KEMBAR78
PDF Viewer | PDF | Aviation | Aircraft
0% found this document useful (0 votes)
22 views107 pages

PDF Viewer

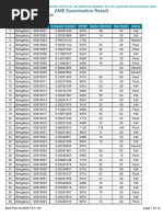
The document presents the results of the Flight Crew Licence Examination for the session OLODE FC 04 of 2025, listing candidates' roll numbers, subjects, scores, and their pass/fail status. A total of 82 candidates are evaluated, with several achieving passing marks in various subjects, while many others failed or were absent. The results indicate a mix of performance across different subjects, particularly in Air Navigation and Meteorology.
Copyright
© © All Rights Reserved
We take content rights seriously. If you suspect this is your content, claim it here.
Available Formats
Download as PDF, TXT or read online on Scribd
0% found this document useful (0 votes)
22 views107 pages

PDF Viewer

The document presents the results of the Flight Crew Licence Examination for the session OLODE FC 04 of 2025, listing candidates' roll numbers, subjects, scores, and their pass/fail status. A total of 82 candidates are evaluated, with several achieving passing marks in various subjects, while many others failed or were absent. The results indicate a mix of performance across different subjects, particularly in Air Navigation and Meteorology.
Copyright
© © All Rights Reserved
We take content rights seriously. If you suspect this is your content, claim it here.
Available Formats
Download as PDF, TXT or read online on Scribd
You are on page 1/ 107

CENTRAL EXAMINATION ORGANISATION, OFFICE OF THE DIRECTOR GENERAL OF CIVIL AVIATION, RK PURAM,New Delhi

Flight Crew Licence Examination Result


Session:OLODE FC 04 OF 2025 On Demand Session

S.No Roll No Computer Lic. Subject Aircraft Obj Essay ResultDate Status
No Category Marks Marks
1 03850001 P-24466445 CPL Air - 52/100 --/-- 27/05/2025 FAIL
Regulation
2 03850002 P-22461177 CPL Air - 57/100 --/-- 27/05/2025 FAIL
Navigation
3 03850003 P-25462383 CPL Air - 62/100 --/-- 27/05/2025 FAIL
Navigation
4 03850004 P-25462592 CPL Aviation - 66/100 --/-- 27/05/2025 FAIL
Meteorology
5 03850004 P-25462592 CPL Air - 64/100 --/-- 27/05/2025 FAIL
Regulation
6 03850005 P-24466200 CPL Air - --/100 --/-- 27/05/2025 Absent
Navigation
7 03850006 P-24461735 CPL Air - 67/100 --/-- 27/05/2025 FAIL
Navigation
8 03850007 P-25460312 CPL Air - 72/100 --/-- 27/05/2025 PASS
Regulation
9 03850008 P-25460050 CPL Air - --/100 --/-- 27/05/2025 Absent
Navigation
10 03850009 P-24465702 CPL Air - --/100 --/-- 27/05/2025 Absent
Regulation
11 03850010 P-24466529 CPL Air - 32/100 --/-- 27/05/2025 FAIL
Navigation
12 03850011 P-21462043 CPL Technical TECNAM 92/100 --/-- 27/05/2025 PASS
Specific P2006T
13 03850012 P-25462542 CPL Aviation - 30/100 --/-- 27/05/2025 FAIL
Meteorology
14 03850013 P-24465996 CPL Air - 64/100 --/-- 27/05/2025 FAIL
Regulation
15 03850014 P-22462226 CPL Air - 65/100 --/-- 27/05/2025 FAIL
Navigation
16 03850015 P-25461654 CPL Aviation - 74/100 --/-- 27/05/2025 PASS
Meteorology
17 03850016 P-24464849 CPL Air - 68/100 --/-- 27/05/2025 FAIL
Regulation
18 03850017 P-24466925 CPL Air - 47/100 --/-- 27/05/2025 FAIL
Navigation
19 03850018 P-24465527 CPL Technical - 44/100 --/-- 27/05/2025 FAIL
General
20 03850019 P-25462142 CPL Aviation - 78/100 --/-- 27/05/2025 PASS
Meteorology
21 03850020 P-25460519 CPL Air - 66/100 --/-- 27/05/2025 FAIL
Regulation
22 03850021 P-24465599 CPL Air - 70/100 --/-- 27/05/2025 PASS
Navigation

Wed May 28 2025 18:23:11 page 1 of 107


S.No Roll No Computer Lic. Subject Aircraft Obj Essay ResultDate Status
No Category Marks Marks
23 03850022 P-25462596 CPL Air - 50/100 --/-- 27/05/2025 FAIL
Regulation
24 03850023 P-24460459 CPL Air - --/100 --/-- 27/05/2025 Absent
Regulation
25 03850024 P-24465342 CPL Aviation - 58/100 --/-- 27/05/2025 FAIL
Meteorology
26 03850025 P-25460772 CPL Air - 78/100 --/-- 27/05/2025 PASS
Navigation
27 03850026 P-25462174 CPL Aviation - 54/100 --/-- 27/05/2025 FAIL
Meteorology
28 03850027 P-24463748 CPL Technical Diamond 88/100 --/-- 27/05/2025 PASS
Specific DA-42
Thielert
29 03850028 P-25461028 CPL Aviation - 52/100 --/-- 27/05/2025 FAIL
Meteorology
30 03850029 P-23461513 CPL Technical - --/100 --/-- 27/05/2025 Absent
General
31 03850030 P-19460696 CPL Technical Tecnam P 74/100 --/-- 27/05/2025 PASS
Specific Mentor
32 03850031 P-24464333 CPL Air - 66/100 --/-- 27/05/2025 FAIL
Regulation
33 03850032 P-24465268 CPL Air - 58/100 --/-- 27/05/2025 FAIL
Navigation
34 03850033 P-24466040 CPL Air - 84/100 --/-- 27/05/2025 PASS
Regulation
35 03850034 P-25461224 CPL Air - 56/100 --/-- 27/05/2025 FAIL
Regulation
36 03850035 P-25460443 CPL Technical - 71/100 --/-- 27/05/2025 PASS
General
37 03850036 P-24465720 CPL Aviation - 52/100 --/-- 27/05/2025 FAIL
Meteorology
38 03850037 P-25461285 CPL Aviation - 42/100 --/-- 27/05/2025 FAIL
Meteorology
39 03850038 P-24466486 CPL Aviation - 72/100 --/-- 27/05/2025 PASS
Meteorology
40 03850039 P-24462769 CPL Air - 65/100 --/-- 27/05/2025 FAIL
Navigation
41 03850040 P-24466528 CPL Aviation - 58/100 --/-- 27/05/2025 FAIL
Meteorology
42 03850041 P-24465360 CPL Air - 51/100 --/-- 27/05/2025 FAIL
Navigation
43 03850042 P-25460084 CPL Air - 80/100 --/-- 27/05/2025 PASS
Navigation
44 03850043 P-24462073 CPL Air - --/100 --/-- 27/05/2025 Absent
Navigation
45 03850044 P-25460995 CPL Air - 62/100 --/-- 27/05/2025 FAIL
Regulation

Wed May 28 2025 18:23:11 page 2 of 107


S.No Roll No Computer Lic. Subject Aircraft Obj Essay ResultDate Status
No Category Marks Marks
46 03850045 P-25461550 CPL Aviation - 66/100 --/-- 27/05/2025 FAIL
Meteorology
47 03850046 P-22461255 CPLCG Air - 70/100 --/-- 27/05/2025 PASS
(Conversion) Navigation
Comp
48 03850047 P-25461633 CPL Air - 61/100 --/-- 27/05/2025 FAIL
Navigation
49 03850048 P-24467148 CPL Aviation - 70/100 --/-- 27/05/2025 PASS
Meteorology
50 03850049 P-24463478 CPL Air - 64/100 --/-- 27/05/2025 FAIL
Regulation
51 03850050 P-25461629 CPL Aviation - 42/100 --/-- 27/05/2025 FAIL
Meteorology
52 03850051 P-24467233 CPL Air - 53/100 --/-- 27/05/2025 FAIL
Navigation
53 03850052 P-25462485 CPL Aviation - 78/100 --/-- 27/05/2025 PASS
Meteorology
54 03850053 P-23462583 CPL Air - 72/100 --/-- 27/05/2025 PASS
Navigation
55 03850054 P-24466620 CPL Aviation - 70/100 --/-- 27/05/2025 PASS
Meteorology
56 03850055 P-25460775 CPL Aviation - 50/100 --/-- 27/05/2025 FAIL
Meteorology
57 03850056 P-25460886 CPL Aviation - 92/100 --/-- 27/05/2025 PASS
Meteorology
58 03850057 P-25461157 CPL Air - 84/100 --/-- 27/05/2025 PASS
Regulation
59 03850058 P-25460343 CPL Aviation - 66/100 --/-- 27/05/2025 FAIL
Meteorology
60 03850059 P-25461529 CPL Air - 74/100 --/-- 27/05/2025 PASS
Regulation
61 03850060 P-24461357 CPL Technical - --/100 --/-- 27/05/2025 Absent
General
62 03850061 P-25461552 CPL Air - 66/100 --/-- 27/05/2025 FAIL
Regulation
63 03850062 P-24467319 CPL Aviation - 64/100 --/-- 27/05/2025 FAIL
Meteorology
64 03850063 P-25460042 CPL Air - 70/100 --/-- 27/05/2025 PASS
Regulation
65 03850064 P-24460723 CPL Technical TECNAM 96/100 --/-- 27/05/2025 PASS
Specific P2006T
66 03850065 P-22461763 CPL Technical TECNAM 82/100 --/-- 27/05/2025 PASS
Specific P2006T
67 03850066 P-24466520 CPL Air - 68/100 --/-- 27/05/2025 FAIL
Regulation
68 03850067 P-25461584 CPL Air - 62/100 --/-- 27/05/2025 FAIL
Navigation

Wed May 28 2025 18:23:11 page 3 of 107


S.No Roll No Computer Lic. Subject Aircraft Obj Essay ResultDate Status
No Category Marks Marks
69 03850068 P-25461289 CPL Air - 72/100 --/-- 27/05/2025 PASS
Regulation
70 03850069 P-25460172 CPL Air - 62/100 --/-- 27/05/2025 FAIL
Regulation
71 03850070 P-25461921 CPL Aviation - --/100 --/-- 27/05/2025 Absent
Meteorology
72 03850071 P-22461931 CPL Air - 80/100 --/-- 27/05/2025 PASS
Regulation
73 03850072 P-24460028 CPL Air - 44/100 --/-- 27/05/2025 FAIL
Navigation
74 03850073 P-25461374 CPL Air - 61/100 --/-- 27/05/2025 FAIL
Navigation
75 03850074 P-25462222 CPL Aviation - 80/100 --/-- 27/05/2025 PASS
Meteorology
76 03850074 P-25462222 CPL Air - 88/100 --/-- 27/05/2025 PASS
Regulation
77 03850075 P-24467405 CPL Air - 54/100 --/-- 27/05/2025 FAIL
Navigation
78 03850076 P-16451959 CPL Technical Tecnam P 46/100 --/-- 27/05/2025 FAIL
Specific Mentor
79 03850077 P-23464822 CPL Air - 70/100 --/-- 27/05/2025 PASS
Navigation
80 03850078 P-25461622 CPL Air - 64/100 --/-- 27/05/2025 FAIL
Regulation
81 03850079 P-25462067 CPL Aviation - 80/100 --/-- 27/05/2025 PASS
Meteorology
82 03850079 P-25462067 CPL Air - 72/100 --/-- 27/05/2025 PASS
Regulation
83 03850080 P-25461546 CPL Air - 46/100 --/-- 27/05/2025 FAIL
Regulation
84 03850081 P-25460646 CPL Air - 76/100 --/-- 27/05/2025 PASS
Regulation
85 03850082 P-25461966 CPL Aviation - 90/100 --/-- 27/05/2025 PASS
Meteorology
86 03850083 P-22460823 CPL Technical - 65/100 --/-- 27/05/2025 FAIL
General
87 03850084 P-18460244 CPL Technical Cessna 86/100 --/-- 27/05/2025 PASS
Specific 172 R
88 03850085 P-25462139 CPL Aviation - 74/100 --/-- 27/05/2025 PASS
Meteorology
89 03850086 P-24467301 CPL Air - 76/100 --/-- 27/05/2025 PASS
Regulation
90 03850087 P-24465454 CPL Aviation - 72/100 --/-- 27/05/2025 PASS
Meteorology
91 03850088 P-25461637 CPL Air - 74/100 --/-- 27/05/2025 PASS
Regulation
92 03850089 P-24466416 CPL Aviation - 72/100 --/-- 27/05/2025 PASS
Meteorology

Wed May 28 2025 18:23:11 page 4 of 107


S.No Roll No Computer Lic. Subject Aircraft Obj Essay ResultDate Status
No Category Marks Marks
93 03850089 P-24466416 CPL Technical Cessna 74/100 --/-- 27/05/2025 PASS
Specific 172 R
94 03850090 P-25460569 CPL Air - 52/100 --/-- 27/05/2025 FAIL
Regulation
95 03850091 P-25461662 CPL Aviation - 86/100 --/-- 27/05/2025 PASS
Meteorology
96 03850092 P-25462167 CPL Aviation - 84/100 --/-- 27/05/2025 PASS
Meteorology
97 03850093 P-25460941 CPL Air - 45/100 --/-- 27/05/2025 FAIL
Navigation
98 03850094 P-25462168 CPL Air - 85/100 --/-- 27/05/2025 PASS
Navigation
99 03850095 P-22462169 CPL Air - 69/100 --/-- 27/05/2025 FAIL
Navigation
100 03850095 P-22462169 CPL Aviation - 68/100 --/-- 27/05/2025 FAIL
Meteorology
101 03850096 P-25461764 CPL Aviation - 80/100 --/-- 27/05/2025 PASS
Meteorology
102 03850097 P-23463807 CPL Air - 74/100 --/-- 27/05/2025 PASS
Regulation
103 03850098 P-23464548 CPL Air - 74/100 --/-- 27/05/2025 PASS
Navigation
104 03850099 P-23462704 CPL Air - 84/100 --/-- 27/05/2025 PASS
Regulation
105 03850100 P-20460978 CPL Air - 53/100 --/-- 27/05/2025 FAIL
Navigation
106 03850100 P-20460978 CPL Technical - 65/100 --/-- 27/05/2025 FAIL
General
107 03850101 P-25461774 CPL Air - 78/100 --/-- 27/05/2025 PASS
Regulation
108 03850102 P-21460759 CPL Air - 73/100 --/-- 27/05/2025 PASS
Navigation
109 03850103 P-25462392 CPL Aviation - 66/100 --/-- 27/05/2025 FAIL
Meteorology
110 03850104 P-24465411 CPL Air - 36/100 --/-- 27/05/2025 FAIL
Navigation
111 03850105 P-25462166 CPL Air - 73/100 --/-- 27/05/2025 PASS
Navigation
112 03850106 P-24465698 CPL Air - 84/100 --/-- 27/05/2025 PASS
Regulation
113 03850107 P-24463859 CPL Air - 76/100 --/-- 27/05/2025 PASS
Regulation
114 03850108 P-25462216 CPL Aviation - 80/100 --/-- 27/05/2025 PASS
Meteorology
115 03850109 P-23464838 CPL Air - --/100 --/-- 27/05/2025 Absent
Navigation
116 03850110 P-24464721 CPL Technical Cessna 92/100 --/-- 27/05/2025 PASS
Specific 152 A

Wed May 28 2025 18:23:11 page 5 of 107


S.No Roll No Computer Lic. Subject Aircraft Obj Essay ResultDate Status
No Category Marks Marks
117 03850111 P-24461847 CPL Air - 82/100 --/-- 27/05/2025 PASS
Regulation
118 03850112 P-24460489 CPLCG Technical Diamond 90/100 --/-- 27/05/2025 PASS
(Defence) Specific DA 42
Austro
119 03850113 P-19462210 CPL Air - 78/100 --/-- 27/05/2025 PASS
Regulation
120 03850114 P-22462555 CPL Air - --/100 --/-- 27/05/2025 Absent
Navigation
121 03850115 P-24461413 CPL Air - 44/100 --/-- 27/05/2025 FAIL
Navigation
122 03850116 P-25460965 CPL Air - 66/100 --/-- 27/05/2025 FAIL
Regulation
123 03850117 P-24460753 CPL Air - 54/100 --/-- 27/05/2025 FAIL
Navigation
124 03850118 P-24466029 CPL Air - --/100 --/-- 27/05/2025 Absent
Regulation
125 03850119 P-24467219 CPL Aviation - 64/100 --/-- 27/05/2025 FAIL
Meteorology
126 03850120 P-24465670 CPL Technical - 70/100 --/-- 27/05/2025 PASS
General
127 03850121 P-24463977 CPL Aviation - 72/100 --/-- 27/05/2025 PASS
Meteorology
128 03850122 P-25460151 CPL Aviation - 64/100 --/-- 27/05/2025 FAIL
Meteorology
129 03850123 P-25460359 CPL Air - 61/100 --/-- 27/05/2025 FAIL
Navigation
130 03850124 P-23460045 CPL Aviation - 64/100 --/-- 27/05/2025 FAIL
Meteorology
131 03850125 P-24465090 CPL Air - 68/100 --/-- 27/05/2025 FAIL
Regulation
132 03850126 P-24460589 CPL Technical - 91/100 --/-- 27/05/2025 PASS
General
133 03850127 P-25460910 CPL Air - 58/100 --/-- 27/05/2025 FAIL
Regulation
134 03850128 P-22462464 CPL Air - 65/100 --/-- 27/05/2025 FAIL
Navigation
135 03850129 P-22461597 CPL Technical - 68/100 --/-- 27/05/2025 FAIL
General
136 03850129 P-22461597 CPL Technical TECNAM 82/100 --/-- 27/05/2025 PASS
Specific P2006T
137 03850130 P-25460319 CPL Technical - 68/100 --/-- 27/05/2025 FAIL
General
138 03850130 P-25460319 CPL Technical Cessna 68/100 --/-- 27/05/2025 FAIL
Specific 172 R
139 03850131 P-25461393 CPL Air - 82/100 --/-- 27/05/2025 PASS
Navigation

Wed May 28 2025 18:23:11 page 6 of 107


S.No Roll No Computer Lic. Subject Aircraft Obj Essay ResultDate Status
No Category Marks Marks
140 03850132 P-24465973 CPL Air - 58/100 --/-- 27/05/2025 FAIL
Regulation
141 03850133 P-25460334 CPL Air - --/100 --/-- 27/05/2025 Absent
Regulation
142 03850134 P-24466856 CPL Technical - 65/100 --/-- 27/05/2025 FAIL
General
143 03850135 P-25461929 CPL Aviation - 54/100 --/-- 27/05/2025 FAIL
Meteorology
144 03850136 P-25460755 CPL Air - 80/100 --/-- 27/05/2025 PASS
Regulation
145 03850137 P-24467294 CPL Air - 78/100 --/-- 27/05/2025 PASS
Regulation
146 03850138 P-25460711 CPL Aviation - 70/100 --/-- 27/05/2025 PASS
Meteorology
147 03850139 P-16451221 CPL Technical - --/100 --/-- 27/05/2025 Absent
General
148 03850140 P-23463382 CPL Aviation - 64/100 --/-- 27/05/2025 FAIL
Meteorology
149 03850141 P-17453499 CPL Technical Tecnam P 64/100 --/-- 27/05/2025 FAIL
Specific Mentor
150 03850142 P-23460314 CPL Air - 62/100 --/-- 27/05/2025 FAIL
Regulation
151 03850143 P-24465590 CPL Air - 76/100 --/-- 27/05/2025 PASS
Navigation
152 03850144 P-24467271 CPL Aviation - 70/100 --/-- 27/05/2025 PASS
Meteorology
153 03850145 P-25460785 CPL Air - 44/100 --/-- 27/05/2025 FAIL
Navigation
154 03850146 P-25462305 CPL Aviation - 70/100 --/-- 27/05/2025 PASS
Meteorology
155 03850147 P-22462155 CPL Technical Tecnam P 52/100 --/-- 27/05/2025 FAIL
Specific Mentor
156 03850148 P-25462263 CPL Air - 68/100 --/-- 27/05/2025 FAIL
Navigation
157 03850149 P-24461285 CPL Technical - 71/100 --/-- 27/05/2025 PASS
General
158 03850150 P-22461563 CPL Air - --/100 --/-- 27/05/2025 Absent
Navigation
159 03850151 P-25460187 CPL Aviation - 76/100 --/-- 27/05/2025 PASS
Meteorology
160 03850151 P-25460187 CPL Air - 72/100 --/-- 27/05/2025 PASS
Regulation
161 03850152 P-24465900 CPL Air - 76/100 --/-- 27/05/2025 PASS
Regulation
162 03850153 P-25461747 CPL Aviation - 88/100 --/-- 27/05/2025 PASS
Meteorology
163 03850154 P-21461333 CPL Air - 59/100 --/-- 27/05/2025 FAIL
Navigation

Wed May 28 2025 18:23:11 page 7 of 107


S.No Roll No Computer Lic. Subject Aircraft Obj Essay ResultDate Status
No Category Marks Marks
164 03850155 P-09031313 CPL Technical Piper --/100 --/-- 27/05/2025 Absent
Specific Seneca
P A-34
165 03850156 P-24463559 CPL Air - 45/100 --/-- 27/05/2025 FAIL
Navigation
166 03850157 P-22461829 CPL Air - 51/100 --/-- 27/05/2025 FAIL
Navigation
167 03850158 P-25462138 CPL Air - 57/100 --/-- 27/05/2025 FAIL
Navigation
168 03850159 P-24466037 CPL Air - 60/100 --/-- 27/05/2025 FAIL
Regulation
169 03850159 P-24466037 CPL Technical Cessna 76/100 --/-- 27/05/2025 PASS
Specific 152 A
170 03850160 P-25462446 CPL Aviation - 68/100 --/-- 27/05/2025 FAIL
Meteorology
171 03850161 P-24465961 CPL Aviation - 66/100 --/-- 27/05/2025 FAIL
Meteorology
172 03850162 P-23463670 CPL Air - --/100 --/-- 27/05/2025 Absent
Regulation
173 03850163 P-24466022 CPL Air - 74/100 --/-- 27/05/2025 PASS
Regulation
174 03850164 P-25461960 CPL Aviation - 72/100 --/-- 27/05/2025 PASS
Meteorology
175 03850165 P-21461934 CPL Technical - 76/100 --/-- 27/05/2025 PASS
General
176 03850166 P-24467285 CPL Air - 56/100 --/-- 27/05/2025 FAIL
Navigation
177 03850167 P-25461433 CPL Air - 74/100 --/-- 27/05/2025 PASS
Regulation
178 03850168 P-24465752 CPL Air - 50/100 --/-- 27/05/2025 FAIL
Navigation
179 03850168 P-24465752 CPL Air - 40/100 --/-- 27/05/2025 FAIL
Regulation
180 03850168 P-24465752 CPL Technical - 67/100 --/-- 27/05/2025 FAIL
General
181 03850169 P-24461696 CPL Technical Cessna 90/100 --/-- 27/05/2025 PASS
Specific 172 R
182 03850170 P-25462310 CPL Aviation - 52/100 --/-- 27/05/2025 FAIL
Meteorology
183 03850171 P-25462190 CPL Aviation - 68/100 --/-- 27/05/2025 FAIL
Meteorology
184 03850172 P-25460290 CPL Aviation - 42/100 --/-- 27/05/2025 FAIL
Meteorology
185 03850173 P-24461164 CPL Air - --/100 --/-- 27/05/2025 Absent
Navigation
186 03850174 P-08028541 CPL Technical Cessna 84/100 --/-- 27/05/2025 PASS
Specific 152 A

Wed May 28 2025 18:23:11 page 8 of 107


S.No Roll No Computer Lic. Subject Aircraft Obj Essay ResultDate Status
No Category Marks Marks
187 03850175 P-21460890 CPL Aviation - --/100 --/-- 27/05/2025 Absent
Meteorology
188 03850175 P-21460890 CPL Technical - 57/100 --/-- 27/05/2025 FAIL
General
189 03850176 P-25461184 CPL Air - 66/100 --/-- 27/05/2025 FAIL
Regulation
190 03850177 P-24463444 CPL Air - 68/100 --/-- 27/05/2025 FAIL
Navigation
191 03850178 P-25462354 CPL Aviation - 46/100 --/-- 27/05/2025 FAIL
Meteorology
192 03850179 P-24466290 CPL Air - 64/100 --/-- 27/05/2025 FAIL
Navigation
193 03850180 P-24465559 CPL Air - 68/100 --/-- 27/05/2025 FAIL
Regulation
194 03850181 P-23463125 CPL Air - 81/100 --/-- 27/05/2025 PASS
Navigation
195 03850182 P-25461329 CPL Air - 56/100 --/-- 27/05/2025 FAIL
Regulation
196 03850183 P-22460937 CPL Technical Tecnam P 62/100 --/-- 27/05/2025 FAIL
Specific Mentor
197 03850184 P-24464911 CPL Air - 79/100 --/-- 27/05/2025 PASS
Navigation
198 03850185 P-24463259 CPL Air - 68/100 --/-- 27/05/2025 FAIL
Navigation
199 03850186 P-25461593 CPL Aviation - 78/100 --/-- 27/05/2025 PASS
Meteorology
200 03850187 P-20461259 CPL Air - 62/100 --/-- 27/05/2025 FAIL
Navigation
201 03850188 P-24461755 CPL Aviation - 74/100 --/-- 27/05/2025 PASS
Meteorology
202 03850189 P-23463939 CPL Air - 90/100 --/-- 27/05/2025 PASS
Regulation
203 03850190 P-24466164 CPL Air - 68/100 --/-- 27/05/2025 FAIL
Regulation
204 03850191 P-25460022 CPL Air - 83/100 --/-- 27/05/2025 PASS
Navigation
205 03850192 P-25461807 CPL Aviation - 94/100 --/-- 27/05/2025 PASS
Meteorology
206 03850193 P-18454487 CPL Technical - --/100 --/-- 27/05/2025 Absent
General
207 03850194 P-18454099 CPL Technical Tecnam P 66/100 --/-- 27/05/2025 FAIL
Specific Mentor
208 03850195 P-25461086 CPL Air - 70/100 --/-- 27/05/2025 PASS
Regulation
209 03850196 P-19462888 CPL Technical Diamond 92/100 --/-- 27/05/2025 PASS
Specific DA-42
Thielert

Wed May 28 2025 18:23:11 page 9 of 107


S.No Roll No Computer Lic. Subject Aircraft Obj Essay ResultDate Status
No Category Marks Marks
210 03850197 P-25462255 CPL Air - 27/100 --/-- 27/05/2025 FAIL
Navigation
211 03850198 P-24466135 CPL Aviation - 74/100 --/-- 27/05/2025 PASS
Meteorology
212 03850199 P-25460184 CPL Air - 66/100 --/-- 27/05/2025 FAIL
Regulation
213 03850200 P-22460185 CPL Air - --/100 --/-- 27/05/2025 Absent
Navigation
214 03850201 P-25461656 CPL Air - 78/100 --/-- 27/05/2025 PASS
Navigation
215 03850201 P-25461656 CPL Aviation - 78/100 --/-- 27/05/2025 PASS
Meteorology
216 03850202 P-24461642 CPL Air - 74/100 --/-- 27/05/2025 PASS
Regulation
217 03850203 P-22460227 CPL Air - --/100 --/-- 27/05/2025 Absent
Navigation
218 03850204 P-25461492 CPL Air - 46/100 --/-- 27/05/2025 FAIL
Regulation
219 03850205 P-25461762 CPL Air - 58/100 --/-- 27/05/2025 FAIL
Regulation
220 03850206 P-25460337 CPL Air - 71/100 --/-- 27/05/2025 PASS
Navigation
221 03850207 P-24466547 CPL Technical - 76/100 --/-- 27/05/2025 PASS
General
222 03850208 P-25462115 CPL Air - 78/100 --/-- 27/05/2025 PASS
Regulation
223 03850209 P-23464245 CPL Air - 50/100 --/-- 27/05/2025 FAIL
Navigation
224 03850209 P-23464245 CPL Technical - 53/100 --/-- 27/05/2025 FAIL
General
225 03850210 P-19460509 CPL Technical Tecnam P 66/100 --/-- 27/05/2025 FAIL
Specific Mentor
226 03850211 P-25462417 CPL Air - 53/100 --/-- 27/05/2025 FAIL
Navigation
227 03850212 P-24465880 CPL Air - 57/100 --/-- 27/05/2025 FAIL
Navigation
228 03850213 P-24462360 CPL Air - 65/100 --/-- 27/05/2025 FAIL
Navigation
229 03850214 P-25462360 CPL Air - 70/100 --/-- 27/05/2025 PASS
Regulation
230 03850215 P-25460920 CPL Air - 58/100 --/-- 27/05/2025 FAIL
Navigation
231 03850216 P-24461218 CPL Air - 88/100 --/-- 27/05/2025 PASS
Regulation
232 03850217 P-25461569 CPL Air - 76/100 --/-- 27/05/2025 PASS
Regulation
233 03850218 P-25460938 CPL Air - 73/100 --/-- 27/05/2025 PASS
Navigation

Wed May 28 2025 18:23:11 page 10 of 107


S.No Roll No Computer Lic. Subject Aircraft Obj Essay ResultDate Status
No Category Marks Marks
234 03850219 P-23460124 CPL Air - 62/100 --/-- 27/05/2025 FAIL
Navigation
235 03850220 P-25462114 CPL Air - 70/100 --/-- 27/05/2025 PASS
Regulation
236 03850221 P-24467258 CPL Air - 58/100 --/-- 27/05/2025 FAIL
Regulation
237 03850222 P-24462741 CPL Air - 62/100 --/-- 27/05/2025 FAIL
Regulation
238 03850223 P-25460901 CPL Aviation - --/100 --/-- 27/05/2025 Absent
Meteorology
239 03850224 P-24467130 CPL Air - 46/100 --/-- 27/05/2025 FAIL
Regulation
240 03850225 P-24465945 CPL Aviation - 62/100 --/-- 27/05/2025 FAIL
Meteorology
241 03850226 P-25461756 CPL Air - 72/100 --/-- 27/05/2025 PASS
Regulation
242 03850227 P-25462225 CPL Aviation - 64/100 --/-- 27/05/2025 FAIL
Meteorology
243 03850228 P-24461409 CPL Air - 40/100 --/-- 27/05/2025 FAIL
Navigation
244 03850229 P-24462483 CPL Air - 52/100 --/-- 27/05/2025 FAIL
Regulation
245 03850230 P-25462468 CPL Aviation - 52/100 --/-- 27/05/2025 FAIL
Meteorology
246 03850231 P-25460339 CPL Aviation - 58/100 --/-- 27/05/2025 FAIL
Meteorology
247 03850232 P-24460792 CPL Air - 41/100 --/-- 27/05/2025 FAIL
Navigation
248 03850233 P-25462495 CPL Aviation - 80/100 --/-- 27/05/2025 PASS
Meteorology
249 03850234 P-24463617 CPL Air - 44/100 --/-- 27/05/2025 FAIL
Regulation
250 03850235 P-25460165 CPL Aviation - 66/100 --/-- 27/05/2025 FAIL
Meteorology
251 03850236 P-25462410 CPL Aviation - 70/100 --/-- 27/05/2025 PASS
Meteorology
252 03850237 P-24460739 CPL Technical - 68/100 --/-- 27/05/2025 FAIL
General
253 03850238 P-25462223 CPL Aviation - 48/100 --/-- 27/05/2025 FAIL
Meteorology
254 03850239 P-23460941 CPL Air - 28/100 --/-- 27/05/2025 FAIL
Regulation
255 03850240 P-24463947 CPL Aviation - 60/100 --/-- 27/05/2025 FAIL
Meteorology
256 03850241 P-24465931 CPL Aviation - 74/100 --/-- 27/05/2025 PASS
Meteorology
257 03850242 P-23464426 CPL Aviation - 60/100 --/-- 27/05/2025 FAIL
Meteorology

Wed May 28 2025 18:23:11 page 11 of 107


S.No Roll No Computer Lic. Subject Aircraft Obj Essay ResultDate Status
No Category Marks Marks
258 03850243 P-19462515 CPL Air - 56/100 --/-- 27/05/2025 FAIL
Navigation
259 03850244 P-25460146 CPL Technical - 85/100 --/-- 27/05/2025 PASS
General
260 03850245 P-24462977 CPL Air - 68/100 --/-- 27/05/2025 FAIL
Regulation
261 03850246 P-24460945 CPL Aviation - 78/100 --/-- 27/05/2025 PASS
Meteorology
262 03850247 P-24465510 CPL Air - 66/100 --/-- 27/05/2025 FAIL
Regulation
263 03850248 P-23460331 CPL Technical Tecnam P 70/100 --/-- 27/05/2025 PASS
Specific Mentor
264 03850249 P-24465328 CPL Air - 56/100 --/-- 27/05/2025 FAIL
Navigation
265 03850250 P-25461365 CPL Aviation - 42/100 --/-- 27/05/2025 FAIL
Meteorology
266 03850251 P-24467099 CPL Air - 60/100 --/-- 27/05/2025 FAIL
Regulation
267 03850252 P-23461446 CPL Aviation - 70/100 --/-- 27/05/2025 PASS
Meteorology
268 03850253 P-24464256 CPL Air - 71/100 --/-- 27/05/2025 PASS
Navigation
269 03850254 P-23461865 CPL Air - 66/100 --/-- 27/05/2025 FAIL
Regulation
270 03850255 P-25462037 CPL Air - 82/100 --/-- 27/05/2025 PASS
Regulation
271 03850256 P-25460168 CPL Aviation - 40/100 --/-- 27/05/2025 FAIL
Meteorology
272 03850257 P-25461177 CPL Aviation - 64/100 --/-- 27/05/2025 FAIL
Meteorology
273 03850258 P-23464249 CPL Air - 74/100 --/-- 27/05/2025 PASS
Regulation
274 03850259 P-24460170 CPL Air - 63/100 --/-- 27/05/2025 FAIL
Navigation
275 03850260 P-22460940 CPL Technical - --/100 --/-- 27/05/2025 Absent
General
276 03850261 P-25461491 CPL Aviation - 84/100 --/-- 27/05/2025 PASS
Meteorology
277 03850262 P-24467283 CPL Air - --/100 --/-- 27/05/2025 Absent
Navigation
278 03850263 P-22462786 CPL Technical Tecnam P 76/100 --/-- 27/05/2025 PASS
Specific Mentor
279 03850264 P-25460294 CPL Aviation - 78/100 --/-- 27/05/2025 PASS
Meteorology
280 03850265 P-23464234 CPL Air - 56/100 --/-- 27/05/2025 FAIL
Regulation
281 03850266 P-25461361 CPL Aviation - 52/100 --/-- 27/05/2025 FAIL
Meteorology

Wed May 28 2025 18:23:11 page 12 of 107


S.No Roll No Computer Lic. Subject Aircraft Obj Essay ResultDate Status
No Category Marks Marks
282 03850267 P-24462811 CPL Air - 56/100 --/-- 27/05/2025 FAIL
Regulation
283 03850268 P-24467281 CPL Air - 53/100 --/-- 27/05/2025 FAIL
Navigation
284 03850269 P-24463630 CPL Air - 54/100 --/-- 27/05/2025 FAIL
Regulation
285 03850270 P-24465004 CPL Air - 57/100 --/-- 27/05/2025 FAIL
Navigation
286 03850271 P-24464903 CPL Air - 66/100 --/-- 27/05/2025 FAIL
Regulation
287 03850272 P-21462206 CPL Air - --/100 --/-- 27/05/2025 Absent
Regulation
288 03850273 P-22462227 CPL Air - 62/100 --/-- 27/05/2025 FAIL
Navigation
289 03850274 P-24465468 CPL Air - 36/100 --/-- 27/05/2025 FAIL
Regulation
290 03850275 P-25460721 CPL Technical - 69/100 --/-- 27/05/2025 FAIL
General
291 03850276 P-23460534 CPL Aviation - 80/100 --/-- 27/05/2025 PASS
Meteorology
292 03850277 P-25461642 CPL Aviation - --/100 --/-- 27/05/2025 Absent
Meteorology
293 03850278 P-24466202 CPL Air - 69/100 --/-- 27/05/2025 FAIL
Navigation
294 03850279 P-25460600 CPL Aviation - 66/100 --/-- 27/05/2025 FAIL
Meteorology
295 03850280 P-25461259 CPL Aviation - 86/100 --/-- 27/05/2025 PASS
Meteorology
296 03850281 P-25462528 CPL Aviation - 78/100 --/-- 27/05/2025 PASS
Meteorology
297 03850282 P-22463089 CPL Air - 51/100 --/-- 27/05/2025 FAIL
Navigation
298 03850282 P-22463089 CPL Technical Cessna 72/100 --/-- 27/05/2025 PASS
Specific 172 R
299 03850283 P-24460192 CPL Air - 56/100 --/-- 27/05/2025 FAIL
Regulation
300 03850283 P-24460192 CPL Technical - 58/100 --/-- 27/05/2025 FAIL
General
301 03850284 P-24464356 CPL Air - 74/100 --/-- 27/05/2025 PASS
Regulation
302 03850285 P-25461922 CPL Aviation - 82/100 --/-- 27/05/2025 PASS
Meteorology
303 03850286 P-93005207 CPL Technical Diamond 78/100 --/-- 27/05/2025 PASS
Specific DA 40
Thielert
304 03850287 P-25461809 CPL Aviation - 76/100 --/-- 27/05/2025 PASS
Meteorology

Wed May 28 2025 18:23:11 page 13 of 107


S.No Roll No Computer Lic. Subject Aircraft Obj Essay ResultDate Status
No Category Marks Marks
305 03850288 P-24466658 CPL Aviation - 80/100 --/-- 27/05/2025 PASS
Meteorology
306 03850289 P-24466706 CPL Air - 68/100 --/-- 27/05/2025 FAIL
Regulation
307 03850290 P-23463976 CPL Air - 62/100 --/-- 27/05/2025 FAIL
Regulation
308 03850291 P-25461979 CPL Aviation - 86/100 --/-- 27/05/2025 PASS
Meteorology
309 03850292 P-24467133 CPL Air - 62/100 --/-- 27/05/2025 FAIL
Regulation
310 03850293 P-25462292 CPL Aviation - 50/100 --/-- 27/05/2025 FAIL
Meteorology
311 03850294 P-25461727 CPL Aviation - 88/100 --/-- 27/05/2025 PASS
Meteorology
312 03850295 P-25460688 CPL Aviation - 74/100 --/-- 27/05/2025 PASS
Meteorology
313 03850296 P-24463493 CPL Air - 65/100 --/-- 27/05/2025 FAIL
Navigation
314 03850297 P-25461460 CPL Aviation - 56/100 --/-- 27/05/2025 FAIL
Meteorology
315 03850298 P-23464385 CPL Technical Diamond 80/100 --/-- 27/05/2025 PASS
Specific DA 40
Thielert
316 03850299 P-21461603 CPL Technical Piper 78/100 --/-- 27/05/2025 PASS
Specific PA-28-181
Archer III
TAE-125
Engine
317 03850300 P-25462218 CPL Aviation - 60/100 --/-- 27/05/2025 FAIL
Meteorology
318 03850301 P-23460750 CPL Air - 44/100 --/-- 27/05/2025 FAIL
Navigation
319 03850302 P-24465162 CPL Air - 64/100 --/-- 27/05/2025 FAIL
Regulation
320 03850303 P-25460651 CPL Aviation - 66/100 --/-- 27/05/2025 FAIL
Meteorology
321 03850304 P-23462536 CPL Technical Cessna --/100 --/-- 27/05/2025 Absent
Specific 172 R
322 03850305 P-25461192 CPL Air - 64/100 --/-- 27/05/2025 FAIL
Navigation
323 03850306 P-24460981 CPL Technical Cessna 68/100 --/-- 27/05/2025 FAIL
Specific 172 R
324 03850307 P-23463383 CPL Aviation - --/100 --/-- 27/05/2025 Absent
Meteorology
325 03850308 P-24466818 CPL Air - 58/100 --/-- 27/05/2025 FAIL
Regulation
326 03850309 P-23464457 CPL Air - 60/100 --/-- 27/05/2025 FAIL
Regulation

Wed May 28 2025 18:23:11 page 14 of 107


S.No Roll No Computer Lic. Subject Aircraft Obj Essay ResultDate Status
No Category Marks Marks
327 03850310 P-24466018 CPL Technical - 68/100 --/-- 27/05/2025 FAIL
General
328 03850311 P-24462212 CPL Technical Diamond 64/100 --/-- 27/05/2025 FAIL
Specific DA 40
Thielert
329 03850312 P-25460447 CPL Air - --/100 --/-- 27/05/2025 Absent
Regulation
330 03850313 P-24465865 CPL Technical - 68/100 --/-- 27/05/2025 FAIL
General
331 03850314 P-24462696 CPL Air - 72/100 --/-- 27/05/2025 PASS
Regulation
332 03850315 P-19462169 CPLCG Air - 78/100 --/-- 27/05/2025 PASS
(Conversion) Navigation
Comp
333 03850316 P-24466719 CPL Air - 56/100 --/-- 27/05/2025 FAIL
Regulation
334 03850317 P-25460265 CPL Aviation - 78/100 --/-- 27/05/2025 PASS
Meteorology
335 03850318 P-25461610 CPL Air - 78/100 --/-- 27/05/2025 PASS
Regulation
336 03850319 P-25460060 CPL Aviation - 44/100 --/-- 27/05/2025 FAIL
Meteorology
337 03850320 P-25462521 CPL Air - 60/100 --/-- 27/05/2025 FAIL
Regulation
338 03850321 P-23462156 CPL Air - 80/100 --/-- 27/05/2025 PASS
Navigation
339 03850322 P-25461713 CPL Air - 76/100 --/-- 27/05/2025 PASS
Navigation
340 03850323 P-24466960 CPL Air - 74/100 --/-- 27/05/2025 PASS
Regulation
341 03850324 P-25460052 CPL Air - 52/100 --/-- 27/05/2025 FAIL
Regulation
342 03850324 P-25460052 CPL Technical - 64/100 --/-- 27/05/2025 FAIL
General
343 03850325 P-25462290 CPL Aviation - 72/100 --/-- 27/05/2025 PASS
Meteorology
344 03850326 P-25461338 CPL Aviation - 66/100 --/-- 27/05/2025 FAIL
Meteorology
345 03850327 P-22463203 CPL Air - 82/100 --/-- 27/05/2025 PASS
Regulation
346 03850328 P-24466240 CPL Air - 68/100 --/-- 27/05/2025 FAIL
Regulation
347 03850329 P-24462626 CPL Air - 73/100 --/-- 27/05/2025 PASS
Navigation
348 03850330 P-24461073 CPL Air - 54/100 --/-- 27/05/2025 FAIL
Regulation
349 03850331 P-24462204 CPL Air - 48/100 --/-- 27/05/2025 FAIL
Regulation

Wed May 28 2025 18:23:11 page 15 of 107


S.No Roll No Computer Lic. Subject Aircraft Obj Essay ResultDate Status
No Category Marks Marks
350 03850332 P-24467420 CPL Air - 64/100 --/-- 27/05/2025 FAIL
Regulation
351 03850332 P-24467420 CPL Technical - 67/100 --/-- 27/05/2025 FAIL
General
352 03850333 P-24460913 CPL Aviation - 72/100 --/-- 27/05/2025 PASS
Meteorology
353 03850334 P-25460180 CPL Aviation - 82/100 --/-- 27/05/2025 PASS
Meteorology
354 03850335 P-24466322 CPL Air - --/100 --/-- 27/05/2025 Absent
Navigation
355 03850336 P-19460289 CPL Air - 74/100 --/-- 27/05/2025 PASS
Navigation
356 03850337 P-25461832 CPL Air - --/100 --/-- 27/05/2025 Absent
Regulation
357 03850338 P-25461623 CPL Air - 48/100 --/-- 27/05/2025 FAIL
Regulation
358 03850339 P-25461007 CPL Air - 75/100 --/-- 27/05/2025 PASS
Navigation
359 03850340 P-25460809 CPL Aviation - --/100 --/-- 27/05/2025 Absent
Meteorology
360 03850341 P-25462381 CPL Aviation - 90/100 --/-- 27/05/2025 PASS
Meteorology
361 03850342 P-25462720 CPL Aviation - 86/100 --/-- 27/05/2025 PASS
Meteorology
362 03850343 P-24464308 CPL Air - 78/100 --/-- 27/05/2025 PASS
Navigation
363 03850344 P-25460097 CPL Air - 73/100 --/-- 27/05/2025 PASS
Navigation
364 03850345 P-25461980 CPL Air - 82/100 --/-- 27/05/2025 PASS
Regulation
365 03850346 P-24464744 CPL Air - 65/100 --/-- 27/05/2025 FAIL
Navigation
366 03850347 P-24466500 CPL Air - 87/100 --/-- 27/05/2025 PASS
Navigation
367 03850348 P-24467185 CPL Air - 52/100 --/-- 27/05/2025 FAIL
Regulation
368 03850349 P-04017148 CPL Air - 88/100 --/-- 27/05/2025 PASS
Regulation
369 03850350 P-24465466 CPL Air - 78/100 --/-- 27/05/2025 PASS
Navigation
370 03850351 P-24463060 CPL Air - 56/100 --/-- 27/05/2025 FAIL
Regulation
371 03850352 P-24466354 CPL Air - 48/100 --/-- 27/05/2025 FAIL
Regulation
372 03850353 P-22462137 CPL Aviation - 52/100 --/-- 27/05/2025 FAIL
Meteorology
373 03850353 P-22462137 CPL Air - 50/100 --/-- 27/05/2025 FAIL
Regulation

Wed May 28 2025 18:23:11 page 16 of 107


S.No Roll No Computer Lic. Subject Aircraft Obj Essay ResultDate Status
No Category Marks Marks
374 03850354 P-19460880 CPL Aviation - 82/100 --/-- 27/05/2025 PASS
Meteorology
375 03850355 P-25461971 CPL Air - 71/100 --/-- 27/05/2025 PASS
Navigation
376 03850356 P-24466558 CPL Air - 50/100 --/-- 27/05/2025 FAIL
Navigation
377 03850357 P-25461904 CPL Air - 58/100 --/-- 27/05/2025 FAIL
Regulation
378 03850358 P-23464934 CPL Air - 57/100 --/-- 27/05/2025 FAIL
Navigation
379 03850359 P-25461776 CPL Air - 76/100 --/-- 27/05/2025 PASS
Regulation
380 03850360 P-24465500 CPL Aviation - 64/100 --/-- 27/05/2025 FAIL
Meteorology
381 03850361 P-25462250 CPL Aviation - 90/100 --/-- 27/05/2025 PASS
Meteorology
382 03850362 P-24464172 CPL Air - 62/100 --/-- 27/05/2025 FAIL
Regulation
383 03850363 P-25461508 CPL Air - 47/100 --/-- 27/05/2025 FAIL
Navigation
384 03850364 P-22462913 CPL Air - 69/100 --/-- 27/05/2025 FAIL
Navigation
385 03850365 P-24466160 CPL Air - 64/100 --/-- 27/05/2025 FAIL
Regulation
386 03850366 P-24465169 CPL Air - 53/100 --/-- 27/05/2025 FAIL
Navigation
387 03850367 P-22460301 CPL Air - 58/100 --/-- 27/05/2025 FAIL
Regulation
388 03850368 P-24461420 CPL Air - 67/100 --/-- 27/05/2025 FAIL
Navigation
389 03850369 P-25460610 CPL Air - 76/100 --/-- 27/05/2025 PASS
Regulation
390 03850370 P-24466326 CPL Air - 74/100 --/-- 27/05/2025 PASS
Regulation
391 03850371 P-04017986 CPLCG Technical Diamond 88/100 --/-- 27/05/2025 PASS
(Defence) Specific DA 42
Austro
392 03850372 P-22463116 CPL Technical Tecnam P 76/100 --/-- 27/05/2025 PASS
Specific Mentor
393 03850373 P-22463253 CPL Air - 65/100 --/-- 27/05/2025 FAIL
Navigation
394 03850374 P-25462373 CPL Aviation - 58/100 --/-- 27/05/2025 FAIL
Meteorology
395 03850375 P-24464961 CPL Air - 61/100 --/-- 27/05/2025 FAIL
Navigation
396 03850376 P-25462603 CPL Technical Cessna 84/100 --/-- 27/05/2025 PASS
Specific 172 R

Wed May 28 2025 18:23:11 page 17 of 107


S.No Roll No Computer Lic. Subject Aircraft Obj Essay ResultDate Status
No Category Marks Marks
397 03850377 P-24461315 CPL Air - --/100 --/-- 27/05/2025 Absent
Navigation
398 03850378 P-25460078 CPL Aviation - 66/100 --/-- 27/05/2025 FAIL
Meteorology
399 03850379 P-25462435 CPL Aviation - --/100 --/-- 27/05/2025 Absent
Meteorology
400 03850380 P-24464874 CPL Air - 66/100 --/-- 27/05/2025 FAIL
Navigation
401 03850381 P-24465269 CPL Air - 72/100 --/-- 27/05/2025 PASS
Regulation
402 03850382 P-23465048 CPL Air - 76/100 --/-- 27/05/2025 PASS
Regulation
403 03850383 P-22460461 CPL Technical Diamond --/100 --/-- 27/05/2025 Absent
Specific DA 40
Thielert
404 03850384 P-25461581 CPL Air - 72/100 --/-- 27/05/2025 PASS
Regulation
405 03850385 P-23465075 CPL Air - 64/100 --/-- 27/05/2025 FAIL
Regulation
406 03850386 P-25461997 CPL Aviation - 38/100 --/-- 27/05/2025 FAIL
Meteorology
407 03850387 P-24463553 CPL Air - 62/100 --/-- 27/05/2025 FAIL
Navigation
408 03850388 P-25461344 CPL Air - 58/100 --/-- 27/05/2025 FAIL
Regulation
409 03850389 P-25461006 CPL Air - 58/100 --/-- 27/05/2025 FAIL
Navigation
410 03850390 P-25462361 CPL Air - 86/100 --/-- 27/05/2025 PASS
Regulation
411 03850391 P-22463027 CPL Technical - 78/100 --/-- 27/05/2025 PASS
General
412 03850392 P-25462258 CPL Aviation - 54/100 --/-- 27/05/2025 FAIL
Meteorology
413 03850393 P-25461395 CPL Air - 54/100 --/-- 27/05/2025 FAIL
Navigation
414 03850394 P-24463471 CPL Technical - --/100 --/-- 27/05/2025 Absent
General
415 03850395 P-25461726 CPL Air - 62/100 --/-- 27/05/2025 FAIL
Regulation
416 03850396 P-24461862 CPL Air - --/100 --/-- 27/05/2025 Absent
Navigation
417 03850397 P-22463174 CPL Air - 62/100 --/-- 27/05/2025 FAIL
Regulation
418 03850398 P-24461463 CPL Air - 58/100 --/-- 27/05/2025 FAIL
Navigation
419 03850398 P-24461463 CPL Air - 74/100 --/-- 27/05/2025 PASS
Regulation

Wed May 28 2025 18:23:11 page 18 of 107


S.No Roll No Computer Lic. Subject Aircraft Obj Essay ResultDate Status
No Category Marks Marks
420 03850399 P-23465090 CPL Air - 70/100 --/-- 27/05/2025 PASS
Regulation
421 03850400 P-24464887 CPL Air - 84/100 --/-- 27/05/2025 PASS
Regulation
422 03850401 P-25462400 CPL Aviation - 72/100 --/-- 27/05/2025 PASS
Meteorology
423 03850402 P-25462205 CPL Air - 46/100 --/-- 27/05/2025 FAIL
Regulation
424 03850403 P-25462318 CPL Aviation - 84/100 --/-- 27/05/2025 PASS
Meteorology
425 03850404 P-23460236 CPL Air - --/100 --/-- 27/05/2025 Absent
Regulation
426 03850405 P-24465134 CPL Aviation - 66/100 --/-- 27/05/2025 FAIL
Meteorology
427 03850406 P-24465259 CPL Technical - 77/100 --/-- 27/05/2025 PASS
General
428 07850001 P-24466521 CPL Technical - 72/100 --/-- 27/05/2025 PASS
General
429 07850002 P-22460424 CPL Technical Piper 88/100 --/-- 27/05/2025 PASS
Specific PA-28-181
Archer III
TAE-125
Engine
430 07850003 P-25461906 CPL Air - 80/100 --/-- 27/05/2025 PASS
Regulation
431 07850004 P-25460835 CPL Aviation - 68/100 --/-- 27/05/2025 FAIL
Meteorology
432 07850005 P-23463511 CPL Aviation - 82/100 --/-- 27/05/2025 PASS
Meteorology
433 07850005 P-23463511 CPL Air - 70/100 --/-- 27/05/2025 PASS
Regulation
434 07850006 P-24466734 CPL Air - --/100 --/-- 27/05/2025 Absent
Regulation
435 07850007 P-18454292 CPLCG Air - --/100 --/-- 27/05/2025 Absent
(Conversion) Navigation
Comp
436 07850008 P-24462920 CPL Air - --/100 --/-- 27/05/2025 Absent
Regulation
437 07850009 P-25462233 CPL Aviation - 56/100 --/-- 27/05/2025 FAIL
Meteorology
438 07850010 P-24467307 CPL Air - 78/100 --/-- 27/05/2025 PASS
Navigation
439 07850011 P-24467426 CPL Aviation - 88/100 --/-- 27/05/2025 PASS
Meteorology
440 07850012 P-24465513 CPL Technical Cessna 80/100 --/-- 27/05/2025 PASS
Specific 172 R
441 07850013 P-24465402 CPL Air - 55/100 --/-- 27/05/2025 FAIL
Navigation

Wed May 28 2025 18:23:11 page 19 of 107


S.No Roll No Computer Lic. Subject Aircraft Obj Essay ResultDate Status
No Category Marks Marks
442 07850014 P-18455572 CPLCG Air - --/100 --/-- 27/05/2025 Absent
(Conversion) Navigation
Comp
443 07850014 P-18455572 CPLCG Air - --/100 --/-- 27/05/2025 Absent
(Conversion) Regulation
444 07850015 P-17452639 CPL Air - 71/100 --/-- 27/05/2025 PASS
Navigation
445 07850016 P-24462414 CPL Air - 70/100 --/-- 27/05/2025 PASS
Navigation
446 07850017 P-25461556 CPL Air - 64/100 --/-- 27/05/2025 FAIL
Navigation
447 07850018 P-23462538 CPL Air - 70/100 --/-- 27/05/2025 PASS
Navigation
448 07850019 P-24462929 CPL Air - 65/100 --/-- 27/05/2025 FAIL
Navigation
449 07850020 P-24463177 CPL Technical - 69/100 --/-- 27/05/2025 FAIL
General
450 07850020 P-24463177 CPL Technical Piper 74/100 --/-- 27/05/2025 PASS
Specific PA-28-181
Archer III
TAE-125
Engine
451 07850021 P-24466144 CPL Air - 40/100 --/-- 27/05/2025 FAIL
Navigation
452 07850022 P-24463206 CPL Air - 80/100 --/-- 27/05/2025 PASS
Regulation
453 07850023 P-22460140 CPL Air - 54/100 --/-- 27/05/2025 FAIL
Navigation
454 07850024 P-22460283 CPL Technical Diamond 88/100 --/-- 27/05/2025 PASS
Specific DA 42
Austro
455 07850025 P-24465623 CPL Technical Cessna 84/100 --/-- 27/05/2025 PASS
Specific 172 R
456 07850026 P-23462515 CPL Air - 56/100 --/-- 27/05/2025 FAIL
Navigation
457 07850027 P-23463404 CPL Aviation - 68/100 --/-- 27/05/2025 FAIL
Meteorology
458 07850028 P-23463409 CPL Aviation - 82/100 --/-- 27/05/2025 PASS
Meteorology
459 07850028 P-23463409 CPL Air - 68/100 --/-- 27/05/2025 FAIL
Regulation
460 07850029 P-25460029 CPL Aviation - 54/100 --/-- 27/05/2025 FAIL
Meteorology
461 07850030 P-25460710 CPL Air - 90/100 --/-- 27/05/2025 PASS
Regulation
462 07850031 P-10032673 CPL Air - --/100 --/-- 27/05/2025 Absent
Regulation

Wed May 28 2025 18:23:11 page 20 of 107


S.No Roll No Computer Lic. Subject Aircraft Obj Essay ResultDate Status
No Category Marks Marks
463 07850032 P-21461277 CPLCG Air - --/100 --/-- 27/05/2025 Absent
(Conversion) Navigation
Comp
464 07850032 P-21461277 CPLCG Air - --/100 --/-- 27/05/2025 Absent
(Conversion) Regulation
465 07850033 P-19462155 CPL Aviation - 86/100 --/-- 27/05/2025 PASS
Meteorology
466 07850034 P-24462511 CPL Air - 74/100 --/-- 27/05/2025 PASS
Regulation
467 07850035 P-24467299 CPL Air - 84/100 --/-- 27/05/2025 PASS
Regulation
468 07850036 P-20460511 CPL Air - 58/100 --/-- 27/05/2025 FAIL
Regulation
469 07850037 P-21462351 CPL Technical Piper 66/100 --/-- 27/05/2025 FAIL
Specific PA-28-181
Archer III
TAE-125
Engine
470 07850038 P-22460237 CPL Air - 46/100 --/-- 27/05/2025 FAIL
Navigation
471 07850038 P-22460237 CPL Aviation - 58/100 --/-- 27/05/2025 FAIL
Meteorology
472 07850039 P-25462133 CPL Aviation - 68/100 --/-- 27/05/2025 FAIL
Meteorology
473 07850040 P-25460400 CPL Air - 46/100 --/-- 27/05/2025 FAIL
Regulation
474 07850041 P-25462161 CPL Aviation - 82/100 --/-- 27/05/2025 PASS
Meteorology
475 07850042 P-24466532 CPL Air - 63/100 --/-- 27/05/2025 FAIL
Navigation
476 07850043 P-25460621 CPL Aviation - 86/100 --/-- 27/05/2025 PASS
Meteorology
477 07850044 P-25462579 CPL Air - 86/100 --/-- 27/05/2025 PASS
Navigation
478 07850045 P-25461027 CPL Air - 70/100 --/-- 27/05/2025 PASS
Navigation
479 07850046 P-24464838 CPL Air - 60/100 --/-- 27/05/2025 FAIL
Regulation
480 07850047 P-25461066 CPL Air - 56/100 --/-- 27/05/2025 FAIL
Regulation
481 07850048 P-23462418 CPL Technical Piper 82/100 --/-- 27/05/2025 PASS
Specific PA-28-181
Archer III
TAE-125
Engine
482 07850049 P-23464218 CPL Air - 61/100 --/-- 27/05/2025 FAIL
Navigation
483 07850050 P-24466434 CPL Aviation - 68/100 --/-- 27/05/2025 FAIL
Meteorology

Wed May 28 2025 18:23:11 page 21 of 107


S.No Roll No Computer Lic. Subject Aircraft Obj Essay ResultDate Status
No Category Marks Marks
484 07850051 P-17453107 CPL Air - 74/100 --/-- 27/05/2025 PASS
Regulation
485 07850052 P-25461959 CPL Air - 66/100 --/-- 27/05/2025 FAIL
Regulation
486 07850053 P-25460556 CPL Aviation - 70/100 --/-- 27/05/2025 PASS
Meteorology
487 07850054 P-24466826 CPL Air - 82/100 --/-- 27/05/2025 PASS
Regulation
488 07850055 P-25460518 CPL Air - 66/100 --/-- 27/05/2025 FAIL
Regulation
489 07850056 P-24463264 CPL Technical - 76/100 --/-- 27/05/2025 PASS
General
490 07850057 P-21461747 CPL Technical Cessna 72/100 --/-- 27/05/2025 PASS
Specific 172 R
491 07850058 P-24466904 CPL Air - 72/100 --/-- 27/05/2025 PASS
Regulation
492 07850059 P-23462318 CPL Air - 68/100 --/-- 27/05/2025 FAIL
Regulation
493 07850060 P-23462241 CPL Technical Cessna 84/100 --/-- 27/05/2025 PASS
Specific 172 R
494 07850061 P-20460858 CPL Technical Tecnam P 80/100 --/-- 27/05/2025 PASS
Specific Mentor
495 07850062 P-24463459 CPL Air - --/100 --/-- 27/05/2025 Absent
Navigation
496 07850063 P-25461311 CPL Air - 69/100 --/-- 27/05/2025 FAIL
Navigation
497 07850064 P-19460250 CPL Air - 58/100 --/-- 27/05/2025 FAIL
Navigation
498 07850065 P-24463982 CPL Technical Cessna --/100 --/-- 27/05/2025 Absent
Specific 172 R
499 07850066 P-25461736 CPL Air - 80/100 --/-- 27/05/2025 PASS
Regulation
500 07850067 P-25461687 PPL Composite - 56/100 --/-- 27/05/2025 FAIL
501 07850067 P-25461687 PPL Technical - 50/100 --/-- 27/05/2025 FAIL
General
502 07850068 P-23460608 CPL Air - 72/100 --/-- 27/05/2025 PASS
Navigation
503 07850069 P-24464361 CPL Aviation - 60/100 --/-- 27/05/2025 FAIL
Meteorology
504 07850070 P-25460889 CPL Aviation - 82/100 --/-- 27/05/2025 PASS
Meteorology
505 07850071 P-24467025 CPL Air - 88/100 --/-- 27/05/2025 PASS
Regulation
506 07850072 P-25462333 CPL Aviation - 56/100 --/-- 27/05/2025 FAIL
Meteorology
507 07850073 P-24461060 CPL Technical TECNAM --/100 --/-- 27/05/2025 Absent
Specific P2006T

Wed May 28 2025 18:23:11 page 22 of 107


S.No Roll No Computer Lic. Subject Aircraft Obj Essay ResultDate Status
No Category Marks Marks
508 07850074 P-25460586 CPL Technical - 59/100 --/-- 27/05/2025 FAIL
General
509 07850075 P-25462014 CPL Aviation - 58/100 --/-- 27/05/2025 FAIL
Meteorology
510 07850076 P-22462536 CPL Air - 60/100 --/-- 27/05/2025 FAIL
Navigation
511 07850077 P-24462936 CPL Air - 65/100 --/-- 27/05/2025 FAIL
Navigation
512 07850078 P-24466475 CPL Aviation - 64/100 --/-- 27/05/2025 FAIL
Meteorology
513 07850079 P-25461708 CPL Air - 72/100 --/-- 27/05/2025 PASS
Regulation
514 07850080 P-23460386 CPL Air - 74/100 --/-- 27/05/2025 PASS
Regulation
515 07850081 P-22461103 CPL Technical Tecnam P 82/100 --/-- 27/05/2025 PASS
Specific Mentor
516 07850082 P-24466414 CPL Air - 80/100 --/-- 27/05/2025 PASS
Regulation
517 07850083 P-24462894 CPL Air - 54/100 --/-- 27/05/2025 FAIL
Regulation
518 07850084 P-21460961 CPL Technical TECNAM 82/100 --/-- 27/05/2025 PASS
Specific P2006T
519 07850085 P-25461872 CPL Air - 84/100 --/-- 27/05/2025 PASS
Regulation
520 07850086 P-23463429 CPL Technical TECNAM 90/100 --/-- 27/05/2025 PASS
Specific P2006T
521 07850087 P-25462537 CPL Aviation - 52/100 --/-- 27/05/2025 FAIL
Meteorology
522 07850088 P-25462407 CPL Aviation - 52/100 --/-- 27/05/2025 FAIL
Meteorology
523 07850088 P-25462407 CPL Technical Cessna 60/100 --/-- 27/05/2025 FAIL
Specific 172 R
524 07850089 P-25461014 CPL Aviation - 80/100 --/-- 27/05/2025 PASS
Meteorology
525 07850090 P-25461894 CPL Aviation - 80/100 --/-- 27/05/2025 PASS
Meteorology
526 07850091 P-23463610 CPL Air - 79/100 --/-- 27/05/2025 PASS
Navigation
527 07850092 P-25460854 CPL Air - 38/100 --/-- 27/05/2025 FAIL
Regulation
528 07850093 P-24467363 CPL Air - 76/100 --/-- 27/05/2025 PASS
Regulation
529 07850093 P-24467363 CPL Technical - 72/100 --/-- 27/05/2025 PASS
General
530 07850094 P-24464979 CPL Air - 64/100 --/-- 27/05/2025 FAIL
Regulation
531 07850095 P-22460509 CPL Air - 63/100 --/-- 27/05/2025 FAIL
Navigation

Wed May 28 2025 18:23:11 page 23 of 107


S.No Roll No Computer Lic. Subject Aircraft Obj Essay ResultDate Status
No Category Marks Marks
532 07850096 P-22461546 CPL Air - 73/100 --/-- 27/05/2025 PASS
Navigation
533 07850096 P-22461546 CPL Air - 86/100 --/-- 27/05/2025 PASS
Regulation
534 07850097 P-24463651 CPL Aviation - 66/100 --/-- 27/05/2025 FAIL
Meteorology
535 07850098 P-25460093 CPL Air - 62/100 --/-- 27/05/2025 FAIL
Regulation
536 07850099 P-23464009 CPL Technical - 77/100 --/-- 27/05/2025 PASS
General
537 07850100 P-25462415 CPL Aviation - 82/100 --/-- 27/05/2025 PASS
Meteorology
538 07850100 P-25462415 CPL Air - 78/100 --/-- 27/05/2025 PASS
Regulation
539 07850101 P-25460500 CPL Air - 54/100 --/-- 27/05/2025 FAIL
Regulation
540 07850102 P-25460142 CPL Air - --/100 --/-- 27/05/2025 Absent
Navigation
541 07850103 P-25462409 CPL Air - 62/100 --/-- 27/05/2025 FAIL
Navigation
542 07850104 P-25460316 CPL Technical Cessna 80/100 --/-- 27/05/2025 PASS
Specific 172 R
543 07850105 P-22462535 CPL Technical Piper 94/100 --/-- 27/05/2025 PASS
Specific PA-28-181
Archer III
TAE-125
Engine
544 07850106 P-24462515 CPL Air - 66/100 --/-- 27/05/2025 FAIL
Regulation
545 07850107 P-24462951 CPL Air - 45/100 --/-- 27/05/2025 FAIL
Navigation
546 07850108 P-23463607 CPL Aviation - 68/100 --/-- 27/05/2025 FAIL
Meteorology
547 07850109 P-25461969 CPL Air - 81/100 --/-- 27/05/2025 PASS
Navigation
548 07850110 P-22462183 CPL Air - 55/100 --/-- 27/05/2025 FAIL
Navigation
549 07850111 P-25462389 CPL Air - 72/100 --/-- 27/05/2025 PASS
Regulation
550 07850112 P-25460859 CPL Aviation - --/100 --/-- 27/05/2025 Absent
Meteorology
551 07850113 P-25460448 CPL Aviation - 74/100 --/-- 27/05/2025 PASS
Meteorology
552 07850114 P-25461992 CPL Aviation - 78/100 --/-- 27/05/2025 PASS
Meteorology
553 07850115 P-24466327 CPL Aviation - 78/100 --/-- 27/05/2025 PASS
Meteorology
554 07850116 P-24461422 CPL Technical P-68 C 86/100 --/-- 27/05/2025 PASS
Specific
Wed May 28 2025 18:23:11 page 24 of 107
S.No Roll No Computer Lic. Subject Aircraft Obj Essay ResultDate Status
No Category Marks Marks
555 07850117 P-24467298 CPL Air - 46/100 --/-- 27/05/2025 FAIL
Navigation
556 07850118 P-23464361 CPL Aviation - 68/100 --/-- 27/05/2025 FAIL
Meteorology
557 07850119 P-24460350 CPL Air - 54/100 --/-- 27/05/2025 FAIL
Navigation
558 07850120 P-25460918 CPL Air - 66/100 --/-- 27/05/2025 FAIL
Navigation
559 07850121 P-21460083 CPL Air - 68/100 --/-- 27/05/2025 FAIL
Navigation
560 07850122 P-24460267 CPL Air - 52/100 --/-- 27/05/2025 FAIL
Navigation
561 07850123 P-25461792 CPL Technical - 66/100 --/-- 27/05/2025 FAIL
General
562 07850124 P-25460040 CPL Air - 74/100 --/-- 27/05/2025 PASS
Regulation
563 07850125 P-18455146 CPL Technical Cessna --/100 --/-- 27/05/2025 Absent
Specific 152 A
564 07850126 P-23462882 CPL Technical Tecnam P 54/100 --/-- 27/05/2025 FAIL
Specific Mentor
565 07850127 P-24466829 CPL Aviation - 74/100 --/-- 27/05/2025 PASS
Meteorology
566 07850128 P-25460780 CPL Technical Cessna 80/100 --/-- 27/05/2025 PASS
Specific 172 R
567 07850129 P-24467180 CPL Aviation - 78/100 --/-- 27/05/2025 PASS
Meteorology
568 07850130 P-22462390 CPL Air - --/100 --/-- 27/05/2025 Absent
Regulation
569 07850131 P-21461692 CPL Air - 74/100 --/-- 27/05/2025 PASS
Regulation
570 07850132 P-22461667 CPL Technical Piper 70/100 --/-- 27/05/2025 PASS
Specific PA-28-181
Archer III
TAE-125
Engine
571 07850133 P-23461608 CPL Air - 84/100 --/-- 27/05/2025 PASS
Regulation
572 07850134 P-24463837 CPL Air - 70/100 --/-- 27/05/2025 PASS
Regulation
573 07850135 P-25460884 CPL Air - 68/100 --/-- 27/05/2025 FAIL
Regulation
574 07850136 P-24465638 CPL Air - 73/100 --/-- 27/05/2025 PASS
Navigation
575 07850137 P-23460550 CPL Technical TECNAM 76/100 --/-- 27/05/2025 PASS
Specific P2006T
576 07850138 P-24466858 CPL Air - 77/100 --/-- 27/05/2025 PASS
Navigation
577 07850139 P-24466950 CPL Air - --/100 --/-- 27/05/2025 Absent
Regulation
Wed May 28 2025 18:23:11 page 25 of 107
S.No Roll No Computer Lic. Subject Aircraft Obj Essay ResultDate Status
No Category Marks Marks
578 07850140 P-25462539 CPL Aviation - 76/100 --/-- 27/05/2025 PASS
Meteorology
579 07850141 P-24463142 CPL Aviation - 66/100 --/-- 27/05/2025 FAIL
Meteorology
580 07850142 P-25461510 CPL Aviation - 80/100 --/-- 27/05/2025 PASS
Meteorology
581 07850143 P-24465558 CPL Aviation - 80/100 --/-- 27/05/2025 PASS
Meteorology
582 07850144 P-25461002 CPL Aviation - 72/100 --/-- 27/05/2025 PASS
Meteorology
583 07850145 P-24463924 CPL Air - 58/100 --/-- 27/05/2025 FAIL
Regulation
584 07850146 P-24464739 CPL Aviation - 84/100 --/-- 27/05/2025 PASS
Meteorology
585 07850147 P-09030710 CPL Air - 57/100 --/-- 27/05/2025 FAIL
Navigation
586 07850148 P-25461471 CPL Aviation - 52/100 --/-- 27/05/2025 FAIL
Meteorology
587 07850149 P-24466495 CPL Aviation - 72/100 --/-- 27/05/2025 PASS
Meteorology
588 07850150 P-23464582 CPL Technical - 56/100 --/-- 27/05/2025 FAIL
General
589 07850151 P-23462162 CPL Air - 66/100 --/-- 27/05/2025 FAIL
Navigation
590 07850152 P-24462040 CPL Air - 72/100 --/-- 27/05/2025 PASS
Regulation
591 07850153 P-24465203 CPL Air - 80/100 --/-- 27/05/2025 PASS
Navigation
592 07850154 P-23461699 CPL Technical Cessna 82/100 --/-- 27/05/2025 PASS
Specific 172 R
593 07850155 P-19462234 CPLCG Air - 66/100 --/-- 27/05/2025 FAIL
(Conversion) Regulation
594 07850156 P-25460023 CPL Air - 62/100 --/-- 27/05/2025 FAIL
Regulation
595 07850157 P-24464576 CPL Air - 56/100 --/-- 27/05/2025 FAIL
Regulation
596 07850158 P-25461168 CPL Air - 82/100 --/-- 27/05/2025 PASS
Regulation
597 07850159 P-24466330 CPL Air - 64/100 --/-- 27/05/2025 FAIL
Regulation
598 07850160 P-17452642 CPL Air - 78/100 --/-- 27/05/2025 PASS
Regulation
599 07850161 P-25460062 CPL Air - 59/100 --/-- 27/05/2025 FAIL
Navigation
600 07850162 P-24464639 CPL Air - --/100 --/-- 27/05/2025 Absent
Navigation
601 07850162 P-24464639 CPL Air - --/100 --/-- 27/05/2025 Absent
Regulation

Wed May 28 2025 18:23:11 page 26 of 107


S.No Roll No Computer Lic. Subject Aircraft Obj Essay ResultDate Status
No Category Marks Marks
602 07850163 P-25460255 CPL Air - 74/100 --/-- 27/05/2025 PASS
Regulation
603 07850164 P-25461995 CPL Aviation - 86/100 --/-- 27/05/2025 PASS
Meteorology
604 07850165 P-23463024 CPL Air - 72/100 --/-- 27/05/2025 PASS
Regulation
605 07850166 P-25462211 CPL Aviation - 84/100 --/-- 27/05/2025 PASS
Meteorology
606 07850167 P-24464512 CPL Technical Cessna 86/100 --/-- 27/05/2025 PASS
Specific 152 A
607 07850168 P-25462153 CPL Aviation - 64/100 --/-- 27/05/2025 FAIL
Meteorology
608 07850169 P-25461294 CPL Aviation - 84/100 --/-- 27/05/2025 PASS
Meteorology
609 07850170 P-25460330 CPL Air - 47/100 --/-- 27/05/2025 FAIL
Navigation
610 07850171 P-18455515 CPL Aviation - 76/100 --/-- 27/05/2025 PASS
Meteorology
611 07850172 P-18454012 CPL Air - 64/100 --/-- 27/05/2025 FAIL
Navigation
612 07850173 P-24466555 CPL Air - 70/100 --/-- 27/05/2025 PASS
Regulation
613 07850174 P-23461503 CPLCG Air - 50/100 --/-- 27/05/2025 FAIL
(Conversion) Navigation
Comp
614 07850175 P-25461482 CPL Aviation - 62/100 --/-- 27/05/2025 FAIL
Meteorology
615 07850176 P-24464368 CPL Air - 84/100 --/-- 27/05/2025 PASS
Navigation
616 07850177 P-25461230 CPL Aviation - 66/100 --/-- 27/05/2025 FAIL
Meteorology
617 07850178 P-23464678 CPL Aviation - 54/100 --/-- 27/05/2025 FAIL
Meteorology
618 07850179 P-25462613 CPL Aviation - 46/100 --/-- 27/05/2025 FAIL
Meteorology
619 07850180 P-23460543 CPL Air - 76/100 --/-- 27/05/2025 PASS
Navigation
620 07850181 P-23463929 CPL Air - 70/100 --/-- 27/05/2025 PASS
Navigation
621 07850182 P-24464834 CPL Air - 44/100 --/-- 27/05/2025 FAIL
Navigation
622 07850182 P-24464834 CPL Air - 66/100 --/-- 27/05/2025 FAIL
Regulation
623 07850182 P-24464834 CPL Technical Diamond 62/100 --/-- 27/05/2025 FAIL
Specific DA 42
Austro
624 07850183 P-23460535 CPL Air - 69/100 --/-- 27/05/2025 FAIL
Navigation

Wed May 28 2025 18:23:11 page 27 of 107


S.No Roll No Computer Lic. Subject Aircraft Obj Essay ResultDate Status
No Category Marks Marks
625 07850184 P-22460668 CPL Aviation - 52/100 --/-- 27/05/2025 FAIL
Meteorology
626 07850185 P-22461999 CPL Technical Tecnam P --/100 --/-- 27/05/2025 Absent
Specific Mentor
627 07850186 P-18460756 CPL Aviation - 60/100 --/-- 27/05/2025 FAIL
Meteorology
628 07850187 P-25460066 CPL Air - 72/100 --/-- 27/05/2025 PASS
Navigation
629 07850188 P-24465191 CPL Air - 68/100 --/-- 27/05/2025 FAIL
Regulation
630 07850189 P-19461320 CPL Air - 70/100 --/-- 27/05/2025 PASS
Regulation
631 07850190 P-24462928 CPL Air - 58/100 --/-- 27/05/2025 FAIL
Navigation
632 07850191 P-21462499 CPL Air - 68/100 --/-- 27/05/2025 FAIL
Regulation
633 07850192 P-24464769 CPL Air - 76/100 --/-- 27/05/2025 PASS
Regulation
634 07850193 P-24467260 CPL Aviation - 72/100 --/-- 27/05/2025 PASS
Meteorology
635 07850194 P-24461475 CPL Air - 72/100 --/-- 27/05/2025 PASS
Regulation
636 07850195 P-24464910 CPL Air - 76/100 --/-- 27/05/2025 PASS
Regulation
637 07850196 P-24462554 CPL Technical - 56/100 --/-- 27/05/2025 FAIL
General
638 07850197 P-24461398 CPL Air - --/100 --/-- 27/05/2025 Absent
Regulation
639 07850198 P-25462306 CPL Aviation - 70/100 --/-- 27/05/2025 PASS
Meteorology
640 07850199 P-23460210 CPL Air - 63/100 --/-- 27/05/2025 FAIL
Navigation
641 07850200 P-24460578 CPL Air - 67/100 --/-- 27/05/2025 FAIL
Navigation
642 07850201 P-24467347 CPL Technical - 72/100 --/-- 27/05/2025 PASS
General
643 07850202 P-25460715 CPL Aviation - 72/100 --/-- 27/05/2025 PASS
Meteorology
644 07850203 P-24467403 CPL Aviation - 70/100 --/-- 27/05/2025 PASS
Meteorology
645 07850204 P-20460210 CPL Air - --/100 --/-- 27/05/2025 Absent
Navigation
646 07850205 P-25461173 CPL Aviation - 68/100 --/-- 27/05/2025 FAIL
Meteorology
647 07850206 P-23463041 CPL Aviation - 40/100 --/-- 27/05/2025 FAIL
Meteorology
648 07850207 P-24462023 CPL Air - 52/100 --/-- 27/05/2025 FAIL
Navigation

Wed May 28 2025 18:23:11 page 28 of 107


S.No Roll No Computer Lic. Subject Aircraft Obj Essay ResultDate Status
No Category Marks Marks
649 07850208 P-25461033 CPL Air - 78/100 --/-- 27/05/2025 PASS
Navigation
650 07850209 P-24467214 CPL Technical Cessna 60/100 --/-- 27/05/2025 FAIL
Specific 172 R
651 07850210 P-24462407 CPL Technical - 76/100 --/-- 27/05/2025 PASS
General
652 07850211 P-25460117 CPL Air - 74/100 --/-- 27/05/2025 PASS
Regulation
653 07850212 P-24460082 CPL Air - 63/100 --/-- 27/05/2025 FAIL
Navigation
654 07850213 P-19460959 CPL Air - --/100 --/-- 27/05/2025 Absent
Navigation
655 07850213 P-19460959 CPL Aviation - --/100 --/-- 27/05/2025 Absent
Meteorology
656 07850214 P-18454816 CPL Air - 66/100 --/-- 27/05/2025 FAIL
Regulation
657 07850215 P-24463120 CPL Air - 54/100 --/-- 27/05/2025 FAIL
Navigation
658 07850216 P-24463179 CPL Technical Tecnam P 66/100 --/-- 27/05/2025 FAIL
Specific Mentor
659 07850217 P-25462159 CPL Aviation - 86/100 --/-- 27/05/2025 PASS
Meteorology
660 07850218 P-21460672 CPLCG Air - 55/100 --/-- 27/05/2025 FAIL
(Conversion) Navigation
Comp
661 07850219 P-23464417 CPL Air - 50/100 --/-- 27/05/2025 FAIL
Regulation
662 07850220 P-24463403 CPL Technical Piper 80/100 --/-- 27/05/2025 PASS
Specific PA-28-181
Archer III
TAE-125
Engine
663 07850221 P-24466884 CPL Air - 78/100 --/-- 27/05/2025 PASS
Regulation
664 07850222 P-23461485 CPL Air - 71/100 --/-- 27/05/2025 PASS
Navigation
665 07850223 P-21461794 CPL Technical Cessna 78/100 --/-- 27/05/2025 PASS
Specific 172 R
666 07850224 P-25460833 CPL Aviation - 70/100 --/-- 27/05/2025 PASS
Meteorology
667 07850225 P-21461439 CPL Technical Tecnam P 78/100 --/-- 27/05/2025 PASS
Specific Mentor
668 07850226 P-18454074 CPL Air - --/100 --/-- 27/05/2025 Absent
Navigation
669 07850227 P-23462024 CPL Air - 56/100 --/-- 27/05/2025 FAIL
Navigation
670 07850228 P-25462593 CPL Aviation - 86/100 --/-- 27/05/2025 PASS
Meteorology

Wed May 28 2025 18:23:11 page 29 of 107


S.No Roll No Computer Lic. Subject Aircraft Obj Essay ResultDate Status
No Category Marks Marks
671 07850229 P-25461609 CPL Air - 82/100 --/-- 27/05/2025 PASS
Regulation
672 07850230 P-25462061 PPL Technical Cessna 60/100 --/-- 27/05/2025 FAIL
Specific 172 R
673 07850231 P-22460907 CPL Air - 62/100 --/-- 27/05/2025 FAIL
Regulation
674 07850232 P-24463398 CPL Air - 70/100 --/-- 27/05/2025 PASS
Regulation
675 07850232 P-24463398 CPL Technical - 73/100 --/-- 27/05/2025 PASS
General
676 07850233 P-24460757 CPL Air - 58/100 --/-- 27/05/2025 FAIL
Regulation
677 07850234 P-24460315 CPL Technical - 69/100 --/-- 27/05/2025 FAIL
General
678 07850235 P-25460725 CPL Aviation - 46/100 --/-- 27/05/2025 FAIL
Meteorology
679 07850236 P-24465143 CPL Air - 50/100 --/-- 27/05/2025 FAIL
Navigation
680 07850237 P-25462100 CPL Aviation - 62/100 --/-- 27/05/2025 FAIL
Meteorology
681 07850238 P-24463674 CPL Air - 54/100 --/-- 27/05/2025 FAIL
Regulation
682 07850239 P-23460366 CPL Air - --/100 --/-- 27/05/2025 Absent
Navigation
683 07850240 P-25460224 CPL Air - 68/100 --/-- 27/05/2025 FAIL
Regulation
684 07850241 P-24462424 CPL Air - 60/100 --/-- 27/05/2025 FAIL
Navigation
685 07850242 P-21461596 CPL Air - --/100 --/-- 27/05/2025 Absent
Navigation
686 07850243 P-25461029 CPL Air - 66/100 --/-- 27/05/2025 FAIL
Regulation
687 07850244 P-25461743 CPL Air - 88/100 --/-- 27/05/2025 PASS
Navigation
688 07850245 P-19461705 CPL Technical - 66/100 --/-- 27/05/2025 FAIL
General
689 07850246 P-22463134 CPL Technical - 75/100 --/-- 27/05/2025 PASS
General
690 07850247 P-24466062 CPL Air - 56/100 --/-- 27/05/2025 FAIL
Regulation
691 07850248 P-24466543 CPL Technical TECNAM 68/100 --/-- 27/05/2025 FAIL
Specific P2006T
692 07850249 P-25461400 CPL Air - 81/100 --/-- 27/05/2025 PASS
Navigation
693 07850250 P-25462062 CPL Air - 81/100 --/-- 27/05/2025 PASS
Navigation
694 07850250 P-25462062 CPL Aviation - 86/100 --/-- 27/05/2025 PASS
Meteorology

Wed May 28 2025 18:23:11 page 30 of 107


S.No Roll No Computer Lic. Subject Aircraft Obj Essay ResultDate Status
No Category Marks Marks
695 07850251 P-24462427 CPL Air - --/100 --/-- 27/05/2025 Absent
Navigation
696 07850252 P-24465957 CPL Air - 54/100 --/-- 27/05/2025 FAIL
Navigation
697 07850253 P-25462235 CPL Aviation - 68/100 --/-- 27/05/2025 FAIL
Meteorology
698 07850254 P-22461027 CPL Air - 70/100 --/-- 27/05/2025 PASS
Regulation
699 07850255 P-24462283 CPL Air - 67/100 --/-- 27/05/2025 FAIL
Navigation
700 07850256 P-25462717 CPL Aviation - 58/100 --/-- 27/05/2025 FAIL
Meteorology
701 07850257 P-19462286 CPL Air - --/100 --/-- 27/05/2025 Absent
Navigation
702 07850258 P-25462207 CPL Air - 76/100 --/-- 27/05/2025 PASS
Navigation
703 07850259 P-25461415 CPL Aviation - 50/100 --/-- 27/05/2025 FAIL
Meteorology
704 07850260 P-24464099 CPL Technical Cessna 90/100 --/-- 27/05/2025 PASS
Specific 172 R
705 07850261 P-25462188 CPL Aviation - 62/100 --/-- 27/05/2025 FAIL
Meteorology
706 07850262 P-25462328 CPL Air - 87/100 --/-- 27/05/2025 PASS
Navigation
707 07850262 P-25462328 CPL Aviation - 94/100 --/-- 27/05/2025 PASS
Meteorology
708 07850262 P-25462328 CPL Air - 90/100 --/-- 27/05/2025 PASS
Regulation
709 07850263 P-23465020 CPL Air - 54/100 --/-- 27/05/2025 FAIL
Navigation
710 07850264 P-21460250 CPL Air - 44/100 --/-- 27/05/2025 FAIL
Navigation
711 07850265 P-22461669 CPL Air - --/100 --/-- 27/05/2025 Absent
Regulation
712 07850266 P-23465112 CPL Air - 74/100 --/-- 27/05/2025 PASS
Regulation
713 07850267 P-24466277 CPL Air - 88/100 --/-- 27/05/2025 PASS
Regulation
714 07850268 P-22460081 CPL Air - 74/100 --/-- 27/05/2025 PASS
Regulation
715 07850269 P-25460604 CPL Aviation - 94/100 --/-- 27/05/2025 PASS
Meteorology
716 07850270 P-24464864 CPL Air - 70/100 --/-- 27/05/2025 PASS
Regulation
717 07850271 P-25462200 CPL Air - 78/100 --/-- 27/05/2025 PASS
Navigation
718 07850272 P-24465806 CPL Air - --/100 --/-- 27/05/2025 Absent
Navigation

Wed May 28 2025 18:23:11 page 31 of 107


S.No Roll No Computer Lic. Subject Aircraft Obj Essay ResultDate Status
No Category Marks Marks
719 07850273 P-25461223 CPL Aviation - 62/100 --/-- 27/05/2025 FAIL
Meteorology
720 07850274 P-25461572 CPL Air - --/100 --/-- 27/05/2025 Absent
Navigation
721 07850275 P-20460616 CPL Air - 70/100 --/-- 27/05/2025 PASS
Regulation
722 07850276 P-24464969 CPL Technical - 84/100 --/-- 27/05/2025 PASS
General
723 07850277 P-25460533 CPL Air - 54/100 --/-- 27/05/2025 FAIL
Regulation
724 07850278 P-24460133 CPL Air - 58/100 --/-- 27/05/2025 FAIL
Regulation
725 07850279 P-25462553 CPL Aviation - 78/100 --/-- 27/05/2025 PASS
Meteorology
726 07850280 P-25461705 CPL Aviation - 66/100 --/-- 27/05/2025 FAIL
Meteorology
727 07850281 P-24466995 CPL Aviation - 72/100 --/-- 27/05/2025 PASS
Meteorology
728 07850282 P-24466977 CPL Aviation - 68/100 --/-- 27/05/2025 FAIL
Meteorology
729 07850283 P-25462348 CPL Air - 83/100 --/-- 27/05/2025 PASS
Navigation
730 07850284 P-25462239 CPL Aviation - 68/100 --/-- 27/05/2025 FAIL
Meteorology
731 07850285 P-24460678 CPL Air - 55/100 --/-- 27/05/2025 FAIL
Navigation
732 07850286 P-24464145 CPL Air - 69/100 --/-- 27/05/2025 FAIL
Navigation
733 07850287 P-24466309 CPL Aviation - 80/100 --/-- 27/05/2025 PASS
Meteorology
734 07850288 P-24463158 CPL Air - 54/100 --/-- 27/05/2025 FAIL
Navigation
735 07850288 P-24463158 CPL Air - 46/100 --/-- 27/05/2025 FAIL
Regulation
736 07850289 P-25461719 CPL Aviation - 84/100 --/-- 27/05/2025 PASS
Meteorology
737 07850290 P-23462858 CPL Technical Diamond 88/100 --/-- 27/05/2025 PASS
Specific DA-42
Thielert
738 07850291 P-25462734 CPL Aviation - 76/100 --/-- 27/05/2025 PASS
Meteorology
739 07850292 P-23462989 CPL Aviation - 62/100 --/-- 27/05/2025 FAIL
Meteorology
740 07850293 P-23464599 CPL Technical Diamond 72/100 --/-- 27/05/2025 PASS
Specific DA-42
Thielert
741 07850294 P-23464466 CPL Air - 72/100 --/-- 27/05/2025 PASS
Regulation

Wed May 28 2025 18:23:11 page 32 of 107


S.No Roll No Computer Lic. Subject Aircraft Obj Essay ResultDate Status
No Category Marks Marks
742 07850295 P-23462860 CPL Air - 80/100 --/-- 27/05/2025 PASS
Regulation
743 07850296 P-24467460 CPL Air - 75/100 --/-- 27/05/2025 PASS
Navigation
744 07850296 P-24467460 CPL Technical Piper 74/100 --/-- 27/05/2025 PASS
Specific PA-28-181
Archer III
TAE-125
Engine
745 07850297 P-23460679 CPL Air - 68/100 --/-- 27/05/2025 FAIL
Navigation
746 07850298 P-24465788 CPL Air - 48/100 --/-- 27/05/2025 FAIL
Regulation
747 07850299 P-24466714 CPL Air - 80/100 --/-- 27/05/2025 PASS
Regulation
748 07850300 P-25461188 CPL Air - 68/100 --/-- 27/05/2025 FAIL
Regulation
749 07850301 P-24466994 CPL Air - 66/100 --/-- 27/05/2025 FAIL
Navigation
750 07850302 P-25462587 CPL Aviation - 56/100 --/-- 27/05/2025 FAIL
Meteorology
751 07850303 P-24464301 CPLCG Technical Diamond 72/100 --/-- 27/05/2025 PASS
(Conversion) Specific DA 42
Austro
752 07850304 P-18455397 CPL Air - 47/100 --/-- 27/05/2025 FAIL
Navigation
753 07850305 P-25461869 CPL Aviation - 88/100 --/-- 27/05/2025 PASS
Meteorology
754 07850306 P-22463060 CPL Air - 56/100 --/-- 27/05/2025 FAIL
Navigation
755 07850307 P-24462229 CPL Air - 65/100 --/-- 27/05/2025 FAIL
Navigation
756 07850308 P-24460181 CPL Air - 74/100 --/-- 27/05/2025 PASS
Navigation
757 07850309 P-24467333 CPL Air - 52/100 --/-- 27/05/2025 FAIL
Navigation
758 07850310 P-24464349 CPL Air - 54/100 --/-- 27/05/2025 FAIL
Navigation
759 07850311 P-24466246 CPL Air - 78/100 --/-- 27/05/2025 PASS
Regulation
760 07850312 P-14449991 CPL Technical Tecnam P --/100 --/-- 27/05/2025 Absent
Specific Mentor
761 07850313 P-24467036 CPL Aviation - 44/100 --/-- 27/05/2025 FAIL
Meteorology
762 07850314 P-25461010 CPL Air - 56/100 --/-- 27/05/2025 FAIL
Regulation
763 07850315 P-24461669 CPL Air - 59/100 --/-- 27/05/2025 FAIL
Navigation

Wed May 28 2025 18:23:11 page 33 of 107


S.No Roll No Computer Lic. Subject Aircraft Obj Essay ResultDate Status
No Category Marks Marks
764 07850316 P-22460431 CPL Technical Cessna 84/100 --/-- 27/05/2025 PASS
Specific 172 R
765 07850317 P-23462848 CPL Air - 83/100 --/-- 27/05/2025 PASS
Navigation
766 07850318 P-25460148 CPL Air - 66/100 --/-- 27/05/2025 FAIL
Regulation
767 07850319 P-24465791 CPL Air - 72/100 --/-- 27/05/2025 PASS
Regulation
768 07850320 P-24467155 CPL Air - 54/100 --/-- 27/05/2025 FAIL
Regulation
769 07850321 P-22462502 CPL Air - 70/100 --/-- 27/05/2025 PASS
Regulation
770 07850322 P-25462586 CPL Aviation - 88/100 --/-- 27/05/2025 PASS
Meteorology
771 07850322 P-25462586 CPL Air - 72/100 --/-- 27/05/2025 PASS
Regulation
772 07850323 P-24461766 CPL Technical - 65/100 --/-- 27/05/2025 FAIL
General
773 07850324 P-24466296 CPL Air - 66/100 --/-- 27/05/2025 FAIL
Regulation
774 07850325 P-24464274 CPL Air - 53/100 --/-- 27/05/2025 FAIL
Navigation
775 07850326 P-21460289 CPL Technical Diamond 64/100 --/-- 27/05/2025 FAIL
Specific DA 40
Thielert
776 07850327 P-24466794 CPL Air - 58/100 --/-- 27/05/2025 FAIL
Regulation
777 07850328 P-25460691 CPL Air - 68/100 --/-- 27/05/2025 FAIL
Regulation
778 07850329 P-24463082 CPL Air - 62/100 --/-- 27/05/2025 FAIL
Regulation
779 07850330 P-23460589 CPL Aviation - 90/100 --/-- 27/05/2025 PASS
Meteorology
780 07850331 P-25462253 CPL Aviation - 70/100 --/-- 27/05/2025 PASS
Meteorology
781 07850332 P-24461998 CPL Air - 56/100 --/-- 27/05/2025 FAIL
Navigation
782 07850333 P-24460674 CPL Aviation - 50/100 --/-- 27/05/2025 FAIL
Meteorology
783 07850334 P-24461142 CPL Air - --/100 --/-- 27/05/2025 Absent
Navigation
784 07850335 P-25460157 CPL Aviation - 66/100 --/-- 27/05/2025 FAIL
Meteorology
785 07850336 P-25461405 CPL Technical - 79/100 --/-- 27/05/2025 PASS
General
786 07850337 P-24460486 CPL Technical - 62/100 --/-- 27/05/2025 FAIL
General

Wed May 28 2025 18:23:11 page 34 of 107


S.No Roll No Computer Lic. Subject Aircraft Obj Essay ResultDate Status
No Category Marks Marks
787 07850338 P-25460587 CPL Air - 80/100 --/-- 27/05/2025 PASS
Regulation
788 07850339 P-25461975 CPL Aviation - 84/100 --/-- 27/05/2025 PASS
Meteorology
789 07850339 P-25461975 CPL Air - 78/100 --/-- 27/05/2025 PASS
Regulation
790 07850340 P-21462507 CPL Technical - 66/100 --/-- 27/05/2025 FAIL
General
791 07850341 P-25460045 CPL Air - 72/100 --/-- 27/05/2025 PASS
Navigation
792 07850342 P-24467259 CPL Air - 68/100 --/-- 27/05/2025 FAIL
Navigation
793 07850343 P-24461852 CPL Technical P-68 C 74/100 --/-- 27/05/2025 PASS
Specific
794 07850344 P-23462931 CPL Technical Cessna 66/100 --/-- 27/05/2025 FAIL
Specific 172 R
795 07850345 P-24461671 CPL Air - 68/100 --/-- 27/05/2025 FAIL
Regulation
796 07850346 P-25461275 CPL Air - 84/100 --/-- 27/05/2025 PASS
Regulation
797 07850347 P-25462020 CPL Aviation - 72/100 --/-- 27/05/2025 PASS
Meteorology
798 07850348 P-23463798 CPL Air - 76/100 --/-- 27/05/2025 PASS
Navigation
799 07850349 P-22463259 CPL Air - 58/100 --/-- 27/05/2025 FAIL
Navigation
800 07850350 P-24467085 CPL Air - 49/100 --/-- 27/05/2025 FAIL
Navigation
801 07850351 P-23461183 CPL Technical - --/100 --/-- 27/05/2025 Absent
General
802 07850352 P-24463285 CPL Aviation - 58/100 --/-- 27/05/2025 FAIL
Meteorology
803 07850353 P-24464051 CPL Technical - 71/100 --/-- 27/05/2025 PASS
General
804 07850354 P-23461375 CPL Air - 63/100 --/-- 27/05/2025 FAIL
Navigation
805 07850355 P-24461729 CPL Air - 52/100 --/-- 27/05/2025 FAIL
Navigation
806 07850356 P-25460559 CPL Aviation - 46/100 --/-- 27/05/2025 FAIL
Meteorology
807 07850357 P-25462274 CPL Aviation - 60/100 --/-- 27/05/2025 FAIL
Meteorology
808 07850358 P-07025042 CPL Air - 75/100 --/-- 27/05/2025 PASS
Navigation
809 07850359 P-23464564 CPL Air - 68/100 --/-- 27/05/2025 FAIL
Regulation
810 07850360 P-23460426 CPL Air - 70/100 --/-- 27/05/2025 PASS
Navigation

Wed May 28 2025 18:23:11 page 35 of 107


S.No Roll No Computer Lic. Subject Aircraft Obj Essay ResultDate Status
No Category Marks Marks
811 07850361 P-24465279 CPL Air - 60/100 --/-- 27/05/2025 FAIL
Regulation
812 07850362 P-24466194 CPL Aviation - 82/100 --/-- 27/05/2025 PASS
Meteorology
813 07850363 P-24464590 CPL Air - 67/100 --/-- 27/05/2025 FAIL
Navigation
814 07850364 P-24462806 CPL Air - --/100 --/-- 27/05/2025 Absent
Navigation
815 07850365 P-24465406 CPL Aviation - 52/100 --/-- 27/05/2025 FAIL
Meteorology
816 07850366 P-25460568 CPL Technical - 68/100 --/-- 27/05/2025 FAIL
General
817 07850367 P-25462615 CPL Aviation - 86/100 --/-- 27/05/2025 PASS
Meteorology
818 07850368 P-25462177 CHPL Air - 58/100 --/-- 27/05/2025 FAIL
Regulation
819 07850369 P-24461061 CPL Aviation - 62/100 --/-- 27/05/2025 FAIL
Meteorology
820 07850370 P-05018976 CPL Technical Beech 70/100 --/-- 27/05/2025 PASS
Specific Super
King Air
B200
821 07850371 P-25462326 CPL Aviation - 70/100 --/-- 27/05/2025 PASS
Meteorology
822 07850372 P-22462971 CPL Technical - 66/100 --/-- 27/05/2025 FAIL
General
823 07850373 P-23462343 CPL Aviation - 70/100 --/-- 27/05/2025 PASS
Meteorology
824 07850374 P-25462666 CPL Aviation - 80/100 --/-- 27/05/2025 PASS
Meteorology
825 07850375 P-25461136 CPL Aviation - 74/100 --/-- 27/05/2025 PASS
Meteorology
826 07850376 P-25461813 CPL Aviation - 72/100 --/-- 27/05/2025 PASS
Meteorology
827 07850377 P-24460837 CPL Aviation - 72/100 --/-- 27/05/2025 PASS
Meteorology
828 07850378 P-22461878 CPL Air - 65/100 --/-- 27/05/2025 FAIL
Navigation
829 07850379 P-24460248 CPL Air - 63/100 --/-- 27/05/2025 FAIL
Navigation
830 07850380 P-25460618 CPL Technical - 83/100 --/-- 27/05/2025 PASS
General
831 07850381 P-25461241 CPL Aviation - 82/100 --/-- 27/05/2025 PASS
Meteorology
832 07850382 P-24467158 CPL Air - 65/100 --/-- 27/05/2025 FAIL
Navigation
833 07850383 P-25461050 CPL Air - 76/100 --/-- 27/05/2025 PASS
Regulation

Wed May 28 2025 18:23:11 page 36 of 107


S.No Roll No Computer Lic. Subject Aircraft Obj Essay ResultDate Status
No Category Marks Marks
834 07850384 P-25461124 CPL Air - 80/100 --/-- 27/05/2025 PASS
Regulation
835 07850385 P-24460138 CPL Technical - 90/100 --/-- 27/05/2025 PASS
General
836 07850386 P-24466077 CPL Aviation - 90/100 --/-- 27/05/2025 PASS
Meteorology
837 07850387 P-25462125 CPL Technical - 80/100 --/-- 27/05/2025 PASS
General
838 07850388 P-25461907 CPL Aviation - 74/100 --/-- 27/05/2025 PASS
Meteorology
839 07850389 P-24465870 CPL Air - --/100 --/-- 27/05/2025 Absent
Regulation
840 07850390 P-24466766 CPL Air - --/100 --/-- 27/05/2025 Absent
Navigation
841 07850391 P-25462072 CPL Aviation - 86/100 --/-- 27/05/2025 PASS
Meteorology
842 07850392 P-25461932 CPL Aviation - 70/100 --/-- 27/05/2025 PASS
Meteorology
843 07850393 P-14449672 CPL Technical Diamond 78/100 --/-- 27/05/2025 PASS
Specific DA 42
Austro
844 07850394 P-25462551 CPL Air - 52/100 --/-- 27/05/2025 FAIL
Navigation
845 07850395 P-23460680 CPL Air - 56/100 --/-- 27/05/2025 FAIL
Regulation
846 07850396 P-22463125 CPL Air - 60/100 --/-- 27/05/2025 FAIL
Navigation
847 07850397 P-24465109 CPL Air - 62/100 --/-- 27/05/2025 FAIL
Navigation
848 07850398 P-24463225 CPL Air - 76/100 --/-- 27/05/2025 PASS
Regulation
849 07850399 P-22460108 CPL Technical Piper 80/100 --/-- 27/05/2025 PASS
Specific Seneca
P A-34
850 07850400 P-25462713 CPL Air - 66/100 --/-- 27/05/2025 FAIL
Regulation
851 07850401 P-22462604 CPL Air - --/100 --/-- 27/05/2025 Absent
Navigation
852 07850402 P-20461023 CPL Aviation - 68/100 --/-- 27/05/2025 FAIL
Meteorology
853 07850403 P-23463134 CPL Air - 49/100 --/-- 27/05/2025 FAIL
Navigation
854 07850404 P-23463426 CPL Aviation - 56/100 --/-- 27/05/2025 FAIL
Meteorology
855 07850405 P-24463849 CPL Aviation - 36/100 --/-- 27/05/2025 FAIL
Meteorology
856 07850406 P-24467277 CPLCG Air - 81/100 --/-- 27/05/2025 PASS
(Defence) Navigation
Comp
Wed May 28 2025 18:23:11 page 37 of 107
S.No Roll No Computer Lic. Subject Aircraft Obj Essay ResultDate Status
No Category Marks Marks
857 07850407 P-24465448 CPL Aviation - 90/100 --/-- 27/05/2025 PASS
Meteorology
858 07850408 P-25462054 CPL Aviation - 44/100 --/-- 27/05/2025 FAIL
Meteorology
859 07850409 P-25461608 CPL Air - 62/100 --/-- 27/05/2025 FAIL
Regulation
860 07850410 P-25460642 CPL Aviation - 68/100 --/-- 27/05/2025 FAIL
Meteorology
861 07850411 P-25462561 CPL Aviation - 46/100 --/-- 27/05/2025 FAIL
Meteorology
862 07850412 P-24461738 CPL Air - 56/100 --/-- 27/05/2025 FAIL
Regulation
863 07850413 P-23464422 CPL Air - 68/100 --/-- 27/05/2025 FAIL
Regulation
864 07850414 P-25462699 CPL Air - 54/100 --/-- 27/05/2025 FAIL
Regulation
865 07850415 P-24466821 CPL Air - 61/100 --/-- 27/05/2025 FAIL
Navigation
866 07850416 P-25461990 CPL Air - 78/100 --/-- 27/05/2025 PASS
Regulation
867 07850417 P-23464581 CPL Air - 72/100 --/-- 27/05/2025 PASS
Navigation
868 07850418 P-25461299 CPL Aviation - 78/100 --/-- 27/05/2025 PASS
Meteorology
869 07850419 P-21461017 CPL Air - 74/100 --/-- 27/05/2025 PASS
Navigation
870 07850420 P-25462011 CPL Aviation - 74/100 --/-- 27/05/2025 PASS
Meteorology
871 07850421 P-24462808 CPL Aviation - 88/100 --/-- 27/05/2025 PASS
Meteorology
872 07850422 P-23463740 CPL Air - 68/100 --/-- 27/05/2025 FAIL
Navigation
873 07850423 P-24464598 CPL Air - 78/100 --/-- 27/05/2025 PASS
Regulation
874 07850424 P-24461876 CPL Air - 78/100 --/-- 27/05/2025 PASS
Navigation
875 07850425 P-19462914 CPL Air - --/100 --/-- 27/05/2025 Absent
Navigation
876 07850426 P-24467444 CPL Air - 39/100 --/-- 27/05/2025 FAIL
Navigation
877 07850427 P-22461884 CPL Technical Piper 78/100 --/-- 27/05/2025 PASS
Specific Seneca
P A-34
878 07850428 P-24461063 CPL Aviation - 44/100 --/-- 27/05/2025 FAIL
Meteorology
879 07850429 P-22460153 CPL Technical Diamond 86/100 --/-- 27/05/2025 PASS
Specific DA-42
Thielert

Wed May 28 2025 18:23:11 page 38 of 107


S.No Roll No Computer Lic. Subject Aircraft Obj Essay ResultDate Status
No Category Marks Marks
880 07850430 P-22460092 CPL Technical Tecnam P 66/100 --/-- 27/05/2025 FAIL
Specific Mentor
881 07850431 P-24463329 CPL Air - --/100 --/-- 27/05/2025 Absent
Regulation
882 07850432 P-18455055 CPL Technical Cessna 74/100 --/-- 27/05/2025 PASS
Specific 172 R
883 07850433 P-22461757 CPL Technical Piper 84/100 --/-- 27/05/2025 PASS
Specific Seneca
P A-34
884 07850434 P-25462486 CPL Aviation - 68/100 --/-- 27/05/2025 FAIL
Meteorology
885 07850435 P-25461905 CPL Air - 74/100 --/-- 27/05/2025 PASS
Navigation
886 07850436 P-23461281 CPL Technical - 45/100 --/-- 27/05/2025 FAIL
General
887 07850437 P-24465258 CPL Air - 62/100 --/-- 27/05/2025 FAIL
Regulation
888 07850438 P-25460403 CPL Air - 76/100 --/-- 27/05/2025 PASS
Navigation
889 07850439 P-24461656 CPL Technical - 71/100 --/-- 27/05/2025 PASS
General
890 07850440 P-25461534 CPL Air - 70/100 --/-- 27/05/2025 PASS
Regulation
891 07850441 P-24462353 PPL Technical - 74/100 --/-- 27/05/2025 PASS
General
892 07850442 P-25461765 CPL Air - 72/100 --/-- 27/05/2025 PASS
Regulation
893 07850443 P-21462371 CPL Technical Tecnam P 76/100 --/-- 27/05/2025 PASS
Specific Mentor
894 07850444 P-21461463 CPL Aviation - 66/100 --/-- 27/05/2025 FAIL
Meteorology
895 07850445 P-22461477 CPL Aviation - --/100 --/-- 27/05/2025 Absent
Meteorology
896 07850445 P-22461477 CPL Air - --/100 --/-- 27/05/2025 Absent
Regulation
897 07850446 P-19460233 CPL Aviation - --/100 --/-- 27/05/2025 Absent
Meteorology
898 07850446 P-19460233 CPL Technical Cessna --/100 --/-- 27/05/2025 Absent
Specific 172 R
899 07850447 P-19462096 CPL Air - 69/100 --/-- 27/05/2025 FAIL
Navigation
900 07850448 P-23464767 CPL Technical - 68/100 --/-- 27/05/2025 FAIL
General
901 07850449 P-25460570 CPL Air - 36/100 --/-- 27/05/2025 FAIL
Navigation
902 07850449 P-25460570 CPL Air - 50/100 --/-- 27/05/2025 FAIL
Regulation

Wed May 28 2025 18:23:11 page 39 of 107


S.No Roll No Computer Lic. Subject Aircraft Obj Essay ResultDate Status
No Category Marks Marks
903 07850450 P-24466582 CPL Air - 64/100 --/-- 27/05/2025 FAIL
Navigation
904 07850451 P-24461872 CPL Air - 54/100 --/-- 27/05/2025 FAIL
Regulation
905 07850452 P-22460230 CPL Technical Tecnam P 66/100 --/-- 27/05/2025 FAIL
Specific Mentor
906 07850453 P-24460862 CPL Air - 73/100 --/-- 27/05/2025 PASS
Navigation
907 07850454 P-23461157 CPLCG Air - 54/100 --/-- 27/05/2025 FAIL
(Conversion) Navigation
Comp
908 07850455 P-24465392 CPL Air - 52/100 --/-- 27/05/2025 FAIL
Navigation
909 07850456 P-24462046 CPL Air - --/100 --/-- 27/05/2025 Absent
Navigation
910 07850457 P-25460139 CPL Air - 69/100 --/-- 27/05/2025 FAIL
Navigation
911 07850458 P-24466790 CPL Aviation - 60/100 --/-- 27/05/2025 FAIL
Meteorology
912 07850459 P-22461631 CPL Technical Piper --/100 --/-- 27/05/2025 Absent
Specific PA-28-181
Archer III
TAE-125
Engine
913 07850460 P-24466014 CPL Air - 52/100 --/-- 27/05/2025 FAIL
Regulation
914 07850461 P-22461766 CPL Air - --/100 --/-- 27/05/2025 Absent
Navigation
915 07850462 P-17452350 CPL Technical Tecnam P 64/100 --/-- 27/05/2025 FAIL
Specific Mentor
916 07850463 P-25461256 CPL Air - 70/100 --/-- 27/05/2025 PASS
Regulation
917 07850464 P-25460623 CPL Aviation - 0/100 --/-- 27/05/2025 FAIL
Meteorology
918 07850465 P-25460350 CPL Aviation - 84/100 --/-- 27/05/2025 PASS
Meteorology
919 07850466 P-24464906 CPL Air - 58/100 --/-- 27/05/2025 FAIL
Regulation
920 07850467 P-24465473 CPL Air - 70/100 --/-- 27/05/2025 PASS
Navigation
921 07850468 P-24460370 CPL Air - --/100 --/-- 27/05/2025 Absent
Navigation
922 07850469 P-25462574 CPL Aviation - 68/100 --/-- 27/05/2025 FAIL
Meteorology
923 07850470 P-25462398 CPL Air - 82/100 --/-- 27/05/2025 PASS
Regulation
924 07850471 P-22462940 CPL Technical P-68 C 68/100 --/-- 27/05/2025 FAIL
Specific

Wed May 28 2025 18:23:11 page 40 of 107


S.No Roll No Computer Lic. Subject Aircraft Obj Essay ResultDate Status
No Category Marks Marks
925 07850472 P-25461123 CPL Air - 60/100 --/-- 27/05/2025 FAIL
Regulation
926 07850473 P-11033540 CPL Air - --/100 --/-- 27/05/2025 Absent
Regulation
927 07850474 P-24465357 CPL Aviation - 68/100 --/-- 27/05/2025 FAIL
Meteorology
928 07850475 P-24460010 CPL Air - 46/100 --/-- 27/05/2025 FAIL
Navigation
929 07850476 P-24461530 CPL Air - 52/100 --/-- 27/05/2025 FAIL
Regulation
930 07850477 P-24466926 CPL Aviation - 66/100 --/-- 27/05/2025 FAIL
Meteorology
931 07850478 P-24466321 CPL Air - 66/100 --/-- 27/05/2025 FAIL
Regulation
932 07850479 P-25461500 CPL Aviation - 70/100 --/-- 27/05/2025 PASS
Meteorology
933 07850480 P-25461377 CPL Air - 78/100 --/-- 27/05/2025 PASS
Regulation
934 07850481 P-24462218 CPL Technical Diamond 74/100 --/-- 27/05/2025 PASS
Specific DA-42
Thielert
935 07850482 P-24463332 CPL Air - 64/100 --/-- 27/05/2025 FAIL
Regulation
936 07850483 P-25462036 CPL Aviation - 84/100 --/-- 27/05/2025 PASS
Meteorology
937 07850484 P-22460222 CPL Air - 80/100 --/-- 27/05/2025 PASS
Navigation
938 07850485 P-16450948 CPL Technical Cessna 72/100 --/-- 27/05/2025 PASS
Specific 152 A
939 07850486 P-24466207 CPL Air - 72/100 --/-- 27/05/2025 PASS
Regulation
940 07850487 P-25461562 CPL Technical Cessna 74/100 --/-- 27/05/2025 PASS
Specific 172 R
941 07850488 P-22461682 CPL Technical - 73/100 --/-- 27/05/2025 PASS
General
942 07850489 P-19460320 CPL Technical - --/100 --/-- 27/05/2025 Absent
General
943 07850490 P-25461852 CPL Aviation - 80/100 --/-- 27/05/2025 PASS
Meteorology
944 07850490 P-25461852 CPL Technical Cessna 88/100 --/-- 27/05/2025 PASS
Specific 152 A
945 07850491 P-25461706 CPL Air - 64/100 --/-- 27/05/2025 FAIL
Regulation
946 07850492 P-23462636 CPL Air - 56/100 --/-- 27/05/2025 FAIL
Navigation
947 07850493 P-25461663 CPL Air - 80/100 --/-- 27/05/2025 PASS
Regulation

Wed May 28 2025 18:23:11 page 41 of 107


S.No Roll No Computer Lic. Subject Aircraft Obj Essay ResultDate Status
No Category Marks Marks
948 07850494 P-25462091 CPL Aviation - 56/100 --/-- 27/05/2025 FAIL
Meteorology
949 07850495 P-24466237 CPL Aviation - 66/100 --/-- 27/05/2025 FAIL
Meteorology
950 07850496 P-23460303 CPL Air - 62/100 --/-- 27/05/2025 FAIL
Regulation
951 07850497 P-25460483 CPL Aviation - 78/100 --/-- 27/05/2025 PASS
Meteorology
952 07850498 P-24465587 CPL Air - 68/100 --/-- 27/05/2025 FAIL
Regulation
953 07850499 P-25460989 CPL Technical - 86/100 --/-- 27/05/2025 PASS
General
954 07850500 P-25462424 CPL Aviation - --/100 --/-- 27/05/2025 Absent
Meteorology
955 07850501 P-25462022 CPL Air - 50/100 --/-- 27/05/2025 FAIL
Navigation
956 07850502 P-19460205 CPL Air - 48/100 --/-- 27/05/2025 FAIL
Navigation
957 07850503 P-25462282 CPL Air - 55/100 --/-- 27/05/2025 FAIL
Navigation
958 07850503 P-25462282 CPL Aviation - 48/100 --/-- 27/05/2025 FAIL
Meteorology
959 07850504 P-24466593 CPL Aviation - 60/100 --/-- 27/05/2025 FAIL
Meteorology
960 07850505 P-22461200 CPL Aviation - 76/100 --/-- 27/05/2025 PASS
Meteorology
961 07850506 P-23462048 CPL Air - --/100 --/-- 27/05/2025 Absent
Navigation
962 07850507 P-24467413 CPL Technical - 77/100 --/-- 27/05/2025 PASS
General
963 07850507 P-24467413 CPL Technical Piper 52/100 --/-- 27/05/2025 FAIL
Specific PA-28-181
Archer III
TAE-125
Engine
964 07850508 P-24461243 CPL Air - --/100 --/-- 27/05/2025 Absent
Regulation
965 07850509 P-21461139 CPL Technical - 59/100 --/-- 27/05/2025 FAIL
General
966 07850510 P-24460588 CPL Aviation - 48/100 --/-- 27/05/2025 FAIL
Meteorology
967 07850511 P-22462168 CPL Air - 54/100 --/-- 27/05/2025 FAIL
Navigation
968 07850512 P-22462258 CPL Technical Cessna 86/100 --/-- 27/05/2025 PASS
Specific 172 R
969 07850513 P-24466035 CPL Air - 54/100 --/-- 27/05/2025 FAIL
Regulation
970 07850514 P-24466455 CPL Aviation - 66/100 --/-- 27/05/2025 FAIL
Meteorology
Wed May 28 2025 18:23:11 page 42 of 107
S.No Roll No Computer Lic. Subject Aircraft Obj Essay ResultDate Status
No Category Marks Marks
971 07850514 P-24466455 CPL Air - 72/100 --/-- 27/05/2025 PASS
Regulation
972 07850515 P-24463197 CPL Air - 69/100 --/-- 27/05/2025 FAIL
Navigation
973 07850516 P-23464163 CPLCG Technical Diamond --/100 --/-- 27/05/2025 Absent
(Conversion) Specific DA-42
Thielert
974 07850517 P-24466745 CPL Technical - 57/100 --/-- 27/05/2025 FAIL
General
975 07850518 P-12448335 CPL Technical TECNAM 86/100 --/-- 27/05/2025 PASS
Specific P2006T
976 07850519 P-25462440 CPLCG Air - 80/100 --/-- 27/05/2025 PASS
(Conversion) Regulation
977 07850520 P-21461060 CPL Technical - 73/100 --/-- 27/05/2025 PASS
General
978 07850521 P-25461151 CPL Air - 81/100 --/-- 27/05/2025 PASS
Navigation
979 07850522 P-18454049 CPL Technical Cessna 66/100 --/-- 27/05/2025 FAIL
Specific 172 R
980 07850523 P-25461341 CPL Air - 72/100 --/-- 27/05/2025 PASS
Regulation
981 07850524 P-25462173 CPL Aviation - 56/100 --/-- 27/05/2025 FAIL
Meteorology
982 07850525 P-25460206 CPL Technical Piper 84/100 --/-- 27/05/2025 PASS
Specific PA-28-181
Archer III
TAE-125
Engine
983 07850526 P-22461003 CPL Air - --/100 --/-- 27/05/2025 Absent
Regulation
984 07850527 P-18454417 CPL Technical Tecnam P 70/100 --/-- 27/05/2025 PASS
Specific Mentor
985 07850528 P-24464186 CPL Air - 72/100 --/-- 27/05/2025 PASS
Regulation
986 07850529 P-23463882 CPL Technical - 61/100 --/-- 27/05/2025 FAIL
General
987 07850530 P-24467312 CPL Aviation - 72/100 --/-- 27/05/2025 PASS
Meteorology
988 07850531 P-22461110 CPL Air - 72/100 --/-- 27/05/2025 PASS
Navigation
989 07850532 P-25462183 CPL Aviation - 56/100 --/-- 27/05/2025 FAIL
Meteorology
990 07850533 P-08027518 CPL Air - 70/100 --/-- 27/05/2025 PASS
Regulation
991 07850534 P-24464094 CPL Air - 66/100 --/-- 27/05/2025 FAIL
Regulation
992 07850535 P-24463495 CPL Air - 78/100 --/-- 27/05/2025 PASS
Regulation

Wed May 28 2025 18:23:11 page 43 of 107


S.No Roll No Computer Lic. Subject Aircraft Obj Essay ResultDate Status
No Category Marks Marks
993 07850536 P-23463251 CPL Air - 56/100 --/-- 27/05/2025 FAIL
Regulation
994 07850537 P-25462181 CPL Aviation - 82/100 --/-- 27/05/2025 PASS
Meteorology
995 07850538 P-25461304 CPL Air - 61/100 --/-- 27/05/2025 FAIL
Navigation
996 07850539 P-24466865 CPL Air - 84/100 --/-- 27/05/2025 PASS
Regulation
997 07850540 P-24463667 CPL Aviation - 46/100 --/-- 27/05/2025 FAIL
Meteorology
998 07850541 P-21460174 CPL Aviation - 56/100 --/-- 27/05/2025 FAIL
Meteorology
999 07850542 P-25460693 CPL Aviation - 32/100 --/-- 27/05/2025 FAIL
Meteorology
1000 07850543 P-24465729 CPL Air - 54/100 --/-- 27/05/2025 FAIL
Regulation
1001 07850544 P-24462148 PPL Technical Piper 84/100 --/-- 27/05/2025 PASS
Specific PA-28-181
Archer III
TAE-125
Engine
1002 07850545 P-23462015 CPL Air - 56/100 --/-- 27/05/2025 FAIL
Regulation
1003 07850546 P-24467389 CPL Air - 80/100 --/-- 27/05/2025 PASS
Regulation
1004 07850547 P-18455022 CPL Aviation - 64/100 --/-- 27/05/2025 FAIL
Meteorology
1005 07850548 P-24460670 CPL Air - 68/100 --/-- 27/05/2025 FAIL
Regulation
1006 07850549 P-25462387 CPL Air - 70/100 --/-- 27/05/2025 PASS
Regulation
1007 07850550 P-23460782 CPL Technical - 75/100 --/-- 27/05/2025 PASS
General
1008 07850551 P-25462287 CPL Aviation - 50/100 --/-- 27/05/2025 FAIL
Meteorology
1009 07850552 P-21461735 CPL Air - 80/100 --/-- 27/05/2025 PASS
Navigation
1010 07850553 P-25461359 CPL Aviation - 74/100 --/-- 27/05/2025 PASS
Meteorology
1011 07850554 P-16451420 CPL Technical Tecnam P 58/100 --/-- 27/05/2025 FAIL
Specific Mentor
1012 07850555 P-24465313 CPL Air - 69/100 --/-- 27/05/2025 FAIL
Navigation
1013 07850556 P-19462640 CPL Air - 68/100 --/-- 27/05/2025 FAIL
Navigation
1014 07850557 P-25460542 CPL Aviation - 44/100 --/-- 27/05/2025 FAIL
Meteorology
1015 07850557 P-25460542 CPL Air - 68/100 --/-- 27/05/2025 FAIL
Regulation
Wed May 28 2025 18:23:11 page 44 of 107
S.No Roll No Computer Lic. Subject Aircraft Obj Essay ResultDate Status
No Category Marks Marks
1016 07850558 P-23461979 CPL Air - 69/100 --/-- 27/05/2025 FAIL
Navigation
1017 07850559 P-24461390 CPL Air - --/100 --/-- 27/05/2025 Absent
Regulation
1018 07850560 P-24464900 CPL Aviation - 78/100 --/-- 27/05/2025 PASS
Meteorology
1019 07850561 P-24463157 CPL Air - 61/100 --/-- 27/05/2025 FAIL
Navigation
1020 07850562 P-24463178 CPL Air - 55/100 --/-- 27/05/2025 FAIL
Navigation
1021 07850563 P-23460763 CPL Air - 68/100 --/-- 27/05/2025 FAIL
Regulation
1022 07850564 P-23462977 CPL Air - 76/100 --/-- 27/05/2025 PASS
Regulation
1023 07850565 P-09029095 CPL Technical Cessna 84/100 --/-- 27/05/2025 PASS
Specific 172 R
1024 07850566 P-21461053 CPL Technical TECNAM 80/100 --/-- 27/05/2025 PASS
Specific P2006T
1025 07850567 P-21460780 CPL Technical - 57/100 --/-- 27/05/2025 FAIL
General
1026 07850568 P-25462032 CPL Aviation - 56/100 --/-- 27/05/2025 FAIL
Meteorology
1027 07850569 P-24466224 CPL Air - 60/100 --/-- 27/05/2025 FAIL
Navigation
1028 07850570 P-23463969 CPL Aviation - 62/100 --/-- 27/05/2025 FAIL
Meteorology
1029 07850571 P-24466210 CPL Air - 62/100 --/-- 27/05/2025 FAIL
Regulation
1030 07850572 P-25461797 CPL Aviation - 40/100 --/-- 27/05/2025 FAIL
Meteorology
1031 07850572 P-25461797 CPL Air - 68/100 --/-- 27/05/2025 FAIL
Regulation
1032 07850573 P-25462077 CPL Aviation - 74/100 --/-- 27/05/2025 PASS
Meteorology
1033 07850574 P-24465972 CPL Technical TECNAM 86/100 --/-- 27/05/2025 PASS
Specific P2006T
1034 07850575 P-25461805 CPL Aviation - 44/100 --/-- 27/05/2025 FAIL
Meteorology
1035 07850576 P-24460800 PPL Technical - 60/100 --/-- 27/05/2025 FAIL
General
1036 07850577 P-25461180 CPL Air - 72/100 --/-- 27/05/2025 PASS
Regulation
1037 07850578 P-24464832 CPL Aviation - 62/100 --/-- 27/05/2025 FAIL
Meteorology
1038 07850579 P-21461618 CPL Technical Piper 84/100 --/-- 27/05/2025 PASS
Specific PA-28-181
Archer III
TAE-125
Engine
Wed May 28 2025 18:23:11 page 45 of 107
S.No Roll No Computer Lic. Subject Aircraft Obj Essay ResultDate Status
No Category Marks Marks
1039 07850580 P-22461304 CPL Air - 50/100 --/-- 27/05/2025 FAIL
Navigation
1040 07850581 P-24466467 CPL Air - 75/100 --/-- 27/05/2025 PASS
Navigation
1041 07850582 P-24466758 CPL Air - 67/100 --/-- 27/05/2025 FAIL
Navigation
1042 08850001 P-18460585 CPL Air - 54/100 --/-- 27/05/2025 FAIL
Regulation
1043 08850002 P-21462492 CPL Technical Tecnam P 66/100 --/-- 27/05/2025 FAIL
Specific Mentor
1044 08850003 P-13449099 CPL Technical Tecnam P --/100 --/-- 27/05/2025 Absent
Specific Mentor
1045 08850004 P-24467112 CPL Air - 72/100 --/-- 27/05/2025 PASS
Regulation
1046 08850005 P-25462154 CPL Aviation - 86/100 --/-- 27/05/2025 PASS
Meteorology
1047 08850006 P-24466538 CPL Air - 65/100 --/-- 27/05/2025 FAIL
Navigation
1048 08850007 P-24466286 CPL Air - 78/100 --/-- 27/05/2025 PASS
Regulation
1049 08850008 P-23464276 CPL Air - 72/100 --/-- 27/05/2025 PASS
Regulation
1050 08850009 P-24461902 CPL Air - 58/100 --/-- 27/05/2025 FAIL
Regulation
1051 08850010 P-24465596 CPL Air - 64/100 --/-- 27/05/2025 FAIL
Regulation
1052 08850011 P-24465751 CPL Air - 86/100 --/-- 27/05/2025 PASS
Regulation
1053 08850012 P-19460354 CPL Aviation - 80/100 --/-- 27/05/2025 PASS
Meteorology
1054 08850012 P-19460354 CPL Air - 78/100 --/-- 27/05/2025 PASS
Regulation
1055 08850013 P-24464812 CPL Air - --/100 --/-- 27/05/2025 Absent
Navigation
1056 08850014 P-23464451 CPL Air - --/100 --/-- 27/05/2025 Absent
Regulation
1057 08850015 P-25460810 CPL Air - --/100 --/-- 27/05/2025 Absent
Navigation
1058 08850016 P-23462702 CPL Air - 58/100 --/-- 27/05/2025 FAIL
Navigation
1059 08850017 P-24464978 CPL Air - 65/100 --/-- 27/05/2025 FAIL
Navigation
1060 08850018 P-25462006 CPL Air - 64/100 --/-- 27/05/2025 FAIL
Navigation
1061 08850019 P-25461293 CPL Aviation - 36/100 --/-- 27/05/2025 FAIL
Meteorology
1062 08850020 P-24461514 CPL Air - 70/100 --/-- 27/05/2025 PASS
Regulation

Wed May 28 2025 18:23:11 page 46 of 107


S.No Roll No Computer Lic. Subject Aircraft Obj Essay ResultDate Status
No Category Marks Marks
1063 08850021 P-20461039 CPL Technical - 60/100 --/-- 27/05/2025 FAIL
General
1064 08850022 P-25460170 CPL Air - 56/100 --/-- 27/05/2025 FAIL
Regulation
1065 08850023 P-20460829 CPL Air - 67/100 --/-- 27/05/2025 FAIL
Navigation
1066 08850024 P-24466440 CPL Air - 61/100 --/-- 27/05/2025 FAIL
Navigation
1067 08850025 P-25461594 CPL Air - 78/100 --/-- 27/05/2025 PASS
Regulation
1068 08850026 P-25460068 CPL Air - 81/100 --/-- 27/05/2025 PASS
Navigation
1069 08850027 P-24465437 CPL Air - --/100 --/-- 27/05/2025 Absent
Regulation
1070 08850028 P-23461818 CPL Technical Tecnam 90/100 --/-- 27/05/2025 PASS
Specific P2008 JC
1071 08850029 P-22462700 CPL Air - 70/100 --/-- 27/05/2025 PASS
Navigation
1072 08850030 P-19461821 CPL Air - 74/100 --/-- 27/05/2025 PASS
Navigation
1073 08850031 P-24464219 CPL Technical Piper 58/100 --/-- 27/05/2025 FAIL
Specific PA-28-181
Archer III
TAE-125
Engine
1074 08850032 P-24467284 CPL Aviation - 72/100 --/-- 27/05/2025 PASS
Meteorology
1075 08850033 P-24465763 CPL Air - 46/100 --/-- 27/05/2025 FAIL
Navigation
1076 08850034 P-24462187 CPL Air - --/100 --/-- 27/05/2025 Absent
Navigation
1077 08850035 P-21460442 CPL Aviation - 56/100 --/-- 27/05/2025 FAIL
Meteorology
1078 08850036 P-24467365 CPL Aviation - --/100 --/-- 27/05/2025 Absent
Meteorology
1079 08850037 P-24465944 CPL Aviation - 72/100 --/-- 27/05/2025 PASS
Meteorology
1080 08850038 P-24466792 CPL Aviation - --/100 --/-- 27/05/2025 Absent
Meteorology
1081 08850039 P-24461792 CPL Air - 54/100 --/-- 27/05/2025 FAIL
Regulation
1082 08850040 P-25460874 CPL Air - 88/100 --/-- 27/05/2025 PASS
Regulation
1083 08850041 P-23461109 CPL Technical - 66/100 --/-- 27/05/2025 FAIL
General
1084 08850042 P-23463866 CPL Air - --/100 --/-- 27/05/2025 Absent
Regulation
1085 08850043 P-17453449 CPL Technical Cessna 74/100 --/-- 27/05/2025 PASS
Specific 172 R
Wed May 28 2025 18:23:11 page 47 of 107
S.No Roll No Computer Lic. Subject Aircraft Obj Essay ResultDate Status
No Category Marks Marks
1086 08850044 P-25462206 CPL Aviation - 78/100 --/-- 27/05/2025 PASS
Meteorology
1087 08850045 P-23463791 CPL Air - --/100 --/-- 27/05/2025 Absent
Regulation
1088 08850046 P-18455724 CPL Air - 72/100 --/-- 27/05/2025 PASS
Regulation
1089 08850047 P-25461282 CPL Air - 62/100 --/-- 27/05/2025 FAIL
Regulation
1090 08850048 P-25461682 CPL Aviation - 46/100 --/-- 27/05/2025 FAIL
Meteorology
1091 08850049 P-23461895 CPL Technical - 78/100 --/-- 27/05/2025 PASS
General
1092 08850050 P-23462178 CPL Air - 70/100 --/-- 27/05/2025 PASS
Regulation
1093 08850051 P-24464964 CPL Technical - 77/100 --/-- 27/05/2025 PASS
General
1094 08850052 P-24467373 CPL Technical - 74/100 --/-- 27/05/2025 PASS
General
1095 08850053 P-23463832 CPL Technical - 67/100 --/-- 27/05/2025 FAIL
General
1096 08850054 P-25462656 CPL Aviation - 86/100 --/-- 27/05/2025 PASS
Meteorology
1097 08850054 P-25462656 CPL Technical Cessna 88/100 --/-- 27/05/2025 PASS
Specific 172 R
1098 08850055 P-25460665 CPL Aviation - 52/100 --/-- 27/05/2025 FAIL
Meteorology
1099 08850056 P-24466269 CPL Air - 70/100 --/-- 27/05/2025 PASS
Regulation
1100 08850057 P-19462359 CPL Air - 68/100 --/-- 27/05/2025 FAIL
Navigation
1101 08850058 P-21460212 CPL Aviation - --/100 --/-- 27/05/2025 Absent
Meteorology
1102 08850058 P-21460212 CPL Technical - --/100 --/-- 27/05/2025 Absent
General
1103 08850059 P-24463368 CPL Air - 68/100 --/-- 27/05/2025 FAIL
Regulation
1104 08850060 P-21460318 CPL Technical - 74/100 --/-- 27/05/2025 PASS
General
1105 08850061 P-24465552 CPL Technical - 82/100 --/-- 27/05/2025 PASS
General
1106 08850062 P-25460501 CPL Air - 72/100 --/-- 27/05/2025 PASS
Regulation
1107 08850063 P-25460075 CPL Aviation - 76/100 --/-- 27/05/2025 PASS
Meteorology
1108 08850064 P-24466150 CPL Air - 78/100 --/-- 27/05/2025 PASS
Navigation
1109 08850065 P-24465317 CPL Technical - 48/100 --/-- 27/05/2025 FAIL
General

Wed May 28 2025 18:23:11 page 48 of 107


S.No Roll No Computer Lic. Subject Aircraft Obj Essay ResultDate Status
No Category Marks Marks
1110 08850066 P-25461965 CPL Air - 92/100 --/-- 27/05/2025 PASS
Regulation
1111 08850067 P-23464728 CPL Aviation - 74/100 --/-- 27/05/2025 PASS
Meteorology
1112 08850068 P-23461164 CPL Air - 80/100 --/-- 27/05/2025 PASS
Navigation
1113 08850069 P-21462312 CPL Air - --/100 --/-- 27/05/2025 Absent
Navigation
1114 08850070 P-24466216 CPL Aviation - 78/100 --/-- 27/05/2025 PASS
Meteorology
1115 08850071 P-24464120 CPL Air - 59/100 --/-- 27/05/2025 FAIL
Navigation
1116 08850072 P-24464620 CPL Air - 51/100 --/-- 27/05/2025 FAIL
Navigation
1117 08850073 P-25462180 CPL Air - 55/100 --/-- 27/05/2025 FAIL
Navigation
1118 08850074 P-25462102 CPL Air - 71/100 --/-- 27/05/2025 PASS
Navigation
1119 08850075 P-24465887 CPL Air - --/100 --/-- 27/05/2025 Absent
Navigation
1120 08850076 P-23461862 CPL Air - --/100 --/-- 27/05/2025 Absent
Navigation
1121 08850076 P-23461862 CPL Air - --/100 --/-- 27/05/2025 Absent
Regulation
1122 08850077 P-24463367 CPL Air - 82/100 --/-- 27/05/2025 PASS
Regulation
1123 08850078 P-24461506 CPL Air - --/100 --/-- 27/05/2025 Absent
Regulation
1124 08850079 P-24460349 CPL Air - 41/100 --/-- 27/05/2025 FAIL
Navigation
1125 08850079 P-24460349 CPL Air - 42/100 --/-- 27/05/2025 FAIL
Regulation
1126 08850080 P-24465208 CPL Air - 58/100 --/-- 27/05/2025 FAIL
Regulation
1127 08850081 P-25460847 CPL Air - 74/100 --/-- 27/05/2025 PASS
Regulation
1128 08850082 P-23463981 CPL Air - 70/100 --/-- 27/05/2025 PASS
Regulation
1129 08850083 P-23463210 CPL Air - 70/100 --/-- 27/05/2025 PASS
Navigation
1130 08850084 P-24467210 CPL Technical - 73/100 --/-- 27/05/2025 PASS
General
1131 08850085 P-25462362 CPL Aviation - 78/100 --/-- 27/05/2025 PASS
Meteorology
1132 08850086 P-24462220 CPL Technical Piper 72/100 --/-- 27/05/2025 PASS
Specific PA-28-181
Archer III
TAE-125
Engine
Wed May 28 2025 18:23:11 page 49 of 107
S.No Roll No Computer Lic. Subject Aircraft Obj Essay ResultDate Status
No Category Marks Marks
1133 08850087 P-25461883 CPL Air - 60/100 --/-- 27/05/2025 FAIL
Navigation
1134 08850087 P-25461883 CPL Aviation - 82/100 --/-- 27/05/2025 PASS
Meteorology
1135 08850087 P-25461883 CPL Air - 62/100 --/-- 27/05/2025 FAIL
Regulation
1136 08850088 P-25461945 CPLCG Air - 80/100 --/-- 27/05/2025 PASS
(Defence) Navigation
Comp
1137 08850089 P-24467327 CPLCG Air - 80/100 --/-- 27/05/2025 PASS
(Defence) Regulation
1138 08850090 P-21461412 CPL Aviation - 80/100 --/-- 27/05/2025 PASS
Meteorology
1139 08850091 P-25461702 CPL Aviation - 84/100 --/-- 27/05/2025 PASS
Meteorology
1140 08850092 P-22460019 CPL Technical - 85/100 --/-- 27/05/2025 PASS
General
1141 08850093 P-24466798 CPL Air - 46/100 --/-- 27/05/2025 FAIL
Regulation
1142 08850094 P-25460094 CPL Air - 62/100 --/-- 27/05/2025 FAIL
Navigation
1143 08850095 P-23460869 CPL Aviation - 56/100 --/-- 27/05/2025 FAIL
Meteorology
1144 08850096 P-19461181 CPL Air - 70/100 --/-- 27/05/2025 PASS
Navigation
1145 08850097 P-22460912 CPL Air - --/100 --/-- 27/05/2025 Absent
Navigation
1146 08850098 P-24462088 CPL Air - 80/100 --/-- 27/05/2025 PASS
Navigation
1147 08850099 P-24465541 CPL Aviation - 70/100 --/-- 27/05/2025 PASS
Meteorology
1148 08850100 P-19461693 CPL Aviation - 68/100 --/-- 27/05/2025 FAIL
Meteorology
1149 17850001 P-25460585 CPL Technical Cessna 62/100 --/-- 27/05/2025 FAIL
Specific 172 R
1150 17850002 P-11034049 CPL Air - 51/100 --/-- 27/05/2025 FAIL
Navigation
1151 17850002 P-11034049 CPL Air - 68/100 --/-- 27/05/2025 FAIL
Regulation
1152 17850003 P-24467297 CPL Aviation - 62/100 --/-- 27/05/2025 FAIL
Meteorology
1153 17850004 P-23464928 CPL Technical - 86/100 --/-- 27/05/2025 PASS
General
1154 17850005 P-25462281 CPL Air - 77/100 --/-- 27/05/2025 PASS
Navigation
1155 17850006 P-25460678 CPL Air - 74/100 --/-- 27/05/2025 PASS
Regulation

Wed May 28 2025 18:23:11 page 50 of 107


S.No Roll No Computer Lic. Subject Aircraft Obj Essay ResultDate Status
No Category Marks Marks
1156 17850007 P-24462356 CPL Technical - 76/100 --/-- 27/05/2025 PASS
General
1157 17850008 P-23462699 CPL Air - 68/100 --/-- 27/05/2025 FAIL
Navigation
1158 17850009 P-24465577 CPL Air - 52/100 --/-- 27/05/2025 FAIL
Navigation
1159 17850010 P-24464090 CPL Air - 76/100 --/-- 27/05/2025 PASS
Regulation
1160 17850011 P-23462245 CPL Technical Cessna 94/100 --/-- 27/05/2025 PASS
Specific 172 R
1161 17850012 P-25460807 CPL Air - 78/100 --/-- 27/05/2025 PASS
Regulation
1162 17850013 P-24464358 CPL Air - --/100 --/-- 27/05/2025 Absent
Regulation
1163 17850014 P-23464292 CPL Air - 58/100 --/-- 27/05/2025 FAIL
Navigation
1164 17850015 P-25460467 CPL Air - 64/100 --/-- 27/05/2025 FAIL
Regulation
1165 17850016 P-24466598 CPL Aviation - 54/100 --/-- 27/05/2025 FAIL
Meteorology
1166 17850017 P-21460679 CPL Technical Cessna 64/100 --/-- 27/05/2025 FAIL
Specific 172 R
1167 17850018 P-25460250 CPL Air - 85/100 --/-- 27/05/2025 PASS
Navigation
1168 17850019 P-24460932 CPL Air - --/100 --/-- 27/05/2025 Absent
Regulation
1169 17850020 P-24461150 CPL Air - 68/100 --/-- 27/05/2025 FAIL
Regulation
1170 17850021 P-24466774 CPL Air - 74/100 --/-- 27/05/2025 PASS
Regulation
1171 17850022 P-25460274 CPL Aviation - 62/100 --/-- 27/05/2025 FAIL
Meteorology
1172 17850023 P-21461846 CPL Technical TECNAM --/100 --/-- 27/05/2025 Absent
Specific P2006T
1173 17850024 P-24464371 CPL Aviation - 70/100 --/-- 27/05/2025 PASS
Meteorology
1174 17850025 P-25460544 CPL Air - 56/100 --/-- 27/05/2025 FAIL
Regulation
1175 17850026 P-24462388 CPL Air - 70/100 --/-- 27/05/2025 PASS
Navigation
1176 17850027 P-25460127 CPL Technical - 65/100 --/-- 27/05/2025 FAIL
General
1177 17850028 P-24466268 CPL Air - 74/100 --/-- 27/05/2025 PASS
Regulation
1178 17850029 P-25461012 CPL Aviation - 76/100 --/-- 27/05/2025 PASS
Meteorology
1179 17850030 P-25461039 CPL Aviation - 62/100 --/-- 27/05/2025 FAIL
Meteorology

Wed May 28 2025 18:23:11 page 51 of 107


S.No Roll No Computer Lic. Subject Aircraft Obj Essay ResultDate Status
No Category Marks Marks
1180 17850031 P-24466260 CPL Air - 46/100 --/-- 27/05/2025 FAIL
Regulation
1181 17850032 P-24462133 CPL Aviation - 62/100 --/-- 27/05/2025 FAIL
Meteorology
1182 17850033 P-24466114 CPL Air - 61/100 --/-- 27/05/2025 FAIL
Navigation
1183 17850034 P-24466371 CPL Air - 45/100 --/-- 27/05/2025 FAIL
Navigation
1184 17850035 P-25461716 CPL Aviation - 76/100 --/-- 27/05/2025 PASS
Meteorology
1185 17850036 P-24465741 CPL Aviation - 78/100 --/-- 27/05/2025 PASS
Meteorology
1186 17850037 P-24466807 CPL Air - 55/100 --/-- 27/05/2025 FAIL
Navigation
1187 17850038 P-19460163 CPL Technical TECNAM 96/100 --/-- 27/05/2025 PASS
Specific P2006T
1188 17850039 P-24466916 CPL Air - 66/100 --/-- 27/05/2025 FAIL
Regulation
1189 17850040 P-24466141 CPL Air - 53/100 --/-- 27/05/2025 FAIL
Navigation
1190 17850041 P-24460788 CPL Air - 77/100 --/-- 27/05/2025 PASS
Navigation
1191 17850042 P-23462579 CPL Air - 56/100 --/-- 27/05/2025 FAIL
Navigation
1192 17850043 P-22463306 CPL Air - 68/100 --/-- 27/05/2025 FAIL
Navigation
1193 17850044 P-25461738 CPL Air - 64/100 --/-- 27/05/2025 FAIL
Regulation
1194 17850045 P-25460470 CPL Air - 52/100 --/-- 27/05/2025 FAIL
Regulation
1195 17850046 P-19460678 CPL Aviation - 86/100 --/-- 27/05/2025 PASS
Meteorology
1196 17850047 P-25461837 CPL Air - 43/100 --/-- 27/05/2025 FAIL
Navigation
1197 17850047 P-25461837 CPL Air - 44/100 --/-- 27/05/2025 FAIL
Regulation
1198 17850048 P-22461741 CPLCG Technical TECNAM 98/100 --/-- 27/05/2025 PASS
(Conversion) Specific P2006T
1199 17850049 P-24460158 CPL Air - 57/100 --/-- 27/05/2025 FAIL
Navigation
1200 17850050 P-19462894 CPL Air - --/100 --/-- 27/05/2025 Absent
Navigation
1201 17850051 P-25460983 CPL Aviation - 52/100 --/-- 27/05/2025 FAIL
Meteorology
1202 17850052 P-25460398 CPL Air - 72/100 --/-- 27/05/2025 PASS
Regulation
1203 17850053 P-25461649 CPL Air - 58/100 --/-- 27/05/2025 FAIL
Regulation

Wed May 28 2025 18:23:11 page 52 of 107


S.No Roll No Computer Lic. Subject Aircraft Obj Essay ResultDate Status
No Category Marks Marks
1204 17850054 P-23461791 CPL Aviation - --/100 --/-- 27/05/2025 Absent
Meteorology
1205 17850055 P-24466387 CPL Air - 68/100 --/-- 27/05/2025 FAIL
Navigation
1206 17850056 P-24460804 CPL Air - 77/100 --/-- 27/05/2025 PASS
Navigation
1207 17850057 P-24465530 CPL Air - 48/100 --/-- 27/05/2025 FAIL
Navigation
1208 17850058 P-24466596 CPL Air - 50/100 --/-- 27/05/2025 FAIL
Navigation
1209 17850059 P-25461834 CPL Air - 78/100 --/-- 27/05/2025 PASS
Regulation
1210 17850060 P-25462240 CPL Aviation - 36/100 --/-- 27/05/2025 FAIL
Meteorology
1211 17850060 P-25462240 CPL Air - 52/100 --/-- 27/05/2025 FAIL
Regulation
1212 17850061 P-25461839 CPL Air - 84/100 --/-- 27/05/2025 PASS
Regulation
1213 17850062 P-24466377 CPL Air - 61/100 --/-- 27/05/2025 FAIL
Navigation
1214 17850063 P-24466565 CPL Aviation - 30/100 --/-- 27/05/2025 FAIL
Meteorology
1215 17850064 P-23463400 CPL Technical Cessna 58/100 --/-- 27/05/2025 FAIL
Specific 172 R
1216 17850065 P-25461690 CPL Air - 68/100 --/-- 27/05/2025 FAIL
Regulation
1217 17850066 P-24461914 CPL Technical Cessna 92/100 --/-- 27/05/2025 PASS
Specific 172 R
1218 17850067 P-25462543 CPL Aviation - 86/100 --/-- 27/05/2025 PASS
Meteorology
1219 17850068 P-25460476 CPL Air - 48/100 --/-- 27/05/2025 FAIL
Regulation
1220 17850069 P-22461895 CPL Technical Cessna 78/100 --/-- 27/05/2025 PASS
Specific 172 R
1221 17850070 P-24465975 CPL Air - --/100 --/-- 27/05/2025 Absent
Regulation
1222 17850071 P-23463886 CPL Air - 70/100 --/-- 27/05/2025 PASS
Navigation
1223 17850072 P-24466096 CPL Air - 72/100 --/-- 27/05/2025 PASS
Regulation
1224 17850073 P-24467417 CPL Air - 64/100 --/-- 27/05/2025 FAIL
Regulation
1225 17850074 P-24462718 CPL Air - --/100 --/-- 27/05/2025 Absent
Regulation
1226 17850075 P-24464932 CPL Technical Cessna 56/100 --/-- 27/05/2025 FAIL
Specific 172 R
1227 17850076 P-23460910 CPL Air - --/100 --/-- 27/05/2025 Absent
Navigation

Wed May 28 2025 18:23:11 page 53 of 107


S.No Roll No Computer Lic. Subject Aircraft Obj Essay ResultDate Status
No Category Marks Marks
1228 17850077 P-21462376 CPLCG Air - 76/100 --/-- 27/05/2025 PASS
(Conversion) Regulation
1229 17850078 P-25462658 CPL Aviation - 94/100 --/-- 27/05/2025 PASS
Meteorology
1230 17850079 P-21460567 CPL Air - 84/100 --/-- 27/05/2025 PASS
Regulation
1231 17850080 P-25460129 CPL Air - 66/100 --/-- 27/05/2025 FAIL
Regulation
1232 17850081 P-25461288 CPL Technical - 62/100 --/-- 27/05/2025 FAIL
General
1233 17850082 P-24464626 CPL Air - 66/100 --/-- 27/05/2025 FAIL
Navigation
1234 17850083 P-25462079 CPL Air - 50/100 --/-- 27/05/2025 FAIL
Regulation
1235 17850084 P-24466660 CPL Air - 76/100 --/-- 27/05/2025 PASS
Regulation
1236 17850085 P-25462117 CPL Aviation - 60/100 --/-- 27/05/2025 FAIL
Meteorology
1237 17850086 P-22462752 CPL Air - --/100 --/-- 27/05/2025 Absent
Regulation
1238 17850087 P-25462454 CPL Aviation - 54/100 --/-- 27/05/2025 FAIL
Meteorology
1239 17850088 P-24466590 CPL Air - 72/100 --/-- 27/05/2025 PASS
Regulation
1240 17850089 P-25460091 CPL Air - 74/100 --/-- 27/05/2025 PASS
Regulation
1241 17850090 P-23461460 CPL Air - --/100 --/-- 27/05/2025 Absent
Regulation
1242 17850091 P-25460188 CPL Air - 60/100 --/-- 27/05/2025 FAIL
Navigation
1243 17850092 P-19461669 CPL Aviation - 68/100 --/-- 27/05/2025 FAIL
Meteorology
1244 17850092 P-19461669 CPL Technical Diamond 70/100 --/-- 27/05/2025 PASS
Specific DA 42
Austro
1245 17850093 P-25462352 CPL Aviation - 74/100 --/-- 27/05/2025 PASS
Meteorology
1246 17850094 P-24465786 CPL Air - 64/100 --/-- 27/05/2025 FAIL
Regulation
1247 17850095 P-25460017 CPL Aviation - --/100 --/-- 27/05/2025 Absent
Meteorology
1248 17850096 P-24465776 CPL Aviation - 74/100 --/-- 27/05/2025 PASS
Meteorology
1249 17850097 P-25461051 CPL Air - 64/100 --/-- 27/05/2025 FAIL
Regulation
1250 17850098 P-24464148 CPL Air - 58/100 --/-- 27/05/2025 FAIL
Regulation

Wed May 28 2025 18:23:11 page 54 of 107


S.No Roll No Computer Lic. Subject Aircraft Obj Essay ResultDate Status
No Category Marks Marks
1251 17850099 P-25461291 CPL Aviation - 70/100 --/-- 27/05/2025 PASS
Meteorology
1252 17850100 P-24465362 CPL Air - 62/100 --/-- 27/05/2025 FAIL
Regulation
1253 17850101 P-24466907 CPL Air - 92/100 --/-- 27/05/2025 PASS
Regulation
1254 17850102 P-25461885 CPL Aviation - 64/100 --/-- 27/05/2025 FAIL
Meteorology
1255 17850103 P-24464101 CPL Air - 75/100 --/-- 27/05/2025 PASS
Navigation
1256 17850104 P-23460417 CPLCG Air - 41/100 --/-- 27/05/2025 FAIL
(Conversion) Navigation
Comp
1257 17850105 P-25462677 CPL Aviation - 68/100 --/-- 27/05/2025 FAIL
Meteorology
1258 17850106 P-24463040 CPL Aviation - --/100 --/-- 27/05/2025 Absent
Meteorology
1259 17850107 P-25460583 CPL Aviation - 82/100 --/-- 27/05/2025 PASS
Meteorology
1260 17850108 P-24467052 CPL Aviation - 84/100 --/-- 27/05/2025 PASS
Meteorology
1261 17850108 P-24467052 CPL Air - 76/100 --/-- 27/05/2025 PASS
Regulation
1262 17850109 P-25462186 CPL Aviation - 88/100 --/-- 27/05/2025 PASS
Meteorology
1263 17850110 P-25460578 CPL Technical - 74/100 --/-- 27/05/2025 PASS
General
1264 17850111 P-24466193 CPL Air - 50/100 --/-- 27/05/2025 FAIL
Regulation
1265 17850112 P-22462743 CPL Air - 51/100 --/-- 27/05/2025 FAIL
Navigation
1266 17850113 P-17452593 CPLCG Air - --/100 --/-- 27/05/2025 Absent
(Conversion) Navigation
Comp
1267 17850113 P-17452593 CPLCG Air - --/100 --/-- 27/05/2025 Absent
(Conversion) Regulation
1268 17850114 P-24466871 CPL Air - 88/100 --/-- 27/05/2025 PASS
Regulation
1269 17850115 P-24463949 CPL Aviation - 52/100 --/-- 27/05/2025 FAIL
Meteorology
1270 17850115 P-24463949 CPL Air - 54/100 --/-- 27/05/2025 FAIL
Regulation
1271 17850116 P-24466245 CPL Air - 62/100 --/-- 27/05/2025 FAIL
Regulation
1272 17850117 P-24466076 CPL Aviation - 70/100 --/-- 27/05/2025 PASS
Meteorology
1273 17850118 P-25460113 CPL Technical - 70/100 --/-- 27/05/2025 PASS
General

Wed May 28 2025 18:23:11 page 55 of 107


S.No Roll No Computer Lic. Subject Aircraft Obj Essay ResultDate Status
No Category Marks Marks
1274 17850119 P-24465959 CPL Air - 47/100 --/-- 27/05/2025 FAIL
Navigation
1275 17850120 P-25460412 CPL Aviation - 70/100 --/-- 27/05/2025 PASS
Meteorology
1276 17850121 P-23462639 CPL Air - 30/100 --/-- 27/05/2025 FAIL
Regulation
1277 17850122 P-22463268 CPL Technical Diamond 86/100 --/-- 27/05/2025 PASS
Specific DA 40
Thielert
1278 17850123 P-24465164 CPL Air - 51/100 --/-- 27/05/2025 FAIL
Navigation
1279 17850124 P-24462383 CPL Air - 80/100 --/-- 27/05/2025 PASS
Regulation
1280 17850125 P-25462498 CPL Air - 74/100 --/-- 27/05/2025 PASS
Regulation
1281 17850126 P-25461691 CPL Air - 78/100 --/-- 27/05/2025 PASS
Regulation
1282 17850127 P-24465807 CPL Air - 44/100 --/-- 27/05/2025 FAIL
Navigation
1283 17850128 P-25460601 CPL Aviation - 54/100 --/-- 27/05/2025 FAIL
Meteorology
1284 17850129 P-24460435 CPL Air - 54/100 --/-- 27/05/2025 FAIL
Regulation
1285 17850130 P-24467330 CPL Air - 68/100 --/-- 27/05/2025 FAIL
Regulation
1286 17850131 P-24462054 CPL Technical - 70/100 --/-- 27/05/2025 PASS
General
1287 17850132 P-23464686 CPL Air - 72/100 --/-- 27/05/2025 PASS
Regulation
1288 17850133 P-25461511 CPL Aviation - 74/100 --/-- 27/05/2025 PASS
Meteorology
1289 17850134 P-19461175 CPL Air - --/100 --/-- 27/05/2025 Absent
Navigation
1290 17850134 P-19461175 CPL Air - 64/100 --/-- 27/05/2025 FAIL
Regulation
1291 17850135 P-25460553 CPL Air - 38/100 --/-- 27/05/2025 FAIL
Regulation
1292 17850136 P-23461692 CPL Air - 65/100 --/-- 27/05/2025 FAIL
Navigation
1293 17850137 P-25460758 CPL Air - 50/100 --/-- 27/05/2025 FAIL
Navigation
1294 17850138 P-25461462 CPL Aviation - --/100 --/-- 27/05/2025 Absent
Meteorology
1295 17850139 P-24461773 CPL Air - 64/100 --/-- 27/05/2025 FAIL
Regulation
1296 17850140 P-22462211 CPL Air - --/100 --/-- 27/05/2025 Absent
Navigation

Wed May 28 2025 18:23:11 page 56 of 107


S.No Roll No Computer Lic. Subject Aircraft Obj Essay ResultDate Status
No Category Marks Marks
1297 17850141 P-25462265 CPL Air - 51/100 --/-- 27/05/2025 FAIL
Navigation
1298 17850142 P-25462478 CPL Aviation - 72/100 --/-- 27/05/2025 PASS
Meteorology
1299 17850143 P-24463316 CPL Air - --/100 --/-- 27/05/2025 Absent
Navigation
1300 17850144 P-24460016 CPL Air - --/100 --/-- 27/05/2025 Absent
Navigation
1301 17850145 P-24462855 CPL Air - 67/100 --/-- 27/05/2025 FAIL
Navigation
1302 17850146 P-24465122 CPL Aviation - 50/100 --/-- 27/05/2025 FAIL
Meteorology
1303 17850147 P-23461417 CPL Air - --/100 --/-- 27/05/2025 Absent
Regulation
1304 17850148 P-25461700 CPL Aviation - 66/100 --/-- 27/05/2025 FAIL
Meteorology
1305 17850149 P-25461189 CPL Aviation - 60/100 --/-- 27/05/2025 FAIL
Meteorology
1306 17850150 P-25460554 CPL Air - --/100 --/-- 27/05/2025 Absent
Navigation
1307 17850151 P-20460201 CPL Aviation - 84/100 --/-- 27/05/2025 PASS
Meteorology
1308 17850151 P-20460201 CPL Air - 74/100 --/-- 27/05/2025 PASS
Regulation
1309 17850152 P-22460977 CPL Air - 56/100 --/-- 27/05/2025 FAIL
Navigation
1310 17850153 P-24461498 CPL Air - 46/100 --/-- 27/05/2025 FAIL
Regulation
1311 17850154 P-22460767 CPL Air - 54/100 --/-- 27/05/2025 FAIL
Regulation
1312 17850155 P-24465190 CPL Aviation - 70/100 --/-- 27/05/2025 PASS
Meteorology
1313 17850156 P-24466318 CPL Air - 60/100 --/-- 27/05/2025 FAIL
Regulation
1314 17850157 P-23463592 CPL Technical - 80/100 --/-- 27/05/2025 PASS
General
1315 17850158 P-23464195 CPL Air - 74/100 --/-- 27/05/2025 PASS
Regulation
1316 17850159 P-24466549 CPL Aviation - 64/100 --/-- 27/05/2025 FAIL
Meteorology
1317 17850160 P-25462388 CPL Aviation - 86/100 --/-- 27/05/2025 PASS
Meteorology
1318 17850161 P-25462023 CPL Aviation - 74/100 --/-- 27/05/2025 PASS
Meteorology
1319 17850162 P-24464998 CPL Air - 90/100 --/-- 27/05/2025 PASS
Regulation
1320 17850163 P-24461571 CPL Air - 68/100 --/-- 27/05/2025 FAIL
Regulation

Wed May 28 2025 18:23:11 page 57 of 107


S.No Roll No Computer Lic. Subject Aircraft Obj Essay ResultDate Status
No Category Marks Marks
1321 17850164 P-23461976 CPL Technical Tecnam P 78/100 --/-- 27/05/2025 PASS
Specific Mentor
1322 17850165 P-23460440 CPL Air - 85/100 --/-- 27/05/2025 PASS
Navigation
1323 17850166 P-25460149 CPL Air - 80/100 --/-- 27/05/2025 PASS
Regulation
1324 17850167 P-24465642 CPL Air - 84/100 --/-- 27/05/2025 PASS
Regulation
1325 17850168 P-24465386 CPL Air - 62/100 --/-- 27/05/2025 FAIL
Regulation
1326 17850169 P-25462598 CPL Aviation - 56/100 --/-- 27/05/2025 FAIL
Meteorology
1327 17850170 P-23463554 CPL Air - 64/100 --/-- 27/05/2025 FAIL
Regulation
1328 17850170 P-23463554 CPL Technical TECNAM 90/100 --/-- 27/05/2025 PASS
Specific P2006T
1329 17850171 P-24461112 CPL Air - 65/100 --/-- 27/05/2025 FAIL
Navigation
1330 17850172 P-24466470 CPL Air - 41/100 --/-- 27/05/2025 FAIL
Navigation
1331 17850173 P-25460358 CPL Aviation - 58/100 --/-- 27/05/2025 FAIL
Meteorology
1332 17850174 P-25461053 CPL Aviation - 76/100 --/-- 27/05/2025 PASS
Meteorology
1333 17850175 P-24466502 CPL Aviation - 66/100 --/-- 27/05/2025 FAIL
Meteorology
1334 17850176 P-24463920 CPL Air - 58/100 --/-- 27/05/2025 FAIL
Regulation
1335 17850177 P-25460057 CPL Aviation - 72/100 --/-- 27/05/2025 PASS
Meteorology
1336 17850178 P-24463385 CPL Air - 66/100 --/-- 27/05/2025 FAIL
Regulation
1337 17850179 P-25460493 CPL Air - 56/100 --/-- 27/05/2025 FAIL
Regulation
1338 17850180 P-21461427 CPL Technical - --/100 --/-- 27/05/2025 Absent
General
1339 17850181 P-24463499 CPL Air - 55/100 --/-- 27/05/2025 FAIL
Navigation
1340 17850182 P-25462671 CPL Aviation - 70/100 --/-- 27/05/2025 PASS
Meteorology
1341 17850183 P-22462252 CPL Air - 55/100 --/-- 27/05/2025 FAIL
Navigation
1342 17850184 P-25461424 CPL Air - 68/100 --/-- 27/05/2025 FAIL
Regulation
1343 17850185 P-25460307 CPL Air - 64/100 --/-- 27/05/2025 FAIL
Regulation
1344 17850186 P-24465254 CPL Aviation - 64/100 --/-- 27/05/2025 FAIL
Meteorology

Wed May 28 2025 18:23:11 page 58 of 107


S.No Roll No Computer Lic. Subject Aircraft Obj Essay ResultDate Status
No Category Marks Marks
1345 17850187 P-23460970 CPL Air - 68/100 --/-- 27/05/2025 FAIL
Regulation
1346 17850188 P-25461916 CPL Aviation - 66/100 --/-- 27/05/2025 FAIL
Meteorology
1347 17850189 P-25462627 CPL Air - 52/100 --/-- 27/05/2025 FAIL
Regulation
1348 17850190 P-25461296 CPL Aviation - 58/100 --/-- 27/05/2025 FAIL
Meteorology
1349 17850191 P-24465727 CPL Aviation - 64/100 --/-- 27/05/2025 FAIL
Meteorology
1350 17850192 P-13448945 CPL Technical Cessna 68/100 --/-- 27/05/2025 FAIL
Specific 172 R
1351 17850193 P-25462476 CPL Aviation - 82/100 --/-- 27/05/2025 PASS
Meteorology
1352 17850194 P-24466365 CPL Air - 74/100 --/-- 27/05/2025 PASS
Regulation
1353 17850195 P-24463423 CPL Aviation - 72/100 --/-- 27/05/2025 PASS
Meteorology
1354 17850196 P-24465474 CPL Aviation - --/100 --/-- 27/05/2025 Absent
Meteorology
1355 17850197 P-24467459 CPL Air - 70/100 --/-- 27/05/2025 PASS
Regulation
1356 17850198 P-24466258 CPL Air - 72/100 --/-- 27/05/2025 PASS
Regulation
1357 17850199 P-24462395 CPL Air - 46/100 --/-- 27/05/2025 FAIL
Navigation
1358 17850200 P-24467390 CPL Aviation - 54/100 --/-- 27/05/2025 FAIL
Meteorology
1359 17850201 P-25462493 CPL Aviation - 70/100 --/-- 27/05/2025 PASS
Meteorology
1360 17850202 P-24466459 CPL Aviation - 74/100 --/-- 27/05/2025 PASS
Meteorology
1361 17850203 P-24461647 CPL Air - 63/100 --/-- 27/05/2025 FAIL
Navigation
1362 17850204 P-24464944 CPL Aviation - 66/100 --/-- 27/05/2025 FAIL
Meteorology
1363 17850205 P-24466942 CPL Air - 52/100 --/-- 27/05/2025 FAIL
Regulation
1364 17850206 P-25460649 CPL Air - 56/100 --/-- 27/05/2025 FAIL
Navigation
1365 17850207 P-25460369 CPL Air - 62/100 --/-- 27/05/2025 FAIL
Navigation
1366 17850208 P-22462527 CPL Air - --/100 --/-- 27/05/2025 Absent
Regulation
1367 17850209 P-25462241 CPL Aviation - 86/100 --/-- 27/05/2025 PASS
Meteorology
1368 19850001 P-25462266 CPL Aviation - 58/100 --/-- 27/05/2025 FAIL
Meteorology

Wed May 28 2025 18:23:11 page 59 of 107


S.No Roll No Computer Lic. Subject Aircraft Obj Essay ResultDate Status
No Category Marks Marks
1369 19850002 P-23460727 CPL Technical Piper 88/100 --/-- 27/05/2025 PASS
Specific PA-28-181
Archer III
TAE-125
Engine
1370 19850003 P-23463431 CPL Air - 60/100 --/-- 27/05/2025 FAIL
Navigation
1371 19850004 P-25462184 CPL Aviation - 84/100 --/-- 27/05/2025 PASS
Meteorology
1372 19850005 P-25460046 CPL Air - --/100 --/-- 27/05/2025 Absent
Regulation
1373 19850006 P-24466316 CPL Air - 75/100 --/-- 27/05/2025 PASS
Navigation
1374 19850007 P-24464209 CPL Air - 80/100 --/-- 27/05/2025 PASS
Regulation
1375 19850008 P-24461377 CPL Air - 70/100 --/-- 27/05/2025 PASS
Regulation
1376 19850009 P-22463151 CPL Technical Tecnam P --/100 --/-- 27/05/2025 Absent
Specific Mentor
1377 19850010 P-24465796 CPL Air - 72/100 --/-- 27/05/2025 PASS
Regulation
1378 19850011 P-24466118 CPL Air - 72/100 --/-- 27/05/2025 PASS
Navigation
1379 19850012 P-23464562 CPL Air - 64/100 --/-- 27/05/2025 FAIL
Regulation
1380 19850013 P-25462484 CPL Air - 76/100 --/-- 27/05/2025 PASS
Regulation
1381 19850014 P-24466368 CPL Air - 52/100 --/-- 27/05/2025 FAIL
Navigation
1382 19850015 P-23464439 CPL Air - 52/100 --/-- 27/05/2025 FAIL
Regulation
1383 19850016 P-23464748 CPL Air - 92/100 --/-- 27/05/2025 PASS
Navigation
1384 19850017 P-23462770 CPL Technical - 73/100 --/-- 27/05/2025 PASS
General
1385 19850018 P-24463624 CPL Aviation - 48/100 --/-- 27/05/2025 FAIL
Meteorology
1386 19850019 P-22462881 CPL Technical Diamond 92/100 --/-- 27/05/2025 PASS
Specific DA-42
Thielert
1387 19850020 P-15450344 CPL Technical Piper 80/100 --/-- 27/05/2025 PASS
Specific PA-28-181
Archer III
TAE-125
Engine
1388 19850021 P-25461270 CPL Air - 56/100 --/-- 27/05/2025 FAIL
Regulation
1389 19850022 P-25462126 CPL Air - 78/100 --/-- 27/05/2025 PASS
Regulation

Wed May 28 2025 18:23:11 page 60 of 107


S.No Roll No Computer Lic. Subject Aircraft Obj Essay ResultDate Status
No Category Marks Marks
1390 19850023 P-24463405 CPL Air - 56/100 --/-- 27/05/2025 FAIL
Regulation
1391 19850024 P-23461535 CPL Air - 44/100 --/-- 27/05/2025 FAIL
Regulation
1392 19850025 P-24463980 CPL Technical - 70/100 --/-- 27/05/2025 PASS
General
1393 19850026 P-25462463 CPL Aviation - 58/100 --/-- 27/05/2025 FAIL
Meteorology
1394 19850027 P-21460477 CPL Air - --/100 --/-- 27/05/2025 Absent
Navigation
1395 19850027 P-21460477 CPL Technical Diamond 88/100 --/-- 27/05/2025 PASS
Specific DA-42
Thielert
1396 19850028 P-19461963 CPL Air - 82/100 --/-- 27/05/2025 PASS
Regulation
1397 19850029 P-25460083 CPL Air - 73/100 --/-- 27/05/2025 PASS
Navigation
1398 19850030 P-24464147 CPL Air - 58/100 --/-- 27/05/2025 FAIL
Regulation
1399 19850031 P-22463167 CPL Air - 68/100 --/-- 27/05/2025 FAIL
Regulation
1400 19850031 P-22463167 CPL Technical - 57/100 --/-- 27/05/2025 FAIL
General
1401 19850032 P-24461903 CPL Air - 70/100 --/-- 27/05/2025 PASS
Navigation
1402 19850033 P-24467332 CPL Air - 80/100 --/-- 27/05/2025 PASS
Regulation
1403 19850034 P-19462587 CPL Air - 66/100 --/-- 27/05/2025 FAIL
Regulation
1404 19850035 P-23463356 CPL Technical Cessna 78/100 --/-- 27/05/2025 PASS
Specific 172 R
1405 19850036 P-24465913 CPL Aviation - 48/100 --/-- 27/05/2025 FAIL
Meteorology
1406 19850037 P-25461059 CPL Technical - 70/100 --/-- 27/05/2025 PASS
General
1407 19850038 P-23463752 CPL Air - 68/100 --/-- 27/05/2025 FAIL
Regulation
1408 19850039 P-24464925 CPL Air - 62/100 --/-- 27/05/2025 FAIL
Regulation
1409 19850040 P-25462185 CPL Air - 76/100 --/-- 27/05/2025 PASS
Regulation
1410 19850041 P-24465144 CPL Aviation - 84/100 --/-- 27/05/2025 PASS
Meteorology
1411 19850041 P-24465144 CPL Technical Diamond 90/100 --/-- 27/05/2025 PASS
Specific DA-42
Thielert
1412 19850042 P-25462548 CPL Aviation - 64/100 --/-- 27/05/2025 FAIL
Meteorology

Wed May 28 2025 18:23:11 page 61 of 107


S.No Roll No Computer Lic. Subject Aircraft Obj Essay ResultDate Status
No Category Marks Marks
1413 19850043 P-24466306 CPL Air - 86/100 --/-- 27/05/2025 PASS
Regulation
1414 19850044 P-24467019 CPL Air - 60/100 --/-- 27/05/2025 FAIL
Navigation
1415 19850045 P-24463948 CPL Aviation - 70/100 --/-- 27/05/2025 PASS
Meteorology
1416 19850045 P-24463948 CPL Air - 70/100 --/-- 27/05/2025 PASS
Regulation
1417 19850046 P-25461586 CPL Air - --/100 --/-- 27/05/2025 Absent
Navigation
1418 19850046 P-25461586 CPL Aviation - 74/100 --/-- 27/05/2025 PASS
Meteorology
1419 19850047 P-24463421 CPL Air - 60/100 --/-- 27/05/2025 FAIL
Navigation
1420 19850048 P-22461069 CPL Technical - 66/100 --/-- 27/05/2025 FAIL
General
1421 19850049 P-24464689 CPL Air - 70/100 --/-- 27/05/2025 PASS
Regulation
1422 19850050 P-22461004 CPL Air - 47/100 --/-- 27/05/2025 FAIL
Navigation
1423 19850051 P-22460342 CPLCG Technical Cessna 92/100 --/-- 27/05/2025 PASS
(Conversion) Specific 152 A
1424 19850052 P-25461732 CPL Air - 50/100 --/-- 27/05/2025 FAIL
Regulation
1425 19850053 P-24462209 CPL Air - 82/100 --/-- 27/05/2025 PASS
Regulation
1426 19850054 P-25460497 CPL Air - 74/100 --/-- 27/05/2025 PASS
Regulation
1427 19850055 P-25461865 CPL Air - 49/100 --/-- 27/05/2025 FAIL
Navigation
1428 19850056 P-24463111 CPL Aviation - 66/100 --/-- 27/05/2025 FAIL
Meteorology
1429 19850057 P-23461996 CPL Air - 48/100 --/-- 27/05/2025 FAIL
Navigation
1430 19850058 P-24464805 CPL Aviation - 52/100 --/-- 27/05/2025 FAIL
Meteorology
1431 19850058 P-24464805 CPL Technical Cessna 86/100 --/-- 27/05/2025 PASS
Specific 152 A
1432 19850059 P-24462911 CPL Technical - 68/100 --/-- 27/05/2025 FAIL
General
1433 19850060 P-25462121 CPL Air - 73/100 --/-- 27/05/2025 PASS
Navigation
1434 19850061 P-25462208 CPL Aviation - 92/100 --/-- 27/05/2025 PASS
Meteorology
1435 19850061 P-25462208 CPL Air - 86/100 --/-- 27/05/2025 PASS
Regulation
1436 19850062 P-24465965 CPL Technical - 80/100 --/-- 27/05/2025 PASS
General

Wed May 28 2025 18:23:11 page 62 of 107


S.No Roll No Computer Lic. Subject Aircraft Obj Essay ResultDate Status
No Category Marks Marks
1437 19850063 P-24467446 CPL Air - 70/100 --/-- 27/05/2025 PASS
Regulation
1438 19850064 P-24465798 CPL Air - 88/100 --/-- 27/05/2025 PASS
Regulation
1439 19850065 P-24464826 CPL Air - 56/100 --/-- 27/05/2025 FAIL
Regulation
1440 19850066 P-24464931 CPL Air - 68/100 --/-- 27/05/2025 FAIL
Navigation
1441 19850067 P-24464704 CPL Air - --/100 --/-- 27/05/2025 Absent
Navigation
1442 19850068 P-25461715 CPL Air - 80/100 --/-- 27/05/2025 PASS
Regulation
1443 19850069 P-24463500 CPL Technical Diamond 98/100 --/-- 27/05/2025 PASS
Specific DA-42
Thielert
1444 19850070 P-24460204 CPL Technical - 67/100 --/-- 27/05/2025 FAIL
General
1445 19850071 P-25461749 CPL Aviation - 76/100 --/-- 27/05/2025 PASS
Meteorology
1446 19850072 P-23463218 CPL Technical - 82/100 --/-- 27/05/2025 PASS
General
1447 19850073 P-25461547 CPL Air - 76/100 --/-- 27/05/2025 PASS
Regulation
1448 19850074 P-23462939 CPL Air - 61/100 --/-- 27/05/2025 FAIL
Navigation
1449 19850075 P-25460732 CPL Air - 50/100 --/-- 27/05/2025 FAIL
Regulation
1450 19850076 P-24464729 CPL Air - 62/100 --/-- 27/05/2025 FAIL
Regulation
1451 19850077 P-25460279 CPL Aviation - 78/100 --/-- 27/05/2025 PASS
Meteorology
1452 19850078 P-24462783 CPL Air - 49/100 --/-- 27/05/2025 FAIL
Navigation
1453 19850079 P-24464768 CPL Air - 78/100 --/-- 27/05/2025 PASS
Navigation
1454 19850080 P-23462681 CPL Technical - 76/100 --/-- 27/05/2025 PASS
General
1455 19850080 P-23462681 CPL Technical Diamond 86/100 --/-- 27/05/2025 PASS
Specific DA-42
Thielert
1456 19850081 P-24467172 CPL Air - --/100 --/-- 27/05/2025 Absent
Navigation
1457 19850082 P-22460613 CPL Technical Tecnam 96/100 --/-- 27/05/2025 PASS
Specific P2008 JC
1458 19850083 P-24466741 CPL Air - 80/100 --/-- 27/05/2025 PASS
Regulation
1459 19850084 P-23461506 CPL Air - 73/100 --/-- 27/05/2025 PASS
Navigation

Wed May 28 2025 18:23:11 page 63 of 107


S.No Roll No Computer Lic. Subject Aircraft Obj Essay ResultDate Status
No Category Marks Marks
1460 19850085 P-24467325 CPL Aviation - 66/100 --/-- 27/05/2025 FAIL
Meteorology
1461 19850086 P-21460702 CPL Air - 66/100 --/-- 27/05/2025 FAIL
Regulation
1462 19850087 P-25461714 CPL Technical Diamond 54/100 --/-- 27/05/2025 FAIL
Specific DA 42
Austro
1463 19850088 P-24464865 CPL Air - 62/100 --/-- 27/05/2025 FAIL
Regulation
1464 19850089 P-19461350 CPL Technical Piper 90/100 --/-- 27/05/2025 PASS
Specific PA-28-181
Archer III
TAE-125
Engine
1465 19850090 P-24466487 CPL Technical - --/100 --/-- 27/05/2025 Absent
General
1466 19850091 P-21460453 CPL Technical - 87/100 --/-- 27/05/2025 PASS
General
1467 19850091 P-21460453 CPL Technical Diamond 92/100 --/-- 27/05/2025 PASS
Specific DA-42
Thielert
1468 19850092 P-17452561 CPL Technical Piper 76/100 --/-- 27/05/2025 PASS
Specific PA-28-181
Archer III
TAE-125
Engine
1469 19850093 P-20460486 CPL Air - 84/100 --/-- 27/05/2025 PASS
Regulation
1470 19850094 P-23461537 CPL Air - --/100 --/-- 27/05/2025 Absent
Regulation
1471 19850095 P-25462105 CPL Aviation - 90/100 --/-- 27/05/2025 PASS
Meteorology
1472 19850095 P-25462105 CPL Air - 84/100 --/-- 27/05/2025 PASS
Regulation
1473 19850096 P-25462626 CPL Aviation - 56/100 --/-- 27/05/2025 FAIL
Meteorology
1474 19850097 P-25460971 CPL Aviation - 64/100 --/-- 27/05/2025 FAIL
Meteorology
1475 19850098 P-24464499 CPL Technical P-68 C 86/100 --/-- 27/05/2025 PASS
Specific
1476 19850099 P-24464535 CPL Air - 84/100 --/-- 27/05/2025 PASS
Navigation
1477 19850100 P-16451336 CPL Technical P-68 C 74/100 --/-- 27/05/2025 PASS
Specific
1478 19850101 P-25461417 CPL Air - 84/100 --/-- 27/05/2025 PASS
Regulation
1479 19850102 P-24464216 CPL Technical Diamond 88/100 --/-- 27/05/2025 PASS
Specific DA-42
Thielert

Wed May 28 2025 18:23:11 page 64 of 107


S.No Roll No Computer Lic. Subject Aircraft Obj Essay ResultDate Status
No Category Marks Marks
1480 19850103 P-25460961 CPL Aviation - 74/100 --/-- 27/05/2025 PASS
Meteorology
1481 19850104 P-25460417 CPL Air - 74/100 --/-- 27/05/2025 PASS
Regulation
1482 19850105 P-25460253 CPL Air - 71/100 --/-- 27/05/2025 PASS
Navigation
1483 19850106 P-24461145 CPL Air - 62/100 --/-- 27/05/2025 FAIL
Regulation
1484 19850107 P-25462736 CPL Aviation - 26/100 --/-- 27/05/2025 FAIL
Meteorology
1485 19850108 P-22460026 CPL Technical TECNAM 88/100 --/-- 27/05/2025 PASS
Specific P2006T
1486 19850109 P-24465611 CPL Air - 78/100 --/-- 27/05/2025 PASS
Regulation
1487 19850110 P-23461235 CPL Technical Piper 86/100 --/-- 27/05/2025 PASS
Specific PA-28-181
Archer III
TAE-125
Engine
1488 19850111 P-24466069 CPL Air - 56/100 --/-- 27/05/2025 FAIL
Regulation
1489 19850112 P-17452720 CPL Technical Piper 70/100 --/-- 27/05/2025 PASS
Specific PA-28-181
Archer III
TAE-125
Engine
1490 19850113 P-25462430 CPL Aviation - 78/100 --/-- 27/05/2025 PASS
Meteorology
1491 19850114 P-22460169 CPL Technical Diamond 92/100 --/-- 27/05/2025 PASS
Specific DA-42
Thielert
1492 19850115 P-18460219 CPL Air - --/100 --/-- 27/05/2025 Absent
Navigation
1493 19850116 P-22462635 CPL Technical - --/100 --/-- 27/05/2025 Absent
General
1494 19850116 P-22462635 CPL Technical Cessna --/100 --/-- 27/05/2025 Absent
Specific 172 R
1495 19850117 P-25461109 CPL Air - 40/100 --/-- 27/05/2025 FAIL
Navigation
1496 19850118 P-24467398 CPL Aviation - 72/100 --/-- 27/05/2025 PASS
Meteorology
1497 19850118 P-24467398 CPL Air - 60/100 --/-- 27/05/2025 FAIL
Regulation
1498 19850119 P-21462310 CPL Aviation - --/100 --/-- 27/05/2025 Absent
Meteorology
1499 19850120 P-24462249 CPL Air - --/100 --/-- 27/05/2025 Absent
Regulation
1500 19850120 P-24462249 CPL Technical P-68 C 76/100 --/-- 27/05/2025 PASS
Specific

Wed May 28 2025 18:23:11 page 65 of 107


S.No Roll No Computer Lic. Subject Aircraft Obj Essay ResultDate Status
No Category Marks Marks
1501 19850121 P-24464522 CPL Air - 68/100 --/-- 27/05/2025 FAIL
Regulation
1502 19850122 P-25462164 CPL Aviation - 86/100 --/-- 27/05/2025 PASS
Meteorology
1503 19850123 P-24463148 CPL Technical - 84/100 --/-- 27/05/2025 PASS
General
1504 19850123 P-24463148 CPL Technical Diamond 96/100 --/-- 27/05/2025 PASS
Specific DA-42
Thielert
1505 19850124 P-23462438 CPL Air - 72/100 --/-- 27/05/2025 PASS
Navigation
1506 19850125 P-23463416 CPL Air - 68/100 --/-- 27/05/2025 FAIL
Navigation
1507 19850126 P-25461089 CPL Air - 78/100 --/-- 27/05/2025 PASS
Regulation
1508 19850127 P-19460986 CPLCG Air - --/100 --/-- 27/05/2025 Absent
(Conversion) Regulation
1509 19850128 P-24463021 CPL Technical - 78/100 --/-- 27/05/2025 PASS
General
1510 19850129 P-24464801 CPL Aviation - 86/100 --/-- 27/05/2025 PASS
Meteorology
1511 19850130 P-22461944 CPL Air - 59/100 --/-- 27/05/2025 FAIL
Navigation
1512 19850131 P-25461110 CPL Air - --/100 --/-- 27/05/2025 Absent
Navigation
1513 19850132 P-25462447 CPL Air - 64/100 --/-- 27/05/2025 FAIL
Navigation
1514 19850133 P-25460459 CPL Air - 72/100 --/-- 27/05/2025 PASS
Navigation
1515 19850134 P-24467017 CPL Air - --/100 --/-- 27/05/2025 Absent
Navigation
1516 19850135 P-25460950 CPL Aviation - 82/100 --/-- 27/05/2025 PASS
Meteorology
1517 19850135 P-25460950 CPL Air - 90/100 --/-- 27/05/2025 PASS
Regulation
1518 19850136 P-23462336 CPL Technical TECNAM 98/100 --/-- 27/05/2025 PASS
Specific P2006T
1519 19850137 P-24465977 CPL Aviation - 72/100 --/-- 27/05/2025 PASS
Meteorology
1520 19850138 P-25460654 CPL Air - 68/100 --/-- 27/05/2025 FAIL
Navigation
1521 19850139 P-24460874 CPL Technical - --/100 --/-- 27/05/2025 Absent
General
1522 19850140 P-25460303 CPL Air - 62/100 --/-- 27/05/2025 FAIL
Navigation
1523 19850141 P-25461048 CPL Aviation - 76/100 --/-- 27/05/2025 PASS
Meteorology

Wed May 28 2025 18:23:11 page 66 of 107


S.No Roll No Computer Lic. Subject Aircraft Obj Essay ResultDate Status
No Category Marks Marks
1524 19850141 P-25461048 CPL Technical Diamond --/100 --/-- 27/05/2025 Absent
Specific DA 42
Austro
1525 19850142 P-25460599 CPL Aviation - 82/100 --/-- 27/05/2025 PASS
Meteorology
1526 19850143 P-24466618 CPL Air - 73/100 --/-- 27/05/2025 PASS
Navigation
1527 19850144 P-24460273 CPL Air - 81/100 --/-- 27/05/2025 PASS
Navigation
1528 19850145 P-25461446 CPL Aviation - 60/100 --/-- 27/05/2025 FAIL
Meteorology
1529 19850145 P-25461446 CPL Air - 40/100 --/-- 27/05/2025 FAIL
Regulation
1530 19850146 P-25460099 CPL Air - 62/100 --/-- 27/05/2025 FAIL
Regulation
1531 19850147 P-24467418 CPL Air - 41/100 --/-- 27/05/2025 FAIL
Navigation
1532 19850147 P-24467418 CPL Aviation - 46/100 --/-- 27/05/2025 FAIL
Meteorology
1533 19850148 P-23462372 CPL Air - --/100 --/-- 27/05/2025 Absent
Navigation
1534 19850149 P-15450835 CPL Technical Piper 66/100 --/-- 27/05/2025 FAIL
Specific PA-28-181
Archer III
TAE-125
Engine
1535 19850150 P-25460865 CPL Air - 67/100 --/-- 27/05/2025 FAIL
Navigation
1536 19850151 P-24463744 CPL Technical - 69/100 --/-- 27/05/2025 FAIL
General
1537 19850152 P-19460827 CPL Technical - --/100 --/-- 27/05/2025 Absent
General
1538 19850153 P-24464921 CPL Air - 46/100 --/-- 27/05/2025 FAIL
Regulation
1539 19850154 P-24465757 CPL Air - 75/100 --/-- 27/05/2025 PASS
Navigation
1540 19850155 P-24465262 CPL Aviation - --/100 --/-- 27/05/2025 Absent
Meteorology
1541 19850156 P-24463890 CPL Air - 68/100 --/-- 27/05/2025 FAIL
Navigation
1542 19850157 P-25461767 CPL Air - --/100 --/-- 27/05/2025 Absent
Regulation
1543 19850158 P-24467217 CPL Aviation - 74/100 --/-- 27/05/2025 PASS
Meteorology
1544 19850159 P-21462078 CPL Technical Cessna 58/100 --/-- 27/05/2025 FAIL
Specific 172 R
1545 19850160 P-22460719 CPL Air - 96/100 --/-- 27/05/2025 PASS
Regulation

Wed May 28 2025 18:23:11 page 67 of 107


S.No Roll No Computer Lic. Subject Aircraft Obj Essay ResultDate Status
No Category Marks Marks
1546 19850161 P-24463636 CPL Technical - 76/100 --/-- 27/05/2025 PASS
General
1547 19850161 P-24463636 CPL Technical Diamond 74/100 --/-- 27/05/2025 PASS
Specific DA-42
Thielert
1548 19850162 P-25460123 CPL Air - --/100 --/-- 27/05/2025 Absent
Regulation
1549 19850163 P-25462220 CPL Air - 77/100 --/-- 27/05/2025 PASS
Navigation
1550 19850163 P-25462220 CPL Aviation - 74/100 --/-- 27/05/2025 PASS
Meteorology
1551 19850164 P-22461934 CPL Aviation - --/100 --/-- 27/05/2025 Absent
Meteorology
1552 19850164 P-22461934 CPL Technical Cessna 82/100 --/-- 27/05/2025 PASS
Specific 172 R
1553 19850165 P-24464827 CPL Technical Cessna 64/100 --/-- 27/05/2025 FAIL
Specific 172 R
1554 19850166 P-24465845 CPL Air - 43/100 --/-- 27/05/2025 FAIL
Navigation
1555 19850167 P-23461528 CPL Technical Cessna 82/100 --/-- 27/05/2025 PASS
Specific 172 R
1556 19850168 P-25460676 CPL Aviation - 68/100 --/-- 27/05/2025 FAIL
Meteorology
1557 19850169 P-24464014 CPL Air - 59/100 --/-- 27/05/2025 FAIL
Navigation
1558 19850170 P-24467314 CPL Air - 70/100 --/-- 27/05/2025 PASS
Regulation
1559 19850171 P-25460108 CPL Aviation - 82/100 --/-- 27/05/2025 PASS
Meteorology
1560 19850172 P-24466012 CPL Air - 82/100 --/-- 27/05/2025 PASS
Navigation
1561 19850173 P-23464577 CPL Air - 50/100 --/-- 27/05/2025 FAIL
Regulation
1562 19850174 P-22461814 CPL Technical Piper 84/100 --/-- 27/05/2025 PASS
Specific PA-28-181
Archer III
TAE-125
Engine
1563 19850175 P-24466541 CPL Technical Diamond 80/100 --/-- 27/05/2025 PASS
Specific DA-42
Thielert
1564 19850176 P-24464948 CPL Air - 82/100 --/-- 27/05/2025 PASS
Regulation
1565 19850177 P-21462052 CPL Technical Piper 74/100 --/-- 27/05/2025 PASS
Specific PA-28-181
Archer III
TAE-125
Engine
1566 19850178 P-25462457 CPL Air - 78/100 --/-- 27/05/2025 PASS
Regulation
Wed May 28 2025 18:23:11 page 68 of 107
S.No Roll No Computer Lic. Subject Aircraft Obj Essay ResultDate Status
No Category Marks Marks
1567 19850179 P-25462357 CPL Air - 66/100 --/-- 27/05/2025 FAIL
Navigation
1568 19850180 P-24461719 CPL Air - 56/100 --/-- 27/05/2025 FAIL
Regulation
1569 19850181 P-22462267 CPL Air - 50/100 --/-- 27/05/2025 FAIL
Regulation
1570 19850182 P-24461470 CPL Air - 57/100 --/-- 27/05/2025 FAIL
Navigation
1571 19850183 P-24463152 CPL Technical Diamond 98/100 --/-- 27/05/2025 PASS
Specific DA-42
Thielert
1572 19850184 P-25461057 CPL Aviation - 94/100 --/-- 27/05/2025 PASS
Meteorology
1573 19850185 P-24462927 CPL Air - 60/100 --/-- 27/05/2025 FAIL
Regulation
1574 19850186 P-24461477 CPL Air - --/100 --/-- 27/05/2025 Absent
Navigation
1575 19850187 P-25460186 CPL Air - 81/100 --/-- 27/05/2025 PASS
Navigation
1576 19850188 P-25460607 CPL Aviation - 54/100 --/-- 27/05/2025 FAIL
Meteorology
1577 19850189 P-24466405 CPL Aviation - 64/100 --/-- 27/05/2025 FAIL
Meteorology
1578 19850190 P-25462031 CPL Air - 52/100 --/-- 27/05/2025 FAIL
Regulation
1579 19850191 P-24463517 CPLCG Air - 82/100 --/-- 27/05/2025 PASS
(Defence) Navigation
Comp
1580 19850192 P-22462872 CPL Technical - 60/100 --/-- 27/05/2025 FAIL
General
1581 19850193 P-25462308 CPL Aviation - 60/100 --/-- 27/05/2025 FAIL
Meteorology
1582 19850194 P-25462199 CPL Aviation - 84/100 --/-- 27/05/2025 PASS
Meteorology
1583 19850194 P-25462199 CPL Air - 72/100 --/-- 27/05/2025 PASS
Regulation
1584 19850195 P-25461596 CPL Air - --/100 --/-- 27/05/2025 Absent
Navigation
1585 19850196 P-24464840 CPL Air - 58/100 --/-- 27/05/2025 FAIL
Regulation
1586 19850197 P-24465185 CPL Air - 66/100 --/-- 27/05/2025 FAIL
Navigation
1587 19850198 P-24464173 CPL Aviation - 84/100 --/-- 27/05/2025 PASS
Meteorology
1588 19850199 P-23462807 CPL Technical Diamond 88/100 --/-- 27/05/2025 PASS
Specific DA-42
Thielert
1589 19850200 P-25460667 CPL Air - 63/100 --/-- 27/05/2025 FAIL
Navigation
Wed May 28 2025 18:23:11 page 69 of 107
S.No Roll No Computer Lic. Subject Aircraft Obj Essay ResultDate Status
No Category Marks Marks
1590 19850201 P-23460968 CPL Technical TECNAM 84/100 --/-- 27/05/2025 PASS
Specific P2006T
1591 19850202 P-25460477 CPL Air - 80/100 --/-- 27/05/2025 PASS
Regulation
1592 19850203 P-17453935 CPL Air - 58/100 --/-- 27/05/2025 FAIL
Navigation
1593 19850203 P-17453935 CPL Technical Cessna 70/100 --/-- 27/05/2025 PASS
Specific 172 R
1594 19850204 P-23461965 CPL Technical - 79/100 --/-- 27/05/2025 PASS
General
1595 19850205 P-25462046 CPL Aviation - 78/100 --/-- 27/05/2025 PASS
Meteorology
1596 19850206 P-22463163 CPL Technical Cessna 68/100 --/-- 27/05/2025 FAIL
Specific 172 R
1597 19850207 P-24462909 CPL Air - 55/100 --/-- 27/05/2025 FAIL
Navigation
1598 19850208 P-25462661 CPL Aviation - 76/100 --/-- 27/05/2025 PASS
Meteorology
1599 19850209 P-25462564 CPL Aviation - 84/100 --/-- 27/05/2025 PASS
Meteorology
1600 19850209 P-25462564 CPL Air - 82/100 --/-- 27/05/2025 PASS
Regulation
1601 19850210 P-25462530 CPL Air - 52/100 --/-- 27/05/2025 FAIL
Navigation
1602 19850211 P-25461375 CPL Air - 70/100 --/-- 27/05/2025 PASS
Navigation
1603 19850212 P-25461095 CPL Air - 73/100 --/-- 27/05/2025 PASS
Navigation
1604 19850213 P-24466468 CPL Air - 60/100 --/-- 27/05/2025 FAIL
Regulation
1605 19850213 P-24466468 CPL Technical - 71/100 --/-- 27/05/2025 PASS
General
1606 19850214 P-23464371 CPL Technical - 80/100 --/-- 27/05/2025 PASS
General
1607 19850215 P-24466607 CPL Air - 72/100 --/-- 27/05/2025 PASS
Regulation
1608 19850216 P-24462213 CPLCG Air - --/100 --/-- 27/05/2025 Absent
(Conversion) Navigation
Comp
1609 19850217 P-25460327 CPL Air - 60/100 --/-- 27/05/2025 FAIL
Regulation
1610 19850218 P-24466642 CPL Air - 52/100 --/-- 27/05/2025 FAIL
Regulation
1611 19850219 P-24463760 CPL Technical - 50/100 --/-- 27/05/2025 FAIL
General
1612 19850220 P-25460729 CPL Air - 52/100 --/-- 27/05/2025 FAIL
Regulation

Wed May 28 2025 18:23:11 page 70 of 107


S.No Roll No Computer Lic. Subject Aircraft Obj Essay ResultDate Status
No Category Marks Marks
1613 19850221 P-24463690 CPL Air - 80/100 --/-- 27/05/2025 PASS
Regulation
1614 19850222 P-25462556 CPL Aviation - 66/100 --/-- 27/05/2025 FAIL
Meteorology
1615 19850223 P-25461566 CPL Air - 82/100 --/-- 27/05/2025 PASS
Regulation
1616 19850224 P-24464902 CPL Air - 74/100 --/-- 27/05/2025 PASS
Regulation
1617 19850225 P-23460999 CPL Air - 65/100 --/-- 27/05/2025 FAIL
Navigation
1618 19850226 P-25460532 CPL Air - 76/100 --/-- 27/05/2025 PASS
Regulation
1619 19850227 P-22461813 CPL Technical - 68/100 --/-- 27/05/2025 FAIL
General
1620 19850228 P-24465312 CPL Aviation - --/100 --/-- 27/05/2025 Absent
Meteorology
1621 19850229 P-24462877 CPL Technical - 85/100 --/-- 27/05/2025 PASS
General
1622 19850230 P-22461465 CPL Technical Cessna 80/100 --/-- 27/05/2025 PASS
Specific 172 R
1623 19850231 P-25460463 CPL Air - 66/100 --/-- 27/05/2025 FAIL
Regulation
1624 19850232 P-24465265 CPL Air - 58/100 --/-- 27/05/2025 FAIL
Regulation
1625 19850233 P-24462745 CPL Technical - 69/100 --/-- 27/05/2025 FAIL
General
1626 19850234 P-23460203 CPL Air - 68/100 --/-- 27/05/2025 FAIL
Navigation
1627 19850235 P-23463507 CPL Air - 58/100 --/-- 27/05/2025 FAIL
Navigation
1628 19850235 P-23463507 CPL Technical Piper 74/100 --/-- 27/05/2025 PASS
Specific Seneca
P A-34
1629 19850236 P-25461169 CPL Aviation - 66/100 --/-- 27/05/2025 FAIL
Meteorology
1630 19850237 P-24466085 CPL Air - --/100 --/-- 27/05/2025 Absent
Regulation
1631 19850238 P-24463456 CPL Air - 64/100 --/-- 27/05/2025 FAIL
Regulation
1632 19850239 P-25462538 CPL Aviation - 64/100 --/-- 27/05/2025 FAIL
Meteorology
1633 19850240 P-25462066 CPL Air - --/100 --/-- 27/05/2025 Absent
Regulation
1634 19850241 P-24465629 CPL Technical - 56/100 --/-- 27/05/2025 FAIL
General
1635 19850242 P-15450840 CPL Air - --/100 --/-- 27/05/2025 Absent
Navigation

Wed May 28 2025 18:23:11 page 71 of 107


S.No Roll No Computer Lic. Subject Aircraft Obj Essay ResultDate Status
No Category Marks Marks
1636 19850243 P-23462918 CPL Technical Diamond 94/100 --/-- 27/05/2025 PASS
Specific DA-42
Thielert
1637 19850244 P-24465692 CPL Air - 91/100 --/-- 27/05/2025 PASS
Navigation
1638 19850244 P-24465692 CPL Air - 80/100 --/-- 27/05/2025 PASS
Regulation
1639 19850245 P-24466175 CPL Air - 76/100 --/-- 27/05/2025 PASS
Regulation
1640 19850246 P-25462058 CPL Air - --/100 --/-- 27/05/2025 Absent
Regulation
1641 19850247 P-17035501 CPL Technical - --/100 --/-- 27/05/2025 Absent
General
1642 19850248 P-25460645 CPL Aviation - 76/100 --/-- 27/05/2025 PASS
Meteorology
1643 19850249 P-24466713 CPL Air - 92/100 --/-- 27/05/2025 PASS
Regulation
1644 19850250 P-25461827 CPL Air - 74/100 --/-- 27/05/2025 PASS
Regulation
1645 19850251 P-24463334 CPL Air - 72/100 --/-- 27/05/2025 PASS
Navigation
1646 19850252 P-24467067 CPL Air - 82/100 --/-- 27/05/2025 PASS
Navigation
1647 19850253 P-24462792 CPL Air - 83/100 --/-- 27/05/2025 PASS
Navigation
1648 19850254 P-24463130 CPL Technical Cessna 76/100 --/-- 27/05/2025 PASS
Specific 172 R
1649 19850255 P-24465356 CPL Air - 54/100 --/-- 27/05/2025 FAIL
Regulation
1650 19850256 P-23463241 CPL Aviation - 62/100 --/-- 27/05/2025 FAIL
Meteorology
1651 19850257 P-24464441 CPL Air - 84/100 --/-- 27/05/2025 PASS
Regulation
1652 19850258 P-25460122 CPL Air - 88/100 --/-- 27/05/2025 PASS
Regulation
1653 19850259 P-25461688 CPL Aviation - 88/100 --/-- 27/05/2025 PASS
Meteorology
1654 19850260 P-25461942 CPL Air - 72/100 --/-- 27/05/2025 PASS
Regulation
1655 19850261 P-24464384 CPL Technical Cessna 74/100 --/-- 27/05/2025 PASS
Specific 172 R
1656 19850262 P-23464920 CPL Technical - 63/100 --/-- 27/05/2025 FAIL
General
1657 19850263 P-23461332 CPL Technical - 68/100 --/-- 27/05/2025 FAIL
General
1658 19850264 P-25462589 CPL Air - 56/100 --/-- 27/05/2025 FAIL
Regulation

Wed May 28 2025 18:23:11 page 72 of 107


S.No Roll No Computer Lic. Subject Aircraft Obj Essay ResultDate Status
No Category Marks Marks
1659 19850265 P-25462093 CPL Aviation - 92/100 --/-- 27/05/2025 PASS
Meteorology
1660 19850265 P-25462093 CPL Air - 86/100 --/-- 27/05/2025 PASS
Regulation
1661 19850266 P-25462341 CPL Aviation - 78/100 --/-- 27/05/2025 PASS
Meteorology
1662 19850267 P-24467267 CPL Aviation - 94/100 --/-- 27/05/2025 PASS
Meteorology
1663 19850268 P-23464296 CPL Technical - 68/100 --/-- 27/05/2025 FAIL
General
1664 19850269 P-25461220 CPLCG Air - 72/100 --/-- 27/05/2025 PASS
(Defence) Regulation
1665 19850270 P-24462027 CPL Air - 66/100 --/-- 27/05/2025 FAIL
Regulation
1666 19850271 P-25460054 CPL Aviation - 70/100 --/-- 27/05/2025 PASS
Meteorology
1667 19850272 P-10033126 CPL Technical - 67/100 --/-- 27/05/2025 FAIL
General
1668 19850272 P-10033126 CPL Technical Diamond 70/100 --/-- 27/05/2025 PASS
Specific DA 40
Thielert
1669 19850273 P-23464654 CPL Air - 66/100 --/-- 27/05/2025 FAIL
Regulation
1670 19850274 P-25462112 CPL Air - 70/100 --/-- 27/05/2025 PASS
Navigation
1671 19850275 P-24465707 CPL Air - 67/100 --/-- 27/05/2025 FAIL
Navigation
1672 19850276 P-25461823 CPL Air - 86/100 --/-- 27/05/2025 PASS
Regulation
1673 19850277 P-25461791 CPL Air - 72/100 --/-- 27/05/2025 PASS
Regulation
1674 19850278 P-25460325 CPL Air - 78/100 --/-- 27/05/2025 PASS
Regulation
1675 19850279 P-24466628 CPL Air - 62/100 --/-- 27/05/2025 FAIL
Regulation
1676 19850280 P-17453941 CPL Aviation - --/100 --/-- 27/05/2025 Absent
Meteorology
1677 19850280 P-17453941 CPL Air - --/100 --/-- 27/05/2025 Absent
Regulation
1678 19850280 P-17453941 CPL Technical P-68 C --/100 --/-- 27/05/2025 Absent
Specific
1679 19850281 P-24465463 CPL Technical - 72/100 --/-- 27/05/2025 PASS
General
1680 19850282 P-24461283 CPL Air - 78/100 --/-- 27/05/2025 PASS
Regulation
1681 19850283 P-25462575 CPL Aviation - 76/100 --/-- 27/05/2025 PASS
Meteorology

Wed May 28 2025 18:23:11 page 73 of 107


S.No Roll No Computer Lic. Subject Aircraft Obj Essay ResultDate Status
No Category Marks Marks
1682 19850284 P-24466229 CPL Air - 84/100 --/-- 27/05/2025 PASS
Regulation
1683 19850284 P-24466229 CPL Technical Diamond 68/100 --/-- 27/05/2025 FAIL
Specific DA-42
Thielert
1684 19850285 P-24463075 CPL Technical Cessna 88/100 --/-- 27/05/2025 PASS
Specific 172 R
1685 19850286 P-24465401 CPL Air - 58/100 --/-- 27/05/2025 FAIL
Navigation
1686 19850287 P-24466381 CPL Air - 74/100 --/-- 27/05/2025 PASS
Navigation
1687 19850288 P-23463296 CPL Technical Cessna 70/100 --/-- 27/05/2025 PASS
Specific 172 R
1688 19850289 P-24467124 CPL Technical Cessna 76/100 --/-- 27/05/2025 PASS
Specific 172 R
1689 19850290 P-24465462 CPL Aviation - 68/100 --/-- 27/05/2025 FAIL
Meteorology
1690 19850291 P-24461929 CPL Aviation - 82/100 --/-- 27/05/2025 PASS
Meteorology
1691 19850292 P-25461946 CPL Air - 48/100 --/-- 27/05/2025 FAIL
Regulation
1692 19850293 P-24463263 CPL Air - 67/100 --/-- 27/05/2025 FAIL
Navigation
1693 19850294 P-24467137 CPL Air - 68/100 --/-- 27/05/2025 FAIL
Regulation
1694 19850295 P-24464946 CPL Aviation - 70/100 --/-- 27/05/2025 PASS
Meteorology
1695 19850295 P-24464946 CPL Technical - --/100 --/-- 27/05/2025 Absent
General
1696 19850296 P-24466604 CPL Technical - 69/100 --/-- 27/05/2025 FAIL
General
1697 19850297 P-22461100 CPL Technical Diamond 100/100 --/-- 27/05/2025 PASS
Specific DA-42
Thielert
1698 19850298 P-24464975 CPL Aviation - 80/100 --/-- 27/05/2025 PASS
Meteorology
1699 19850299 P-23462800 CPL Technical - 67/100 --/-- 27/05/2025 FAIL
General
1700 19850300 P-25462642 CPL Aviation - 74/100 --/-- 27/05/2025 PASS
Meteorology
1701 19850301 P-24465516 CPL Air - 59/100 --/-- 27/05/2025 FAIL
Navigation
1702 19850302 P-24465778 CPL Air - 42/100 --/-- 27/05/2025 FAIL
Regulation
1703 19850303 P-24465379 CPL Air - 86/100 --/-- 27/05/2025 PASS
Navigation
1704 19850304 P-24466148 CPL Air - 72/100 --/-- 27/05/2025 PASS
Regulation

Wed May 28 2025 18:23:11 page 74 of 107


S.No Roll No Computer Lic. Subject Aircraft Obj Essay ResultDate Status
No Category Marks Marks
1705 19850305 P-24466158 CPL Technical - 72/100 --/-- 27/05/2025 PASS
General
1706 19850306 P-24461267 CPL Air - 84/100 --/-- 27/05/2025 PASS
Regulation
1707 19850307 P-22462912 CPL Air - --/100 --/-- 27/05/2025 Absent
Navigation
1708 19850307 P-22462912 CPL Technical - 71/100 --/-- 27/05/2025 PASS
General
1709 19850308 P-24466038 CPL Technical - 72/100 --/-- 27/05/2025 PASS
General
1710 19850309 P-25460092 CPL Air - 86/100 --/-- 27/05/2025 PASS
Navigation
1711 19850310 P-25462055 CPL Air - 78/100 --/-- 27/05/2025 PASS
Regulation
1712 19850311 P-24465605 CPL Air - --/100 --/-- 27/05/2025 Absent
Regulation
1713 19850312 P-23462369 CPL Technical Tecnam P 72/100 --/-- 27/05/2025 PASS
Specific Mentor
1714 19850313 P-20460244 CPL Air - 78/100 --/-- 27/05/2025 PASS
Regulation
1715 19850314 P-25462165 CPL Aviation - 70/100 --/-- 27/05/2025 PASS
Meteorology
1716 19850315 P-19460030 CPL Technical Diamond 68/100 --/-- 27/05/2025 FAIL
Specific DA 40
Thielert
1717 19850316 P-25462109 CPL Aviation - 46/100 --/-- 27/05/2025 FAIL
Meteorology
1718 19850316 P-25462109 CPL Air - 56/100 --/-- 27/05/2025 FAIL
Regulation
1719 19850317 P-24463625 CPL Air - 68/100 --/-- 27/05/2025 FAIL
Regulation
1720 19850318 P-23463107 CPL Air - 53/100 --/-- 27/05/2025 FAIL
Navigation
1721 19850319 P-25460105 CPL Air - 64/100 --/-- 27/05/2025 FAIL
Regulation
1722 19850320 P-25460980 CPL Air - --/100 --/-- 27/05/2025 Absent
Navigation
1723 19850321 P-25460832 CPL Air - 54/100 --/-- 27/05/2025 FAIL
Navigation
1724 19850322 P-24467136 CPL Air - --/100 --/-- 27/05/2025 Absent
Navigation
1725 19850323 P-22462193 PPL Technical - 64/100 --/-- 27/05/2025 FAIL
General
1726 19850324 P-24466955 CPL Air - --/100 --/-- 27/05/2025 Absent
Navigation
1727 19850325 P-23461392 CPL Air - 50/100 --/-- 27/05/2025 FAIL
Navigation

Wed May 28 2025 18:23:11 page 75 of 107


S.No Roll No Computer Lic. Subject Aircraft Obj Essay ResultDate Status
No Category Marks Marks
1728 19850326 P-24462785 CPL Technical Cessna 92/100 --/-- 27/05/2025 PASS
Specific 172 R
1729 19850327 P-24465504 CPL Aviation - 80/100 --/-- 27/05/2025 PASS
Meteorology
1730 19850328 P-25461778 CPL Air - 74/100 --/-- 27/05/2025 PASS
Regulation
1731 19850329 P-25461387 CPL Aviation - 70/100 --/-- 27/05/2025 PASS
Meteorology
1732 19850330 P-24463749 CPL Air - 71/100 --/-- 27/05/2025 PASS
Navigation
1733 19850331 P-24467109 CPL Air - 48/100 --/-- 27/05/2025 FAIL
Regulation
1734 19850332 P-24466340 CPL Air - 60/100 --/-- 27/05/2025 FAIL
Regulation
1735 19850333 P-25460876 CPL Air - 80/100 --/-- 27/05/2025 PASS
Regulation
1736 19850334 P-25460706 CPL Air - 75/100 --/-- 27/05/2025 PASS
Navigation
1737 19850335 P-24460106 CPL Technical Cessna 82/100 --/-- 27/05/2025 PASS
Specific 172 R
1738 19850336 P-24464824 CPL Aviation - 40/100 --/-- 27/05/2025 FAIL
Meteorology
1739 19850336 P-24464824 CPL Air - --/100 --/-- 27/05/2025 Absent
Regulation
1740 19850337 P-24465701 CPL Aviation - 70/100 --/-- 27/05/2025 PASS
Meteorology
1741 19850338 P-25460302 CPL Aviation - 72/100 --/-- 27/05/2025 PASS
Meteorology
1742 19850338 P-25460302 CPL Technical Diamond 94/100 --/-- 27/05/2025 PASS
Specific DA-42
Thielert
1743 19850339 P-25461618 CPL Air - 54/100 --/-- 27/05/2025 FAIL
Regulation
1744 19850340 P-25462083 CPL Air - 66/100 --/-- 27/05/2025 FAIL
Regulation
1745 19850341 P-25460677 CPL Aviation - 74/100 --/-- 27/05/2025 PASS
Meteorology
1746 19850341 P-25460677 CPL Air - 72/100 --/-- 27/05/2025 PASS
Regulation
1747 19850342 P-24464470 CPL Technical Cessna 66/100 --/-- 27/05/2025 FAIL
Specific 172 R
1748 19850343 P-18460831 CPL Air - 68/100 --/-- 27/05/2025 FAIL
Navigation
1749 19850344 P-24464546 CPL Technical Cessna 88/100 --/-- 27/05/2025 PASS
Specific 172 R
1750 19850345 P-11033177 CPLCG Technical TECNAM 88/100 --/-- 27/05/2025 PASS
(Defence) Specific P2006T

Wed May 28 2025 18:23:11 page 76 of 107


S.No Roll No Computer Lic. Subject Aircraft Obj Essay ResultDate Status
No Category Marks Marks
1751 19850346 P-24464114 CPL Air - --/100 --/-- 27/05/2025 Absent
Regulation
1752 19850347 P-24464400 CPL Technical - 62/100 --/-- 27/05/2025 FAIL
General
1753 19850348 P-24467424 CPL Aviation - 68/100 --/-- 27/05/2025 FAIL
Meteorology
1754 19850349 P-25462714 CPL Aviation - 82/100 --/-- 27/05/2025 PASS
Meteorology
1755 19850350 P-19460117 CPL Air - 60/100 --/-- 27/05/2025 FAIL
Navigation
1756 19850351 P-25461162 CPL Air - 60/100 --/-- 27/05/2025 FAIL
Regulation
1757 19850352 P-24466624 CPL Aviation - 70/100 --/-- 27/05/2025 PASS
Meteorology
1758 19850352 P-24466624 CPL Technical Diamond 94/100 --/-- 27/05/2025 PASS
Specific DA-42
Thielert
1759 19850353 P-25461139 CPL Aviation - 70/100 --/-- 27/05/2025 PASS
Meteorology
1760 19850354 P-24466663 CPL Air - 83/100 --/-- 27/05/2025 PASS
Navigation
1761 19850355 P-24465352 CPL Air - 88/100 --/-- 27/05/2025 PASS
Navigation
1762 19850356 P-24466635 CPL Air - 46/100 --/-- 27/05/2025 FAIL
Regulation
1763 19850357 P-23462780 CPL Aviation - 68/100 --/-- 27/05/2025 FAIL
Meteorology
1764 19850358 P-25461161 CPL Air - 69/100 --/-- 27/05/2025 FAIL
Navigation
1765 19850359 P-25462473 CPL Aviation - 68/100 --/-- 27/05/2025 FAIL
Meteorology
1766 19850359 P-25462473 CPL Air - 80/100 --/-- 27/05/2025 PASS
Regulation
1767 19850360 P-25461689 CPL Aviation - 58/100 --/-- 27/05/2025 FAIL
Meteorology
1768 19850361 P-24462812 CPL Air - 78/100 --/-- 27/05/2025 PASS
Regulation
1769 19850362 P-24463369 CPL Technical Diamond 98/100 --/-- 27/05/2025 PASS
Specific DA-42
Thielert
1770 19850363 P-24463250 CPL Air - 64/100 --/-- 27/05/2025 FAIL
Regulation
1771 19850364 P-24465719 CPL Aviation - 70/100 --/-- 27/05/2025 PASS
Meteorology
1772 19850365 P-24464748 CPL Air - 88/100 --/-- 27/05/2025 PASS
Regulation
1773 19850366 P-24463686 CPL Air - 84/100 --/-- 27/05/2025 PASS
Navigation

Wed May 28 2025 18:23:11 page 77 of 107


S.No Roll No Computer Lic. Subject Aircraft Obj Essay ResultDate Status
No Category Marks Marks
1774 19850367 P-24465325 CPL Air - --/100 --/-- 27/05/2025 Absent
Navigation
1775 19850368 P-25460764 CPL Air - 44/100 --/-- 27/05/2025 FAIL
Regulation
1776 19850369 P-24466133 CPL Air - 76/100 --/-- 27/05/2025 PASS
Regulation
1777 19850370 P-24464121 CPL Air - 84/100 --/-- 27/05/2025 PASS
Regulation
1778 19850371 P-25461830 CPL Aviation - 86/100 --/-- 27/05/2025 PASS
Meteorology
1779 19850371 P-25461830 CPL Air - 86/100 --/-- 27/05/2025 PASS
Regulation
1780 19850372 P-24467134 CPL Air - 82/100 --/-- 27/05/2025 PASS
Regulation
1781 19850373 P-25462094 CPL Air - 46/100 --/-- 27/05/2025 FAIL
Regulation
1782 19850374 P-25461789 CPL Aviation - 80/100 --/-- 27/05/2025 PASS
Meteorology
1783 19850375 P-24462231 CPL Air - 74/100 --/-- 27/05/2025 PASS
Regulation
1784 19850376 P-24463738 CPL Air - 78/100 --/-- 27/05/2025 PASS
Regulation
1785 19850377 P-20460214 CPL Technical Cessna 88/100 --/-- 27/05/2025 PASS
Specific 182T
1786 19850378 P-24466852 CPL Air - --/100 --/-- 27/05/2025 Absent
Navigation
1787 19850379 P-23460548 CPL Technical Cessna 92/100 --/-- 27/05/2025 PASS
Specific 172R
Thielert
1788 19850380 P-24466870 CPL Air - --/100 --/-- 27/05/2025 Absent
Navigation
1789 19850381 P-24461928 CPL Air - 68/100 --/-- 27/05/2025 FAIL
Regulation
1790 19850381 P-24461928 CPL Technical Diamond 86/100 --/-- 27/05/2025 PASS
Specific DA-42
Thielert
1791 19850382 P-23464344 CPL Technical Tecnam 94/100 --/-- 27/05/2025 PASS
Specific P2008 JC
1792 19850383 P-24463564 CPL Technical Diamond 90/100 --/-- 27/05/2025 PASS
Specific DA-42
Thielert
1793 19850384 P-24460824 CPL Air - 64/100 --/-- 27/05/2025 FAIL
Regulation
1794 19850385 P-24462941 CPL Air - 86/100 --/-- 27/05/2025 PASS
Navigation
1795 19850386 P-24464071 CPL Air - 66/100 --/-- 27/05/2025 FAIL
Regulation
1796 19850387 P-25461598 CPL Air - 53/100 --/-- 27/05/2025 FAIL
Navigation
Wed May 28 2025 18:23:11 page 78 of 107
S.No Roll No Computer Lic. Subject Aircraft Obj Essay ResultDate Status
No Category Marks Marks
1797 19850388 P-25461058 CPL Air - 90/100 --/-- 27/05/2025 PASS
Regulation
1798 19850389 P-22461573 CPL Technical Diamond 82/100 --/-- 27/05/2025 PASS
Specific DA-42
Thielert
1799 19850390 P-25460395 CPL Aviation - 92/100 --/-- 27/05/2025 PASS
Meteorology
1800 19850390 P-25460395 CPL Technical Cessna 84/100 --/-- 27/05/2025 PASS
Specific 152 A
1801 19850391 P-22461594 CPL Technical - --/100 --/-- 27/05/2025 Absent
General
1802 19850392 P-25461074 CPL Air - 66/100 --/-- 27/05/2025 FAIL
Navigation
1803 19850393 P-19462223 CPL Aviation - 82/100 --/-- 27/05/2025 PASS
Meteorology
1804 19850394 P-22460325 PPL Technical Piper --/100 --/-- 27/05/2025 Absent
Specific PA-28-181
Archer III
TAE-125
Engine
1805 19850395 P-25460103 CPL Aviation - --/100 --/-- 27/05/2025 Absent
Meteorology
1806 19850396 P-23464818 CPL Technical - 81/100 --/-- 27/05/2025 PASS
General
1807 19850397 P-24461578 CPL Technical TECNAM 96/100 --/-- 27/05/2025 PASS
Specific P2006T
1808 19850398 P-23464297 CPL Air - 71/100 --/-- 27/05/2025 PASS
Navigation
1809 19850399 P-25461502 CPL Aviation - --/100 --/-- 27/05/2025 Absent
Meteorology
1810 19850400 P-18454210 CPL Air - 60/100 --/-- 27/05/2025 FAIL
Navigation
1811 19850401 P-19463004 CPL Aviation - 80/100 --/-- 27/05/2025 PASS
Meteorology
1812 19850402 P-23464044 CPL Air - --/100 --/-- 27/05/2025 Absent
Navigation
1813 19850403 P-25461772 CPL Aviation - 90/100 --/-- 27/05/2025 PASS
Meteorology
1814 19850403 P-25461772 CPL Technical Diamond 96/100 --/-- 27/05/2025 PASS
Specific DA-42
Thielert
1815 19850404 P-24463243 CPL Air - 88/100 --/-- 27/05/2025 PASS
Navigation
1816 19850405 P-24464104 CPL Air - 65/100 --/-- 27/05/2025 FAIL
Navigation
1817 19850406 P-24461154 CPL Air - --/100 --/-- 27/05/2025 Absent
Navigation
1818 19850407 P-23461154 CPL Technical - 80/100 --/-- 27/05/2025 PASS
General

Wed May 28 2025 18:23:11 page 79 of 107


S.No Roll No Computer Lic. Subject Aircraft Obj Essay ResultDate Status
No Category Marks Marks
1819 19850408 P-24463438 CPL Air - 42/100 --/-- 27/05/2025 FAIL
Regulation
1820 19850409 P-25462581 CPL Aviation - 74/100 --/-- 27/05/2025 PASS
Meteorology
1821 19850410 P-93003250 PLB Composite - 75/100 --/-- 27/05/2025 PASS
1822 19850411 P-24464797 CPL Technical - 80/100 --/-- 27/05/2025 PASS
General
1823 19850412 P-25460750 CPL Aviation - 76/100 --/-- 27/05/2025 PASS
Meteorology
1824 19850412 P-25460750 CPL Technical Diamond 84/100 --/-- 27/05/2025 PASS
Specific DA-42
Thielert
1825 19850413 P-25462722 CPL Aviation - 50/100 --/-- 27/05/2025 FAIL
Meteorology
1826 19850414 P-22462310 CPL Air - 54/100 --/-- 27/05/2025 FAIL
Navigation
1827 19850415 P-24464316 CPL Aviation - 74/100 --/-- 27/05/2025 PASS
Meteorology
1828 19850416 P-25461419 CPL Air - 72/100 --/-- 27/05/2025 PASS
Regulation
1829 19850417 P-25462229 CPL Aviation - 90/100 --/-- 27/05/2025 PASS
Meteorology
1830 19850417 P-25462229 CPL Air - 82/100 --/-- 27/05/2025 PASS
Regulation
1831 19850418 P-24466019 CPL Air - 53/100 --/-- 27/05/2025 FAIL
Navigation
1832 19850419 P-22460064 CPL Air - 55/100 --/-- 27/05/2025 FAIL
Navigation
1833 19850420 P-24463031 CPL Air - 81/100 --/-- 27/05/2025 PASS
Navigation
1834 19850421 P-25462459 CPL Aviation - 92/100 --/-- 27/05/2025 PASS
Meteorology
1835 19850421 P-25462459 CPL Air - 76/100 --/-- 27/05/2025 PASS
Regulation
1836 19850422 P-24466910 CPL Aviation - 72/100 --/-- 27/05/2025 PASS
Meteorology
1837 19850423 P-25461887 CPL Air - 64/100 --/-- 27/05/2025 FAIL
Regulation
1838 19850424 P-25461490 CPL Technical Diamond 76/100 --/-- 27/05/2025 PASS
Specific D A 40
Lyco
1839 19850425 P-22462309 CPL Technical - 80/100 --/-- 27/05/2025 PASS
General
1840 19850426 P-24465644 CPL Air - 42/100 --/-- 27/05/2025 FAIL
Navigation
1841 19850427 P-24463751 CPL Aviation - 68/100 --/-- 27/05/2025 FAIL
Meteorology

Wed May 28 2025 18:23:11 page 80 of 107


S.No Roll No Computer Lic. Subject Aircraft Obj Essay ResultDate Status
No Category Marks Marks
1842 19850428 P-25461859 CPL Aviation - 82/100 --/-- 27/05/2025 PASS
Meteorology
1843 19850429 P-25460300 CPL Air - 74/100 --/-- 27/05/2025 PASS
Regulation
1844 19850430 P-24461077 CPL Air - 53/100 --/-- 27/05/2025 FAIL
Navigation
1845 19850431 P-25461985 CPL Aviation - 76/100 --/-- 27/05/2025 PASS
Meteorology
1846 19850431 P-25461985 CPL Air - 74/100 --/-- 27/05/2025 PASS
Regulation
1847 19850432 P-25460771 CPL Air - 66/100 --/-- 27/05/2025 FAIL
Regulation
1848 19850433 P-25461559 CPL Aviation - 60/100 --/-- 27/05/2025 FAIL
Meteorology
1849 19850433 P-25461559 CPL Air - 52/100 --/-- 27/05/2025 FAIL
Regulation
1850 19850434 P-25462315 CPL Aviation - 70/100 --/-- 27/05/2025 PASS
Meteorology
1851 19850435 P-23460546 CPL Air - 77/100 --/-- 27/05/2025 PASS
Navigation
1852 19850436 P-24463879 CPL Air - 70/100 --/-- 27/05/2025 PASS
Regulation
1853 19850437 P-24465799 CPL Technical Cessna 68/100 --/-- 27/05/2025 FAIL
Specific 172 R
1854 19850438 P-23462420 CPL Technical - 73/100 --/-- 27/05/2025 PASS
General
1855 19850439 P-24464940 CPL Air - 86/100 --/-- 27/05/2025 PASS
Regulation
1856 19850440 P-22463135 CPL Air - 67/100 --/-- 27/05/2025 FAIL
Navigation
1857 19850441 P-24462378 CPL Air - 46/100 --/-- 27/05/2025 FAIL
Navigation
1858 19850442 P-23463312 CPL Technical - 75/100 --/-- 27/05/2025 PASS
General
1859 19850443 P-24466576 CPL Aviation - 64/100 --/-- 27/05/2025 FAIL
Meteorology
1860 19850444 P-24461733 CPL Air - 59/100 --/-- 27/05/2025 FAIL
Navigation
1861 19850445 P-24462685 CPL Technical - 87/100 --/-- 27/05/2025 PASS
General
1862 19850446 P-25462272 CPL Aviation - 60/100 --/-- 27/05/2025 FAIL
Meteorology
1863 19850447 P-24466310 CPL Air - --/100 --/-- 27/05/2025 Absent
Regulation
1864 19850448 P-24462772 CPL Air - 78/100 --/-- 27/05/2025 PASS
Navigation
1865 19850449 P-23460139 CPL Technical Tecnam P 70/100 --/-- 27/05/2025 PASS
Specific Mentor

Wed May 28 2025 18:23:11 page 81 of 107


S.No Roll No Computer Lic. Subject Aircraft Obj Essay ResultDate Status
No Category Marks Marks
1866 19850450 P-25460797 CPL Air - 57/100 --/-- 27/05/2025 FAIL
Navigation
1867 19850451 P-25462413 CPL Aviation - 82/100 --/-- 27/05/2025 PASS
Meteorology
1868 19850451 P-25462413 CPL Air - 74/100 --/-- 27/05/2025 PASS
Regulation
1869 19850452 P-25460232 CPL Air - 36/100 --/-- 27/05/2025 FAIL
Navigation
1870 19850452 P-25460232 CPL Air - 42/100 --/-- 27/05/2025 FAIL
Regulation
1871 19850453 P-24466332 CPL Air - --/100 --/-- 27/05/2025 Absent
Regulation
1872 19850454 P-25462163 CPL Aviation - 94/100 --/-- 27/05/2025 PASS
Meteorology
1873 19850454 P-25462163 CPL Air - 84/100 --/-- 27/05/2025 PASS
Regulation
1874 19850455 P-25462504 CPL Air - 76/100 --/-- 27/05/2025 PASS
Regulation
1875 19850456 P-24465848 CPL Aviation - 74/100 --/-- 27/05/2025 PASS
Meteorology
1876 19850457 P-24464118 CPL Air - 51/100 --/-- 27/05/2025 FAIL
Navigation
1877 19850457 P-24464118 CPL Air - 58/100 --/-- 27/05/2025 FAIL
Regulation
1878 19850458 P-24465775 CPL Technical Diamond 76/100 --/-- 27/05/2025 PASS
Specific D A 40
Lyco
1879 19850459 P-24464285 CPL Air - 84/100 --/-- 27/05/2025 PASS
Navigation
1880 19850460 P-25462505 CPL Air - 65/100 --/-- 27/05/2025 FAIL
Navigation
1881 19850461 P-24462245 CPL Air - --/100 --/-- 27/05/2025 Absent
Navigation
1882 19850462 P-24465643 CPL Technical - 85/100 --/-- 27/05/2025 PASS
General
1883 19850463 P-18454357 CPL Technical Cessna 84/100 --/-- 27/05/2025 PASS
Specific 182T
1884 19850464 P-24463886 CPL Air - 62/100 --/-- 27/05/2025 FAIL
Regulation
1885 19850465 P-22461781 CPL Air - --/100 --/-- 27/05/2025 Absent
Navigation
1886 19850466 P-25460145 CPL Air - 46/100 --/-- 27/05/2025 FAIL
Regulation
1887 19850467 P-25461640 CPL Air - 78/100 --/-- 27/05/2025 PASS
Regulation
1888 19850468 P-24461068 CPL Air - --/100 --/-- 27/05/2025 Absent
Navigation

Wed May 28 2025 18:23:11 page 82 of 107


S.No Roll No Computer Lic. Subject Aircraft Obj Essay ResultDate Status
No Category Marks Marks
1889 19850469 P-25460800 CPL Technical Diamond 90/100 --/-- 27/05/2025 PASS
Specific DA-42
Thielert
1890 19850470 P-24466730 CPL Air - 60/100 --/-- 27/05/2025 FAIL
Navigation
1891 19850471 P-23464036 CPL Air - 42/100 --/-- 27/05/2025 FAIL
Regulation
1892 19850472 P-25462550 CPL Air - 75/100 --/-- 27/05/2025 PASS
Navigation
1893 19850473 P-24463685 CPL Technical - 91/100 --/-- 27/05/2025 PASS
General
1894 19850473 P-24463685 CPL Technical Diamond 86/100 --/-- 27/05/2025 PASS
Specific DA-42
Thielert
1895 19850474 P-23462817 CPL Technical Cessna 88/100 --/-- 27/05/2025 PASS
Specific 172 R
1896 19850475 P-24461261 CPL Technical - 69/100 --/-- 27/05/2025 FAIL
General
1897 19850476 P-24460314 CPL Technical - 84/100 --/-- 27/05/2025 PASS
General
1898 19850477 P-22462281 CPL Technical P-68 C 84/100 --/-- 27/05/2025 PASS
Specific
1899 19850478 P-24466119 CPL Aviation - 84/100 --/-- 27/05/2025 PASS
Meteorology
1900 19850479 P-24466975 CPL Air - 57/100 --/-- 27/05/2025 FAIL
Navigation
1901 19850480 P-24466313 CPL Air - 68/100 --/-- 27/05/2025 FAIL
Regulation
1902 19850481 P-25460888 CPL Air - 94/100 --/-- 27/05/2025 PASS
Regulation
1903 19850482 P-25462103 CPL Air - 60/100 --/-- 27/05/2025 FAIL
Regulation
1904 19850483 P-25461538 CPL Air - 82/100 --/-- 27/05/2025 PASS
Regulation
1905 19850484 P-24462628 CPL Technical Diamond 82/100 --/-- 27/05/2025 PASS
Specific DA 40
Thielert
1906 19850485 P-23460775 CPL Technical Cessna 84/100 --/-- 27/05/2025 PASS
Specific 172 R
1907 19850486 P-24461093 CPL Air - --/100 --/-- 27/05/2025 Absent
Navigation
1908 19850487 P-24467269 CPL Air - 49/100 --/-- 27/05/2025 FAIL
Navigation
1909 19850488 P-25461835 CPL Aviation - 70/100 --/-- 27/05/2025 PASS
Meteorology
1910 19850488 P-25461835 CPL Air - 68/100 --/-- 27/05/2025 FAIL
Regulation
1911 19850489 P-25462366 CPL Air - 75/100 --/-- 27/05/2025 PASS
Navigation
Wed May 28 2025 18:23:11 page 83 of 107
S.No Roll No Computer Lic. Subject Aircraft Obj Essay ResultDate Status
No Category Marks Marks
1912 19850490 P-24466822 CPL Technical Diamond 98/100 --/-- 27/05/2025 PASS
Specific DA-42
Thielert
1913 19850491 P-24462895 CPL Air - --/100 --/-- 27/05/2025 Absent
Navigation
1914 19850492 P-24461827 CPL Aviation - 66/100 --/-- 27/05/2025 FAIL
Meteorology
1915 19850493 P-23463502 CPL Air - 63/100 --/-- 27/05/2025 FAIL
Navigation
1916 19850494 P-24463448 CPL Air - 55/100 --/-- 27/05/2025 FAIL
Navigation
1917 19850495 P-22461975 CPL Technical Cessna 70/100 --/-- 27/05/2025 PASS
Specific 172 R
1918 19850496 P-23461377 CPL Air - 73/100 --/-- 27/05/2025 PASS
Navigation
1919 19850497 P-25460878 CPL Aviation - 92/100 --/-- 27/05/2025 PASS
Meteorology
1920 19850497 P-25460878 CPL Technical Diamond 88/100 --/-- 27/05/2025 PASS
Specific DA-42
Thielert
1921 19850498 P-24465699 CPL Air - 78/100 --/-- 27/05/2025 PASS
Regulation
1922 19850498 P-24465699 CPL Technical Diamond --/100 --/-- 27/05/2025 Absent
Specific DA 42
Austro
1923 19850499 P-17452724 CPL Air - 57/100 --/-- 27/05/2025 FAIL
Navigation
1924 19850500 P-24467324 CPL Aviation - 78/100 --/-- 27/05/2025 PASS
Meteorology
1925 19850501 P-24463436 CPL Technical - 78/100 --/-- 27/05/2025 PASS
General
1926 19850502 P-24466789 CPL Air - 77/100 --/-- 27/05/2025 PASS
Navigation
1927 19850503 P-24464407 CPL Air - 56/100 --/-- 27/05/2025 FAIL
Regulation
1928 19850504 P-25460730 CPL Air - --/100 --/-- 27/05/2025 Absent
Regulation
1929 19850505 P-24464518 CPL Air - 58/100 --/-- 27/05/2025 FAIL
Navigation
1930 19850506 P-24464561 CPL Air - 43/100 --/-- 27/05/2025 FAIL
Navigation
1931 19850507 P-21460562 CPL Technical Cessna 98/100 --/-- 27/05/2025 PASS
Specific 152 A
1932 19850508 P-25461467 CPL Air - 54/100 --/-- 27/05/2025 FAIL
Regulation
1933 19850509 P-24464143 CPL Air - 74/100 --/-- 27/05/2025 PASS
Regulation
1934 19850510 P-24466191 CPL Air - 67/100 --/-- 27/05/2025 FAIL
Navigation
Wed May 28 2025 18:23:11 page 84 of 107
S.No Roll No Computer Lic. Subject Aircraft Obj Essay ResultDate Status
No Category Marks Marks
1935 19850511 P-25462356 CPL Aviation - 80/100 --/-- 27/05/2025 PASS
Meteorology
1936 19850512 P-24461345 CPL Air - 66/100 --/-- 27/05/2025 FAIL
Regulation
1937 19850512 P-24461345 CPL Technical Diamond 86/100 --/-- 27/05/2025 PASS
Specific DA-42
Thielert
1938 19850513 P-24466212 CPL Air - 58/100 --/-- 27/05/2025 FAIL
Navigation
1939 19850514 P-24465821 CPL Air - 58/100 --/-- 27/05/2025 FAIL
Regulation
1940 19850515 P-25462064 CPL Air - 86/100 --/-- 27/05/2025 PASS
Regulation
1941 19850515 P-25462064 CPL Technical Diamond 68/100 --/-- 27/05/2025 FAIL
Specific DA 42
Austro
1942 19850516 P-25461943 CPL Aviation - 72/100 --/-- 27/05/2025 PASS
Meteorology
1943 19850517 P-24463061 CPL Air - --/100 --/-- 27/05/2025 Absent
Navigation
1944 19850518 P-24464995 CPL Aviation - 62/100 --/-- 27/05/2025 FAIL
Meteorology
1945 19850519 P-25461193 CPL Air - 68/100 --/-- 27/05/2025 FAIL
Regulation
1946 19850520 P-25460177 CPL Air - 78/100 --/-- 27/05/2025 PASS
Regulation
1947 19850521 P-24466917 CPL Air - 60/100 --/-- 27/05/2025 FAIL
Regulation
1948 19850522 P-24460542 CPL Technical Piper 86/100 --/-- 27/05/2025 PASS
Specific PA-28-181
Archer III
TAE-125
Engine
1949 19850523 P-24461280 CPL Technical Cessna --/100 --/-- 27/05/2025 Absent
Specific 172 R
1950 19850524 P-25462519 CPL Aviation - 88/100 --/-- 27/05/2025 PASS
Meteorology
1951 19850524 P-25462519 CPL Air - 80/100 --/-- 27/05/2025 PASS
Regulation
1952 19850525 P-23462013 CPL Air - 78/100 --/-- 27/05/2025 PASS
Regulation
1953 19850526 P-19461901 CPL Air - 72/100 --/-- 27/05/2025 PASS
Regulation
1954 19850527 P-16452115 CPL Aviation - --/100 --/-- 27/05/2025 Absent
Meteorology
1955 19850528 P-24462221 CPL Air - 74/100 --/-- 27/05/2025 PASS
Regulation

Wed May 28 2025 18:23:11 page 85 of 107


S.No Roll No Computer Lic. Subject Aircraft Obj Essay ResultDate Status
No Category Marks Marks
1956 19850529 P-24464022 CPL Technical Diamond 84/100 --/-- 27/05/2025 PASS
Specific DA-42
Thielert
1957 19850530 P-24464093 CPL Air - 66/100 --/-- 27/05/2025 FAIL
Regulation
1958 19850531 P-24463083 CPL Air - 66/100 --/-- 27/05/2025 FAIL
Navigation
1959 19850532 P-23460647 CPL Technical - 69/100 --/-- 27/05/2025 FAIL
General
1960 19850533 P-24466334 CPL Air - 76/100 --/-- 27/05/2025 PASS
Regulation
1961 19850534 P-23462303 CPL Air - 47/100 --/-- 27/05/2025 FAIL
Navigation
1962 19850535 P-24466861 CPL Technical - 85/100 --/-- 27/05/2025 PASS
General
1963 19850536 P-24462864 CPL Aviation - 70/100 --/-- 27/05/2025 PASS
Meteorology
1964 19850536 P-24462864 CPL Technical Diamond 92/100 --/-- 27/05/2025 PASS
Specific DA-42
Thielert
1965 19850537 P-24465489 CPL Air - 88/100 --/-- 27/05/2025 PASS
Regulation
1966 19850537 P-24465489 CPL Technical Diamond 96/100 --/-- 27/05/2025 PASS
Specific DA-42
Thielert
1967 19850538 P-24463428 CPL Air - 72/100 --/-- 27/05/2025 PASS
Regulation
1968 19850539 P-24465099 CPL Air - 72/100 --/-- 27/05/2025 PASS
Regulation
1969 19850540 P-24460366 CPL Technical Cessna 64/100 --/-- 27/05/2025 FAIL
Specific 172 R
1970 19850541 P-25462092 CPL Air - 75/100 --/-- 27/05/2025 PASS
Navigation
1971 19850542 P-23463817 CPL Air - --/100 --/-- 27/05/2025 Absent
Regulation
1972 19850543 P-24464715 CPL Air - 78/100 --/-- 27/05/2025 PASS
Regulation
1973 19850543 P-24464715 CPL Technical Diamond 90/100 --/-- 27/05/2025 PASS
Specific DA-42
Thielert
1974 19850544 P-18455732 CPL Technical Cessna 80/100 --/-- 27/05/2025 PASS
Specific 182T
1975 19850545 P-25460543 CPL Air - 62/100 --/-- 27/05/2025 FAIL
Regulation
1976 19850546 P-25460925 CPL Aviation - 66/100 --/-- 27/05/2025 FAIL
Meteorology
1977 19850547 P-22462023 CPL Aviation - --/100 --/-- 27/05/2025 Absent
Meteorology

Wed May 28 2025 18:23:11 page 86 of 107


S.No Roll No Computer Lic. Subject Aircraft Obj Essay ResultDate Status
No Category Marks Marks
1978 19850548 P-24466579 CPL Technical - 77/100 --/-- 27/05/2025 PASS
General
1979 19850549 P-25461957 CPL Aviation - 78/100 --/-- 27/05/2025 PASS
Meteorology
1980 19850550 P-24466392 CPL Air - 40/100 --/-- 27/05/2025 FAIL
Regulation
1981 19850551 P-24464459 CPL Aviation - 78/100 --/-- 27/05/2025 PASS
Meteorology
1982 19850552 P-24466336 CPL Air - 82/100 --/-- 27/05/2025 PASS
Regulation
1983 19850553 P-25460039 CPL Air - 68/100 --/-- 27/05/2025 FAIL
Navigation
1984 19850554 P-24466054 CPL Aviation - 38/100 --/-- 27/05/2025 FAIL
Meteorology
1985 19850555 P-23465025 CPL Air - 74/100 --/-- 27/05/2025 PASS
Regulation
1986 19850556 P-24466924 CPL Technical - 53/100 --/-- 27/05/2025 FAIL
General
1987 19850557 P-24464889 CPL Air - 58/100 --/-- 27/05/2025 FAIL
Regulation
1988 19850558 P-18460448 CPL Technical Piper 82/100 --/-- 27/05/2025 PASS
Specific PA-28-181
Archer III
TAE-125
Engine
1989 19850559 P-22460523 CPL Air - --/100 --/-- 27/05/2025 Absent
Navigation
1990 19850560 P-24462650 CPL Technical Piper --/100 --/-- 27/05/2025 Absent
Specific PA-28-181
Archer III
TAE-125
Engine
1991 19850561 P-21460187 CPL Air - --/100 --/-- 27/05/2025 Absent
Navigation
1992 19850562 P-24462454 CPL Air - 69/100 --/-- 27/05/2025 FAIL
Navigation
1993 19850563 P-24464344 CPL Air - 90/100 --/-- 27/05/2025 PASS
Regulation
1994 19850564 P-23464483 CPL Air - 64/100 --/-- 27/05/2025 FAIL
Navigation
1995 19850565 P-24462552 CPL Air - --/100 --/-- 27/05/2025 Absent
Regulation
1996 19850566 P-24460996 CPL Technical Cessna 92/100 --/-- 27/05/2025 PASS
Specific 152 A
1997 19850567 P-24465170 CPL Aviation - 62/100 --/-- 27/05/2025 FAIL
Meteorology
1998 19850568 P-24463072 CPL Air - 77/100 --/-- 27/05/2025 PASS
Navigation

Wed May 28 2025 18:23:11 page 87 of 107


S.No Roll No Computer Lic. Subject Aircraft Obj Essay ResultDate Status
No Category Marks Marks
1999 19850569 P-23461478 CPL Air - 58/100 --/-- 27/05/2025 FAIL
Navigation
2000 19850570 P-24466063 CPL Air - 64/100 --/-- 27/05/2025 FAIL
Regulation
2001 19850571 P-25462451 CPL Aviation - 90/100 --/-- 27/05/2025 PASS
Meteorology
2002 19850572 P-23464615 CPL Aviation - 82/100 --/-- 27/05/2025 PASS
Meteorology
2003 19850573 P-25462397 CPL Air - 74/100 --/-- 27/05/2025 PASS
Regulation
2004 19850574 P-22460918 CPL Air - 74/100 --/-- 27/05/2025 PASS
Navigation
2005 19850575 P-24463944 CPL Air - 77/100 --/-- 27/05/2025 PASS
Navigation
2006 19850576 P-24463396 CPL Air - 66/100 --/-- 27/05/2025 FAIL
Navigation
2007 19850577 P-23460098 CPL Aviation - 80/100 --/-- 27/05/2025 PASS
Meteorology
2008 19850578 P-24463587 CPL Air - 72/100 --/-- 27/05/2025 PASS
Regulation
2009 19850579 P-24466065 CPL Air - 62/100 --/-- 27/05/2025 FAIL
Navigation
2010 19850580 P-22462403 CPL Technical Diamond 96/100 --/-- 27/05/2025 PASS
Specific DA-42
Thielert
2011 19850581 P-24467083 CPL Air - 73/100 --/-- 27/05/2025 PASS
Navigation
2012 19850582 P-25462467 CPL Air - 78/100 --/-- 27/05/2025 PASS
Regulation
2013 19850583 P-24465120 CPL Technical Diamond 76/100 --/-- 27/05/2025 PASS
Specific DA 42
Austro
2014 19850584 P-25460460 CPL Aviation - 76/100 --/-- 27/05/2025 PASS
Meteorology
2015 19850585 P-24463665 CPL Air - 66/100 --/-- 27/05/2025 FAIL
Regulation
2016 19850586 P-25461431 CPL Aviation - 68/100 --/-- 27/05/2025 FAIL
Meteorology
2017 19850586 P-25461431 CPL Air - 60/100 --/-- 27/05/2025 FAIL
Regulation
2018 19850587 P-24465883 CPL Air - 70/100 --/-- 27/05/2025 PASS
Regulation
2019 19850588 P-23460709 CPL Air - 67/100 --/-- 27/05/2025 FAIL
Navigation
2020 19850589 P-24461775 CPL Air - 84/100 --/-- 27/05/2025 PASS
Regulation
2021 19850590 P-25461488 CPL Air - 66/100 --/-- 27/05/2025 FAIL
Regulation

Wed May 28 2025 18:23:11 page 88 of 107


S.No Roll No Computer Lic. Subject Aircraft Obj Essay ResultDate Status
No Category Marks Marks
2022 19850591 P-25461619 CPL Aviation - 78/100 --/-- 27/05/2025 PASS
Meteorology
2023 19850592 P-25461442 CPL Aviation - 86/100 --/-- 27/05/2025 PASS
Meteorology
2024 19850593 P-24462807 CPL Technical Cessna 70/100 --/-- 27/05/2025 PASS
Specific 172 R
2025 19850594 P-24466451 CPL Air - 70/100 --/-- 27/05/2025 PASS
Regulation
2026 19850595 P-24461904 CPL Air - 76/100 --/-- 27/05/2025 PASS
Navigation
2027 19850596 P-25460679 CPL Air - 88/100 --/-- 27/05/2025 PASS
Regulation
2028 19850597 P-24465830 CPL Air - 72/100 --/-- 27/05/2025 PASS
Navigation
2029 19850598 P-24465604 CPL Air - 40/100 --/-- 27/05/2025 FAIL
Regulation
2030 19850599 P-24463809 CPL Air - --/100 --/-- 27/05/2025 Absent
Regulation
2031 19850600 P-21460177 CPL Technical Piper 76/100 --/-- 27/05/2025 PASS
Specific PA-28-181
Archer III
TAE-125
Engine
2032 19850601 P-22462892 CPL Air - 77/100 --/-- 27/05/2025 PASS
Navigation
2033 19850602 P-24466966 CPL Air - 56/100 --/-- 27/05/2025 FAIL
Regulation
2034 19850603 P-24462298 CPL Technical Cessna 70/100 --/-- 27/05/2025 PASS
Specific 172 R
2035 19850604 P-25461717 CPL Air - 84/100 --/-- 27/05/2025 PASS
Regulation
2036 19850605 P-23461931 CPL Air - 52/100 --/-- 27/05/2025 FAIL
Regulation
2037 19850606 P-24462658 CPL Air - 37/100 --/-- 27/05/2025 FAIL
Navigation
2038 19850607 P-25460626 CPL Aviation - --/100 --/-- 27/05/2025 Absent
Meteorology
2039 19850608 P-25462490 CPL Air - 60/100 --/-- 27/05/2025 FAIL
Regulation
2040 19850609 P-24465464 CPL Air - 64/100 --/-- 27/05/2025 FAIL
Regulation
2041 19850610 P-24465730 CPL Aviation - 86/100 --/-- 27/05/2025 PASS
Meteorology
2042 19850611 P-25460143 CPL Air - 66/100 --/-- 27/05/2025 FAIL
Regulation
2043 19850612 P-25460999 CPL Air - 66/100 --/-- 27/05/2025 FAIL
Regulation
2044 19850613 P-23463715 CPL Technical - 69/100 --/-- 27/05/2025 FAIL
General
Wed May 28 2025 18:23:11 page 89 of 107
S.No Roll No Computer Lic. Subject Aircraft Obj Essay ResultDate Status
No Category Marks Marks
2045 19850614 P-24467030 CPL Air - 75/100 --/-- 27/05/2025 PASS
Navigation
2046 19850615 P-24465764 CPL Technical - 79/100 --/-- 27/05/2025 PASS
General
2047 19850615 P-24465764 CPL Technical Diamond 88/100 --/-- 27/05/2025 PASS
Specific DA-42
Thielert
2048 19850616 P-25462169 CPL Aviation - 54/100 --/-- 27/05/2025 FAIL
Meteorology
2049 19850616 P-25462169 CPL Air - 48/100 --/-- 27/05/2025 FAIL
Regulation
2050 19850617 P-25462698 CPL Aviation - 62/100 --/-- 27/05/2025 FAIL
Meteorology
2051 19850618 P-22461034 CPL Technical - 59/100 --/-- 27/05/2025 FAIL
General
2052 19850619 P-24464458 CPL Air - 77/100 --/-- 27/05/2025 PASS
Navigation
2053 19850620 P-25460130 CPL Technical Diamond 72/100 --/-- 27/05/2025 PASS
Specific DA-42
Thielert
2054 19850621 P-25460616 CPL Aviation - 70/100 --/-- 27/05/2025 PASS
Meteorology
2055 19850621 P-25460616 CPL Technical - 72/100 --/-- 27/05/2025 PASS
General
2056 19850622 P-24465647 CPL Air - 82/100 --/-- 27/05/2025 PASS
Regulation
2057 19850623 P-25461435 CPL Technical Cessna --/100 --/-- 27/05/2025 Absent
Specific 172 R
2058 19850624 P-25461899 CPL Aviation - 94/100 --/-- 27/05/2025 PASS
Meteorology
2059 19850625 P-22460054 CPL Air - 47/100 --/-- 27/05/2025 FAIL
Navigation
2060 19850626 P-25462501 CPL Air - 68/100 --/-- 27/05/2025 FAIL
Regulation
2061 19850627 P-18454431 CPL Air - --/100 --/-- 27/05/2025 Absent
Regulation
2062 19850628 P-24461535 CPL Air - --/100 --/-- 27/05/2025 Absent
Navigation
2063 19850628 P-24461535 CPL Air - --/100 --/-- 27/05/2025 Absent
Regulation
2064 19850629 P-25460484 CPL Air - 58/100 --/-- 27/05/2025 FAIL
Regulation
2065 19850630 P-24462688 CPL Technical Cessna 66/100 --/-- 27/05/2025 FAIL
Specific 172 R
2066 19850631 P-18454898 CPLCG Air - 76/100 --/-- 27/05/2025 PASS
(Defence) Regulation
2067 19850632 P-24464180 CPL Air - 72/100 --/-- 27/05/2025 PASS
Regulation

Wed May 28 2025 18:23:11 page 90 of 107


S.No Roll No Computer Lic. Subject Aircraft Obj Essay ResultDate Status
No Category Marks Marks
2068 19850633 P-21461113 CPL Technical Beech 82/100 --/-- 27/05/2025 PASS
Specific Baron
G 58
2069 19850634 P-24466389 CPL Aviation - 74/100 --/-- 27/05/2025 PASS
Meteorology
2070 19850634 P-24466389 CPL Technical Diamond 72/100 --/-- 27/05/2025 PASS
Specific DA-42
Thielert
2071 19850635 P-24463307 CPL Air - 68/100 --/-- 27/05/2025 FAIL
Regulation
2072 19850636 P-24466825 CPL Aviation - 76/100 --/-- 27/05/2025 PASS
Meteorology
2073 19850637 P-23460636 CPL Technical - 60/100 --/-- 27/05/2025 FAIL
General
2074 19850638 P-24464996 CPL Air - --/100 --/-- 27/05/2025 Absent
Regulation
2075 19850638 P-24464996 CPL Technical - 70/100 --/-- 27/05/2025 PASS
General
2076 19850639 P-25462376 CPL Aviation - 82/100 --/-- 27/05/2025 PASS
Meteorology
2077 19850640 P-22462556 CPL Air - 63/100 --/-- 27/05/2025 FAIL
Navigation
2078 19850641 P-25461788 CPL Aviation - --/100 --/-- 27/05/2025 Absent
Meteorology
2079 19850642 P-24465606 CPL Technical - 72/100 --/-- 27/05/2025 PASS
General
2080 19850643 P-23464996 CPL Air - --/100 --/-- 27/05/2025 Absent
Navigation
2081 19850644 P-09029247 CPL Air - 60/100 --/-- 27/05/2025 FAIL
Regulation
2082 19850645 P-24464631 CPL Air - 61/100 --/-- 27/05/2025 FAIL
Navigation
2083 19850646 P-25461495 CPL Air - 68/100 --/-- 27/05/2025 FAIL
Navigation
2084 19850647 P-19460513 CPL Air - 51/100 --/-- 27/05/2025 FAIL
Navigation
2085 19850648 P-24464869 CPL Air - 78/100 --/-- 27/05/2025 PASS
Regulation
2086 19850649 P-25461892 CPL Air - 78/100 --/-- 27/05/2025 PASS
Regulation
2087 19850650 P-23460144 CPL Technical TECNAM 92/100 --/-- 27/05/2025 PASS
Specific P2006T
2088 19850651 P-25462000 CPL Aviation - 74/100 --/-- 27/05/2025 PASS
Meteorology
2089 19850652 P-19461748 CPL Technical TECNAM 92/100 --/-- 27/05/2025 PASS
Specific P2006T

Wed May 28 2025 18:23:11 page 91 of 107


S.No Roll No Computer Lic. Subject Aircraft Obj Essay ResultDate Status
No Category Marks Marks
2090 19850653 P-23464169 CPL Technical Piper 78/100 --/-- 27/05/2025 PASS
Specific PA-28-181
Archer III
TAE-125
Engine
2091 19850654 P-23462609 CPL Air - 63/100 --/-- 27/05/2025 FAIL
Navigation
2092 19850655 P-25461065 CPL Aviation - 50/100 --/-- 27/05/2025 FAIL
Meteorology
2093 19850656 P-18455160 CPL Technical Piper 76/100 --/-- 27/05/2025 PASS
Specific PA-28-181
Archer III
TAE-125
Engine
2094 19850657 P-24462770 CPL Air - 67/100 --/-- 27/05/2025 FAIL
Navigation
2095 19850658 P-25462405 CPL Aviation - 86/100 --/-- 27/05/2025 PASS
Meteorology
2096 19850658 P-25462405 CPL Technical Diamond 96/100 --/-- 27/05/2025 PASS
Specific DA-42
Thielert
2097 19850659 P-22461611 CPL Air - --/100 --/-- 27/05/2025 Absent
Regulation
2098 19850660 P-21462248 CPL Air - 78/100 --/-- 27/05/2025 PASS
Regulation
2099 19850661 P-25460974 CPL Air - 62/100 --/-- 27/05/2025 FAIL
Regulation
2100 19850662 P-25461034 CPL Aviation - 86/100 --/-- 27/05/2025 PASS
Meteorology
2101 19850663 P-25462701 CPL Aviation - 70/100 --/-- 27/05/2025 PASS
Meteorology
2102 19850664 P-24463866 PPL Technical Cessna 76/100 --/-- 27/05/2025 PASS
Specific 172 R
2103 19850665 P-20460192 CPL Air - 79/100 --/-- 27/05/2025 PASS
Navigation
2104 19850666 P-25461394 CPL Aviation - 76/100 --/-- 27/05/2025 PASS
Meteorology
2105 19850667 P-24464641 CPL Air - 66/100 --/-- 27/05/2025 FAIL
Regulation
2106 19850668 P-19461930 CPL Air - 70/100 --/-- 27/05/2025 PASS
Regulation
2107 19850669 P-05020199 CPL Technical Cessna 64/100 --/-- 27/05/2025 FAIL
Specific 182T
2108 19850670 P-24467409 CPL Aviation - 78/100 --/-- 27/05/2025 PASS
Meteorology
2109 19850670 P-24467409 CPL Air - 66/100 --/-- 27/05/2025 FAIL
Regulation
2110 19850671 P-23462193 CPL Air - 75/100 --/-- 27/05/2025 PASS
Navigation

Wed May 28 2025 18:23:11 page 92 of 107


S.No Roll No Computer Lic. Subject Aircraft Obj Essay ResultDate Status
No Category Marks Marks
2111 19850672 P-25460582 CPL Aviation - 74/100 --/-- 27/05/2025 PASS
Meteorology
2112 19850673 P-25460331 CPL Air - 66/100 --/-- 27/05/2025 FAIL
Regulation
2113 19850674 P-24467315 CPL Air - 74/100 --/-- 27/05/2025 PASS
Navigation
2114 19850675 P-24461726 CPL Technical Cessna 62/100 --/-- 27/05/2025 FAIL
Specific 172 R
2115 19850676 P-18454056 CPL Technical Cessna 86/100 --/-- 27/05/2025 PASS
Specific 182T
2116 19850677 P-24467380 CPL Air - 78/100 --/-- 27/05/2025 PASS
Regulation
2117 19850678 P-24463606 CPL Air - 62/100 --/-- 27/05/2025 FAIL
Regulation
2118 19850679 P-25460864 CPL Air - --/100 --/-- 27/05/2025 Absent
Navigation
2119 19850680 P-24463055 CPL Air - 82/100 --/-- 27/05/2025 PASS
Regulation
2120 19850681 P-21461877 CPL Air - 64/100 --/-- 27/05/2025 FAIL
Navigation
2121 19850682 P-25461540 CPL Aviation - 56/100 --/-- 27/05/2025 FAIL
Meteorology
2122 19850683 P-24463335 CPL Air - 87/100 --/-- 27/05/2025 PASS
Navigation
2123 19850684 P-24463783 CPL Aviation - 54/100 --/-- 27/05/2025 FAIL
Meteorology
2124 19850685 P-25460637 CPL Technical - 69/100 --/-- 27/05/2025 FAIL
General
2125 19850686 P-24462039 CPL Air - 75/100 --/-- 27/05/2025 PASS
Navigation
2126 19850687 P-25461768 CPL Air - 70/100 --/-- 27/05/2025 PASS
Regulation
2127 19850688 P-24465423 CPL Technical - 75/100 --/-- 27/05/2025 PASS
General
2128 19850689 P-22462640 CPL Aviation - 82/100 --/-- 27/05/2025 PASS
Meteorology
2129 19850690 P-23461798 CPL Technical - 76/100 --/-- 27/05/2025 PASS
General
2130 19850691 P-24465112 CPL Air - 74/100 --/-- 27/05/2025 PASS
Navigation
2131 19850692 P-25462433 CPL Aviation - 74/100 --/-- 27/05/2025 PASS
Meteorology
2132 19850693 P-25461391 CPL Technical - 72/100 --/-- 27/05/2025 PASS
General
2133 19850694 P-25462053 CPL Air - 86/100 --/-- 27/05/2025 PASS
Regulation
2134 19850695 P-21460687 CPL Air - --/100 --/-- 27/05/2025 Absent
Navigation

Wed May 28 2025 18:23:11 page 93 of 107


S.No Roll No Computer Lic. Subject Aircraft Obj Essay ResultDate Status
No Category Marks Marks
2135 19850696 P-22463352 CPL Technical Diamond 98/100 --/-- 27/05/2025 PASS
Specific DA-42
Thielert
2136 19850697 P-24463214 CPL Air - 58/100 --/-- 27/05/2025 FAIL
Regulation
2137 19850698 P-25460798 CPL Technical - 84/100 --/-- 27/05/2025 PASS
General
2138 19850698 P-25460798 CPL Technical Cessna 84/100 --/-- 27/05/2025 PASS
Specific 172 R
2139 19850699 P-24464923 CPL Air - 68/100 --/-- 27/05/2025 FAIL
Regulation
2140 19850700 P-24461406 CPL Air - 80/100 --/-- 27/05/2025 PASS
Navigation
2141 19850701 P-21461370 CPL Technical Cessna 86/100 --/-- 27/05/2025 PASS
Specific 182T
2142 19850702 P-25462461 CPL Aviation - 94/100 --/-- 27/05/2025 PASS
Meteorology
2143 19850702 P-25462461 CPL Air - 92/100 --/-- 27/05/2025 PASS
Regulation
2144 19850703 P-25461867 CPL Aviation - 76/100 --/-- 27/05/2025 PASS
Meteorology
2145 19850703 P-25461867 CPL Air - 70/100 --/-- 27/05/2025 PASS
Regulation
2146 19850704 P-23461472 CPL Aviation - --/100 --/-- 27/05/2025 Absent
Meteorology
2147 19850705 P-24464919 CPL Air - 61/100 --/-- 27/05/2025 FAIL
Navigation
2148 19850706 P-24467326 CPL Technical - --/100 --/-- 27/05/2025 Absent
General
2149 19850706 P-24467326 CPL Technical Cessna 86/100 --/-- 27/05/2025 PASS
Specific 172 R
2150 19850707 P-22462939 CPL Air - 70/100 --/-- 27/05/2025 PASS
Navigation
2151 19850708 P-24462691 CPL Air - 82/100 --/-- 27/05/2025 PASS
Navigation
2152 19850709 P-24466155 CPL Air - 72/100 --/-- 27/05/2025 PASS
Regulation
2153 19850710 P-23461834 CPL Technical - 71/100 --/-- 27/05/2025 PASS
General
2154 19850711 P-17453808 CPL Technical Cessna 80/100 --/-- 27/05/2025 PASS
Specific 182T
2155 19850712 P-24465146 CPL Air - --/100 --/-- 27/05/2025 Absent
Navigation
2156 19850713 P-25460014 CPL Air - 60/100 --/-- 27/05/2025 FAIL
Navigation
2157 19850714 P-24461748 CPL Aviation - 56/100 --/-- 27/05/2025 FAIL
Meteorology

Wed May 28 2025 18:23:11 page 94 of 107


S.No Roll No Computer Lic. Subject Aircraft Obj Essay ResultDate Status
No Category Marks Marks
2158 19850715 P-25462421 CPL Aviation - 70/100 --/-- 27/05/2025 PASS
Meteorology
2159 19850716 P-24465535 CPL Air - 64/100 --/-- 27/05/2025 FAIL
Regulation
2160 19850717 P-25462089 CPL Air - 78/100 --/-- 27/05/2025 PASS
Navigation
2161 19850718 P-24462373 CPL Technical - 70/100 --/-- 27/05/2025 PASS
General
2162 19850719 P-24467368 CPL Air - 64/100 --/-- 27/05/2025 FAIL
Regulation
2163 19850720 P-18454078 CPL Air - 63/100 --/-- 27/05/2025 FAIL
Navigation
2164 19850721 P-23462891 CPL Technical - 74/100 --/-- 27/05/2025 PASS
General
2165 19850722 P-25461313 CPL Air - 62/100 --/-- 27/05/2025 FAIL
Regulation
2166 19850723 P-22461301 CPL Technical Diamond --/100 --/-- 27/05/2025 Absent
Specific DA 40
Thielert
2167 19850724 P-24462081 CPL Air - 56/100 --/-- 27/05/2025 FAIL
Navigation
2168 19850725 P-24467375 CPL Aviation - 70/100 --/-- 27/05/2025 PASS
Meteorology
2169 19850726 P-24462904 CPL Air - 58/100 --/-- 27/05/2025 FAIL
Regulation
2170 19850727 P-24461753 CPL Aviation - 70/100 --/-- 27/05/2025 PASS
Meteorology
2171 19850727 P-24461753 CPL Air - 50/100 --/-- 27/05/2025 FAIL
Regulation
2172 19850728 P-19462030 CPL Technical - 74/100 --/-- 27/05/2025 PASS
General
2173 19850729 P-24463336 CPL Air - 70/100 --/-- 27/05/2025 PASS
Navigation
2174 19850730 P-25461401 CPL Air - 65/100 --/-- 27/05/2025 FAIL
Navigation
2175 19850731 P-23464190 CPL Technical - 63/100 --/-- 27/05/2025 FAIL
General
2176 19850732 P-25461707 CPL Aviation - 70/100 --/-- 27/05/2025 PASS
Meteorology
2177 19850733 P-23465066 CPL Air - 84/100 --/-- 27/05/2025 PASS
Regulation
2178 19850734 P-25461498 CPL Aviation - 80/100 --/-- 27/05/2025 PASS
Meteorology
2179 19850735 P-25460089 CPL Aviation - 72/100 --/-- 27/05/2025 PASS
Meteorology
2180 19850736 P-25461982 CPL Aviation - 40/100 --/-- 27/05/2025 FAIL
Meteorology

Wed May 28 2025 18:23:11 page 95 of 107


S.No Roll No Computer Lic. Subject Aircraft Obj Essay ResultDate Status
No Category Marks Marks
2181 19850737 P-25461468 CPL Air - 68/100 --/-- 27/05/2025 FAIL
Regulation
2182 19850738 P-24466137 CPL Air - 78/100 --/-- 27/05/2025 PASS
Regulation
2183 19850739 P-24466894 CPL Air - 72/100 --/-- 27/05/2025 PASS
Navigation
2184 19850740 P-25462193 CPL Aviation - 72/100 --/-- 27/05/2025 PASS
Meteorology
2185 19850741 P-24464502 CPL Air - 73/100 --/-- 27/05/2025 PASS
Navigation
2186 19850742 P-25460617 CPL Aviation - 76/100 --/-- 27/05/2025 PASS
Meteorology
2187 19850743 P-24464258 CPL Air - 87/100 --/-- 27/05/2025 PASS
Navigation
2188 19850744 P-21462249 CPL Air - 56/100 --/-- 27/05/2025 FAIL
Regulation
2189 19850745 P-25461703 CPL Aviation - 90/100 --/-- 27/05/2025 PASS
Meteorology
2190 19850746 P-25460726 CPL Aviation - 64/100 --/-- 27/05/2025 FAIL
Meteorology
2191 19850747 P-25460386 CPL Aviation - --/100 --/-- 27/05/2025 Absent
Meteorology
2192 19850748 P-24464662 CPL Air - 74/100 --/-- 27/05/2025 PASS
Regulation
2193 19850749 P-24464319 CPL Air - 66/100 --/-- 27/05/2025 FAIL
Navigation
2194 19850750 P-24464770 CPL Air - 71/100 --/-- 27/05/2025 PASS
Navigation
2195 19850751 P-24467061 CPL Air - 72/100 --/-- 27/05/2025 PASS
Regulation
2196 19850752 P-25462393 CPL Air - 52/100 --/-- 27/05/2025 FAIL
Navigation
2197 19850753 P-23461115 CPL Air - 64/100 --/-- 27/05/2025 FAIL
Regulation
2198 19850754 P-20460733 CPL Technical TECNAM 92/100 --/-- 27/05/2025 PASS
Specific P2006T
2199 19850755 P-25461750 CPL Aviation - 52/100 --/-- 27/05/2025 FAIL
Meteorology
2200 19850756 P-25461977 CPL Technical - 78/100 --/-- 27/05/2025 PASS
General
2201 19850757 P-24462333 CPL Air - --/100 --/-- 27/05/2025 Absent
Navigation
2202 19850758 P-25461450 CPL Air - 83/100 --/-- 27/05/2025 PASS
Navigation
2203 19850759 P-21461557 CPL Technical TECNAM 94/100 --/-- 27/05/2025 PASS
Specific P2006T
2204 19850760 P-24466708 CPL Air - 78/100 --/-- 27/05/2025 PASS
Regulation

Wed May 28 2025 18:23:11 page 96 of 107


S.No Roll No Computer Lic. Subject Aircraft Obj Essay ResultDate Status
No Category Marks Marks
2205 19850761 P-23464078 CPL Aviation - 86/100 --/-- 27/05/2025 PASS
Meteorology
2206 19850761 P-23464078 CPL Technical Diamond 84/100 --/-- 27/05/2025 PASS
Specific DA-42
Thielert
2207 19850762 P-25462307 CPL Air - 76/100 --/-- 27/05/2025 PASS
Regulation
2208 19850763 P-25461331 CPL Air - 58/100 --/-- 27/05/2025 FAIL
Regulation
2209 19850764 P-25462214 CPL Aviation - 92/100 --/-- 27/05/2025 PASS
Meteorology
2210 19850765 P-24464559 CPL Air - 52/100 --/-- 27/05/2025 FAIL
Navigation
2211 19850766 P-17453658 CPL Aviation - 70/100 --/-- 27/05/2025 PASS
Meteorology
2212 19850767 P-25461570 CPL Aviation - 82/100 --/-- 27/05/2025 PASS
Meteorology
2213 19850767 P-25461570 CPL Air - 86/100 --/-- 27/05/2025 PASS
Regulation
2214 19850768 P-24465740 CPL Air - 76/100 --/-- 27/05/2025 PASS
Regulation
2215 19850769 P-24467169 CPL Aviation - 78/100 --/-- 27/05/2025 PASS
Meteorology
2216 19850770 P-25461568 CPL Air - 88/100 --/-- 27/05/2025 PASS
Regulation
2217 19850771 P-24467242 CPL Air - 60/100 --/-- 27/05/2025 FAIL
Regulation
2218 19850771 P-24467242 CPL Technical - 42/100 --/-- 27/05/2025 FAIL
General
2219 19850772 P-25460899 CPL Technical Diamond 82/100 --/-- 27/05/2025 PASS
Specific D A 40
Lyco
2220 19850773 P-24463196 CPL Air - 68/100 --/-- 27/05/2025 FAIL
Regulation
2221 19850774 P-24464196 CPL Air - 61/100 --/-- 27/05/2025 FAIL
Navigation
2222 19850775 P-24465700 CPL Air - 70/100 --/-- 27/05/2025 PASS
Regulation
2223 19850776 P-25460101 CPL Air - 70/100 --/-- 27/05/2025 PASS
Regulation
2224 19850777 P-24461601 CPL Air - 78/100 --/-- 27/05/2025 PASS
Regulation
2225 19850778 P-25461585 CPL Air - --/100 --/-- 27/05/2025 Absent
Regulation
2226 19850779 P-24466159 CPL Air - 68/100 --/-- 27/05/2025 FAIL
Regulation
2227 19850779 P-24466159 CPL Technical - 65/100 --/-- 27/05/2025 FAIL
General

Wed May 28 2025 18:23:11 page 97 of 107


S.No Roll No Computer Lic. Subject Aircraft Obj Essay ResultDate Status
No Category Marks Marks
2228 19850780 P-22460687 CPL Air - 75/100 --/-- 27/05/2025 PASS
Navigation
2229 19850781 P-25462507 CPL Aviation - 74/100 --/-- 27/05/2025 PASS
Meteorology
2230 19850782 P-25462445 CPL Air - 70/100 --/-- 27/05/2025 PASS
Navigation
2231 19850783 P-22463150 CPL Air - 44/100 --/-- 27/05/2025 FAIL
Regulation
2232 19850784 P-24467369 CPL Air - 76/100 --/-- 27/05/2025 PASS
Regulation
2233 19850785 P-24464742 CPL Aviation - 74/100 --/-- 27/05/2025 PASS
Meteorology
2234 19850786 P-24466754 CPLCG Air - 91/100 --/-- 27/05/2025 PASS
(Defence) Navigation
Comp
2235 19850787 P-25460915 CPL Air - 76/100 --/-- 27/05/2025 PASS
Regulation
2236 19850788 P-23461665 CPL Air - 54/100 --/-- 27/05/2025 FAIL
Regulation
2237 19850789 P-25461316 CPL Aviation - 88/100 --/-- 27/05/2025 PASS
Meteorology
2238 19850789 P-25461316 CPL Air - 88/100 --/-- 27/05/2025 PASS
Regulation
2239 19850790 P-25461611 CPL Air - --/100 --/-- 27/05/2025 Absent
Regulation
2240 19850791 P-24467089 CPL Technical Diamond 86/100 --/-- 27/05/2025 PASS
Specific DA-42
Thielert
2241 19850792 P-24467008 CPL Technical Cessna --/100 --/-- 27/05/2025 Absent
Specific 172 R
2242 19850793 P-22460597 CPL Air - 68/100 --/-- 27/05/2025 FAIL
Navigation
2243 19850794 P-24460630 CPL Technical Piper --/100 --/-- 27/05/2025 Absent
Specific PA-28-181
Archer III
TAE-125
Engine
2244 19850795 P-24463817 CPL Air - 80/100 --/-- 27/05/2025 PASS
Regulation
2245 19850796 P-23464227 CPL Air - 56/100 --/-- 27/05/2025 FAIL
Regulation
2246 19850797 P-23463548 CPL Technical TECNAM 90/100 --/-- 27/05/2025 PASS
Specific P2006T
2247 19850798 P-24466546 CPL Aviation - 66/100 --/-- 27/05/2025 FAIL
Meteorology
2248 19850799 P-24465726 CPL Air - 50/100 --/-- 27/05/2025 FAIL
Regulation
2249 19850800 P-25462453 CPL Aviation - 80/100 --/-- 27/05/2025 PASS
Meteorology

Wed May 28 2025 18:23:11 page 98 of 107


S.No Roll No Computer Lic. Subject Aircraft Obj Essay ResultDate Status
No Category Marks Marks
2250 19850801 P-24466613 CPL Technical - 79/100 --/-- 27/05/2025 PASS
General
2251 19850802 P-21461444 CPL Air - --/100 --/-- 27/05/2025 Absent
Navigation
2252 19850803 P-23462573 CPL Technical Cessna 84/100 --/-- 27/05/2025 PASS
Specific 172R
Thielert
2253 19850804 P-24461372 CPL Technical Cessna 86/100 --/-- 27/05/2025 PASS
Specific 172 R
2254 19850805 P-25462570 CPL Aviation - 82/100 --/-- 27/05/2025 PASS
Meteorology
2255 19850806 P-24464957 CPL Air - 66/100 --/-- 27/05/2025 FAIL
Regulation
2256 19850807 P-24461197 CPL Air - 82/100 --/-- 27/05/2025 PASS
Navigation
2257 19850808 P-23462014 CPL Technical - 60/100 --/-- 27/05/2025 FAIL
General
2258 19850809 P-20460646 CPL Air - --/100 --/-- 27/05/2025 Absent
Navigation
2259 19850810 P-24467286 CPL Aviation - 76/100 --/-- 27/05/2025 PASS
Meteorology
2260 19850811 P-25461870 CPL Air - 32/100 --/-- 27/05/2025 FAIL
Regulation
2261 19850812 P-25462268 CPL Air - 61/100 --/-- 27/05/2025 FAIL
Navigation
2262 19850813 P-22462113 CPL Air - 66/100 --/-- 27/05/2025 FAIL
Regulation
2263 19850814 P-24466885 CPL Aviation - 54/100 --/-- 27/05/2025 FAIL
Meteorology
2264 19850815 P-20460197 CPL Air - 84/100 --/-- 27/05/2025 PASS
Regulation
2265 19850816 P-23461770 CPL Aviation - 80/100 --/-- 27/05/2025 PASS
Meteorology
2266 19850816 P-23461770 CPL Air - 74/100 --/-- 27/05/2025 PASS
Regulation
2267 19850817 P-23460887 CPL Technical - 75/100 --/-- 27/05/2025 PASS
General
2268 19850818 P-23460852 CPL Air - 75/100 --/-- 27/05/2025 PASS
Navigation
2269 19850819 P-24460721 CPL Air - 66/100 --/-- 27/05/2025 FAIL
Navigation
2270 19850820 P-24460704 CPL Air - 76/100 --/-- 27/05/2025 PASS
Regulation
2271 19850821 P-24467455 CPL Air - --/100 --/-- 27/05/2025 Absent
Regulation
2272 19850822 P-24463506 CPL Air - 82/100 --/-- 27/05/2025 PASS
Regulation

Wed May 28 2025 18:23:11 page 99 of 107


S.No Roll No Computer Lic. Subject Aircraft Obj Essay ResultDate Status
No Category Marks Marks
2273 19850823 P-24465351 CPL Aviation - 80/100 --/-- 27/05/2025 PASS
Meteorology
2274 19850824 P-25462157 CPL Aviation - 90/100 --/-- 27/05/2025 PASS
Meteorology
2275 19850825 P-24462262 CPL Air - 56/100 --/-- 27/05/2025 FAIL
Regulation
2276 19850826 P-25460076 CPL Air - 52/100 --/-- 27/05/2025 FAIL
Regulation
2277 19850827 P-23460068 CPL Technical Diamond 90/100 --/-- 27/05/2025 PASS
Specific DA-42
Thielert
2278 19850828 P-24464431 CPL Air - 88/100 --/-- 27/05/2025 PASS
Regulation
2279 19850829 P-25460085 CPL Air - 80/100 --/-- 27/05/2025 PASS
Regulation
2280 19850830 P-24463507 CPL Technical Cessna 72/100 --/-- 27/05/2025 PASS
Specific 172 R
2281 19850831 P-25461437 CPL Air - 44/100 --/-- 27/05/2025 FAIL
Regulation
2282 19850832 P-25461665 CPL Air - 62/100 --/-- 27/05/2025 FAIL
Regulation
2283 19850833 P-24465150 CPL Air - 59/100 --/-- 27/05/2025 FAIL
Navigation
2284 19850834 P-18454174 CPL Technical Cessna 98/100 --/-- 27/05/2025 PASS
Specific 152 A
2285 19850835 P-25460530 CPL Air - 68/100 --/-- 27/05/2025 FAIL
Regulation
2286 19850836 P-24467081 CPL Air - 86/100 --/-- 27/05/2025 PASS
Navigation
2287 19850837 P-24462672 CPL Aviation - 94/100 --/-- 27/05/2025 PASS
Meteorology
2288 19850837 P-24462672 CPL Technical Diamond 96/100 --/-- 27/05/2025 PASS
Specific DA-42
Thielert
2289 19850838 P-25462288 CPL Air - 62/100 --/-- 27/05/2025 FAIL
Regulation
2290 19850839 P-24467246 CPL Air - 80/100 --/-- 27/05/2025 PASS
Regulation
2291 19850840 P-25461527 CPL Aviation - 78/100 --/-- 27/05/2025 PASS
Meteorology
2292 19850841 P-24464260 CPL Air - 78/100 --/-- 27/05/2025 PASS
Navigation
2293 19850842 P-24463897 CPL Air - 62/100 --/-- 27/05/2025 FAIL
Navigation
2294 19850843 P-25461698 CPL Air - 68/100 --/-- 27/05/2025 FAIL
Navigation
2295 19850843 P-25461698 CPL Technical Cessna 74/100 --/-- 27/05/2025 PASS
Specific 172 R

Wed May 28 2025 18:23:11 page 100 of 107


S.No Roll No Computer Lic. Subject Aircraft Obj Essay ResultDate Status
No Category Marks Marks
2296 19850844 P-24461088 CPL Air - 76/100 --/-- 27/05/2025 PASS
Navigation
2297 19850845 P-25462073 CPL Aviation - 78/100 --/-- 27/05/2025 PASS
Meteorology
2298 19850846 P-25461974 CPL Aviation - 82/100 --/-- 27/05/2025 PASS
Meteorology
2299 19850847 P-24463997 CPL Technical Diamond 90/100 --/-- 27/05/2025 PASS
Specific DA-42
Thielert
2300 19850848 P-24462087 CPL Air - 62/100 --/-- 27/05/2025 FAIL
Regulation
2301 19850849 P-17453053 CPL Technical Piper 64/100 --/-- 27/05/2025 FAIL
Specific PA-28-181
Archer III
TAE-125
Engine
2302 19850850 P-25462667 CPL Air - 74/100 --/-- 27/05/2025 PASS
Regulation
2303 19850851 P-17452770 CPL Technical Tecnam --/100 --/-- 27/05/2025 Absent
Specific P2008 JC
2304 19850852 P-24463150 CPL Air - 82/100 --/-- 27/05/2025 PASS
Navigation
2305 19850853 P-23462793 CPL Technical Tecnam P 72/100 --/-- 27/05/2025 PASS
Specific Mentor
2306 19850854 P-24464229 CPL Air - 72/100 --/-- 27/05/2025 PASS
Regulation
2307 19850855 P-23463884 CPL Air - 57/100 --/-- 27/05/2025 FAIL
Navigation
2308 19850856 P-24464188 CPL Air - 58/100 --/-- 27/05/2025 FAIL
Regulation
2309 19850857 P-24463979 CPL Aviation - 54/100 --/-- 27/05/2025 FAIL
Meteorology
2310 19850858 P-23463669 CPL Air - --/100 --/-- 27/05/2025 Absent
Navigation
2311 19850859 P-21461190 CPL Technical Diamond 88/100 --/-- 27/05/2025 PASS
Specific D A 42
Lycoming
2312 19850860 P-25461181 CPL Air - 85/100 --/-- 27/05/2025 PASS
Navigation
2313 19850861 P-24464235 CPL Technical - 74/100 --/-- 27/05/2025 PASS
General
2314 19850862 P-25460883 CPL Air - 72/100 --/-- 27/05/2025 PASS
Regulation
2315 19850863 P-23461439 CPL Air - 62/100 --/-- 27/05/2025 FAIL
Navigation
2316 19850864 P-23460175 CPL Air - --/100 --/-- 27/05/2025 Absent
Navigation
2317 19850865 P-25460841 CPL Air - 77/100 --/-- 27/05/2025 PASS
Navigation

Wed May 28 2025 18:23:11 page 101 of 107


S.No Roll No Computer Lic. Subject Aircraft Obj Essay ResultDate Status
No Category Marks Marks
2318 19850866 P-24461854 PPL Technical - --/100 --/-- 27/05/2025 Absent
General
2319 19850867 P-24465986 CPL Air - 70/100 --/-- 27/05/2025 PASS
Regulation
2320 19850868 P-24464027 CPL Aviation - 80/100 --/-- 27/05/2025 PASS
Meteorology
2321 19850869 P-25462522 CPL Air - 72/100 --/-- 27/05/2025 PASS
Regulation
2322 19850870 P-25461984 CPL Aviation - 82/100 --/-- 27/05/2025 PASS
Meteorology
2323 19850870 P-25461984 CPL Air - 74/100 --/-- 27/05/2025 PASS
Regulation
2324 19850871 P-24465738 CPL Air - 78/100 --/-- 27/05/2025 PASS
Regulation
2325 19850872 P-25460843 CPL Air - 60/100 --/-- 27/05/2025 FAIL
Regulation
2326 19850873 P-24460445 CPL Air - 66/100 --/-- 27/05/2025 FAIL
Regulation
2327 19850874 P-16451548 CPL Technical Diamond 86/100 --/-- 27/05/2025 PASS
Specific DA-42
Thielert
2328 19850875 P-25462590 CPL Aviation - 84/100 --/-- 27/05/2025 PASS
Meteorology
2329 19850875 P-25462590 CPL Air - 68/100 --/-- 27/05/2025 FAIL
Regulation
2330 19850876 P-24465199 CPL Air - 58/100 --/-- 27/05/2025 FAIL
Regulation
2331 19850877 P-25460278 CPL Air - 58/100 --/-- 27/05/2025 FAIL
Regulation
2332 19850878 P-21460454 CPL Air - 88/100 --/-- 27/05/2025 PASS
Navigation
2333 19850879 P-24462551 CPL Technical - 48/100 --/-- 27/05/2025 FAIL
General
2334 19850880 P-21462577 CPL Aviation - 50/100 --/-- 27/05/2025 FAIL
Meteorology
2335 19850881 P-23464930 CPL Air - 57/100 --/-- 27/05/2025 FAIL
Navigation
2336 19850882 P-24466539 CPL Aviation - 84/100 --/-- 27/05/2025 PASS
Meteorology
2337 19850883 P-13448986 CPLCG Air - 60/100 --/-- 27/05/2025 FAIL
(Conversion) Navigation
Comp
2338 19850884 P-24467251 CPL Aviation - 84/100 --/-- 27/05/2025 PASS
Meteorology
2339 19850885 P-11034536 CPL Technical TECNAM 82/100 --/-- 27/05/2025 PASS
Specific P2006T
2340 19850886 P-23460383 CPL Air - 75/100 --/-- 27/05/2025 PASS
Navigation

Wed May 28 2025 18:23:11 page 102 of 107


S.No Roll No Computer Lic. Subject Aircraft Obj Essay ResultDate Status
No Category Marks Marks
2341 19850887 P-24466761 CPL Air - 80/100 --/-- 27/05/2025 PASS
Regulation
2342 19850888 P-24465113 CPL Air - 74/100 --/-- 27/05/2025 PASS
Regulation
2343 19850889 P-24465860 CPL Air - 66/100 --/-- 27/05/2025 FAIL
Regulation
2344 19850890 P-25462345 CPL Aviation - 76/100 --/-- 27/05/2025 PASS
Meteorology
2345 19850891 P-25462122 CPL Aviation - 88/100 --/-- 27/05/2025 PASS
Meteorology
2346 19850892 P-23462137 CPL Air - --/100 --/-- 27/05/2025 Absent
Navigation
2347 19850893 P-24465178 CPL Aviation - 88/100 --/-- 27/05/2025 PASS
Meteorology
2348 19850893 P-24465178 CPL Technical Diamond 86/100 --/-- 27/05/2025 PASS
Specific DA-42
Thielert
2349 19850894 P-24463970 CPL Air - 68/100 --/-- 27/05/2025 FAIL
Navigation
2350 19850894 P-24463970 CPL Aviation - 84/100 --/-- 27/05/2025 PASS
Meteorology
2351 19850895 P-24461866 CPL Technical - --/100 --/-- 27/05/2025 Absent
General
2352 19850896 P-24460299 CPL Air - 72/100 --/-- 27/05/2025 PASS
Navigation
2353 19850897 P-25462346 CPL Air - 70/100 --/-- 27/05/2025 PASS
Regulation
2354 19850898 P-20460621 CPL Technical Piper 86/100 --/-- 27/05/2025 PASS
Specific PA-28-181
Archer III
TAE-125
Engine
2355 19850899 P-24463449 CPL Air - --/100 --/-- 27/05/2025 Absent
Regulation
2356 19850900 P-24464579 CPL Air - 80/100 --/-- 27/05/2025 PASS
Regulation
2357 19850901 P-24466756 CPL Aviation - 84/100 --/-- 27/05/2025 PASS
Meteorology
2358 19850902 P-23463414 CPL Technical - 61/100 --/-- 27/05/2025 FAIL
General
2359 19850903 P-24466053 CPL Air - 63/100 --/-- 27/05/2025 FAIL
Navigation
2360 19850904 P-24462762 CPL Technical - 74/100 --/-- 27/05/2025 PASS
General
2361 19850904 P-24462762 CPL Technical Cessna 64/100 --/-- 27/05/2025 FAIL
Specific 172 R
2362 19850905 P-24466278 CPL Air - 64/100 --/-- 27/05/2025 FAIL
Navigation

Wed May 28 2025 18:23:11 page 103 of 107


S.No Roll No Computer Lic. Subject Aircraft Obj Essay ResultDate Status
No Category Marks Marks
2363 19850906 P-23462405 CPLCG Air - 58/100 --/-- 27/05/2025 FAIL
(Conversion) Navigation
Comp
2364 19850907 P-19460088 CPL Aviation - 74/100 --/-- 27/05/2025 PASS
Meteorology
2365 19850908 P-23460016 CPL Aviation - --/100 --/-- 27/05/2025 Absent
Meteorology
2366 19850908 P-23460016 CPL Air - --/100 --/-- 27/05/2025 Absent
Regulation
2367 19850909 P-24462131 CPL Air - 75/100 --/-- 27/05/2025 PASS
Navigation
2368 19850910 P-21460676 CPL Aviation - 46/100 --/-- 27/05/2025 FAIL
Meteorology
2369 19850911 P-22460028 CPL Technical - 66/100 --/-- 27/05/2025 FAIL
General
2370 19850912 P-18455592 CPL Air - 67/100 --/-- 27/05/2025 FAIL
Navigation
2371 19850913 P-20461305 CPL Air - 74/100 --/-- 27/05/2025 PASS
Navigation
2372 19850914 P-25460104 CPL Aviation - 64/100 --/-- 27/05/2025 FAIL
Meteorology
2373 19850915 P-19462700 CPL Aviation - --/100 --/-- 27/05/2025 Absent
Meteorology
2374 19850916 P-25460121 CPL Air - --/100 --/-- 27/05/2025 Absent
Regulation
2375 19850917 P-24462037 CPL Aviation - 48/100 --/-- 27/05/2025 FAIL
Meteorology
2376 19850917 P-24462037 CPL Air - 44/100 --/-- 27/05/2025 FAIL
Regulation
2377 19850918 P-24466954 CPL Aviation - 92/100 --/-- 27/05/2025 PASS
Meteorology
2378 19850918 P-24466954 CPL Air - 82/100 --/-- 27/05/2025 PASS
Regulation
2379 19850919 P-24462494 CPL Air - 58/100 --/-- 27/05/2025 FAIL
Regulation
2380 19850920 P-25462321 CPL Aviation - 92/100 --/-- 27/05/2025 PASS
Meteorology
2381 19850920 P-25462321 CPL Air - 80/100 --/-- 27/05/2025 PASS
Regulation
2382 19850921 P-24462573 CPL Air - --/100 --/-- 27/05/2025 Absent
Regulation
2383 19850922 P-24463838 CPL Technical Diamond 80/100 --/-- 27/05/2025 PASS
Specific DA-42
Thielert
2384 19850923 P-24462734 CPL Air - 49/100 --/-- 27/05/2025 FAIL
Navigation
2385 19850924 P-24466595 CPL Technical Cessna 62/100 --/-- 27/05/2025 FAIL
Specific 172 R

Wed May 28 2025 18:23:11 page 104 of 107


S.No Roll No Computer Lic. Subject Aircraft Obj Essay ResultDate Status
No Category Marks Marks
2386 19850925 P-25462491 CPL Aviation - 60/100 --/-- 27/05/2025 FAIL
Meteorology
2387 19850925 P-25462491 CPL Air - 70/100 --/-- 27/05/2025 PASS
Regulation
2388 19850926 P-24464414 CPL Air - 80/100 --/-- 27/05/2025 PASS
Regulation
2389 19850927 P-24463574 CPL Air - 78/100 --/-- 27/05/2025 PASS
Navigation
2390 19850928 P-24463983 CPL Air - 47/100 --/-- 27/05/2025 FAIL
Navigation
2391 19850929 P-21462459 CPL Technical Diamond 82/100 --/-- 27/05/2025 PASS
Specific DA-42
Thielert
2392 19850930 P-24465943 CPL Air - --/100 --/-- 27/05/2025 Absent
Navigation
2393 19850931 P-21462305 CPL Technical Cessna 88/100 --/-- 27/05/2025 PASS
Specific 172 R
2394 19850932 P-24460619 CPL Technical Diamond 98/100 --/-- 27/05/2025 PASS
Specific DA-42
Thielert
2395 19850933 P-25462455 CPL Air - 84/100 --/-- 27/05/2025 PASS
Regulation
2396 19850934 P-25460328 CPL Air - 50/100 --/-- 27/05/2025 FAIL
Regulation
2397 19850935 P-24467466 CPL Aviation - 94/100 --/-- 27/05/2025 PASS
Meteorology
2398 19850935 P-24467466 CPL Air - 90/100 --/-- 27/05/2025 PASS
Regulation
2399 19850936 P-24465891 CPL Technical - 72/100 --/-- 27/05/2025 PASS
General
2400 19850937 P-23461789 CPL Technical - 89/100 --/-- 27/05/2025 PASS
General
2401 19850938 P-21462515 CPL Air - 53/100 --/-- 27/05/2025 FAIL
Navigation
2402 19850939 P-25460945 CPL Air - 70/100 --/-- 27/05/2025 PASS
Regulation
2403 19850940 P-25461638 CPL Aviation - 84/100 --/-- 27/05/2025 PASS
Meteorology
2404 19850941 P-25462259 CPL Aviation - 88/100 --/-- 27/05/2025 PASS
Meteorology
2405 19850942 P-24464292 CPL Air - 50/100 --/-- 27/05/2025 FAIL
Regulation
2406 19850943 P-22460203 CPL Air - --/100 --/-- 27/05/2025 Absent
Navigation
2407 19850943 P-22460203 CPL Aviation - --/100 --/-- 27/05/2025 Absent
Meteorology
2408 19850944 P-24467232 CPL Aviation - 72/100 --/-- 27/05/2025 PASS
Meteorology

Wed May 28 2025 18:23:11 page 105 of 107


S.No Roll No Computer Lic. Subject Aircraft Obj Essay ResultDate Status
No Category Marks Marks
2409 19850945 P-24466347 CPL Aviation - 72/100 --/-- 27/05/2025 PASS
Meteorology
2410 19850946 P-25462427 CPL Aviation - 36/100 --/-- 27/05/2025 FAIL
Meteorology
2411 19850946 P-25462427 CPL Technical Cessna 54/100 --/-- 27/05/2025 FAIL
Specific 172 R
2412 19850947 P-18455272 CPL Technical Diamond 82/100 --/-- 27/05/2025 PASS
Specific DA 40
Thielert
2413 19850948 P-24463584 CPL Air - 80/100 --/-- 27/05/2025 PASS
Regulation
2414 19850949 P-24466933 CPL Aviation - 76/100 --/-- 27/05/2025 PASS
Meteorology
2415 19850950 P-23461245 CPL Aviation - --/100 --/-- 27/05/2025 Absent
Meteorology
2416 19850951 P-25460498 CPL Air - 57/100 --/-- 27/05/2025 FAIL
Navigation
2417 19850952 P-23462647 CPL Air - 78/100 --/-- 27/05/2025 PASS
Regulation
2418 19850953 P-24463591 CPL Aviation - 70/100 --/-- 27/05/2025 PASS
Meteorology
2419 19850954 P-21461841 CPL Technical Piper 78/100 --/-- 27/05/2025 PASS
Specific PA-28-181
Archer III
TAE-125
Engine
2420 19850955 P-22461243 CPL Aviation - --/100 --/-- 27/05/2025 Absent
Meteorology
2421 19850955 P-22461243 CPL Air - --/100 --/-- 27/05/2025 Absent
Regulation
2422 19850956 P-23460473 CPL Technical Tecnam P --/100 --/-- 27/05/2025 Absent
Specific Mentor
2423 19850957 P-24466951 CPL Air - 84/100 --/-- 27/05/2025 PASS
Regulation
2424 19850958 P-24466697 CPL Air - 56/100 --/-- 27/05/2025 FAIL
Regulation
2425 19850959 P-24465045 CPL Air - 54/100 --/-- 27/05/2025 FAIL
Navigation
2426 19850960 P-24466978 CPL Air - 50/100 --/-- 27/05/2025 FAIL
Navigation
2427 19850961 P-24463767 CPL Air - 76/100 --/-- 27/05/2025 PASS
Regulation
2428 19850962 P-23462351 CPL Technical Cessna 80/100 --/-- 27/05/2025 PASS
Specific 152 A
2429 19850963 P-25461728 CPL Air - --/100 --/-- 27/05/2025 Absent
Regulation
2430 19850964 P-21460496 CPL Air - 51/100 --/-- 27/05/2025 FAIL
Navigation

Wed May 28 2025 18:23:11 page 106 of 107


S.No Roll No Computer Lic. Subject Aircraft Obj Essay ResultDate Status
No Category Marks Marks
2431 19850965 P-25461575 CPL Aviation - 72/100 --/-- 27/05/2025 PASS
Meteorology
2432 19850965 P-25461575 CPL Air - 60/100 --/-- 27/05/2025 FAIL
Regulation
2433 19850966 P-24461527 CPL Technical Diamond --/100 --/-- 27/05/2025 Absent
Specific DA 42
Austro
2434 19850967 P-25461040 CPL Air - 84/100 --/-- 27/05/2025 PASS
Regulation
2435 19850968 P-25460998 CPL Technical - 78/100 --/-- 27/05/2025 PASS
General
2436 19850969 P-24464402 CPL Technical Diamond 94/100 --/-- 27/05/2025 PASS
Specific DA-42
Thielert
2437 19850970 P-25460952 CPL Technical - 76/100 --/-- 27/05/2025 PASS
General
2438 19850971 P-24464288 CPL Air - 87/100 --/-- 27/05/2025 PASS
Navigation
2439 19850972 P-24460359 CPL Technical - 92/100 --/-- 27/05/2025 PASS
General
2440 19850973 P-25461909 CPL Aviation - 68/100 --/-- 27/05/2025 FAIL
Meteorology
2441 19850973 P-25461909 CPL Air - 76/100 --/-- 27/05/2025 PASS
Regulation
2442 19850974 P-25462019 CPL Aviation - 64/100 --/-- 27/05/2025 FAIL
Meteorology
2443 19850975 P-23463640 CPL Technical - 78/100 --/-- 27/05/2025 PASS
General
2444 19850976 P-21461192 CPL Air - 52/100 --/-- 27/05/2025 FAIL
Navigation
2445 19850977 P-24460990 CPL Air - 70/100 --/-- 27/05/2025 PASS
Navigation

Wed May 28 2025 18:23:11 page 107 of 107

You might also like