 16 of 61


S.No Roll No Computer Lic. Subject Aircraft Obj Essay ResultDate Status
No Category Marks Marks
373 07850076 P-23461177 CPL Air - 64/100 --/-- 06/12/2023 FAIL
Regulation
374 07850077 P-22462129 CPL Air - 66/100 --/-- 06/12/2023 FAIL
Regulation
375 07850077 P-22462129 CPL Technical - 84/100 --/-- 06/12/2023 PASS
General
376 07850078 P-23463361 CPL Aviation - 84/100 --/-- 06/12/2023 PASS
Meteorology
377 07850079 P-23462345 CPL Aviation - 80/100 --/-- 06/12/2023 PASS
Meteorology
378 07850080 P-23462189 CPL Technical - 90/100 --/-- 06/12/2023 PASS
General
379 07850081 P-22462049 CPL Air - 62/100 --/-- 06/12/2023 FAIL
Navigation
380 07850082 P-21460108 CPL Air - 75/100 --/-- 06/12/2023 PASS
Navigation
381 07850083 P-22460479 CPL Air - 78/100 --/-- 06/12/2023 PASS
Navigation
382 07850083 P-22460479 CPL Air - 64/100 --/-- 06/12/2023 FAIL
Regulation
383 07850084 P-12448690 CPL Aviation - 70/100 --/-- 06/12/2023 PASS
Meteorology
384 07850085 P-23462259 CPL Air - 82/100 --/-- 06/12/2023 PASS
Navigation
385 07850086 P-21460672 CPL Aviation - 76/100 --/-- 06/12/2023 PASS
Meteorology
386 07850087 P-23460204 CPL Technical - 74/100 --/-- 06/12/2023 PASS
General
387 07850088 P-23461802 CPL Air - 54/100 --/-- 06/12/2023 FAIL
Navigation
388 07850089 P-20460319 CPL Technical - 72/100 --/-- 06/12/2023 PASS
General
389 07850090 P-23463277 CPL Air - 73/100 --/-- 06/12/2023 PASS
Navigation
390 07850091 P-21461473 CPL Technical - 67/100 --/-- 06/12/2023 FAIL
General
391 07850092 P-23463044 CPL Aviation - 76/100 --/-- 06/12/2023 PASS
Meteorology
392 07850093 P-23461963 CPL Aviation - 82/100 --/-- 06/12/2023 PASS
Meteorology
393 07850093 P-23461963 CPL Air - 70/100 --/-- 06/12/2023 PASS
Regulation
394 07850094 P-21461814 CPL Air - 84/100 --/-- 06/12/2023 PASS
Regulation
395 07850095 P-23462861 CPL Air - 65/100 --/-- 06/12/2023 FAIL
Navigation
396 07850096 P-23462899 CPL Aviation - 80/100 --/-- 06/12/2023 PASS
Meteorology

Wed Dec 06 2023 11:39:00 page 17 of 61


S.No Roll No Computer Lic. Subject Aircraft Obj Essay ResultDate Status
No Category Marks Marks
397 07850097 P-23463839 CPL Aviation - 90/100 --/-- 06/12/2023 PASS
Meteorology
398 07850098 P-22461646 CPL Aviation - 56/100 --/-- 06/12/2023 FAIL
Meteorology
399 07850099 P-23462903 CPL Aviation - 82/100 --/-- 06/12/2023 PASS
Meteorology
400 07850100 P-22460489 CPL Technical P-68 C 78/100 --/-- 06/12/2023 PASS
Specific
401 07850101 P-23462453 CPL Air - 69/100 --/-- 06/12/2023 FAIL
Navigation
402 07850102 P-23462844 CPL Aviation - 66/100 --/-- 06/12/2023 FAIL
Meteorology
403 07850103 P-23463435 CPL Aviation - 80/100 --/-- 06/12/2023 PASS
Meteorology
404 07850104 P-23463661 CPL Aviation - 74/100 --/-- 06/12/2023 PASS
Meteorology
405 07850105 P-23462430 CPL Air - 54/100 --/-- 06/12/2023 FAIL
Navigation
406 07850106 P-23462877 CPL Aviation - 56/100 --/-- 06/12/2023 FAIL
Meteorology
407 07850107 P-23463610 CPL Aviation - 50/100 --/-- 06/12/2023 FAIL
Meteorology
408 07850107 P-23463610 CPL Air - 62/100 --/-- 06/12/2023 FAIL
Regulation
409 07850107 P-23463610 CPL Technical - 56/100 --/-- 06/12/2023 FAIL
General
410 07850108 P-23463867 CPL Aviation - 82/100 --/-- 06/12/2023 PASS
Meteorology
411 07850109 P-22463150 CPL Aviation - 68/100 --/-- 06/12/2023 FAIL
Meteorology
412 07850110 P-23461680 CPL Air - 78/100 --/-- 06/12/2023 PASS
Regulation
413 07850111 P-22462474 CPL Aviation - 48/100 --/-- 06/12/2023 FAIL
Meteorology
414 07850112 P-23462855 CPL Aviation - 74/100 --/-- 06/12/2023 PASS
Meteorology
415 07850113 P-22462211 CPL Aviation - 68/100 --/-- 06/12/2023 FAIL
Meteorology
416 07850114 P-23463795 CPL Air - 94/100 --/-- 06/12/2023 PASS
Navigation
417 07850115 P-23462955 CPL Aviation - 76/100 --/-- 06/12/2023 PASS
Meteorology
418 07850116 P-23463910 CPL Aviation - 68/100 --/-- 06/12/2023 FAIL
Meteorology
419 07850117 P-20460753 CPL Air - 67/100 --/-- 06/12/2023 FAIL
Navigation
420 07850118 P-23461224 CPL Air - 60/100 --/-- 06/12/2023 FAIL
Regulation

Wed Dec 06 2023 11:39:00 page 18 of 61


S.No Roll No Computer Lic. Subject Aircraft Obj Essay ResultDate Status
No Category Marks Marks
421 07850119 P-23463520 CPL Aviation - 44/100 --/-- 06/12/2023 FAIL
Meteorology
422 07850120 P-23463493 CPL Aviation - 62/100 --/-- 06/12/2023 FAIL
Meteorology
423 07850121 P-19461134 CPL Air - 65/100 --/-- 06/12/2023 FAIL
Navigation
424 07850122 P-23463700 CPL Aviation - 54/100 --/-- 06/12/2023 FAIL
Meteorology
425 07850123 P-23463300 CPL Aviation - 80/100 --/-- 06/12/2023 PASS
Meteorology
426 07850124 P-22461062 CPL Air - 72/100 --/-- 06/12/2023 PASS
Navigation
427 07850125 P-22460504 CPL Air - 50/100 --/-- 06/12/2023 FAIL
Navigation
428 07850126 P-22463302 CPL Technical - 79/100 --/-- 06/12/2023 PASS
General
429 07850127 P-23463823 CPL Aviation - 76/100 --/-- 06/12/2023 PASS
Meteorology
430 07850128 P-22461290 CPL Technical Cessna 78/100 --/-- 06/12/2023 PASS
Specific 172 R
431 07850129 P-22461536 CPL Technical - 72/100 --/-- 06/12/2023 PASS
General
432 07850130 P-23461696 CPL Air - 76/100 --/-- 06/12/2023 PASS
Regulation
433 07850131 P-22460715 CPL Aviation - 78/100 --/-- 06/12/2023 PASS
Meteorology
434 07850132 P-22460849 CPL Air - 61/100 --/-- 06/12/2023 FAIL
Navigation
435 07850133 P-23462905 CPL Aviation - --/100 --/-- 06/12/2023 Absent
Meteorology
436 07850133 P-23462905 CPL Air - 60/100 --/-- 06/12/2023 FAIL
Regulation
437 07850134 P-23462572 CPL Aviation - 62/100 --/-- 06/12/2023 FAIL
Meteorology
438 07850134 P-23462572 CPL Technical - 53/100 --/-- 06/12/2023 FAIL
General
439 07850135 P-23463040 CPL Aviation - 82/100 --/-- 06/12/2023 PASS
Meteorology
440 07850136 P-21461506 CPL Aviation - 72/100 --/-- 06/12/2023 PASS
Meteorology
441 07850137 P-22460581 CPL Air - 64/100 --/-- 06/12/2023 FAIL
Regulation
442 07850138 P-23463962 CPL Air - 56/100 --/-- 06/12/2023 FAIL
Navigation
443 07850138 P-23463962 CPL Aviation - 66/100 --/-- 06/12/2023 FAIL
Meteorology
444 07850139 P-23463756 CPL Air - 53/100 --/-- 06/12/2023 FAIL
Navigation

Wed Dec 06 2023 11:39:00 page 19 of 61


S.No Roll No Computer Lic. Subject Aircraft Obj Essay ResultDate Status
No Category Marks Marks
445 07850140 P-23461949 CPL Air - 52/100 --/-- 06/12/2023 FAIL
Regulation
446 07850141 P-23462906 CPL Aviation - 70/100 --/-- 06/12/2023 PASS
Meteorology
447 07850142 P-22463189 CPL Air - 72/100 --/-- 06/12/2023 PASS
Navigation
448 07850143 P-23461019 CPL Air - 73/100 --/-- 06/12/2023 PASS
Navigation
449 07850144 P-18454922 CPLCG Air - --/100 --/-- 06/12/2023 Absent
(Conversion) Navigation
Comp
450 07850145 P-23464151 CPL Aviation - 76/100 --/-- 06/12/2023 PASS
Meteorology
451 07850146 P-22461932 CPL Technical - 67/100 --/-- 06/12/2023 FAIL
General
452 07850146 P-22461932 CPL Technical Cessna 80/100 --/-- 06/12/2023 PASS
Specific 172 R
453 07850147 P-20460159 CPL Technical - 59/100 --/-- 06/12/2023 FAIL
General
454 07850148 P-23460676 CPL Air - 84/100 --/-- 06/12/2023 PASS
Regulation
455 07850149 P-23460477 CPL Air - 65/100 --/-- 06/12/2023 FAIL
Navigation
456 07850149 P-23460477 CPL Air - 70/100 --/-- 06/12/2023 PASS
Regulation
457 07850150 P-23462797 CPL Air - 86/100 --/-- 06/12/2023 PASS
Navigation
458 07850151 P-23463970 CPL Aviation - 78/100 --/-- 06/12/2023 PASS
Meteorology
459 07850152 P-19460883 CPL Technical - 75/100 --/-- 06/12/2023 PASS
General
460 07850153 P-22462026 PPL Composite - 67/100 --/-- 06/12/2023 FAIL
461 07850154 P-23462750 CPL Air - 58/100 --/-- 06/12/2023 FAIL
Regulation
462 07850155 P-22462833 CPL Aviation - 72/100 --/-- 06/12/2023 PASS
Meteorology
463 07850156 P-22463271 CPL Air - 76/100 --/-- 06/12/2023 PASS
Navigation
464 07850157 P-23463061 CPL Aviation - --/100 --/-- 06/12/2023 Absent
Meteorology
465 07850158 P-23463081 CPL Aviation - 60/100 --/-- 06/12/2023 FAIL
Meteorology
466 07850159 P-22461498 CPL Air - 74/100 --/-- 06/12/2023 PASS
Navigation
467 07850160 P-23463584 CPL Aviation - 78/100 --/-- 06/12/2023 PASS
Meteorology
468 07850161 P-18454789 CPL Air - --/100 --/-- 06/12/2023 Absent
Navigation

Wed Dec 06 2023 11:39:00 page 20 of 61


S.No Roll No Computer Lic. Subject Aircraft Obj Essay ResultDate Status
No Category Marks Marks
469 07850161 P-18454789 CPL Technical Piper --/100 --/-- 06/12/2023 Absent
Specific Seneca
P A-34
470 07850162 P-23461438 CPL Air - --/100 --/-- 06/12/2023 Absent
Navigation
471 07850163 P-22460392 CPL Air - 78/100 --/-- 06/12/2023 PASS
Regulation
472 07850164 P-22461930 CPL Air - 47/100 --/-- 06/12/2023 FAIL
Navigation
473 07850165 P-22461083 CPL Air - 82/100 --/-- 06/12/2023 PASS
Regulation
474 07850166 P-23463699 CPL Aviation - 68/100 --/-- 06/12/2023 FAIL
Meteorology
475 07850167 P-21461777 CPL Air - 78/100 --/-- 06/12/2023 PASS
Regulation
476 07850168 P-23461471 CPL Air - 78/100 --/-- 06/12/2023 PASS
Regulation
477 07850169 P-23460918 CPL Air - 50/100 --/-- 06/12/2023 FAIL
Navigation
478 07850170 P-23462634 CPL Air - 81/100 --/-- 06/12/2023 PASS
Navigation
479 07850171 P-21461488 CPL Air - 63/100 --/-- 06/12/2023 FAIL
Navigation
480 07850172 P-22462588 CPL Air - 73/100 --/-- 06/12/2023 PASS
Navigation
481 07850172 P-22462588 CPL Technical - --/100 --/-- 06/12/2023 Absent
General
482 07850172 P-22462588 CPL Technical Diamond 84/100 --/-- 06/12/2023 PASS
Specific D A 42
Lycoming
483 07850173 P-22460717 CPL Air - 55/100 --/-- 06/12/2023 FAIL
Navigation
484 07850174 P-23463313 CPL Aviation - 64/100 --/-- 06/12/2023 FAIL
Meteorology
485 07850175 P-23463296 CPL Air - 54/100 --/-- 06/12/2023 FAIL
Navigation
486 07850176 P-23462406 CPL Air - 86/100 --/-- 06/12/2023 PASS
Regulation
487 07850177 P-20461284 CPL Technical - 85/100 --/-- 06/12/2023 PASS
General
488 07850178 P-23463134 CPL Air - 48/100 --/-- 06/12/2023 FAIL
Regulation
489 07850179 P-18460056 CPL Technical - 74/100 --/-- 06/12/2023 PASS
General
490 07850180 P-22461149 CPL Air - 52/100 --/-- 06/12/2023 FAIL
Navigation
491 07850181 P-23461788 CPL Aviation - 50/100 --/-- 06/12/2023 FAIL
Meteorology

Wed Dec 06 2023 11:39:00 page 21 of 61


S.No Roll No Computer Lic. Subject Aircraft Obj Essay ResultDate Status
No Category Marks Marks
492 07850182 P-22461682 CPL Technical TECNAM 92/100 --/-- 06/12/2023 PASS
Specific P2006T
493 07850183 P-23461897 CPL Aviation - 58/100 --/-- 06/12/2023 FAIL
Meteorology
494 07850184 P-23461664 CPL Air - 84/100 --/-- 06/12/2023 PASS
Navigation
495 07850185 P-22463262 CPL Technical - 67/100 --/-- 06/12/2023 FAIL
General
496 07850186 P-23461157 CPLCG Air - 47/100 --/-- 06/12/2023 FAIL
(Conversion) Navigation
Comp
497 07850187 P-23464034 CPL Aviation - 56/100 --/-- 06/12/2023 FAIL
Meteorology
498 07850187 P-23464034 CPL Air - 68/100 --/-- 06/12/2023 FAIL
Regulation
499 07850188 P-23463122 CPL Technical - 85/100 --/-- 06/12/2023 PASS
General
500 07850189 P-23462528 CPL Air - --/100 --/-- 06/12/2023 Absent
Regulation
501 07850190 P-22460594 CPL Aviation - 64/100 --/-- 06/12/2023 FAIL
Meteorology
502 07850191 P-23460215 CPL Aviation - 80/100 --/-- 06/12/2023 PASS
Meteorology
503 07850192 P-19461560 CPL Technical Piper 84/100 --/-- 06/12/2023 PASS
Specific Seneca
P A-34
504 07850193 P-23462081 CPL Aviation - 82/100 --/-- 06/12/2023 PASS
Meteorology
505 07850194 P-23463789 CPL Aviation - 54/100 --/-- 06/12/2023 FAIL
Meteorology
506 07850195 P-23460843 CPL Aviation - 78/100 --/-- 06/12/2023 PASS
Meteorology
507 07850196 P-23463195 CPL Technical - 88/100 --/-- 06/12/2023 PASS
General
508 07850197 P-21461139 CPL Air - 50/100 --/-- 06/12/2023 FAIL
Regulation
509 07850198 P-23462009 CPL Air - 76/100 --/-- 06/12/2023 PASS
Navigation
510 07850198 P-23462009 CPL Air - 74/100 --/-- 06/12/2023 PASS
Regulation
511 07850199 P-23460200 CPL Air - 65/100 --/-- 06/12/2023 FAIL
Navigation
512 07850200 P-23463732 CPL Aviation - 80/100 --/-- 06/12/2023 PASS
Meteorology
513 07850201 P-23460594 CPL Technical - 69/100 --/-- 06/12/2023 FAIL
General
514 07850202 P-22463221 CPL Aviation - 64/100 --/-- 06/12/2023 FAIL
Meteorology

Wed Dec 06 2023 11:39:00 page 22 of 61


S.No Roll No Computer Lic. Subject Aircraft Obj Essay ResultDate Status
No Category Marks Marks
515 07850203 P-23463139 CPL Air - 53/100 --/-- 06/12/2023 FAIL
Navigation
516 07850204 P-23463366 CPL Aviation - 66/100 --/-- 06/12/2023 FAIL
Meteorology
517 07850205 P-23462954 CPL Aviation - 68/100 --/-- 06/12/2023 FAIL
Meteorology
518 07850206 P-22461565 CPL Aviation - 64/100 --/-- 06/12/2023 FAIL
Meteorology
519 07850207 P-23462983 CPL Aviation - 70/100 --/-- 06/12/2023 PASS
Meteorology
520 07850207 P-23462983 CPL Air - 80/100 --/-- 06/12/2023 PASS
Regulation
521 07850208 P-22461973 CPL Technical - 45/100 --/-- 06/12/2023 FAIL
General
522 07850209 P-23462755 CPL Air - 78/100 --/-- 06/12/2023 PASS
Regulation
523 07850210 P-23460469 CPL Technical Tecnam --/100 --/-- 06/12/2023 Absent
Specific P2008 JC
524 07850211 P-23462220 CPL Air - 68/100 --/-- 06/12/2023 FAIL
Regulation
525 07850212 P-22461099 CPL Air - 53/100 --/-- 06/12/2023 FAIL
Navigation
526 07850213 P-23460102 CPL Technical - 73/100 --/-- 06/12/2023 PASS
General
527 07850214 P-23462054 CPL Aviation - 66/100 --/-- 06/12/2023 FAIL
Meteorology
528 07850215 P-23463056 CPL Air - 81/100 --/-- 06/12/2023 PASS
Navigation
529 07850216 P-22460621 CPL Aviation - 72/100 --/-- 06/12/2023 PASS
Meteorology
530 07850217 P-23460343 CPL Air - 68/100 --/-- 06/12/2023 FAIL
Regulation
531 07850218 P-23462931 CPL Aviation - 52/100 --/-- 06/12/2023 FAIL
Meteorology
532 07850219 P-23460765 CPL Technical Cessna 80/100 --/-- 06/12/2023 PASS
Specific 172 R
533 07850220 P-23462924 CPL Aviation - --/100 --/-- 06/12/2023 Absent
Meteorology
534 07850221 P-23461741 CPL Aviation - 72/100 --/-- 06/12/2023 PASS
Meteorology
535 07850222 P-23461488 CPL Air - 80/100 --/-- 06/12/2023 PASS
Regulation
536 07850223 P-23463227 CPL Air - 68/100 --/-- 06/12/2023 FAIL
Regulation
537 07850224 P-23462006 CPL Aviation - 72/100 --/-- 06/12/2023 PASS
Meteorology
538 07850225 P-23463457 CPL Aviation - 54/100 --/-- 06/12/2023 FAIL
Meteorology

Wed Dec 06 2023 11:39:00 page 23 of 61


S.No Roll No Computer Lic. Subject Aircraft Obj Essay ResultDate Status
No Category Marks Marks
539 07850226 P-22462655 CPL Air - 38/100 --/-- 06/12/2023 FAIL
Regulation
540 07850227 P-23462573 CPL Air - 64/100 --/-- 06/12/2023 FAIL
Regulation
541 07850227 P-23462573 CPL Technical - 79/100 --/-- 06/12/2023 PASS
General
542 07850228 P-21460491 CPL Technical Cessna 68/100 --/-- 06/12/2023 FAIL
Specific 172 R
543 07850229 P-23463901 CPL Technical - --/100 --/-- 06/12/2023 Absent
General
544 07850230 P-23463644 CPL Aviation - 62/100 --/-- 06/12/2023 FAIL
Meteorology
545 07850231 P-23463612 CPL Aviation - 94/100 --/-- 06/12/2023 PASS
Meteorology
546 07850231 P-23463612 CPL Technical - 94/100 --/-- 06/12/2023 PASS
General
547 07850232 P-23463256 CPL Aviation - 82/100 --/-- 06/12/2023 PASS
Meteorology
548 07850233 P-23463142 CPL Technical Cessna 78/100 --/-- 06/12/2023 PASS
Specific 172 R
549 07850234 P-23460186 CPL Aviation - 70/100 --/-- 06/12/2023 PASS
Meteorology
550 07850235 P-23461386 CPL Air - 73/100 --/-- 06/12/2023 PASS
Navigation
551 07850236 P-23462097 CPL Aviation - 62/100 --/-- 06/12/2023 FAIL
Meteorology
552 07850237 P-23462410 CPL Air - 79/100 --/-- 06/12/2023 PASS
Navigation
553 07850237 P-23462410 CPL Air - --/100 --/-- 06/12/2023 Absent
Regulation
554 07850238 P-23461399 CPL Aviation - 66/100 --/-- 06/12/2023 FAIL
Meteorology
555 07850239 P-22462579 CPL Air - 72/100 --/-- 06/12/2023 PASS
Regulation
556 07850240 P-19460266 CPL Air - 79/100 --/-- 06/12/2023 PASS
Navigation
557 07850241 P-23463090 CPL Air - 87/100 --/-- 06/12/2023 PASS
Navigation
558 07850242 P-23463315 CPL Technical - 65/100 --/-- 06/12/2023 FAIL
General
559 07850243 P-23462540 CPL Air - 64/100 --/-- 06/12/2023 FAIL
Regulation
560 07850244 P-23460519 CPL Aviation - 62/100 --/-- 06/12/2023 FAIL
Meteorology
561 07850245 P-23463594 CPL Aviation - 80/100 --/-- 06/12/2023 PASS
Meteorology
562 07850246 P-23461882 CPL Air - 68/100 --/-- 06/12/2023 FAIL
Navigation

Wed Dec 06 2023 11:39:00 page 24 of 61


S.No Roll No Computer Lic. Subject Aircraft Obj Essay ResultDate Status
No Category Marks Marks
563 07850247 P-21462486 CPL Air - 62/100 --/-- 06/12/2023 FAIL
Navigation
564 07850248 P-23463588 CPL Air - 64/100 --/-- 06/12/2023 FAIL
Regulation
565 07850249 P-23461069 CPL Aviation - 70/100 --/-- 06/12/2023 PASS
Meteorology
566 07850250 P-23463205 CPL Aviation - 76/100 --/-- 06/12/2023 PASS
Meteorology
567 07850250 P-23463205 CPL Air - 88/100 --/-- 06/12/2023 PASS
Regulation
568 07850251 P-23463424 CPL Air - --/100 --/-- 06/12/2023 Absent
Regulation
569 07850252 P-22460067 CPL Air - 72/100 --/-- 06/12/2023 PASS
Navigation
570 07850253 P-23460263 CPL Air - 64/100 --/-- 06/12/2023 FAIL
Regulation
571 07850254 P-10032735 CPL Aviation - --/100 --/-- 06/12/2023 Absent
Meteorology
572 07850255 P-23463800 CPL Air - 66/100 --/-- 06/12/2023 FAIL
Regulation
573 07850256 P-23463585 CPL Aviation - 78/100 --/-- 06/12/2023 PASS
Meteorology
574 07850257 P-07025126 CPL Aviation - 72/100 --/-- 06/12/2023 PASS
Meteorology
575 07850258 P-23462630 CPL Aviation - 82/100 --/-- 06/12/2023 PASS
Meteorology
576 07850259 P-22460544 PPL Composite - --/100 --/-- 06/12/2023 Absent
577 07850260 P-23463681 CPL Aviation - 76/100 --/-- 06/12/2023 PASS
Meteorology
578 07850261 P-23462907 CPL Technical - 71/100 --/-- 06/12/2023 PASS
General
579 07850262 P-23463857 CPL Aviation - 82/100 --/-- 06/12/2023 PASS
Meteorology
580 07850263 P-23464072 CPL Aviation - --/100 --/-- 06/12/2023 Absent
Meteorology
581 07850264 P-21461327 CPL Aviation - 88/100 --/-- 06/12/2023 PASS
Meteorology
582 07850265 P-23463389 CPL Aviation - 58/100 --/-- 06/12/2023 FAIL
Meteorology
583 07850266 P-23462452 CPL Air - 77/100 --/-- 06/12/2023 PASS
Navigation
584 07850267 P-23460608 CPL Aviation - 76/100 --/-- 06/12/2023 PASS
Meteorology
585 07850268 P-23462394 CPL Air - 69/100 --/-- 06/12/2023 FAIL
Navigation
586 07850269 P-21462352 CPL Aviation - 68/100 --/-- 06/12/2023 FAIL
Meteorology

Wed Dec 06 2023 11:39:00 page 25 of 61


S.No Roll No Computer Lic. Subject Aircraft Obj Essay ResultDate Status
No Category Marks Marks
587 07850270 P-23462746 CPL Aviation - 52/100 --/-- 06/12/2023 FAIL
Meteorology
588 07850271 P-23463574 CPLCG Air - 84/100 --/-- 06/12/2023 PASS
(Defence) Regulation
589 07850271 P-23463574 CPLCG Technical Cessna 80/100 --/-- 06/12/2023 PASS
(Defence) Specific 172 R
590 07850272 P-23460304 CPL Technical - 68/100 --/-- 06/12/2023 FAIL
General
591 07850273 P-22462186 CPL Air - 72/100 --/-- 06/12/2023 PASS
Regulation
592 07850274 P-22462050 CPL Technical Cessna 64/100 --/-- 06/12/2023 FAIL
Specific 152 A
593 07850275 P-19460753 CPL Technical Tecnam 74/100 --/-- 06/12/2023 PASS
Specific P2010TDI
594 07850276 P-23460578 CPL Aviation - 80/100 --/-- 06/12/2023 PASS
Meteorology
595 07850277 P-20460210 CPL Technical - 70/100 --/-- 06/12/2023 PASS
General
596 07850278 P-23463873 CPL Air - 59/100 --/-- 06/12/2023 FAIL
Navigation
597 07850279 P-23461151 CPL Aviation - 66/100 --/-- 06/12/2023 FAIL
Meteorology
598 07850280 P-22462946 CPL Aviation - 68/100 --/-- 06/12/2023 FAIL
Meteorology
599 07850281 P-21461374 CPL Technical P-68 C 68/100 --/-- 06/12/2023 FAIL
Specific
600 07850282 P-23461743 CPL Aviation - 56/100 --/-- 06/12/2023 FAIL
Meteorology
601 07850282 P-23461743 CPL Air - 64/100 --/-- 06/12/2023 FAIL
Regulation
602 07850283 P-23460996 CPL Technical - 74/100 --/-- 06/12/2023 PASS
General
603 07850284 P-21460145 CPL Air - 64/100 --/-- 06/12/2023 FAIL
Regulation
604 07850285 P-23463672 CPL Aviation - 80/100 --/-- 06/12/2023 PASS
Meteorology
605 07850286 P-23463578 CPL Aviation - 78/100 --/-- 06/12/2023 PASS
Meteorology
606 07850286 P-23463578 CPL Air - 78/100 --/-- 06/12/2023 PASS
Regulation
607 07850287 P-23463238 CPL Air - 56/100 --/-- 06/12/2023 FAIL
Navigation
608 07850287 P-23463238 CPL Aviation - 68/100 --/-- 06/12/2023 FAIL
Meteorology
609 07850287 P-23463238 CPL Air - 60/100 --/-- 06/12/2023 FAIL
Regulation
610 07850288 P-23461301 CPL Air - 74/100 --/-- 06/12/2023 PASS
Navigation

Wed Dec 06 2023 11:39:00 page 26 of 61


S.No Roll No Computer Lic. Subject Aircraft Obj Essay ResultDate Status
No Category Marks Marks
611 07850289 P-22463364 CPL Air - 62/100 --/-- 06/12/2023 FAIL
Regulation
612 07850290 P-23463524 CPL Air - 50/100 --/-- 06/12/2023 FAIL
Regulation
613 07850291 P-23462457 CPL Air - 76/100 --/-- 06/12/2023 PASS
Regulation
614 07850292 P-23463792 CPL Aviation - 72/100 --/-- 06/12/2023 PASS
Meteorology
615 07850293 P-21461509 CPL Air - 80/100 --/-- 06/12/2023 PASS
Navigation
616 07850294 P-23460363 CPL Technical - 82/100 --/-- 06/12/2023 PASS
General
617 07850295 P-23462389 CPL Aviation - 78/100 --/-- 06/12/2023 PASS
Meteorology
618 07850296 P-23463707 CPL Air - 46/100 --/-- 06/12/2023 FAIL
Navigation
619 07850296 P-23463707 CPL Aviation - 50/100 --/-- 06/12/2023 FAIL
Meteorology
620 07850296 P-23463707 CPL Air - 54/100 --/-- 06/12/2023 FAIL
Regulation
621 07850297 P-23460448 CPL Air - 58/100 --/-- 06/12/2023 FAIL
Navigation
622 07850298 P-23464089 CPL Aviation - 74/100 --/-- 06/12/2023 PASS
Meteorology
623 07850299 P-23463569 CPL Air - 58/100 --/-- 06/12/2023 FAIL
Regulation
624 07850300 P-23462757 CPL Air - 72/100 --/-- 06/12/2023 PASS
Navigation
625 07850301 P-23461535 CPL Aviation - 60/100 --/-- 06/12/2023 FAIL
Meteorology
626 07850302 P-23460717 CPL Air - 64/100 --/-- 06/12/2023 FAIL
Regulation
627 07850303 P-23462342 CPL Aviation - 70/100 --/-- 06/12/2023 PASS
Meteorology
628 07850304 P-23463926 CPL Aviation - 92/100 --/-- 06/12/2023 PASS
Meteorology
629 07850305 P-23464142 CPL Air - 46/100 --/-- 06/12/2023 FAIL
Navigation
630 07850306 P-23462858 CPL Air - 83/100 --/-- 06/12/2023 PASS
Navigation
631 07850307 P-23460232 CPL Aviation - 70/100 --/-- 06/12/2023 PASS
Meteorology
632 07850308 P-23463874 CPL Air - 66/100 --/-- 06/12/2023 FAIL
Navigation
633 07850309 P-21461093 CPL Technical Cessna 78/100 --/-- 06/12/2023 PASS
Specific 172 R
634 07850310 P-23463531 CPL Aviation - 58/100 --/-- 06/12/2023 FAIL
Meteorology

Wed Dec 06 2023 11:39:00 page 27 of 61


S.No Roll No Computer Lic. Subject Aircraft Obj Essay ResultDate Status
No Category Marks Marks
635 07850311 P-22463093 CPL Air - 65/100 --/-- 06/12/2023 FAIL
Navigation
636 07850312 P-23461814 CPL Air - 78/100 --/-- 06/12/2023 PASS
Regulation
637 07850313 P-23462884 CPL Air - 78/100 --/-- 06/12/2023 PASS
Navigation
638 07850314 P-23460945 CPL Air - 70/100 --/-- 06/12/2023 PASS
Navigation
639 07850315 P-23462664 CPL Air - 66/100 --/-- 06/12/2023 FAIL
Regulation
640 07850316 P-23463479 CPL Aviation - 74/100 --/-- 06/12/2023 PASS
Meteorology
641 07850317 P-22463207 CPL Aviation - --/100 --/-- 06/12/2023 Absent
Meteorology
642 07850318 P-23460375 CPL Aviation - 84/100 --/-- 06/12/2023 PASS
Meteorology
643 07850319 P-23460026 CPL Aviation - 72/100 --/-- 06/12/2023 PASS
Meteorology
644 07850320 P-20460371 CPL Air - 83/100 --/-- 06/12/2023 PASS
Navigation
645 07850321 P-23463690 CPL Aviation - 72/100 --/-- 06/12/2023 PASS
Meteorology
646 07850322 P-22462553 CPL Technical Tecnam 100/100 --/-- 06/12/2023 PASS
Specific P2008 JC
647 07850323 P-22461094 CPL Aviation - 52/100 --/-- 06/12/2023 FAIL
Meteorology
648 07850324 P-23460891 CPL Air - 66/100 --/-- 06/12/2023 FAIL
Regulation
649 07850325 P-21462104 CPLCG Air - 68/100 --/-- 06/12/2023 FAIL
(Conversion) Navigation
Comp
650 07850326 P-22462478 CPL Aviation - 72/100 --/-- 06/12/2023 PASS
Meteorology
651 07850327 P-23463842 CPL Aviation - 94/100 --/-- 06/12/2023 PASS
Meteorology
652 07850328 P-20460415 CPL Aviation - 68/100 --/-- 06/12/2023 FAIL
Meteorology
653 07850329 P-23464090 CPL Aviation - 74/100 --/-- 06/12/2023 PASS
Meteorology
654 07850330 P-23460431 CPL Air - 50/100 --/-- 06/12/2023 FAIL
Regulation
655 07850331 P-23463196 CPL Aviation - 76/100 --/-- 06/12/2023 PASS
Meteorology
656 07850332 P-23462175 CPL Aviation - 84/100 --/-- 06/12/2023 PASS
Meteorology
657 07850333 P-22460516 CPL Technical - 65/100 --/-- 06/12/2023 FAIL
General

Wed Dec 06 2023 11:39:00 page 28 of 61


S.No Roll No Computer Lic. Subject Aircraft Obj Essay ResultDate Status
No Category Marks Marks
658 07850334 P-23460995 CPL Air - --/100 --/-- 06/12/2023 Absent
Navigation
659 07850335 P-21462090 CPL Technical - 57/100 --/-- 06/12/2023 FAIL
General
660 07850336 P-23463026 CPL Air - 61/100 --/-- 06/12/2023 FAIL
Navigation
661 07850337 P-21462154 CPL Technical - 69/100 --/-- 06/12/2023 FAIL
General
662 07850338 P-23461625 CPL Technical TECNAM 74/100 --/-- 06/12/2023 PASS
Specific P2006T
663 07850339 P-22462466 CPL Aviation - 62/100 --/-- 06/12/2023 FAIL
Meteorology
664 07850340 P-23464152 CPL Aviation - 70/100 --/-- 06/12/2023 PASS
Meteorology
665 07850341 P-23464031 CPL Air - 76/100 --/-- 06/12/2023 PASS
Regulation
666 07850342 P-23461279 CPL Technical Cessna 64/100 --/-- 06/12/2023 FAIL
Specific 172 R
667 07850343 P-23463264 CPL Aviation - 78/100 --/-- 06/12/2023 PASS
Meteorology
668 07850344 P-23460408 CPL Air - 79/100 --/-- 06/12/2023 PASS
Navigation
669 07850345 P-23462886 CPL Air - 76/100 --/-- 06/12/2023 PASS
Navigation
670 07850346 P-23463345 CPL Aviation - 68/100 --/-- 06/12/2023 FAIL
Meteorology
671 07850347 P-23463491 CPL Aviation - 80/100 --/-- 06/12/2023 PASS
Meteorology
672 07850348 P-23460060 CPL Air - 51/100 --/-- 06/12/2023 FAIL
Navigation
673 07850349 P-23463550 CPL Aviation - 66/100 --/-- 06/12/2023 FAIL
Meteorology
674 07850350 P-21462327 CPL Technical - 77/100 --/-- 06/12/2023 PASS
General
675 07850351 P-23460660 CPL Technical - 80/100 --/-- 06/12/2023 PASS
General
676 07850352 P-22462646 CPL Aviation - 56/100 --/-- 06/12/2023 FAIL
Meteorology
677 07850353 P-22463059 CPL Aviation - 66/100 --/-- 06/12/2023 FAIL
Meteorology
678 07850354 P-23462904 CPL Aviation - 54/100 --/-- 06/12/2023 FAIL
Meteorology
679 07850355 P-18454278 CPL Technical - --/100 --/-- 06/12/2023 Absent
General
680 07850356 P-23462040 CPL Air - 80/100 --/-- 06/12/2023 PASS
Regulation
681 07850357 P-23463503 CPL Aviation - 76/100 --/-- 06/12/2023 PASS
Meteorology

Wed Dec 06 2023 11:39:00 page 29 of 61


S.No Roll No Computer Lic. Subject Aircraft Obj Essay ResultDate Status
No Category Marks Marks
682 07850358 P-23463418 CPL Air - 69/100 --/-- 06/12/2023 FAIL
Navigation
683 07850359 P-23461004 CPL Technical Cessna 64/100 --/-- 06/12/2023 FAIL
Specific 172 R
684 07850360 P-23463710 CPL Aviation - 90/100 --/-- 06/12/2023 PASS
Meteorology
685 07850361 P-23463153 CPL Aviation - 74/100 --/-- 06/12/2023 PASS
Meteorology
686 07850362 P-22461426 CPL Air - 82/100 --/-- 06/12/2023 PASS
Navigation
687 07850363 P-19460117 CPL Technical - 46/100 --/-- 06/12/2023 FAIL
General
688 07850364 P-23461285 CPL Air - 61/100 --/-- 06/12/2023 FAIL
Navigation
689 07850365 P-23464143 CPL Aviation - 76/100 --/-- 06/12/2023 PASS
Meteorology
690 07850366 P-23460855 CPL Technical - 69/100 --/-- 06/12/2023 FAIL
General
691 07850367 P-23462028 CPL Air - 64/100 --/-- 06/12/2023 FAIL
Regulation
692 07850368 P-23463796 CPL Air - 75/100 --/-- 06/12/2023 PASS
Navigation
693 07850369 P-23462425 CPL Aviation - 50/100 --/-- 06/12/2023 FAIL
Meteorology
694 07850370 P-23461881 CPL Air - 65/100 --/-- 06/12/2023 FAIL
Navigation
695 07850371 P-23460994 CPL Aviation - 56/100 --/-- 06/12/2023 FAIL
Meteorology
696 07850372 P-23462629 CPL Air - 70/100 --/-- 06/12/2023 PASS
Regulation
697 07850373 P-23461690 CPL Aviation - 88/100 --/-- 06/12/2023 PASS
Meteorology
698 07850374 P-23463165 CPL Aviation - 62/100 --/-- 06/12/2023 FAIL
Meteorology
699 07850375 P-23462401 CPL Air - 70/100 --/-- 06/12/2023 PASS
Regulation
700 07850376 P-23463084 PPL Technical Cessna 86/100 --/-- 06/12/2023 PASS
Specific 172 R
701 07850377 P-23462643 CPL Air - 81/100 --/-- 06/12/2023 PASS
Navigation
702 07850377 P-23462643 CPL Aviation - 74/100 --/-- 06/12/2023 PASS
Meteorology
703 07850378 P-23461652 CPL Air - 68/100 --/-- 06/12/2023 FAIL
Navigation
704 07850379 P-23463190 CPL Technical - 73/100 --/-- 06/12/2023 PASS
General
705 07850380 P-23461529 CPL Air - 63/100 --/-- 06/12/2023 FAIL
Navigation

Wed Dec 06 2023 11:39:00 page 30 of 61


S.No Roll No Computer Lic. Subject Aircraft Obj Essay ResultDate Status
No Category Marks Marks
706 07850381 P-23462461 CPL Air - 77/100 --/-- 06/12/2023 PASS
Navigation
707 07850382 P-23461071 CPL Air - 54/100 --/-- 06/12/2023 FAIL
Navigation
708 07850383 P-23460819 CPL Air - 72/100 --/-- 06/12/2023 PASS
Navigation
709 07850384 P-23462830 CPL Aviation - 76/100 --/-- 06/12/2023 PASS
Meteorology
710 07850385 P-23463595 CPL Air - 86/100 --/-- 06/12/2023 PASS
Navigation
711 07850386 P-23463474 CPL Aviation - 58/100 --/-- 06/12/2023 FAIL
Meteorology
712 07850387 P-23460250 CPL Technical Cessna 54/100 --/-- 06/12/2023 FAIL
Specific 172 R
713 07850388 P-06023520 CPL Aviation - 50/100 --/-- 06/12/2023 FAIL
Meteorology
714 07850389 P-23463888 CPL Air - 61/100 --/-- 06/12/2023 FAIL
Navigation
715 07850390 P-23463170 CPL Air - 80/100 --/-- 06/12/2023 PASS
Navigation
716 07850391 P-23461305 CPL Air - 79/100 --/-- 06/12/2023 PASS
Navigation
717 07850392 P-22460325 PPL Composite - 72/100 --/-- 06/12/2023 PASS
718 07850393 P-23461139 CPL Aviation - 70/100 --/-- 06/12/2023 PASS
Meteorology
719 07850394 P-23462058 CPL Air - 76/100 --/-- 06/12/2023 PASS
Regulation
720 07850395 P-23462849 CPL Aviation - 58/100 --/-- 06/12/2023 FAIL
Meteorology
721 07850396 P-23463936 CPL Air - 54/100 --/-- 06/12/2023 FAIL
Navigation
722 07850396 P-23463936 CPL Air - 58/100 --/-- 06/12/2023 FAIL
Regulation
723 07850397 P-17452567 CPL Air - 72/100 --/-- 06/12/2023 PASS
Navigation
724 07850397 P-17452567 CPL Air - 80/100 --/-- 06/12/2023 PASS
Regulation
725 07850398 P-23462885 CPL Air - 81/100 --/-- 06/12/2023 PASS
Navigation
726 07850399 P-21460442 CPL Aviation - 54/100 --/-- 06/12/2023 FAIL
Meteorology
727 07850400 P-22462399 CPL Aviation - 54/100 --/-- 06/12/2023 FAIL
Meteorology
728 07850401 P-23461003 CPL Technical Cessna 66/100 --/-- 06/12/2023 FAIL
Specific 172 R
729 07850402 P-23462412 CPL Air - 59/100 --/-- 06/12/2023 FAIL
Navigation

Wed Dec 06 2023 11:39:00 page 31 of 61


S.No Roll No Computer Lic. Subject Aircraft Obj Essay ResultDate Status
No Category Marks Marks
730 07850403 P-23463884 CPL Aviation - 54/100 --/-- 06/12/2023 FAIL
Meteorology
731 07850404 P-22460903 CPL Technical Piper 80/100 --/-- 06/12/2023 PASS
Specific Seneca
P A-34
732 07850405 P-23460758 CPL Air - 64/100 --/-- 06/12/2023 FAIL
Regulation
733 07850406 P-23463799 CPL Aviation - 72/100 --/-- 06/12/2023 PASS
Meteorology
734 07850407 P-23463544 CPL Aviation - 90/100 --/-- 06/12/2023 PASS
Meteorology
735 07850408 P-22462623 CPL Technical Cessna 76/100 --/-- 06/12/2023 PASS
Specific 172 R
736 07850409 P-23462335 CPL Aviation - 68/100 --/-- 06/12/2023 FAIL
Meteorology
737 07850410 P-21462301 CPL Technical - 79/100 --/-- 06/12/2023 PASS
General
738 07850411 P-23463705 CPL Aviation - 84/100 --/-- 06/12/2023 PASS
Meteorology
739 07850411 P-23463705 CPL Technical - 82/100 --/-- 06/12/2023 PASS
General
740 07850412 P-20460601 CPL Technical P-68 C 92/100 --/-- 06/12/2023 PASS
Specific
741 07850413 P-23461318 CPL Air - 74/100 --/-- 06/12/2023 PASS
Regulation
742 07850414 P-21461151 CPL Technical Cessna 92/100 --/-- 06/12/2023 PASS
Specific 152 A
743 07850415 P-18454306 CPL Air - 79/100 --/-- 06/12/2023 PASS
Navigation
744 07850416 P-23463458 CPL Aviation - 82/100 --/-- 06/12/2023 PASS
Meteorology
745 07850417 P-23460573 CPL Aviation - 70/100 --/-- 06/12/2023 PASS
Meteorology
746 07850418 P-22462073 CPL Aviation - 66/100 --/-- 06/12/2023 FAIL
Meteorology
747 07850419 P-19460558 CPL Air - 79/100 --/-- 06/12/2023 PASS
Navigation
748 07850420 P-23462744 CPL Air - 45/100 --/-- 06/12/2023 FAIL
Navigation
749 07850421 P-22461995 CPL Air - 66/100 --/-- 06/12/2023 FAIL
Regulation
750 07850422 P-23464083 CPL Aviation - 78/100 --/-- 06/12/2023 PASS
Meteorology
751 07850423 P-18455471 CPL Air - 78/100 --/-- 06/12/2023 PASS
Navigation
752 07850424 P-23462605 CPL Air - 73/100 --/-- 06/12/2023 PASS
Navigation

Wed Dec 06 2023 11:39:00 page 32 of 61


S.No Roll No Computer Lic. Subject Aircraft Obj Essay ResultDate Status
No Category Marks Marks
753 07850425 P-23463322 CPL Air - 82/100 --/-- 06/12/2023 PASS
Navigation
754 07850426 P-23460813 CPL Air - 68/100 --/-- 06/12/2023 FAIL
Regulation
755 07850427 P-23463005 CPL Air - 52/100 --/-- 06/12/2023 FAIL
Navigation
756 07850428 P-09030012 CPL Technical - 53/100 --/-- 06/12/2023 FAIL
General
757 07850429 P-23462724 CPL Air - 54/100 --/-- 06/12/2023 FAIL
Regulation
758 07850430 P-22462580 CPL Air - 59/100 --/-- 06/12/2023 FAIL
Navigation
759 07850431 P-23462428 CPL Air - --/100 --/-- 06/12/2023 Absent
Regulation
760 07850432 P-23463046 CPL Aviation - 88/100 --/-- 06/12/2023 PASS
Meteorology
761 07850433 P-22461964 CPL Aviation - 66/100 --/-- 06/12/2023 FAIL
Meteorology
762 07850434 P-23460710 CPL Air - 68/100 --/-- 06/12/2023 FAIL
Regulation
763 07850435 P-23462446 CPL Air - 73/100 --/-- 06/12/2023 PASS
Navigation
764 07850436 P-21460438 CPL Air - --/100 --/-- 06/12/2023 Absent
Regulation
765 07850436 P-21460438 CPL Technical - 75/100 --/-- 06/12/2023 PASS
General
766 07850437 P-23461298 CPL Aviation - 94/100 --/-- 06/12/2023 PASS
Meteorology
767 07850438 P-23460510 CPL Air - 82/100 --/-- 06/12/2023 PASS
Regulation
768 07850439 P-23461653 CPL Air - 72/100 --/-- 06/12/2023 PASS
Regulation
769 07850440 P-21461605 CPL Technical - 76/100 --/-- 06/12/2023 PASS
General
770 08850001 P-23463783 CPL Aviation - 80/100 --/-- 06/12/2023 PASS
Meteorology
771 08850002 P-23463706 CPL Aviation - 70/100 --/-- 06/12/2023 PASS
Meteorology
772 08850003 P-23461671 CPL Technical Tecnam 92/100 --/-- 06/12/2023 PASS
Specific P2008 JC
773 08850004 P-21462312 CPL Aviation - --/100 --/-- 06/12/2023 Absent
Meteorology
774 08850004 P-21462312 CPL Technical - --/100 --/-- 06/12/2023 Absent
General
775 08850005 P-23462026 CPL Aviation - 64/100 --/-- 06/12/2023 FAIL
Meteorology
776 08850006 P-23463832 CPL Aviation - 70/100 --/-- 06/12/2023 PASS
Meteorology

Wed Dec 06 2023 11:39:00 page 33 of 61


S.No Roll No Computer Lic. Subject Aircraft Obj Essay ResultDate Status
No Category Marks Marks
777 08850007 P-23460998 CPL Technical - --/100 --/-- 06/12/2023 Absent
General
778 08850008 P-23462161 CPL Aviation - 54/100 --/-- 06/12/2023 FAIL
Meteorology
779 08850009 P-21461188 CPL Technical Beech --/100 --/-- 06/12/2023 Absent
Specific Baron
G 58
780 08850010 P-21461474 CPL Technical - 77/100 --/-- 06/12/2023 PASS
General
781 08850011 P-23463120 CPL Air - 82/100 --/-- 06/12/2023 PASS
Navigation
782 08850012 P-23461687 CPL Aviation - 78/100 --/-- 06/12/2023 PASS
Meteorology
783 08850013 P-23461083 CPL Air - 66/100 --/-- 06/12/2023 FAIL
Navigation
784 08850014 P-20460829 CPL Aviation - 66/100 --/-- 06/12/2023 FAIL
Meteorology
785 08850014 P-20460829 CPL Air - 64/100 --/-- 06/12/2023 FAIL
Regulation
786 08850015 P-22463231 CPL Aviation - --/100 --/-- 06/12/2023 Absent
Meteorology
787 08850016 P-23460778 CPL Aviation - 58/100 --/-- 06/12/2023 FAIL
Meteorology
788 08850017 P-23463995 CPL Aviation - 68/100 --/-- 06/12/2023 FAIL
Meteorology
789 08850018 P-15450921 CPL Technical - 58/100 --/-- 06/12/2023 FAIL
General
790 08850019 P-23462549 CPL Aviation - 50/100 --/-- 06/12/2023 FAIL
Meteorology
791 08850020 P-23462921 CPL Air - 78/100 --/-- 06/12/2023 PASS
Navigation
792 08850021 P-23461712 CPL Aviation - --/100 --/-- 06/12/2023 Absent
Meteorology
793 08850022 P-22461418 CPL Technical Cessna 66/100 --/-- 06/12/2023 FAIL
Specific 172 R
794 08850023 P-23463253 CPL Air - 72/100 --/-- 06/12/2023 PASS
Regulation
795 08850024 P-23463434 CPL Air - 72/100 --/-- 06/12/2023 PASS
Regulation
796 08850025 P-23463164 CPL Aviation - 70/100 --/-- 06/12/2023 PASS
Meteorology
797 08850026 P-22461754 CPL Air - 33/100 --/-- 06/12/2023 FAIL
Navigation
798 08850026 P-22461754 CPL Air - 82/100 --/-- 06/12/2023 PASS
Regulation
799 08850027 P-22461865 CPL Technical - --/100 --/-- 06/12/2023 Absent
General

Wed Dec 06 2023 11:39:00 page 34 of 61


S.No Roll No Computer Lic. Subject Aircraft Obj Essay ResultDate Status
No Category Marks Marks
800 08850028 P-23461221 CPL Air - 58/100 --/-- 06/12/2023 FAIL
Navigation
801 08850028 P-23461221 CPL Air - 62/100 --/-- 06/12/2023 FAIL
Regulation
802 08850029 P-22462673 CPL Technical - --/100 --/-- 06/12/2023 Absent
General
803 08850030 P-18454337 CPL Air - 82/100 --/-- 06/12/2023 PASS
Regulation
804 08850031 P-23462698 CPL Air - 85/100 --/-- 06/12/2023 PASS
Navigation
805 08850032 P-22462188 CPL Air - 77/100 --/-- 06/12/2023 PASS
Navigation
806 08850033 P-22462978 CPL Air - 58/100 --/-- 06/12/2023 FAIL
Navigation
807 08850034 P-22461347 CPL Air - 75/100 --/-- 06/12/2023 PASS
Navigation
808 08850035 P-22460226 CPL Technical - 72/100 --/-- 06/12/2023 PASS
General
809 08850036 P-23463490 CPL Aviation - 84/100 --/-- 06/12/2023 PASS
Meteorology
810 08850037 P-23462232 CPL Aviation - 72/100 --/-- 06/12/2023 PASS
Meteorology
811 08850038 P-09030656 CPL Aviation - 62/100 --/-- 06/12/2023 FAIL
Meteorology
812 08850039 P-23462880 CPL Air - 70/100 --/-- 06/12/2023 PASS
Regulation
813 08850040 P-22460876 CPL Air - 82/100 --/-- 06/12/2023 PASS
Regulation
814 08850041 P-21461434 CPL Air - 68/100 --/-- 06/12/2023 FAIL
Navigation
815 08850042 P-23463717 CPL Aviation - 68/100 --/-- 06/12/2023 FAIL
Meteorology
816 08850043 P-23461113 CPL Air - 62/100 --/-- 06/12/2023 FAIL
Regulation
817 08850044 P-23462760 CPL Aviation - 50/100 --/-- 06/12/2023 FAIL
Meteorology
818 08850045 P-23462347 CPL Air - 79/100 --/-- 06/12/2023 PASS
Navigation
819 08850046 P-15450577 CPL Technical - --/100 --/-- 06/12/2023 Absent
General
820 08850047 P-19460001 CPL Air - 57/100 --/-- 06/12/2023 FAIL
Navigation
821 08850048 P-22461266 CPL Aviation - 74/100 --/-- 06/12/2023 PASS
Meteorology
822 08850049 P-23463713 CPL Aviation - --/100 --/-- 06/12/2023 Absent
Meteorology
823 08850050 P-23461395 CPL Air - --/100 --/-- 06/12/2023 Absent
Navigation

Wed Dec 06 2023 11:39:00 page 35 of 61


S.No Roll No Computer Lic. Subject Aircraft Obj Essay ResultDate Status
No Category Marks Marks
824 08850051 P-23461862 CPL Aviation - --/100 --/-- 06/12/2023 Absent
Meteorology
825 08850051 P-23461862 CPL Air - --/100 --/-- 06/12/2023 Absent
Regulation
826 08850052 P-19463143 CPL Technical Diamond 96/100 --/-- 06/12/2023 PASS
Specific DA-42
Thielert
827 08850053 P-22462801 CPL Air - 75/100 --/-- 06/12/2023 PASS
Navigation
828 08850054 P-23462450 CPL Aviation - 78/100 --/-- 06/12/2023 PASS
Meteorology
829 08850054 P-23462450 CPL Air - 80/100 --/-- 06/12/2023 PASS
Regulation
830 08850055 P-23463055 CPL Air - 65/100 --/-- 06/12/2023 FAIL
Navigation
831 08850055 P-23463055 CPL Air - 58/100 --/-- 06/12/2023 FAIL
Regulation
832 08850056 P-22461024 CPL Technical - 69/100 --/-- 06/12/2023 FAIL
General
833 08850057 P-23463484 CPL Air - 76/100 --/-- 06/12/2023 PASS
Regulation
834 08850058 P-23463183 CPL Aviation - 86/100 --/-- 06/12/2023 PASS
Meteorology
835 08850059 P-23462541 CPL Air - 80/100 --/-- 06/12/2023 PASS
Regulation
836 08850060 P-23463533 CPL Air - 84/100 --/-- 06/12/2023 PASS
Navigation
837 08850061 P-23463176 CPL Technical - 66/100 --/-- 06/12/2023 FAIL
General
838 08850061 P-23463176 CPL Technical Tecnam 94/100 --/-- 06/12/2023 PASS
Specific P2008 JC
839 08850062 P-22461745 CPL Air - 88/100 --/-- 06/12/2023 PASS
Navigation
840 08850063 P-22462518 CPL Air - 54/100 --/-- 06/12/2023 FAIL
Navigation
841 08850064 P-23462693 CPL Air - 83/100 --/-- 06/12/2023 PASS
Navigation
842 08850065 P-22461833 CPL Air - 72/100 --/-- 06/12/2023 PASS
Navigation
843 08850066 P-23463564 CPL Aviation - 64/100 --/-- 06/12/2023 FAIL
Meteorology
844 08850067 P-23463180 CPL Aviation - 80/100 --/-- 06/12/2023 PASS
Meteorology
845 08850068 P-20460378 CPL Aviation - 60/100 --/-- 06/12/2023 FAIL
Meteorology
846 08850069 P-17453944 CPL Air - 76/100 --/-- 06/12/2023 PASS
Regulation

Wed Dec 06 2023 11:39:00 page 36 of 61


S.No Roll No Computer Lic. Subject Aircraft Obj Essay ResultDate Status
No Category Marks Marks
847 08850070 P-23461836 CPL Aviation - 62/100 --/-- 06/12/2023 FAIL
Meteorology
848 08850071 P-23463659 CPL Aviation - 76/100 --/-- 06/12/2023 PASS
Meteorology
849 08850072 P-23462445 CPL Technical - 83/100 --/-- 06/12/2023 PASS
General
850 17850001 P-19460011 CPL Technical - 80/100 --/-- 06/12/2023 PASS
General
851 17850002 P-22463293 CPL Air - 58/100 --/-- 06/12/2023 FAIL
Navigation
852 17850003 P-23463637 CPL Aviation - 86/100 --/-- 06/12/2023 PASS
Meteorology
853 17850004 P-23461997 CPL Air - 66/100 --/-- 06/12/2023 FAIL
Regulation
854 17850005 P-23462846 CPL Air - 83/100 --/-- 06/12/2023 PASS
Navigation
855 17850006 P-22460803 CPL Aviation - 64/100 --/-- 06/12/2023 FAIL
Meteorology
856 17850006 P-22460803 CPL Air - 60/100 --/-- 06/12/2023 FAIL
Regulation
857 17850007 P-23462824 CPL Air - 58/100 --/-- 06/12/2023 FAIL
Navigation
858 17850007 P-23462824 CPL Aviation - 46/100 --/-- 06/12/2023 FAIL
Meteorology
859 17850008 P-23461940 CPL Air - 73/100 --/-- 06/12/2023 PASS
Navigation
860 17850009 P-23463053 CPL Aviation - 84/100 --/-- 06/12/2023 PASS
Meteorology
861 17850010 P-23461307 CPL Technical - 64/100 --/-- 06/12/2023 FAIL
General
862 17850011 P-23461484 CPL Aviation - 70/100 --/-- 06/12/2023 PASS
Meteorology
863 17850012 P-23464146 CPL Aviation - 76/100 --/-- 06/12/2023 PASS
Meteorology
864 17850013 P-23462625 CHPL Air - --/100 --/-- 06/12/2023 Absent
Regulation
865 17850014 P-22462734 CPL Aviation - 90/100 --/-- 06/12/2023 PASS
Meteorology
866 17850015 P-23463242 CPL Air - --/100 --/-- 06/12/2023 Absent
Regulation
867 17850016 P-23463309 CPL Air - 74/100 --/-- 06/12/2023 PASS
Regulation
868 17850017 P-20460701 CPL Technical TECNAM 78/100 --/-- 06/12/2023 PASS
Specific P2006T
869 17850018 P-21462540 CPL Air - 66/100 --/-- 06/12/2023 FAIL
Navigation
870 17850019 P-22461935 CPL Air - 66/100 --/-- 06/12/2023 FAIL
Regulation

Wed Dec 06 2023 11:39:00 page 37 of 61


S.No Roll No Computer Lic. Subject Aircraft Obj Essay ResultDate Status
No Category Marks Marks
871 17850020 P-10031493 CPL Technical P-68 C 64/100 --/-- 06/12/2023 FAIL
Specific
872 17850021 P-16451668 CPL Technical Cessna --/100 --/-- 06/12/2023 Absent
Specific 172 R
873 17850022 P-19461339 CPLCG Air - 85/100 --/-- 06/12/2023 PASS
(Defence) Navigation
Comp
874 17850023 P-23462715 CPL Air - 83/100 --/-- 06/12/2023 PASS
Navigation
875 17850024 P-23464169 CPL Aviation - 78/100 --/-- 06/12/2023 PASS
Meteorology
876 17850025 P-23462963 CPL Aviation - 86/100 --/-- 06/12/2023 PASS
Meteorology
877 17850026 P-23462418 CPL Air - --/100 --/-- 06/12/2023 Absent
Navigation
878 17850027 P-22462499 CPL Technical - 69/100 --/-- 06/12/2023 FAIL
General
879 17850028 P-21461749 CPL Aviation - 72/100 --/-- 06/12/2023 PASS
Meteorology
880 17850029 P-23461570 CPL Aviation - 66/100 --/-- 06/12/2023 FAIL
Meteorology
881 17850030 P-21461400 CPL Aviation - 68/100 --/-- 06/12/2023 FAIL
Meteorology
882 17850031 P-15450878 CPL Air - --/100 --/-- 06/12/2023 Absent
Navigation
883 17850032 P-18460264 CPL Air - 74/100 --/-- 06/12/2023 PASS
Regulation
884 17850032 P-18460264 CPL Technical Piper 74/100 --/-- 06/12/2023 PASS
Specific PA-28-181
Archer III
TAE-125
Engine
885 17850033 P-19460115 CPL Air - 61/100 --/-- 06/12/2023 FAIL
Navigation
886 17850034 P-23461910 CPL Technical - 80/100 --/-- 06/12/2023 PASS
General
887 17850035 P-23463708 CPL Aviation - 86/100 --/-- 06/12/2023 PASS
Meteorology
888 17850035 P-23463708 CPL Air - 82/100 --/-- 06/12/2023 PASS
Regulation
889 17850036 P-22463359 CPL Air - 58/100 --/-- 06/12/2023 FAIL
Regulation
890 17850037 P-23462957 CPL Air - 75/100 --/-- 06/12/2023 PASS
Navigation
891 17850038 P-23461453 CPL Air - 78/100 --/-- 06/12/2023 PASS
Navigation
892 17850039 P-23461155 CPL Air - 66/100 --/-- 06/12/2023 FAIL
Navigation

Wed Dec 06 2023 11:39:00 page 38 of 61


S.No Roll No Computer Lic. Subject Aircraft Obj Essay ResultDate Status
No Category Marks Marks
893 17850040 P-18454958 CPL Technical Piper 56/100 --/-- 06/12/2023 FAIL
Specific Seneca
P A-34
894 17850041 P-23463951 CPL Aviation - 74/100 --/-- 06/12/2023 PASS
Meteorology
895 17850042 P-23462771 CPL Air - 73/100 --/-- 06/12/2023 PASS
Navigation
896 17850043 P-21461118 CPL Air - 64/100 --/-- 06/12/2023 FAIL
Navigation
897 17850043 P-21461118 CPL Air - 58/100 --/-- 06/12/2023 FAIL
Regulation
898 17850044 P-23463083 CPL Aviation - 76/100 --/-- 06/12/2023 PASS
Meteorology
899 17850044 P-23463083 CPL Technical Piper 78/100 --/-- 06/12/2023 PASS
Specific PA-28-181
Archer III
TAE-125
Engine
900 17850045 P-23462419 CPL Air - 70/100 --/-- 06/12/2023 PASS
Navigation
901 17850045 P-23462419 CPL Air - 66/100 --/-- 06/12/2023 FAIL
Regulation
902 17850046 P-23461059 CPL Air - 70/100 --/-- 06/12/2023 PASS
Regulation
903 17850047 P-23461610 CPL Aviation - 84/100 --/-- 06/12/2023 PASS
Meteorology
904 17850048 P-23463984 CPL Aviation - 78/100 --/-- 06/12/2023 PASS
Meteorology
905 17850049 P-23462721 CPL Air - 68/100 --/-- 06/12/2023 FAIL
Regulation
906 17850050 P-21461848 CPL Technical - --/100 --/-- 06/12/2023 Absent
General
907 17850051 P-23463743 CPL Aviation - 64/100 --/-- 06/12/2023 FAIL
Meteorology
908 17850052 P-23463976 CPL Air - 66/100 --/-- 06/12/2023 FAIL
Navigation
909 17850052 P-23463976 CPL Aviation - 52/100 --/-- 06/12/2023 FAIL
Meteorology
910 17850053 P-23461877 CPL Air - 67/100 --/-- 06/12/2023 FAIL
Navigation
911 17850054 P-23464054 CPL Aviation - 76/100 --/-- 06/12/2023 PASS
Meteorology
912 17850054 P-23464054 CPL Air - 78/100 --/-- 06/12/2023 PASS
Regulation
913 17850055 P-23463017 CPL Aviation - 60/100 --/-- 06/12/2023 FAIL
Meteorology
914 17850055 P-23463017 CPL Technical Cessna 88/100 --/-- 06/12/2023 PASS
Specific 172 R

Wed Dec 06 2023 11:39:00 page 39 of 61


S.No Roll No Computer Lic. Subject Aircraft Obj Essay ResultDate Status
No Category Marks Marks
915 17850056 P-21461992 CPL Air - 69/100 --/-- 06/12/2023 FAIL
Navigation
916 17850057 P-23462228 CPL Air - 78/100 --/-- 06/12/2023 PASS
Navigation
917 17850058 P-22462784 CPL Air - 65/100 --/-- 06/12/2023 FAIL
Navigation
918 17850059 P-23462845 CPL Air - 78/100 --/-- 06/12/2023 PASS
Regulation
919 17850060 P-22462841 CPL Air - 78/100 --/-- 06/12/2023 PASS
Regulation
920 17850061 P-23463269 CPL Air - 57/100 --/-- 06/12/2023 FAIL
Navigation
921 17850062 P-22462880 CPL Air - 61/100 --/-- 06/12/2023 FAIL
Navigation
922 17850063 P-23462878 CPL Air - 62/100 --/-- 06/12/2023 FAIL
Regulation
923 17850064 P-22462555 CPL Aviation - 82/100 --/-- 06/12/2023 PASS
Meteorology
924 17850065 P-23460109 CPL Air - 84/100 --/-- 06/12/2023 PASS
Regulation
925 17850066 P-23462647 CPL Aviation - 68/100 --/-- 06/12/2023 FAIL
Meteorology
926 17850067 P-19462233 CPLCG Air - 61/100 --/-- 06/12/2023 FAIL
(Conversion) Navigation
Comp
927 17850068 P-22461222 CPL Air - 75/100 --/-- 06/12/2023 PASS
Navigation
928 17850069 P-20460490 CPL Technical Piper --/100 --/-- 06/12/2023 Absent
Specific Seneca
P A-34
929 17850070 P-23463704 CPL Air - 72/100 --/-- 06/12/2023 PASS
Navigation
930 17850070 P-23463704 CPL Aviation - 78/100 --/-- 06/12/2023 PASS
Meteorology
931 17850071 P-22463326 CPL Air - --/100 --/-- 06/12/2023 Absent
Navigation
932 17850072 P-21460578 CPL Technical TECNAM 78/100 --/-- 06/12/2023 PASS
Specific P2006T
933 17850073 P-23460148 CPL Air - --/100 --/-- 06/12/2023 Absent
Navigation
934 17850074 P-23461583 CPL Air - 80/100 --/-- 06/12/2023 PASS
Regulation
935 17850075 P-17453016 CPL Technical P-68 C 74/100 --/-- 06/12/2023 PASS
Specific
936 17850076 P-23463074 CPL Aviation - 72/100 --/-- 06/12/2023 PASS
Meteorology
937 17850076 P-23463074 CPL Air - 68/100 --/-- 06/12/2023 FAIL
Regulation

Wed Dec 06 2023 11:39:00 page 40 of 61


S.No Roll No Computer Lic. Subject Aircraft Obj Essay ResultDate Status
No Category Marks Marks
938 17850077 P-22462795 CPL Technical - 76/100 --/-- 06/12/2023 PASS
General
939 17850078 P-23463563 CPL Aviation - 48/100 --/-- 06/12/2023 FAIL
Meteorology
940 17850079 P-22462586 CPL Technical Diamond 90/100 --/-- 06/12/2023 PASS
Specific D A 42
Lycoming
941 17850080 P-22462941 CPL Air - 68/100 --/-- 06/12/2023 FAIL
Regulation
942 17850081 P-23463535 CPL Air - 46/100 --/-- 06/12/2023 FAIL
Regulation
943 17850082 P-23464120 CPL Aviation - 58/100 --/-- 06/12/2023 FAIL
Meteorology
944 17850083 P-17453667 CPLCG Air - 56/100 --/-- 06/12/2023 FAIL
(Conversion) Navigation
Comp
945 17850084 P-23460236 CPL Air - 62/100 --/-- 06/12/2023 FAIL
Regulation
946 17850085 P-23460972 CPL Air - 79/100 --/-- 06/12/2023 PASS
Navigation
947 17850086 P-20460413 CPL Air - 76/100 --/-- 06/12/2023 PASS
Navigation
948 17850087 P-22462318 CPL Air - 82/100 --/-- 06/12/2023 PASS
Regulation
949 17850088 P-23462705 CPL Aviation - 70/100 --/-- 06/12/2023 PASS
Meteorology
950 17850089 P-23460588 CPL Air - 68/100 --/-- 06/12/2023 FAIL
Regulation
951 17850090 P-22462252 CPL Technical Cessna 64/100 --/-- 06/12/2023 FAIL
Specific 172 R
952 17850091 P-23464023 CPL Aviation - 62/100 --/-- 06/12/2023 FAIL
Meteorology
953 17850092 P-23462787 CPL Air - 82/100 --/-- 06/12/2023 PASS
Navigation
954 17850093 P-21461119 CPL Technical TECNAM 76/100 --/-- 06/12/2023 PASS
Specific P2006T
955 17850094 P-23463886 CPL Air - 64/100 --/-- 06/12/2023 FAIL
Regulation
956 17850095 P-23460868 CPL Aviation - 68/100 --/-- 06/12/2023 FAIL
Meteorology
957 17850095 P-23460868 CPL Air - 78/100 --/-- 06/12/2023 PASS
Regulation
958 17850096 P-22462060 CPL Air - --/100 --/-- 06/12/2023 Absent
Navigation
959 17850097 P-22461438 CPL Air - 78/100 --/-- 06/12/2023 PASS
Regulation
960 17850098 P-23464118 CPL Aviation - 68/100 --/-- 06/12/2023 FAIL
Meteorology

Wed Dec 06 2023 11:39:00 page 41 of 61


S.No Roll No Computer Lic. Subject Aircraft Obj Essay ResultDate Status
No Category Marks Marks
961 17850099 P-23461055 CPL Air - 76/100 --/-- 06/12/2023 PASS
Regulation
962 17850100 P-23462670 CPL Technical - 73/100 --/-- 06/12/2023 PASS
General
963 17850101 P-23462764 CPL Air - 71/100 --/-- 06/12/2023 PASS
Navigation
964 17850101 P-23462764 CPL Air - 78/100 --/-- 06/12/2023 PASS
Regulation
965 17850102 P-23462703 CPL Aviation - 58/100 --/-- 06/12/2023 FAIL
Meteorology
966 17850103 P-14449966 CPL Air - --/100 --/-- 06/12/2023 Absent
Navigation
967 17850104 P-15450652 CPL Aviation - 60/100 --/-- 06/12/2023 FAIL
Meteorology
968 17850105 P-19461755 PPL Composite - 77/100 --/-- 06/12/2023 PASS
969 17850106 P-22462681 CPL Technical Piper 92/100 --/-- 06/12/2023 PASS
Specific PA-28-181
Archer III
TAE-125
Engine
970 17850107 P-23462061 CPL Air - 67/100 --/-- 06/12/2023 FAIL
Navigation
971 17850107 P-23462061 CPL Air - 72/100 --/-- 06/12/2023 PASS
Regulation
972 17850108 P-23464122 CPL Aviation - 54/100 --/-- 06/12/2023 FAIL
Meteorology
973 17850109 P-23463702 CPL Air - 80/100 --/-- 06/12/2023 PASS
Regulation
974 17850110 P-22462598 CPL Air - 72/100 --/-- 06/12/2023 PASS
Regulation
975 17850111 P-23462143 CPL Technical - 84/100 --/-- 06/12/2023 PASS
General
976 17850112 P-23462166 CPL Technical - 63/100 --/-- 06/12/2023 FAIL
General
977 17850113 P-23464124 CPL Air - 76/100 --/-- 06/12/2023 PASS
Navigation
978 17850114 P-19461825 CPL Technical Cessna 74/100 --/-- 06/12/2023 PASS
Specific 172 R
979 17850115 P-23463887 CPL Aviation - 68/100 --/-- 06/12/2023 FAIL
Meteorology
980 17850116 P-23462478 CPL Air - 76/100 --/-- 06/12/2023 PASS
Regulation
981 17850117 P-23464053 CPL Air - 82/100 --/-- 06/12/2023 PASS
Navigation
982 17850118 P-23461692 CPL Air - 49/100 --/-- 06/12/2023 FAIL
Navigation
983 17850119 P-23460622 CPL Aviation - --/100 --/-- 06/12/2023 Absent
Meteorology

Wed Dec 06 2023 11:39:00 page 42 of 61


S.No Roll No Computer Lic. Subject Aircraft Obj Essay ResultDate Status
No Category Marks Marks
984 17850120 P-21462548 CPL Air - 68/100 --/-- 06/12/2023 FAIL
Navigation
985 17850121 P-23462998 CPL Air - 75/100 --/-- 06/12/2023 PASS
Navigation
986 17850122 P-23463371 CPL Aviation - 68/100 --/-- 06/12/2023 FAIL
Meteorology
987 17850123 P-21461073 CPL Technical - 68/100 --/-- 06/12/2023 FAIL
General
988 17850124 P-21461630 CPL Air - 62/100 --/-- 06/12/2023 FAIL
Navigation
989 17850125 P-20460411 CPL Air - 56/100 --/-- 06/12/2023 FAIL
Regulation
990 17850126 P-23463449 CPL Technical Cessna 72/100 --/-- 06/12/2023 PASS
Specific 172 R
991 17850127 P-22460710 CPL Air - 76/100 --/-- 06/12/2023 PASS
Navigation
992 17850128 P-23464002 CPL Air - 51/100 --/-- 06/12/2023 FAIL
Navigation
993 17850128 P-23464002 CPL Aviation - 66/100 --/-- 06/12/2023 FAIL
Meteorology
994 17850128 P-23464002 CPL Air - 60/100 --/-- 06/12/2023 FAIL
Regulation
995 17850129 P-23460773 CPL Aviation - 76/100 --/-- 06/12/2023 PASS
Meteorology
996 17850129 P-23460773 CPL Air - 64/100 --/-- 06/12/2023 FAIL
Regulation
997 17850130 P-19462994 CPL Technical - 68/100 --/-- 06/12/2023 FAIL
General
998 17850131 P-22461301 CPL Aviation - 80/100 --/-- 06/12/2023 PASS
Meteorology
999 17850131 P-22461301 CPL Technical Piper 76/100 --/-- 06/12/2023 PASS
Specific PA-28-181
Archer III
TAE-125
Engine
1000 17850132 P-22462160 CPL Air - 50/100 --/-- 06/12/2023 FAIL
Regulation
1001 17850133 P-23464111 CPL Aviation - 84/100 --/-- 06/12/2023 PASS
Meteorology
1002 17850134 P-22461882 CPL Air - 65/100 --/-- 06/12/2023 FAIL
Navigation
1003 17850135 P-23462082 CPL Air - 81/100 --/-- 06/12/2023 PASS
Navigation
1004 17850136 P-23462479 CPL Technical - 87/100 --/-- 06/12/2023 PASS
General
1005 17850137 P-23464035 CPL Aviation - 78/100 --/-- 06/12/2023 PASS
Meteorology
1006 17850137 P-23464035 CPL Air - 78/100 --/-- 06/12/2023 PASS
Regulation
Wed Dec 06 2023 11:39:00 page 43 of 61
S.No Roll No Computer Lic. Subject Aircraft Obj Essay ResultDate Status
No Category Marks Marks
1007 17850138 P-23463349 CPL Air - 50/100 --/-- 06/12/2023 FAIL
Regulation
1008 17850139 P-23463797 CPL Aviation - 70/100 --/-- 06/12/2023 PASS
Meteorology
1009 17850139 P-23463797 CPL Air - 60/100 --/-- 06/12/2023 FAIL
Regulation
1010 17850140 P-22460781 CPL Aviation - 72/100 --/-- 06/12/2023 PASS
Meteorology
1011 17850141 P-19461360 CPL Air - 63/100 --/-- 06/12/2023 FAIL
Navigation
1012 17850142 P-22461592 CPL Air - --/100 --/-- 06/12/2023 Absent
Navigation
1013 17850142 P-22461592 CPL Air - 78/100 --/-- 06/12/2023 PASS
Regulation
1014 17850143 P-23462320 CPL Air - --/100 --/-- 06/12/2023 Absent
Navigation
1015 17850143 P-23462320 CPL Air - --/100 --/-- 06/12/2023 Absent
Regulation
1016 17850144 P-23463118 CPL Air - 72/100 --/-- 06/12/2023 PASS
Regulation
1017 17850145 P-23463889 CPL Air - 72/100 --/-- 06/12/2023 PASS
Navigation
1018 17850145 P-23463889 CPL Aviation - 74/100 --/-- 06/12/2023 PASS
Meteorology
1019 17850146 P-23462240 CPL Air - 56/100 --/-- 06/12/2023 FAIL
Regulation
1020 17850147 P-19462826 CPL Technical Tecnam 76/100 --/-- 06/12/2023 PASS
Specific P2010TDI
1021 17850148 P-19461023 CPL Aviation - --/100 --/-- 06/12/2023 Absent
Meteorology
1022 17850149 P-19462963 CPLCG Air - --/100 --/-- 06/12/2023 Absent
(Conversion) Navigation
Comp
1023 17850150 P-19462700 CPL Aviation - 42/100 --/-- 06/12/2023 FAIL
Meteorology
1024 17850150 P-19462700 CPL Air - 54/100 --/-- 06/12/2023 FAIL
Regulation
1025 17850151 P-23463670 CPL Technical - --/100 --/-- 06/12/2023 Absent
General
1026 17850152 P-23461341 CPL Air - --/100 --/-- 06/12/2023 Absent
Navigation
1027 17850153 P-23463647 CPL Air - 74/100 --/-- 06/12/2023 PASS
Navigation
1028 17850153 P-23463647 CPL Aviation - 84/100 --/-- 06/12/2023 PASS
Meteorology
1029 17850154 P-22460056 CPL Air - 64/100 --/-- 06/12/2023 FAIL
Navigation

Wed Dec 06 2023 11:39:00 page 44 of 61


S.No Roll No Computer Lic. Subject Aircraft Obj Essay ResultDate Status
No Category Marks Marks
1030 17850155 P-23463786 CPL Air - 81/100 --/-- 06/12/2023 PASS
Navigation
1031 17850155 P-23463786 CPL Aviation - 74/100 --/-- 06/12/2023 PASS
Meteorology
1032 17850156 P-22461400 CPL Technical - 80/100 --/-- 06/12/2023 PASS
General
1033 17850157 P-23461179 CPL Air - 72/100 --/-- 06/12/2023 PASS
Regulation
1034 17850158 P-23464056 CPL Air - 77/100 --/-- 06/12/2023 PASS
Navigation
1035 17850158 P-23464056 CPL Aviation - 74/100 --/-- 06/12/2023 PASS
Meteorology
1036 17850158 P-23464056 CPL Air - 70/100 --/-- 06/12/2023 PASS
Regulation
1037 17850158 P-23464056 CPL Technical - 75/100 --/-- 06/12/2023 PASS
General
1038 17850159 P-20461038 CPL Technical - 69/100 --/-- 06/12/2023 FAIL
General
1039 17850160 P-23460707 CPL Air - 68/100 --/-- 06/12/2023 FAIL
Regulation
1040 17850161 P-22461634 CPL Air - 59/100 --/-- 06/12/2023 FAIL
Navigation
1041 17850162 P-23461068 CPL Air - 74/100 --/-- 06/12/2023 PASS
Navigation
1042 17850163 P-20460556 CPL Air - --/100 --/-- 06/12/2023 Absent
Navigation
1043 17850164 P-21461071 CPL Air - --/100 --/-- 06/12/2023 Absent
Navigation
1044 17850165 P-21461990 CPL Air - --/100 --/-- 06/12/2023 Absent
Navigation
1045 17850166 P-23463373 CPL Air - 71/100 --/-- 06/12/2023 PASS
Navigation
1046 17850167 P-23460826 CPL Air - 71/100 --/-- 06/12/2023 PASS
Navigation
1047 17850168 P-22462625 CPL Air - 74/100 --/-- 06/12/2023 PASS
Regulation
1048 17850169 P-23462409 CPL Air - 74/100 --/-- 06/12/2023 PASS
Regulation
1049 17850170 P-23463575 CPL Air - 88/100 --/-- 06/12/2023 PASS
Navigation
1050 17850171 P-23463551 CPL Air - 69/100 --/-- 06/12/2023 FAIL
Navigation
1051 17850172 P-21461757 CPL Air - 58/100 --/-- 06/12/2023 FAIL
Navigation
1052 17850173 P-23461909 CPL Air - 72/100 --/-- 06/12/2023 PASS
Regulation

Wed Dec 06 2023 11:39:00 page 45 of 61


S.No Roll No Computer Lic. Subject Aircraft Obj Essay ResultDate Status
No Category Marks Marks
1053 17850173 P-23461909 CPL Technical Piper 74/100 --/-- 06/12/2023 PASS
Specific PA-28-181
Archer III
TAE-125
Engine
1054 17850174 P-23460864 CPL Air - 73/100 --/-- 06/12/2023 PASS
Navigation
1055 17850175 P-23461328 CPL Air - 72/100 --/-- 06/12/2023 PASS
Regulation
1056 17850176 P-22462996 CPL Aviation - 84/100 --/-- 06/12/2023 PASS
Meteorology
1057 17850176 P-22462996 CPL Technical Cessna 68/100 --/-- 06/12/2023 FAIL
Specific 172 R
1058 17850177 P-23463545 CPL Aviation - 82/100 --/-- 06/12/2023 PASS
Meteorology
1059 17850177 P-23463545 CPL Air - 74/100 --/-- 06/12/2023 PASS
Regulation
1060 17850178 P-23460962 CPL Air - 64/100 --/-- 06/12/2023 FAIL
Regulation
1061 17850179 P-23462994 CPL Air - 62/100 --/-- 06/12/2023 FAIL
Regulation
1062 17850180 P-23461976 CPL Technical - 83/100 --/-- 06/12/2023 PASS
General
1063 17850181 P-22461196 CPLCG Air - 57/100 --/-- 06/12/2023 FAIL
(Conversion) Navigation
Comp
1064 17850182 P-23460793 CPL Air - --/100 --/-- 06/12/2023 Absent
Navigation
1065 17850182 P-23460793 CPL Air - --/100 --/-- 06/12/2023 Absent
Regulation
1066 17850183 P-23463211 CPL Air - 39/100 --/-- 06/12/2023 FAIL
Navigation
1067 17850184 P-22461068 CPL Air - 78/100 --/-- 06/12/2023 PASS
Regulation
1068 17850185 P-23463159 CPL Air - 75/100 --/-- 06/12/2023 PASS
Navigation
1069 17850185 P-23463159 CPL Aviation - 78/100 --/-- 06/12/2023 PASS
Meteorology
1070 17850185 P-23463159 CPL Air - 82/100 --/-- 06/12/2023 PASS
Regulation
1071 17850186 P-18460383 CPL Technical - 52/100 --/-- 06/12/2023 FAIL
General
1072 17850187 P-22462248 CPL Air - 50/100 --/-- 06/12/2023 FAIL
Regulation
1073 17850188 P-22461009 CPL Air - 81/100 --/-- 06/12/2023 PASS
Navigation
1074 17850189 P-23460623 CPL Air - 68/100 --/-- 06/12/2023 FAIL
Regulation

Wed Dec 06 2023 11:39:00 page 46 of 61


S.No Roll No Computer Lic. Subject Aircraft Obj Essay ResultDate Status
No Category Marks Marks
1075 17850190 P-23463342 CPL Technical - 70/100 --/-- 06/12/2023 PASS
General
1076 17850191 P-23463643 CPL Air - 70/100 --/-- 06/12/2023 PASS
Navigation
1077 17850192 P-22463279 CPL Air - 70/100 --/-- 06/12/2023 PASS
Navigation
1078 17850193 P-23460081 CPL Air - 52/100 --/-- 06/12/2023 FAIL
Navigation
1079 17850194 P-23463015 CPL Aviation - 86/100 --/-- 06/12/2023 PASS
Meteorology
1080 17850195 P-21462529 CPL Aviation - 92/100 --/-- 06/12/2023 PASS
Meteorology
1081 17850195 P-21462529 CPL Air - 76/100 --/-- 06/12/2023 PASS
Regulation
1082 17850196 P-23462728 CPL Aviation - 76/100 --/-- 06/12/2023 PASS
Meteorology
1083 17850197 P-23463157 CPL Air - 74/100 --/-- 06/12/2023 PASS
Regulation
1084 17850198 P-23463716 CPL Aviation - 76/100 --/-- 06/12/2023 PASS
Meteorology
1085 17850199 P-23463417 CPL Air - 80/100 --/-- 06/12/2023 PASS
Navigation
1086 17850200 P-21461609 CPL Air - 58/100 --/-- 06/12/2023 FAIL
Navigation
1087 17850200 P-21461609 CPL Aviation - 72/100 --/-- 06/12/2023 PASS
Meteorology
1088 17850201 P-22462989 CPL Technical - 67/100 --/-- 06/12/2023 FAIL
General
1089 17850202 P-23461707 CPL Air - 70/100 --/-- 06/12/2023 PASS
Regulation
1090 17850203 P-23463307 CPL Air - 77/100 --/-- 06/12/2023 PASS
Navigation
1091 17850204 P-23462194 PPL Technical - 70/100 --/-- 06/12/2023 PASS
General
1092 17850205 P-22462837 CPLCG Air - 57/100 --/-- 06/12/2023 FAIL
(Conversion) Navigation
Comp
1093 17850206 P-22462033 CPL Air - 66/100 --/-- 06/12/2023 FAIL
Navigation
1094 17850207 P-23462733 CPL Air - 74/100 --/-- 06/12/2023 PASS
Navigation
1095 19850001 P-22462778 CPL Air - 64/100 --/-- 06/12/2023 FAIL
Regulation
1096 19850002 P-23461351 CPL Aviation - 76/100 --/-- 06/12/2023 PASS
Meteorology
1097 19850003 P-16451152 CPL Aviation - 60/100 --/-- 06/12/2023 FAIL
Meteorology

Wed Dec 06 2023 11:39:00 page 47 of 61


S.No Roll No Computer Lic. Subject Aircraft Obj Essay ResultDate Status
No Category Marks Marks
1098 19850004 P-23461051 CPL Aviation - 64/100 --/-- 06/12/2023 FAIL
Meteorology
1099 19850005 P-22460885 CPL Technical - 68/100 --/-- 06/12/2023 FAIL
General
1100 19850006 P-23463065 CPL Aviation - 74/100 --/-- 06/12/2023 PASS
Meteorology
1101 19850007 P-23462669 CPL Aviation - --/100 --/-- 06/12/2023 Absent
Meteorology
1102 19850008 P-22460010 CPL Aviation - 80/100 --/-- 06/12/2023 PASS
Meteorology
1103 19850009 P-23464009 CPL Aviation - 70/100 --/-- 06/12/2023 PASS
Meteorology
1104 19850009 P-23464009 CPL Air - 72/100 --/-- 06/12/2023 PASS
Regulation
1105 19850010 P-23463692 CPL Air - 79/100 --/-- 06/12/2023 PASS
Navigation
1106 19850010 P-23463692 CPL Aviation - 74/100 --/-- 06/12/2023 PASS
Meteorology
1107 19850011 P-23463248 CPL Air - 71/100 --/-- 06/12/2023 PASS
Navigation
1108 19850011 P-23463248 CPL Air - 62/100 --/-- 06/12/2023 FAIL
Regulation
1109 19850012 P-21461973 CPL Air - 72/100 --/-- 06/12/2023 PASS
Regulation
1110 19850013 P-22463363 CPL Technical Cessna 74/100 --/-- 06/12/2023 PASS
Specific 172 R
1111 19850014 P-23462230 CPL Aviation - 44/100 --/-- 06/12/2023 FAIL
Meteorology
1112 19850015 P-23463662 CPL Aviation - 64/100 --/-- 06/12/2023 FAIL
Meteorology
1113 19850016 P-23460485 CPL Aviation - --/100 --/-- 06/12/2023 Absent
Meteorology
1114 19850017 P-23461038 CPL Aviation - 70/100 --/-- 06/12/2023 PASS
Meteorology
1115 19850017 P-23461038 CPL Air - 58/100 --/-- 06/12/2023 FAIL
Regulation
1116 19850018 P-23462325 CPL Technical TECNAM 78/100 --/-- 06/12/2023 PASS
Specific P2006T
1117 19850019 P-23462090 CPL Air - 59/100 --/-- 06/12/2023 FAIL
Navigation
1118 19850020 P-23461935 CPL Air - 78/100 --/-- 06/12/2023 PASS
Regulation
1119 19850021 P-23463853 CPL Air - 74/100 --/-- 06/12/2023 PASS
Navigation
1120 19850021 P-23463853 CPL Air - 72/100 --/-- 06/12/2023 PASS
Regulation
1121 19850022 P-22460784 CPL Technical - 65/100 --/-- 06/12/2023 FAIL
General

Wed Dec 06 2023 11:39:00 page 48 of 61


S.No Roll No Computer Lic. Subject Aircraft Obj Essay ResultDate Status
No Category Marks Marks
1122 19850023 P-23462912 CPL Air - 62/100 --/-- 06/12/2023 FAIL
Regulation
1123 19850024 P-23462762 CPL Air - 86/100 --/-- 06/12/2023 PASS
Regulation
1124 19850025 P-23460849 CPL Aviation - 54/100 --/-- 06/12/2023 FAIL
Meteorology
1125 19850026 P-21461761 CPL Technical - 76/100 --/-- 06/12/2023 PASS
General
1126 19850027 P-23463934 CPL Aviation - 62/100 --/-- 06/12/2023 FAIL
Meteorology
1127 19850027 P-23463934 CPL Air - 48/100 --/-- 06/12/2023 FAIL
Regulation
1128 19850028 P-21460245 CPL Technical - 61/100 --/-- 06/12/2023 FAIL
General
1129 19850029 P-23463208 CPL Air - 66/100 --/-- 06/12/2023 FAIL
Navigation
1130 19850030 P-23461034 CPL Air - 53/100 --/-- 06/12/2023 FAIL
Navigation
1131 19850031 P-23461198 CPL Air - 66/100 --/-- 06/12/2023 FAIL
Regulation
1132 19850031 P-23461198 CPL Technical - 65/100 --/-- 06/12/2023 FAIL
General
1133 19850032 P-23462029 CPL Aviation - 92/100 --/-- 06/12/2023 PASS
Meteorology
1134 19850032 P-23462029 CPL Air - 84/100 --/-- 06/12/2023 PASS
Regulation
1135 19850033 P-22462338 CPL Air - 80/100 --/-- 06/12/2023 PASS
Navigation
1136 19850034 P-23460922 CPL Air - 54/100 --/-- 06/12/2023 FAIL
Regulation
1137 19850035 P-23463212 CPL Air - 73/100 --/-- 06/12/2023 PASS
Navigation
1138 19850036 P-23463547 CPL Air - 77/100 --/-- 06/12/2023 PASS
Navigation
1139 19850037 P-23463292 CPL Air - 78/100 --/-- 06/12/2023 PASS
Regulation
1140 19850038 P-22462119 CPL Technical - 74/100 --/-- 06/12/2023 PASS
General
1141 19850039 P-23461232 CPL Aviation - 80/100 --/-- 06/12/2023 PASS
Meteorology
1142 19850040 P-23462652 CPL Air - 76/100 --/-- 06/12/2023 PASS
Navigation
1143 19850041 P-23463219 CPL Aviation - 80/100 --/-- 06/12/2023 PASS
Meteorology
1144 19850042 P-15450164 CPL Technical Tecnam --/100 --/-- 06/12/2023 Absent
Specific P2010TDI
1145 19850043 P-21461625 CPL Air - 72/100 --/-- 06/12/2023 PASS
Regulation

Wed Dec 06 2023 11:39:00 page 49 of 61


S.No Roll No Computer Lic. Subject Aircraft Obj Essay ResultDate Status
No Category Marks Marks
1146 19850044 P-22462679 CPL Technical Cessna 72/100 --/-- 06/12/2023 PASS
Specific 172 R
1147 19850045 P-21460399 CPL Technical - 77/100 --/-- 06/12/2023 PASS
General
1148 19850046 P-21462201 CPL Aviation - 60/100 --/-- 06/12/2023 FAIL
Meteorology
1149 19850047 P-23463598 CPL Aviation - 78/100 --/-- 06/12/2023 PASS
Meteorology
1150 19850048 P-23462964 CPL Technical - 77/100 --/-- 06/12/2023 PASS
General
1151 19850049 P-17452347 CPL Technical - 69/100 --/-- 06/12/2023 FAIL
General
1152 19850050 P-23462052 CPL Air - 70/100 --/-- 06/12/2023 PASS
Navigation
1153 19850051 P-20460260 CPL Aviation - 60/100 --/-- 06/12/2023 FAIL
Meteorology
1154 19850052 P-23462556 CPL Technical - 65/100 --/-- 06/12/2023 FAIL
General
1155 19850053 P-21461843 CPL Air - 51/100 --/-- 06/12/2023 FAIL
Navigation
1156 19850054 P-23461332 CPL Air - 72/100 --/-- 06/12/2023 PASS
Regulation
1157 19850055 P-23462505 CPL Aviation - 80/100 --/-- 06/12/2023 PASS
Meteorology
1158 19850056 P-22461346 CPL Technical - 64/100 --/-- 06/12/2023 FAIL
General
1159 19850057 P-23461934 CPL Technical - 80/100 --/-- 06/12/2023 PASS
General
1160 19850058 P-22461871 CPL Air - 70/100 --/-- 06/12/2023 PASS
Regulation
1161 19850059 P-23462747 CPL Air - 84/100 --/-- 06/12/2023 PASS
Navigation
1162 19850060 P-23461452 CPL Aviation - 72/100 --/-- 06/12/2023 PASS
Meteorology
1163 19850061 P-23463104 CPL Air - 89/100 --/-- 06/12/2023 PASS
Navigation
1164 19850061 P-23463104 CPL Air - 86/100 --/-- 06/12/2023 PASS
Regulation
1165 19850062 P-23460643 CPL Air - 66/100 --/-- 06/12/2023 FAIL
Regulation
1166 19850063 P-23463429 CPL Aviation - 68/100 --/-- 06/12/2023 FAIL
Meteorology
1167 19850064 P-23463374 CPL Air - 68/100 --/-- 06/12/2023 FAIL
Regulation
1168 19850065 P-23462304 CPL Air - 86/100 --/-- 06/12/2023 PASS
Navigation
1169 19850066 P-23462620 CPL Air - 90/100 --/-- 06/12/2023 PASS
Navigation

Wed Dec 06 2023 11:39:00 page 50 of 61


S.No Roll No Computer Lic. Subject Aircraft Obj Essay ResultDate Status
No Category Marks Marks
1170 19850067 P-23463191 CPL Aviation - 78/100 --/-- 06/12/2023 PASS
Meteorology
1171 19850068 P-23461257 CPL Aviation - 48/100 --/-- 06/12/2023 FAIL
Meteorology
1172 19850069 P-22463290 CPL Air - 82/100 --/-- 06/12/2023 PASS
Regulation
1173 19850070 P-22461618 CPL Air - 74/100 --/-- 06/12/2023 PASS
Navigation
1174 19850071 P-23462687 CPL Aviation - 64/100 --/-- 06/12/2023 FAIL
Meteorology
1175 19850072 P-23461647 CPL Aviation - 66/100 --/-- 06/12/2023 FAIL
Meteorology
1176 19850073 P-23462498 CPL Air - 78/100 --/-- 06/12/2023 PASS
Navigation
1177 19850074 P-23463677 CPL Aviation - 46/100 --/-- 06/12/2023 FAIL
Meteorology
1178 19850075 P-22461513 CPL Aviation - 72/100 --/-- 06/12/2023 PASS
Meteorology
1179 19850075 P-22461513 CPL Air - 62/100 --/-- 06/12/2023 FAIL
Regulation
1180 19850076 P-22463282 CPL Air - --/100 --/-- 06/12/2023 Absent
Navigation
1181 19850077 P-22462729 CPL Aviation - 88/100 --/-- 06/12/2023 PASS
Meteorology
1182 19850078 P-23462336 CPL Air - 90/100 --/-- 06/12/2023 PASS
Regulation
1183 19850079 P-23461025 CPL Air - 71/100 --/-- 06/12/2023 PASS
Navigation
1184 19850080 P-23463788 CPL Air - 65/100 --/-- 06/12/2023 FAIL
Navigation
1185 19850081 P-23460113 CPL Aviation - 82/100 --/-- 06/12/2023 PASS
Meteorology
1186 19850082 P-22462635 CPL Aviation - 50/100 --/-- 06/12/2023 FAIL
Meteorology
1187 19850083 P-23463150 CPL Aviation - 80/100 --/-- 06/12/2023 PASS
Meteorology
1188 19850084 P-23461843 CPL Aviation - 68/100 --/-- 06/12/2023 FAIL
Meteorology
1189 19850085 P-23463419 CPL Air - 82/100 --/-- 06/12/2023 PASS
Regulation
1190 19850086 P-22462804 CPL Aviation - 64/100 --/-- 06/12/2023 FAIL
Meteorology
1191 19850087 P-18460295 CPL Air - 46/100 --/-- 06/12/2023 FAIL
Navigation
1192 19850088 P-23463772 CPL Air - 87/100 --/-- 06/12/2023 PASS
Navigation
1193 19850088 P-23463772 CPL Aviation - 88/100 --/-- 06/12/2023 PASS
Meteorology

Wed Dec 06 2023 11:39:00 page 51 of 61


S.No Roll No Computer Lic. Subject Aircraft Obj Essay ResultDate Status
No Category Marks Marks
1194 19850089 P-23463615 CPL Aviation - 66/100 --/-- 06/12/2023 FAIL
Meteorology
1195 19850090 P-23463654 CPL Aviation - 88/100 --/-- 06/12/2023 PASS
Meteorology
1196 19850091 P-23463851 CPL Aviation - 66/100 --/-- 06/12/2023 FAIL
Meteorology
1197 19850092 P-23463635 CPL Aviation - 68/100 --/-- 06/12/2023 FAIL
Meteorology
1198 19850093 P-23461805 CPL Aviation - 68/100 --/-- 06/12/2023 FAIL
Meteorology
1199 19850094 P-23463767 CPL Aviation - 80/100 --/-- 06/12/2023 PASS
Meteorology
1200 19850095 P-22462376 CPL Air - 70/100 --/-- 06/12/2023 PASS
Navigation
1201 19850096 P-23463047 CPL Aviation - 86/100 --/-- 06/12/2023 PASS
Meteorology
1202 19850097 P-23463452 CPL Air - 66/100 --/-- 06/12/2023 FAIL
Navigation
1203 19850098 P-23463244 CPL Air - 54/100 --/-- 06/12/2023 FAIL
Regulation
1204 19850099 P-21460298 CPL Air - 80/100 --/-- 06/12/2023 PASS
Navigation
1205 19850100 P-23462548 CPL Air - 82/100 --/-- 06/12/2023 PASS
Navigation
1206 19850101 P-23462012 CPL Air - 67/100 --/-- 06/12/2023 FAIL
Navigation
1207 19850102 P-22462956 CPL Aviation - 62/100 --/-- 06/12/2023 FAIL
Meteorology
1208 19850103 P-23462066 CPL Technical - 60/100 --/-- 06/12/2023 FAIL
General
1209 19850104 P-23460990 CPL Air - 76/100 --/-- 06/12/2023 PASS
Regulation
1210 19850105 P-23462167 CPL Technical - 70/100 --/-- 06/12/2023 PASS
General
1211 19850106 P-23461981 CPL Technical - 82/100 --/-- 06/12/2023 PASS
General
1212 19850107 P-23464018 CPL Air - 70/100 --/-- 06/12/2023 PASS
Navigation
1213 19850107 P-23464018 CPL Aviation - 68/100 --/-- 06/12/2023 FAIL
Meteorology
1214 19850107 P-23464018 CPL Air - 52/100 --/-- 06/12/2023 FAIL
Regulation
1215 19850108 P-23461924 CPL Air - 83/100 --/-- 06/12/2023 PASS
Navigation
1216 19850108 P-23461924 CPL Air - 78/100 --/-- 06/12/2023 PASS
Regulation
1217 19850109 P-23464030 CPL Aviation - 80/100 --/-- 06/12/2023 PASS
Meteorology

Wed Dec 06 2023 11:39:00 page 52 of 61


S.No Roll No Computer Lic. Subject Aircraft Obj Essay ResultDate Status
No Category Marks Marks
1218 19850110 P-23462004 CPL Air - 78/100 --/-- 06/12/2023 PASS
Regulation
1219 19850111 P-23463240 CPL Aviation - 82/100 --/-- 06/12/2023 PASS
Meteorology
1220 19850112 P-23461975 CPL Technical - 58/100 --/-- 06/12/2023 FAIL
General
1221 19850113 P-23464147 CPL Air - 59/100 --/-- 06/12/2023 FAIL
Navigation
1222 19850114 P-23463476 CPL Aviation - 66/100 --/-- 06/12/2023 FAIL
Meteorology
1223 19850115 P-22462760 CPL Air - 76/100 --/-- 06/12/2023 PASS
Regulation
1224 19850116 P-23462112 CPL Technical - 82/100 --/-- 06/12/2023 PASS
General
1225 19850117 P-23460140 CPL Air - 84/100 --/-- 06/12/2023 PASS
Regulation
1226 19850117 P-23460140 CPL Technical Diamond 88/100 --/-- 06/12/2023 PASS
Specific D A 42
Lycoming
1227 19850118 P-23460393 CPL Air - 41/100 --/-- 06/12/2023 FAIL
Navigation
1228 19850118 P-23460393 CPL Aviation - 50/100 --/-- 06/12/2023 FAIL
Meteorology
1229 19850119 P-23462941 CPL Aviation - 50/100 --/-- 06/12/2023 FAIL
Meteorology
1230 19850120 P-23464004 CPL Aviation - 84/100 --/-- 06/12/2023 PASS
Meteorology
1231 19850120 P-23464004 CPL Air - 54/100 --/-- 06/12/2023 FAIL
Regulation
1232 19850121 P-23462208 CPL Air - 86/100 --/-- 06/12/2023 PASS
Navigation
1233 19850122 P-23462801 CPL Aviation - 76/100 --/-- 06/12/2023 PASS
Meteorology
1234 19850123 P-23461593 CPL Aviation - 82/100 --/-- 06/12/2023 PASS
Meteorology
1235 19850124 P-23461331 CPL Technical - 67/100 --/-- 06/12/2023 FAIL
General
1236 19850125 P-23462264 CPL Air - 84/100 --/-- 06/12/2023 PASS
Regulation
1237 19850126 P-22462324 CPL Air - 74/100 --/-- 06/12/2023 PASS
Regulation
1238 19850127 P-23462032 CPL Technical - 78/100 --/-- 06/12/2023 PASS
General
1239 19850128 P-17453615 CPL Air - 62/100 --/-- 06/12/2023 FAIL
Regulation
1240 19850129 P-23462262 CPL Technical - 74/100 --/-- 06/12/2023 PASS
General

Wed Dec 06 2023 11:39:00 page 53 of 61


S.No Roll No Computer Lic. Subject Aircraft Obj Essay ResultDate Status
No Category Marks Marks
1241 19850130 P-23462025 CPL Air - 66/100 --/-- 06/12/2023 FAIL
Regulation
1242 19850131 P-23462093 CPL Technical - 64/100 --/-- 06/12/2023 FAIL
General
1243 19850132 P-23463105 CPL Aviation - 80/100 --/-- 06/12/2023 PASS
Meteorology
1244 19850133 P-23463947 CPL Air - 86/100 --/-- 06/12/2023 PASS
Navigation
1245 19850133 P-23463947 CPL Aviation - 76/100 --/-- 06/12/2023 PASS
Meteorology
1246 19850133 P-23463947 CPL Air - 78/100 --/-- 06/12/2023 PASS
Regulation
1247 19850134 P-23462101 CPL Technical Diamond 72/100 --/-- 06/12/2023 PASS
Specific DA 40
Thielert
1248 19850135 P-23463182 CPL Aviation - 86/100 --/-- 06/12/2023 PASS
Meteorology
1249 19850136 P-23463194 CPL Air - 94/100 --/-- 06/12/2023 PASS
Navigation
1250 19850136 P-23463194 CPL Aviation - 84/100 --/-- 06/12/2023 PASS
Meteorology
1251 19850136 P-23463194 CPL Air - 84/100 --/-- 06/12/2023 PASS
Regulation
1252 19850137 P-23463935 CPL Aviation - 78/100 --/-- 06/12/2023 PASS
Meteorology
1253 19850138 P-23462657 CPL Technical - 78/100 --/-- 06/12/2023 PASS
General
1254 19850139 P-23463331 CPL Aviation - 82/100 --/-- 06/12/2023 PASS
Meteorology
1255 19850140 P-21462192 CPL Technical - 68/100 --/-- 06/12/2023 FAIL
General
1256 19850141 P-23462808 CPL Aviation - 50/100 --/-- 06/12/2023 FAIL
Meteorology
1257 19850142 P-23462308 CPL Air - 83/100 --/-- 06/12/2023 PASS
Navigation
1258 19850143 P-23462448 CPL Air - 65/100 --/-- 06/12/2023 FAIL
Navigation
1259 19850144 P-23460264 CPL Aviation - 80/100 --/-- 06/12/2023 PASS
Meteorology
1260 19850145 P-23462295 CPL Technical Cessna 86/100 --/-- 06/12/2023 PASS
Specific 172 R
1261 19850146 P-23463780 CPL Aviation - 88/100 --/-- 06/12/2023 PASS
Meteorology
1262 19850147 P-23462219 CPL Air - 56/100 --/-- 06/12/2023 FAIL
Regulation
1263 19850148 P-23462096 CPL Air - 74/100 --/-- 06/12/2023 PASS
Regulation

Wed Dec 06 2023 11:39:00 page 54 of 61


S.No Roll No Computer Lic. Subject Aircraft Obj Essay ResultDate Status
No Category Marks Marks
1264 19850148 P-23462096 CPL Technical - 83/100 --/-- 06/12/2023 PASS
General
1265 19850149 P-23461979 CPL Technical - 64/100 --/-- 06/12/2023 FAIL
General
1266 19850150 P-23463341 CPL Air - 80/100 --/-- 06/12/2023 PASS
Navigation
1267 19850151 P-23463931 CPL Aviation - 78/100 --/-- 06/12/2023 PASS
Meteorology
1268 19850152 P-23463528 CPL Air - 61/100 --/-- 06/12/2023 FAIL
Navigation
1269 19850153 P-23463806 CPL Air - 74/100 --/-- 06/12/2023 PASS
Regulation
1270 19850154 P-23462338 CPL Aviation - 80/100 --/-- 06/12/2023 PASS
Meteorology
1271 19850155 P-23464145 CPL Aviation - 84/100 --/-- 06/12/2023 PASS
Meteorology
1272 19850155 P-23464145 CPL Air - 82/100 --/-- 06/12/2023 PASS
Regulation
1273 19850156 P-23463509 CPL Air - 80/100 --/-- 06/12/2023 PASS
Regulation
1274 19850157 P-23462285 CPL Air - 62/100 --/-- 06/12/2023 FAIL
Regulation
1275 19850158 P-23462102 CPL Technical - 85/100 --/-- 06/12/2023 PASS
General
1276 19850159 P-17453408 CPL Technical - 73/100 --/-- 06/12/2023 PASS
General
1277 19850160 P-23463348 CPL Aviation - 78/100 --/-- 06/12/2023 PASS
Meteorology
1278 19850161 P-23461639 CPL Air - 89/100 --/-- 06/12/2023 PASS
Navigation
1279 19850162 P-23462504 CPL Aviation - 58/100 --/-- 06/12/2023 FAIL
Meteorology
1280 19850163 P-23463470 CPL Aviation - 88/100 --/-- 06/12/2023 PASS
Meteorology
1281 19850164 P-23462945 CPL Air - --/100 --/-- 06/12/2023 Absent
Regulation
1282 19850165 P-23463070 CPL Air - 67/100 --/-- 06/12/2023 FAIL
Navigation
1283 19850166 P-23464129 CPL Aviation - 70/100 --/-- 06/12/2023 PASS
Meteorology
1284 19850167 P-22460502 CPL Aviation - --/100 --/-- 06/12/2023 Absent
Meteorology
1285 19850167 P-22460502 CPL Technical - --/100 --/-- 06/12/2023 Absent
General
1286 19850168 P-21462200 CPL Technical P-68 C 68/100 --/-- 06/12/2023 FAIL
Specific
1287 19850169 P-22462235 CPL Air - 50/100 --/-- 06/12/2023 FAIL
Navigation

Wed Dec 06 2023 11:39:00 page 55 of 61


S.No Roll No Computer Lic. Subject Aircraft Obj Essay ResultDate Status
No Category Marks Marks
1288 19850170 P-23461478 CPL Air - 53/100 --/-- 06/12/2023 FAIL
Navigation
1289 19850171 P-23463570 CPL Aviation - 50/100 --/-- 06/12/2023 FAIL
Meteorology
1290 19850172 P-23462287 CPL Air - 57/100 --/-- 06/12/2023 FAIL
Navigation
1291 19850172 P-23462287 CPL Air - 64/100 --/-- 06/12/2023 FAIL
Regulation
1292 19850173 P-22462496 CPL Technical - 64/100 --/-- 06/12/2023 FAIL
General
1293 19850174 P-23461724 CPL Aviation - 62/100 --/-- 06/12/2023 FAIL
Meteorology
1294 19850175 P-23463333 CPL Aviation - 82/100 --/-- 06/12/2023 PASS
Meteorology
1295 19850176 P-21460497 CPL Aviation - 50/100 --/-- 06/12/2023 FAIL
Meteorology
1296 19850177 P-23462944 CPL Air - 86/100 --/-- 06/12/2023 PASS
Regulation
1297 19850178 P-23462407 CPL Air - 78/100 --/-- 06/12/2023 PASS
Regulation
1298 19850179 P-23460960 CPL Aviation - 52/100 --/-- 06/12/2023 FAIL
Meteorology
1299 19850180 P-23462960 CPL Air - 78/100 --/-- 06/12/2023 PASS
Navigation
1300 19850181 P-23463739 CPL Air - 84/100 --/-- 06/12/2023 PASS
Navigation
1301 19850181 P-23463739 CPL Aviation - 84/100 --/-- 06/12/2023 PASS
Meteorology
1302 19850182 P-21462310 CPL Aviation - 50/100 --/-- 06/12/2023 FAIL
Meteorology
1303 19850183 P-23463267 CPL Air - 72/100 --/-- 06/12/2023 PASS
Regulation
1304 19850184 P-23462152 CPL Air - 69/100 --/-- 06/12/2023 FAIL
Navigation
1305 19850185 P-23464144 CPL Aviation - 90/100 --/-- 06/12/2023 PASS
Meteorology
1306 19850186 P-23463450 CPL Aviation - 62/100 --/-- 06/12/2023 FAIL
Meteorology
1307 19850187 P-23462111 CPL Aviation - 60/100 --/-- 06/12/2023 FAIL
Meteorology
1308 19850188 P-23462168 CPL Air - 72/100 --/-- 06/12/2023 PASS
Navigation
1309 19850189 P-23463100 CPL Aviation - 54/100 --/-- 06/12/2023 FAIL
Meteorology
1310 19850189 P-23463100 CPL Technical - 60/100 --/-- 06/12/2023 FAIL
General
1311 19850190 P-23462151 CPL Air - 69/100 --/-- 06/12/2023 FAIL
Navigation

Wed Dec 06 2023 11:39:00 page 56 of 61


S.No Roll No Computer Lic. Subject Aircraft Obj Essay ResultDate Status
No Category Marks Marks
1312 19850191 P-23462106 CPL Aviation - --/100 --/-- 06/12/2023 Absent
Meteorology
1313 19850192 P-17453411 CPL Technical P-68 C 80/100 --/-- 06/12/2023 PASS
Specific
1314 19850193 P-23463000 CPL Air - 72/100 --/-- 06/12/2023 PASS
Regulation
1315 19850194 P-22462190 CPL Air - 73/100 --/-- 06/12/2023 PASS
Navigation
1316 19850195 P-23462391 CPL Air - 74/100 --/-- 06/12/2023 PASS
Navigation
1317 19850196 P-23460696 CPL Aviation - 62/100 --/-- 06/12/2023 FAIL
Meteorology
1318 19850197 P-23462095 CPL Technical - 78/100 --/-- 06/12/2023 PASS
General
1319 19850198 P-21461707 CPL Air - 46/100 --/-- 06/12/2023 FAIL
Regulation
1320 19850199 P-23460852 CPL Air - 68/100 --/-- 06/12/2023 FAIL
Regulation
1321 19850200 P-23463604 CPL Aviation - 70/100 --/-- 06/12/2023 PASS
Meteorology
1322 19850201 P-23463532 CPL Aviation - 70/100 --/-- 06/12/2023 PASS
Meteorology
1323 19850202 P-23460599 CPL Aviation - 42/100 --/-- 06/12/2023 FAIL
Meteorology
1324 19850203 P-23463678 CPL Aviation - 86/100 --/-- 06/12/2023 PASS
Meteorology
1325 19850204 P-23463868 CPL Aviation - 80/100 --/-- 06/12/2023 PASS
Meteorology
1326 19850205 P-23462379 CPL Aviation - 70/100 --/-- 06/12/2023 PASS
Meteorology
1327 19850206 P-17453941 CPL Air - --/100 --/-- 06/12/2023 Absent
Navigation
1328 19850206 P-17453941 CPL Aviation - --/100 --/-- 06/12/2023 Absent
Meteorology
1329 19850206 P-17453941 CPL Technical TECNAM --/100 --/-- 06/12/2023 Absent
Specific P2006T
1330 19850207 P-23460646 CPL Technical - --/100 --/-- 06/12/2023 Absent
General
1331 19850208 P-23463769 CPL Air - 76/100 --/-- 06/12/2023 PASS
Navigation
1332 19850209 P-23462315 CPL Air - 80/100 --/-- 06/12/2023 PASS
Navigation
1333 19850210 P-23462275 CPL Aviation - 90/100 --/-- 06/12/2023 PASS
Meteorology
1334 19850211 P-23462561 CPL Air - 78/100 --/-- 06/12/2023 PASS
Navigation
1335 19850212 P-22462020 CPL Air - 54/100 --/-- 06/12/2023 FAIL
Navigation

Wed Dec 06 2023 11:39:00 page 57 of 61


S.No Roll No Computer Lic. Subject Aircraft Obj Essay ResultDate Status
No Category Marks Marks
1336 19850213 P-22463201 CPL Air - 64/100 --/-- 06/12/2023 FAIL
Regulation
1337 19850214 P-22462113 CPL Air - 63/100 --/-- 06/12/2023 FAIL
Navigation
1338 19850215 P-23462685 CPL Aviation - 70/100 --/-- 06/12/2023 PASS
Meteorology
1339 19850216 P-23463236 CPL Aviation - 76/100 --/-- 06/12/2023 PASS
Meteorology
1340 19850216 P-23463236 CPL Air - 74/100 --/-- 06/12/2023 PASS
Regulation
1341 19850217 P-23463249 CPL Aviation - 80/100 --/-- 06/12/2023 PASS
Meteorology
1342 19850218 P-23463895 CPL Aviation - 76/100 --/-- 06/12/2023 PASS
Meteorology
1343 19850219 P-23463259 CPL Aviation - 46/100 --/-- 06/12/2023 FAIL
Meteorology
1344 19850219 P-23463259 CPL Air - 58/100 --/-- 06/12/2023 FAIL
Regulation
1345 19850220 P-23463261 CPL Air - 64/100 --/-- 06/12/2023 FAIL
Regulation
1346 19850221 P-21461676 CPL Technical - 63/100 --/-- 06/12/2023 FAIL
General
1347 19850222 P-23463198 CPL Air - 64/100 --/-- 06/12/2023 FAIL
Navigation
1348 19850223 P-22463065 CPL Air - 87/100 --/-- 06/12/2023 PASS
Navigation
1349 19850224 P-22463317 CPL Air - 60/100 --/-- 06/12/2023 FAIL
Regulation
1350 19850225 P-22461872 CPL Technical - --/100 --/-- 06/12/2023 Absent
General
1351 19850226 P-23461915 CPL Aviation - 88/100 --/-- 06/12/2023 PASS
Meteorology
1352 19850227 P-22462240 CPL Aviation - 50/100 --/-- 06/12/2023 FAIL
Meteorology
1353 19850228 P-23463461 CPL Aviation - 78/100 --/-- 06/12/2023 PASS
Meteorology
1354 19850229 P-23463096 CPL Air - 64/100 --/-- 06/12/2023 FAIL
Navigation
1355 19850230 P-22461250 CPL Air - 66/100 --/-- 06/12/2023 FAIL
Regulation
1356 19850231 P-23462155 CPL Air - 71/100 --/-- 06/12/2023 PASS
Navigation
1357 19850232 P-22461031 CPL Air - 61/100 --/-- 06/12/2023 FAIL
Navigation
1358 19850232 P-22461031 CPL Technical - 68/100 --/-- 06/12/2023 FAIL
General
1359 19850233 P-21462022 CPL Aviation - 68/100 --/-- 06/12/2023 FAIL
Meteorology

Wed Dec 06 2023 11:39:00 page 58 of 61


S.No Roll No Computer Lic. Subject Aircraft Obj Essay ResultDate Status
No Category Marks Marks
1360 19850234 P-23462534 CPL Air - 74/100 --/-- 06/12/2023 PASS
Navigation
1361 19850235 P-23463512 CPL Air - 82/100 --/-- 06/12/2023 PASS
Navigation
1362 19850235 P-23463512 CPL Aviation - 70/100 --/-- 06/12/2023 PASS
Meteorology
1363 19850235 P-23463512 CPL Air - 76/100 --/-- 06/12/2023 PASS
Regulation
1364 19850236 P-23463213 CPL Aviation - 94/100 --/-- 06/12/2023 PASS
Meteorology
1365 19850237 P-23461752 CPL Air - 71/100 --/-- 06/12/2023 PASS
Navigation
1366 19850238 P-23462201 CPL Technical TECNAM 92/100 --/-- 06/12/2023 PASS
Specific P2006T
1367 19850239 P-23460675 CPL Air - 84/100 --/-- 06/12/2023 PASS
Navigation
1368 19850240 P-23464075 CPL Air - 86/100 --/-- 06/12/2023 PASS
Regulation
1369 19850241 P-23460527 CPL Air - 74/100 --/-- 06/12/2023 PASS
Navigation
1370 19850242 P-23462159 CPL Technical - 76/100 --/-- 06/12/2023 PASS
General
1371 19850243 P-23462147 CPL Air - 78/100 --/-- 06/12/2023 PASS
Regulation
1372 19850244 P-23462813 CPL Air - 76/100 --/-- 06/12/2023 PASS
Regulation
1373 19850245 P-23460782 CPL Aviation - 58/100 --/-- 06/12/2023 FAIL
Meteorology
1374 19850246 P-23462843 CPL Aviation - 60/100 --/-- 06/12/2023 FAIL
Meteorology
1375 19850247 P-23462370 CPL Aviation - 52/100 --/-- 06/12/2023 FAIL
Meteorology
1376 19850248 P-23463068 CPL Aviation - 80/100 --/-- 06/12/2023 PASS
Meteorology
1377 19850249 P-23462673 CPL Air - 66/100 --/-- 06/12/2023 FAIL
Regulation
1378 19850250 P-23461054 CPL Technical - 76/100 --/-- 06/12/2023 PASS
General
1379 19850251 P-23461700 CPL Technical - 83/100 --/-- 06/12/2023 PASS
General
1380 19850252 P-23462437 CPL Air - 78/100 --/-- 06/12/2023 PASS
Navigation
1381 19850253 P-21461038 CPL Aviation - 86/100 --/-- 06/12/2023 PASS
Meteorology
1382 19850254 P-23462207 CPL Air - 56/100 --/-- 06/12/2023 FAIL
Regulation
1383 19850255 P-23463624 CPL Air - 74/100 --/-- 06/12/2023 PASS
Regulation

Wed Dec 06 2023 11:39:00 page 59 of 61


S.No Roll No Computer Lic. Subject Aircraft Obj Essay ResultDate Status
No Category Marks Marks
1384 19850256 P-23463760 CPL Aviation - 74/100 --/-- 06/12/2023 PASS
Meteorology
1385 19850257 P-23460695 CPL Air - 68/100 --/-- 06/12/2023 FAIL
Navigation
1386 19850258 P-23461899 CPL Technical - 75/100 --/-- 06/12/2023 PASS
General
1387 19850259 P-23463921 CPL Aviation - 74/100 --/-- 06/12/2023 PASS
Meteorology
1388 19850259 P-23463921 CPL Air - 68/100 --/-- 06/12/2023 FAIL
Regulation
1389 19850260 P-23462103 CPL Air - 88/100 --/-- 06/12/2023 PASS
Regulation
1390 19850261 P-23461032 CPL Air - 60/100 --/-- 06/12/2023 FAIL
Regulation
1391 19850262 P-23462113 CPL Technical - 78/100 --/-- 06/12/2023 PASS
General
1392 19850263 P-23463414 CPL Technical - 46/100 --/-- 06/12/2023 FAIL
General
1393 19850264 P-22461081 CPL Aviation - 72/100 --/-- 06/12/2023 PASS
Meteorology
1394 19850264 P-22461081 CPL Technical - 72/100 --/-- 06/12/2023 PASS
General
1395 19850265 P-22463237 CPL Air - 79/100 --/-- 06/12/2023 PASS
Navigation
1396 19850266 P-21461903 CPL Technical - 76/100 --/-- 06/12/2023 PASS
General
1397 19850267 P-21462305 CPL Technical Cessna 58/100 --/-- 06/12/2023 FAIL
Specific 172 R
1398 19850268 P-23460120 CPL Air - 76/100 --/-- 06/12/2023 PASS
Regulation
1399 19850269 P-23462344 CPL Technical - 84/100 --/-- 06/12/2023 PASS
General
1400 19850270 P-20460899 CPL Technical Tecnam 60/100 --/-- 06/12/2023 FAIL
Specific P2010TDI
1401 19850271 P-23463810 CPL Air - 62/100 --/-- 06/12/2023 FAIL
Regulation
1402 19850272 P-23463850 CPL Air - 74/100 --/-- 06/12/2023 PASS
Navigation
1403 19850273 P-23463740 CPL Aviation - 58/100 --/-- 06/12/2023 FAIL
Meteorology
1404 19850273 P-23463740 CPL Air - 46/100 --/-- 06/12/2023 FAIL
Regulation
1405 19850274 P-23461991 CPL Aviation - 58/100 --/-- 06/12/2023 FAIL
Meteorology
1406 19850275 P-08028726 CPL Technical Tecnam 84/100 --/-- 06/12/2023 PASS
Specific P2010TDI
1407 19850276 P-23462947 CPL Air - 84/100 --/-- 06/12/2023 PASS
Regulation

Wed Dec 06 2023 11:39:00 page 60 of 61


S.No Roll No Computer Lic. Subject Aircraft Obj Essay ResultDate Status
No Category Marks Marks
1408 19850277 P-21460638 CPL Technical - 65/100 --/-- 06/12/2023 FAIL
General
1409 19850278 P-23463618 CPL Air - 57/100 --/-- 06/12/2023 FAIL
Navigation
1410 19850278 P-23463618 CPL Aviation - 60/100 --/-- 06/12/2023 FAIL
Meteorology
1411 19850279 P-23463498 CPL Air - 64/100 --/-- 06/12/2023 FAIL
Regulation
1412 19850280 P-23461968 CPL Technical - 70/100 --/-- 06/12/2023 PASS
General
1413 19850281 P-23463979 CPL Aviation - 68/100 --/-- 06/12/2023 FAIL
Meteorology
1414 19850282 P-23462971 CPL Air - 88/100 --/-- 06/12/2023 PASS
Navigation

Wed Dec 06 2023 11:39:00 page 61 of 61

You might also like