KEMBAR78
Differential Equation Module 2 | PDF
0% found this document useful (0 votes)
85 views79 pages

Differential Equation Module 2

Kerala University BSc Mathematics Semester 5 Differential Equation notes.
Copyright
© © All Rights Reserved
We take content rights seriously. If you suspect this is your content, claim it here.
Available Formats
Download as PDF or read online on Scribd
0% found this document useful (0 votes)
85 views79 pages

Differential Equation Module 2

Kerala University BSc Mathematics Semester 5 Differential Equation notes.
Copyright
© © All Rights Reserved
We take content rights seriously. If you suspect this is your content, claim it here.
Available Formats
Download as PDF or read online on Scribd
You are on page 1/ 79
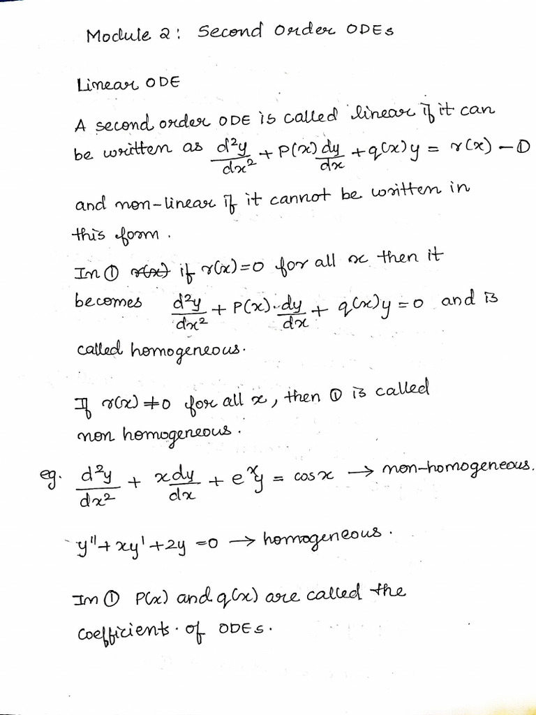
Moclule 2° Second Oude. ODEs Limeast ODE A second onde ODE 15 calted Sinense Ip tt com be written. a» SS, + PO A aqioy = W(X) —O and men-linease if it cannot be written in 4his how. In ve iL yx) =0 dor canted aa + Poa 4. gdy =o and all oc then it Caltech hemogenzous: then © 13 called 4 AO) +o dor al % y mer hemogenzou® : 2 Aty 4 ed ey = cose > Men-homogencous, dar ax ~ yl xy! +2y 0 — horrmgeneou® : am Plx) and gir) are cated the Coal piet ents - of Obes: eq: A \unction yshtx) ig called a solution. ob “he second onder ope (Mon some intoway Xk Wx) , nix), n'leo ene and Tf we repice. y byh, giby ns Yby blame vail satishy. Superposition, Pruneple » Conatdesc He hemogenous cocond oxdese OOF pespostion y+ plsdy + ql) 4 =0- The Sw Je steetes princple. 0% Kpaant’ Vineoty prindp' that we obtain tether solutions [yore gue ene - by adeling shen ov by muliplyang thom vst any eonstarm's + Consiclor “the dijjerartial equatim yy -o —O Take Y= ont tron Yl= cose We —sinn - ayy k f Yy = Sin 2 aw Sdution to O - Now consider y= ws % yl=sin2 Yl ~ ust = yay =o ie y= ws% isa soutien AO - Now. constder y¥ = tinge kd: y'= ws — $lin9e y" we ginn = OSX: = yay =0 ie ya sina £8 % wa sauuten of O- Hen superpasner prince ple veribed - Note+ <4 yond qa Om any Cy and Ca an tee W dwo fuockions then ga ay 24> ) ark ae von constants Te enous nea combine al, ys ard 42- fundamental Theoram fox the Homog Lineasu ODE- Fo & chorsgenovs sbranie oDe gt Fld * guy =© any Unease combination oy two leeds ot Ere enous dpom iatewel fis aqan a soction. of Q) m I, Proof, Consider. the homogenous ove a) glee d yg (my = 0 Let y, and yo be jis solutions, There We, have. yt plod yr +4004) 9058 yo'+ plodyat+ gfxdy2=0 —>@) To prove y= Gyitcaye is & solution Consider y"4 Ploedy!+ gldy = (yl +e2y2!) 40%) (aut cays) + gt) Cory +242) = cyl PCW) Cy! +400). yy + Co¥d! + P(x) aya! + 90%) C242 = [i's POO yt + 96%) yi) + Ca. [yee Yo + 4) 4a ; = te Frm Band & my tye | a. solution Thittal value. problem) ne wrclese homogenous Ode . YY PLady b> value problem Consist of the ua Ur2ar OPS together with the mittal %) = ko and YO) =k, used to deteamine tre two the general For the send o gimy =o” inital jhomogeno conditions 96 These conditfona ste ascbiteruy constants c, aod le equation a, the genexec, solution » yeeyitays and than the solution & called & porticaber solution of tne. aloove- ope paseien —Y am. Solve-the. Initial value pwblem. ylyy=o » Yrs, y'(o) = -O-5 soln. “the general solution isyac) Ws% + G sing . Crom-tneabove. Parblem) » Given yo=3 =P 22 q coso + Sino B= = Gee Y= —Csinx +c wse. Yy'6o) = -0-6 7-0-5 =C/ Sino +63,.c05 © Coa = -0°5 Y= Seosx —0-5 sinx is tho, paxkiular solemn Qn: Sein. Basi. consider fhe. homogenous ODE Y!+ p(x) y+ giady <0 : Oo Lok C,Yy and Coy be WK general solution whew, yyand Yo. One solutions of © Th yr.and yo are. nob proportional , then Byyat te a vasis % soluckions of 290 O - Ve A basis of, cotutions of © of an oper. tnhowal T 18 & paix a Uneasly independent coluons of © on Z. ( Two dunedions yrand Yo Uneasy dodependent tl; yyy + QYa. =O > G= Q=0 ane catled sulpsttution thak giz e" and oubions oF the ope nitial valur problem veuky by Y= e* axe the § gly =o - Then sowe the i yryno , yl=6 , y'(o)=-2 : yaeis-asolubon yize® glse% yt er — ylye eorXeX=o0 a yre* Ba solution . dse te. te 6% a y -é y" e % uv = hse Weye Cet - yee ts a solution - Yi dz es et mob a. ens tant Yh and Yo oor, Linea Node pendent DTH genoa souction Beyaeryt € de Yat e%t Ge Gave yto) = 6 > 6= qjeft Gee 6= Cte — yl= ee er - Co & yf(0) = @ -2 ' =p -Q= Q- Ci + Zy= & q-Cc2= 2 a q=4 c= > cyrt2= 6 Co = 6-2 C2 =4 * Ye Ber Aer & porctiatore Solution - Reduction of order Tho solution 7S lenown - dm. Find a basis of solutions ef tne Ove (2%) y"- aye y=o —O! sola By wispection , Yor joo Souter =| het y= ux be the second element othe bea Then, y!= wt cul! \ gl= ul oy U = au'au! o> (9296) (2cu"42u'') ~% (usc!) +UX =p (x20) woul 9 Cou!) 44% + (xo) Qu —WU=0 (09) xuh— 27ul +e artul— anu=o (xo) UNE %2u!-agu! =o (x22) u-+ acul— Qu! =o (o2=x) ue (x2) ul =O take ul=v (ara) vl C2) V =O (xx) dy 4 Cx) V=0 re Cx x) dv = -(x-2)V. dv. —(-2) 7 OM olx, 2 -A+ 2 atu) ca -(%-2) = ACK) Bx K=O ae Q=-A A=-2 o=l == B=l fav 2 2 +e v ee x-' on integrating unv se -gdnx * In (x=!) Srv = un |x-t] Ue v= Jat oe ie ub= toot 2 ay et x 2. du =_%-l aed du = fae ( ~) oe We dna tl = Yo=ux (in x1) = 9lnx +) 1 The general soluhon & Y=Q 4, +oYor ie Y= RC Xt (octnoe +1) Reductren. to ebiost ovcder..and solve, &m- axy = 3y! Qn gi-yl-o ee hr gtyi=e goin» ek g'= = OE tren O = ul w=0 du__u=0 ax duu. ae aK cu sdx. w on integrating 5 dn lul= +0 on lul = ert lul=e% e& \ul=e% cy U=q-e*%° => y'= q.e%’ — Wg e® dw dy 7 get de enintenating ay = 1e™ Fe, * Yyaqettte ts the souuhen . anya 3y! Let y!= u- OS anu'=3u. @xxdu . au ce ou. Bu axe OX: clu | a 7 ax On Wnkegrating Un jul =_3 Snlal+c a \nlot edolut_ cc % ‘ack 3 ful = we CQ — ay, gg cde ay = oie cde 1 =e $= 2x +e0, ub ¥ 2 Gacy 5 So. PG +02. Heme genous Linea OPES With. constant coed jtaents . The qersrcal form of, 0 chemogenous ODE wait, comkank coefficient 6 ye ay! theo _o whew o. and b axe constants: Le yoo’ be is sotubton., then yaed® ye ok sybetiture in © , we have . eh ah eons be le. od (AaA+b)=0, le, A aA+b =0 Sine eho ] AX. =0 je A aaa cottton of the equation A aAd+b=0 “this equation. TS alenown ab aunillary equator “te ee 7 ore. charackenisie equation et hy aod Ay axe the aos Of the ucla equation . cake}: Ayand As qa seal and custinet , ey the baste fort seldion is ohi™ efay, and she. queral, solution of, O. i¢ % Y= Cy eN% 4 eet case a: Real andl equal wots ie A= 42= A “ten tecgunna soutien “OO | iB y= + coxer* @ and basis 16 eh, neh® Case 3: Complex revotd* hadethe avers be Xa 1B rune soon ® yop / Basis ws eX%, . CSB.) @ *™ cine px ——————— on: Find the genera olution of yt-y oo soln Aundlleay equator 8 7\= 0° A=41, seal diaho ck wots + goon 16 Y= C ene eae =a1et+aqe ae an: sowe tre inthak value problen yl+y'—2y <0 yiod=4 7 yilo= -5 =e Pet a. A= 1,-2., veal distinct ovots - genau sourhor. y= geN%, ete: we eo ee eam C+ =4 Ce QC +20 =8- Cy -QQ=-5 3cq= 8, C=) Ctr =4. C2 = 4-) a ppg 2-The poatioler eouutteve ey-2 + a an: solve y+6 y! +4y =0 The characterise equator is M4 6A44 =0- = 6% [ae— axa! =-3-3, yeah equal rsots 2 The. genoxarl solution 1 Y =G te) en 8% an: sowe the inital value problen yey! +o-a5y =o ylo)=3 7 yi(o)=-35- ¢ she Chasackerbhe § equahon i ae ae A.A 40.85 =0 mn Aw At dyer 2 =-\to = ] —“hyith NN >>. | Graet =(itl2 Me The gerweal solution BY (+O. ‘) ylo)=3, => 3-(c+q0)e° 3 =q- \ “Be VAX Py = Ox- wxaLe 2 y Xb @ bien, ( om +e “| yu =@- ~Va% Yar) ® Lx axe +@(xLe Be y'Co)= +35. 7-35 = - 1x3 +a( 40!) — 3:5 = 43 4¢ =r 2s “ae —-3-6 435. 2 = 2 |: ww Exeutise Q.2 &r- Find a general solution - ‘ y"—0-aSy =o The auxillary equation | Ax 0-asS=0 N72 0-85 A=+0-5., soak Aplnct aots oo -0-5% The general soudim BY=Ge + Qe a y"436q =0 The aunillary equation & A*+36=0 ~> A -36 A= +]-3e A= 46i, campler r00%8 * 2 A= 0x6! x76, “The genmal eee (2 cos BX + CosinBa) We {4 Cos6x + csingx) 4 ) gts Aytrasy -o 2. - The charactenshe equation 1 AV 4A+4-5 =o A> -44Tie-10 2 = -44Je 2 as —ONT , Ape-3.22 -o-lt% ~3:22%, The general Solution B Y= Ge + (2 & 4) yay ly (144) y=o0 A*+ 4A +744 =0 a © 4+ \-4rr 2 =-4n ani 2 = -@4irl , -a@-mi Pt: the genual solution ® Y= ea tbe oe ee sin ax) Boy" erry! + Wy -o A* aTrA+ a17=0 Ax amt [an® am = a 2 Az-w.

ber~ . the genasal soln y= Grave Be yay ak’y'+ k4y =o “he choractesiztic eqn» A*+4ak>A+ kt=0 a= —ak*t [aka—4k4 AM 42 4% Slee “he. general Saln 1b y= G+ Om) e k 6 yM40.54y' + 0189+ Ty ~0 The chasacteriatic eqn tb. AX~10-54A 40-0189 Hp ce a "ross air ee ~ 10644 abr i @ — | = -0-O5 JT! | —o-2te 2The genwal soln Ps y= e Gg, cos Ire + Co Sin rx) > @ Fiod an ODE Qo: y!+ay!+by =0 for the. gee basi: 6% -4: ‘ 16) e® ne ABH Arve € oh gotn: guvere the bosid ot - : Se 2m on Deae es Ap = ~4'8 A= 26 and dA, = -43 cna the veal and datme anos of the choractesudhe » ~The chasactoustie eqn 1S. : (A-A)) (Anda) <0 od (-a-4) (A+43=0 => ATA H1118 =0 >. The ope vd gh tt yl y=o Wt ~fa% o ie we EX. J San -ax The bass ane € and «e 7 tA= “IB, Se are. the veal equal wok 2 The. chozackouBhe eqn 1 - (A+iz)> Ay eA+2=0 ~The ope 1 y'+ aBy!+2y =o 8) @satx , sm 20% cos 2X =» Ape en cos (91r%) . sin atx => @% Co > Aq oar are the comple WS. My4T*=0 = the ope > y"44TY =o (-1+ 2) % (-1- WWE) x. e Le : 1%) ‘ L(+ iWa% solo: & => A= wie 2. (~1-W2) x e => Ap = -1-N2. “The charachaahe eqn 3 (A-AD) (A-A2) =o | = Asie) CA (-1-3)) =0 | | Gr =D: | => (a2- (-1-i@DA - (-142) 4 + (-1+Ne) > AEA +A +A -1GA+ 14220 => M+ adtgro | 2. The ode 16 y'+2y! +3y <0 a ” aD BI ~31% ) e a gin al % BAM ~ 31% The basi, are @) % wsrlX and @ Sindy, e> Ae -3-(49°1 } ane the compl ere wots . “The wharacteatic eqn B- [a- (3.14 a1} [A- (-21-2:1)] =0 ® A%~ (-34-a-li)A ~(ca-aati)A+€2 +2111) (-3-- ai), > PP asldAtaliA 431A -aliAt 46144 Al > Arye 2A +1402 =O “The ODE > Gayl 14-024=0 Ud J x om: solve the inital value problem a Yleayeo, ylo=o2 yilo)= 5. goln the chauackerc Agni B A+4=0 => A\%2-4 = Aat{-4 = Acsat J The general aol 13 Y= e°*(c ws 3% 445M Bx) ylo= Oe ote 1. x I (« Wwso + &.sino) FS 4 =02 y = Cj SIN 2X 4302. WS 2. yo) = -1-5 SS -I'5 = -3c, sino+ 323.0" 7 3G=-15° 7 @= -05. “The soln & Y= (0-2 cos 3% — 0-5 51032) Z y"+4y!4 (m4) y -o- 4 ( The Charcwterushe eqn tb A44\ +144 20 ee 2 ~-44 [ane 44 Svar a "44+ ai — | A= -agari i a oa The geal etn yee *( C) Cos TTX + Co sin WX) gC) =1 Si. ( 4 cos Ty Co sin E) 2 eS e7'( ea), Coe le er £ See: B= PS a Hoe. frre sma + Tos x] + (ey eas 7% Ge. sin 1x) x-2xe* 2 ae = —-icqe sin + 61 Cae cost. ~2ne = Jer ac, WSTIX — 265077 ein TH7e y'( 4) = -2 2rd ~ 2x 7 -Q--1C, € sak 4+ 7G wos =~ 2 oo -2xh -@e C, ws — 2e > stn 2 Dz z —= =! 1 “@= -1ee - Ql, € = NaI = A=) “The general solustion 5 Y= ee 8 Oven yld) = oF . = o4Q=2 2 The solution & Ye ee™ 26. " gL ky =o ,ylo=t , 4'O=1 The. charackeridt c eqn 1% AX~k*20 — A% ee = dA=+k aa ke The general soutien. 13 Y-46 toe Given, ylo)=1 = 4+tc2=| —O yl= Kee koe yo) = | wey KG —-ke2 =\ koe Oxk: ke tka =k ko -Kc2=l akc = I+k qe tk ak. It+k Vos Ake Cae l— Itk 2k: = Qk~I-k: ak = kel Qk, Tueler— Cauchy Equations » Euclese Cauchy equations are Opes Of the, berm 7y "4 any! + by =o with Uonstan +s a and b het ya xm be a& soluhen. y= oma? g" = om (m-) oe Subshtubng ino (mr) a?) 4ax ( ma) + boM=o oe” ( m(m-1)-+am +b) =0 m*am +am-tb =o mt Ca-on +b =6 Thi ® the auralll avy equation - m= —(a-l) + J can ab. 2 Cosel. When the wots axe veal and distnd then the setuttere \6 Yu cy 20 oy ne case aL When the wots ave veal ancl equal Say am Then the ggraral solution 1S ye Gi +e dnx) ao” cose 3: Whenthe rok one. imagines Sau m= A+ 1B : “then Fhe gensrcal solution 15 4% Y= eX ( cy cos (pin) + co Sin (pin) }) ami Seve xy 2y =0 Sin. Ths to a Euler Cauchy equation oy any'-+by =o. of the. fom : we he a=o , b=-2 The aud any equation 16 - m+ (a-)m +b =0 - mom-2 =0° -}- , veal al clistinct aot BRE BY SE Sy ‘The gerexal solution is y= Ci**S% * ie Ye Cet ey. 96! Gm? Solve 7y"4 1-5 vy! O-5y =O This ts of the lpm oP yl amy'+loy =0 5 Euler Cauchy equation 7 A=1-5 b=-0-5 > The. aundill aay equation Be. em? + (1-5 + -0-5=0 a % +0-5M—-0°5 =o aw = O54 logs te 7 sas Q > ~0-64 (a-as_ 2 = “O54 1-5 = | 2 =1,-1 F weal and dAstnct 2 ; % a The general solution.ud Y= C)% + ee. am3 solve xg" Bay! +44 ac. This 18 of the form 974 "+ anuy'+ By =0 The. ounillaxy eqn i. oy (-5-em +bWl=o m-6m+4= 0°. cm= 6+ [ge-a6 .= +2 — = 2 = 3,3- creat equal 4: - -s “ aeneral solution 1d y= © +¢2 dn) x? - sowe, x7 y"4 o-6x Y!+ 16-044 20 5 This i ofthe orm @ x74" any!+by = Q=0-6 b= 1604. ; The aud llasuy eqn ®. na Co-6-1) om + 16-04 =O a o mM 0°4MN +16-04 =0 . 16¢04, 5 ‘ e41é M= O42 ] .16- 64-16 x © 04 + [a6 a, o4t eT or = 0-8t4t eomplene vos. 2 The. general solithiow yoy eeoetin Oo-z y= % (4 cos ( 422) + ca. sin (4 tn) 5. Solve xy" 4xy'+6y <0, yl) =0-4, y'(i) =o This B of the jowm x7y"4 ancy! +by =o a=-4. b=6. The aurdllasy eqn is. m4 (-4-1)m + 6 =0 m*-5m +6 =0 a. ~ 5a) 23 =3,2 gual and dehnct . “8. 2. 2 The gensral soln & yee st 2% yli)=o-4 Y= axe, + 2% = O4HGtO. yi) =o 0 =3¢ 4202. Bc, +2 =0 eC tom KB. BC] +o =O = (2 te 3c, + 3c, = &- = Cy = O12 Co = @|l2 C+ 0112 =0-4 0-4 — Ode [oD Cy = -0-8 She patrulan, soln ®- Y= -08 204.247 pajjerential Operators - An operator 16a trrana|psematon shat ‘rranslowms o |ynckion. into another tbuncion. Hence, diferential caludus involves an operator, the Aijperontial operectoy BD wlich “hranslowms a hunction. Ando is clesctvative - We denote de d le. deno Sy Ps Gh by dy =y! and Ay by . ax* Fox. a chamogenous Unease ODE ge ayy by =0 usith constant coehhictercts we can. intarduce sorond onder ctilperentiat opecator at L= p(D) = D+an+br whee T ig an identity operator Lty)=(D%ao+bhy) y = Dy tady + bly = y"4+ ayl+ by yo Oe | Existence and Unigueneis Theorem. For Thittal value problerns - Consider the homogenous Unease od€ wrth, intial conditions y+ eae + gla)y =o, Y(%)= ko 7 y'(%e) = ky * HY pled) and 9%) an continuous Lun chbns on some open interval ZL and 6 18 Pn Then the above ital value problem. hos a unigue solution On the intewat > Limgase dependence and tndependence of Soluce. het the Ope yl POOy'+ glny =o have continuous coofficents plx)and gd em an open Intewal then two solctions uN and Yo of the above obE on I rw, dimearly dadependent ev. ify their witendkian , vo Cy, 42) = Wyo — Yo)" = at seme % im I- Fuovthermore If w= 0 atan %=%o INT, qhen W=o on > Hene uf chaz Ban at which ‘wis not zoo, then Y Bo linearly umclependent- on I- unm + and Yo. an. pind WCyr¥o) uh y= Coser and Ya=Sinwx gon: y, = cosw%- y = —Wsinwn. Yo = SiNwwe Yat = Ww Coswox- wl Cyir4a) = yrdem od! = suo & wlesox — .sinwx x-Wsi | | | = wlos*wx + w sin?wx | = WwW > = | x © | sc ehase ta inaace independence of ened Xe using vossenskian - % Y2= xe % % y= e% yo = nem yeX® Wy, ¥ 2) =Y y,! - Yo 4 = e*Cmetpe%)— xe%xe® _ 2% ~ = 1E7% 92% yor =e sina W442) #O, ethos, axe. Limeasdly GuBtence of @ gerenad, solution - Ty pod and.gix) axe. ceritinuous on L , ther yl POdg+ qody =0 hasa gerasal Zolction ev - Singulase sotutien - pen! Solutions that axe not obtainable. from & genmzral solction- Theoxem + pL the ODE y! Moy POO y' | gadywe has tonbirunus coehidients.. plod and. 9Ox) en e open inteaval I, then even gotustion of jhe above ope % OF the [pom that i it cloesnok have w gee yi +6292, sige singular soluction - Nen— ae Opes. tonaidere the“ men - hemo genous ODE gly Plady "eg ng = bx) , whee “y+ 0 ‘ 1 L+O : and the consuapanaing homogenous ob gle pla) yl +gloy = 0 — 7 @ e ts A solution of the. nen-hemegenour ODE en an open interval IT uw @ solutren | ofthe lorm glx) = yf + Uf) — © cy + 62 Yo 75 ov Sébeek genera) vohexe. Y th h us ODE (Dmr Solute ofthe homogeno and Yp ts any goluction of, G) ton kainta a0 oabitasy constants - A pasctiudas, solution of. ( on. = ts & Sotutien. obtained foom (3) by aust gning speciftc values +p the anbitbany ek qandc in Sp Method of undetermined coebltatents « Teams um (00) choice for Yp keke coke ' : oO n-! ko? (meo,112,° «*) kn Ok key 20 = ap kya kK sw. 7 C7 bg. : Kees w+ Msi k sin w% f ' nee xe Ke cos WX am ]@ ic K cos v0 % + M sino) Kerr Sly w% is method of. one method to yn gp undetermoned cochyictemts - “the cmethod of undeermined coehyrctents 4 ws suitable bor linea obe’s loth constent a yruomds a and b ie yleay'+by = v(x) —(l) dor method oh undetermined © Choice rules coeh recent , - Bostic MWe ata) un C1) Od oH one of the juochona uinthe boot column in thes above table choose. Yp ww the, Same Une and determine \ts undetermined coop yrerents by substituting Yp and vs” aete dest actives ito: (1) > & Moclitication aule Th we cto in youre cholie. for Yp happen to be, Qu solution of, the. homogenous ODE corerosponding To G) , malttiply Hs “eam. by 9% [ ox by x? i the soluchion, Corstesponds to ‘double oot of. the. Charactouidti, equatbn of -the homogenous ove 3- Sera Sum aule. TH 70x) 16 a Sum othe junctions in the 1st column of the ebove. table , choose. for Yp the sum of, the junctions in the worrrespondin v Lines of the 2° column. QN1. Solve yh yt= 0.001%" ylo)=0 , yl(o) = 1r5 Stepl+ Gentnal solution, ofthe Wom genous equatio - 44 =o = the chascactenistic eqn ie. A= =0 Atel — ANAT = 2 The general solute io yeeren ege™ OR (cjneX%rGsin x) stepa. Solution Yp of the men —homogn our OOF We choose Yp ky 74 key Het ky Yp = akyx thy ype ake substitute mM O° = Oka + RX ak xtky = 0-:001%7 Equaking cnet revert —o Siler 0? Like toms - *k, = 0-00] ky oO Qkat ko =O kp =O- 0-002 an Yp = 0.00 x 0.002 : °. The; general soutien {6 = Yy+Yp = Cyoos% + Co SIW% + 0-001K 70.99, Sep 3. Pationlan solubion Given y(0)= 0 =F O=q ws0 +C2SiN0 —0-002 Cy — 0:0 22=0 Cy = 0-002 y'= ~C1Sine “1a COS + QHNO-001% © Yyido)=1-5. 1-6 = —C)S5M0 +Guws0 +0: Cah ‘The Solution. & y= 6,002 Gas 41-5 SINK + 6-001 x* 9.002 a 2. yl sy! + 6y = ae” _o- aiep1 General soln ol, homogenous ae oy sy!r6y -0 The. chara ckenistic eqn is A?+ BA+6 =0° aA = 5x! a = 3 2 3% The genxal soln is Yy= ce Soe shepa! chose YP ‘Ab: ce* : = yp= -ce Y"p = Coe substitute In O- Ht —o ua cote 5ce 4 6Ce S Qe -x- ace = Re QC=2 —> c=!) dps & The genaral soln ot ®O % g= Jn+¥p 3 2. —xH. = —3% - en" 4+ Geo 4 e SSSaQaaQSm, «Com Bo Sela Yay! EOEEY = QeasT TOE Slax . On OFay . Aden ylo) Z2eQ ate, ylte) ae XN Ls@M aap: BO eeenexal, solutions of the. homage neces equation, m, : “he curattanyy equaton 8 Ava po-48 -0-5% = [soe “The. general. solectiove ye e + Ee cheese. Yp = dp.t dp, cohere py =A cosx+ Bsine. Spe = Co tGn% Yer = —Asina + Bws Up = —Asosn — BSiM™ - ea 1 Nes ae cubpstitubke O° -ASDL A BOE —- Awsx — Bsn — QASING +QBwS% + O-1SA OSX +O BBS = 2 tos % — o- QBsime +0-09%- vox (-A+aB + 0-454) + sine (-B-aA +0-458) = QUSe — 0 ASSING +O-07 x. yy? > ; wf 0-25A4+QB= Q2.—O ob B es — eet 0-a5B+ QA I o:as . — 8 -0-95A +9B=2 —O 0-aSB 4anr = 00-95 —®@ : Oa, . . = Ove2.— and @x0-45 . O sy 9-063, — OB A+--4 Baad | Wy = 4 OSA+O49 O@xe- -9A+ 16B =16 16.00 ee QA +0-A5B = 0-95 - 1626 16-958 = [6-25 B= 60S 16-25 B=} OQSKI + BA =OOS: GA = 09S -0-8T A=0 Up = Sin% cubstitute Yp! and Up im oO “04 QC, OAS +O-F5X4 = QCsx - 0-QSSiNw $0-09%- => Qa 0045 B= 0-67 Cpe 0107 = 4-=.8 1 = 0:0 4+. O. =O012. 50.107 O-4S 2G +0-F5lp =O QX3 +0-ISQ= 0° 5 0+485Co = ~-F 0 ae Co = 60/32 f , IB, = @ -0°3R+4 90-12%. Up = sinx 0 BAF O-1R% ~15 sthe genaal solution B Y= Yy+Yp = ger ae a SIN X+0-12% —0°32 ail Given y (0) = 9-48° 7 ty ~0:39 5-248 Cl +p = O46 40°38, C/4G = 3-1 — @ I -O-5% ~)- Be = -05G ie ieee Oca et Cos, 0 y'lo)= —0.43. =P 015 ~1-5 Gy +1 40-18 = -0-43. 0-56 1-56, t+hlQ =-0-43 0-56, +1-5G ~]-12 = 0-43. O-5e 41. 5G= 155 — @- @xo-5 ~0°6G —0°5G = “155 : °0:5G + [5G = 1°65 G <0 G=3-l = The. paxtioutac soluhon B are" ge 7OB% Cp Yo 212 gina +O1ax -0°38 . Se am: solve. (o% 16)y = qe 306% goln- oS Diy —16-ty = 96e'% aoe: 4. " 4y d* yr—l6y = 96S + noe% :—O “aye The homogeno equation A ql—16y 2p. The aundillany equation A%I6 =0 Ar Az44. 4x - ‘ The. general soln 13 Y= €,e Ge cheese Yp = Yp + Yp dp, = Ay” Annet” ae iN Bae po uf = A Co e*) = w4ane*™ Ae%* Up = 4a(mxae™% et) + 4ne™ =1Awe**4 g4e7% Cubstitite in O Ax x eae ete ane Ax Axe, @Aet® poanee 966 *% soot => 8A=09-6 A= 46 jo ee %p,= Be™ ’ a = Be Mt i oe. Ip, —_— gubstitute, in O° pe%\6 Be%= Vee B08 ~15Be*= 30e* GB = 30 As B=-2 UP, cs pexet™ | Spy = TRE a Yp= pacer” ge 2. The. gersnal south 1-Q% eae as 4x on B Y= 42 Fe wn -4% = ) (s0%+a7z)y a 3005 + COS BX Sol ° B04 +QATy = 3uwsx+ CS 3% By" 4 Py = Bes % + 5 BX- =) yt = Ls 3x. —O Jory = case +S a The hemogenovs equation i qver by yl +9y =0 The auindillag equation 13. given by A+ 9 =0 Avs =4 Aa A=43i >The general solution Ib yy = C) WS3BX 4G Sind we choae Yp = Yh + Up, Ip = Acosme + Boinx t SR (kos8%+ Msin3x) Ww iT koe 653% + Mac sin 3% up = -Asinew + Bas. YP, = -Aws% —Banx LO substitute in O ws%e% +9 BSiING = losxt 1 ws 3%- 3 HAus% — BSINN +A wax (~ A +44) +sln (- 898) = cosne +1 ios 3% 3 => BA=\ = -Bt7B=0 A= Ve B=0 dp = ote Yp._= koe ws 3% + Moesin 32. } [nx-a.ainax sense] +™ x BOSE HF =k e, sin 3x] = —3k «Sin BX + kos 3% +3M oe Us 39 + Msin 3% = gin3x [-akx-+m]+ Cos 3x [k+3Mx] i] up = [sing x -3k + €3ke+™) @3xcossx} + [osx x aM 4 (k+3Mx) x-ssin gx | » ON = -3k M32 ~ Fk WS 3% +3M UO Bre + BMas3% —3ksin 3% ~ 4M 2 Stn» = gin3 [-ak-3k -1m] + C05 Be [-akx +3M 43M] = atn 3x (-6k -amMx + Cos 3x (- tk su) Substtute in ©: sin3x (~6k AM x) + 005 8% (—alken-+6M) + Ako CoS 3% 4AM x sin dre ws 9 “EE tos 36 Sin 3% (—6k) +S ax (6) = tos % +L tos aor “7 6M => -6k=0 Met a 1¢ ~ tl “p= dp Sp ot siN3%- 4 ~licosm + s \Z 2 The generat solubion 3, Ue 4, au. dp a CoS 8X + ne sin 3%. sin% +L ws% + 1 3 kes ) toy! 50y'+ 54.64 = WSK. Soln ZR yNag sy! + Sy = ws %- J 15 “he, homogenous equasior. iB yl sy! + 5-A6y=0 The aunillany equatien we AM S5A45-46 =0 =o Jos — Q3-04 2 “sala 2 i -SH V4 m AS ) 362 ne i A ~1- Be <2 2 The gener ctl solution B Yy= Ge +Oe oe Choose, Jp= kK tosat Msin oe ue = —ksin% + Meosoe Gp! = -k ow % -—Msinx « Substthute in © ~kcosy —Msiny #—5k sine + SM los + B46 kus x + B46 M si = 1 C08 2C lo t 4 | cos (-k+5 t+ 5-46) + sive (—m 8k +5 46H) ? =W3%X . cos (4.46 k +5M) + sinx (4-36M=5k) = WS - = 4A6K+5M=0-1 => 4.46M-B5keO Ly@ GD x See Q3.¢ as RROS 446 ON eat 4 ARESTEMS O- a Ox aygord @X 5. 3-R8M +QQ 6516 =OAAE am QaBM —ask =O : 44-65546k =O AAG MISA : TBAT ANMA\—O: k =0-00998 » @xso- « 446 x0-00998 +5M =0+) azeWrasoMe5 + @- SM = 0-0524952 M =0-O104. . —— ——— J) Yp= 9-048 C09 + 0:0104 SIN Se Yn t4p ASL ; —Bidnt ‘ r = oe + Ge = OnDOAV COVH + 0-0l04Sc. al 4 Solution. by Yeoutahon of, ponameters consider the non hemegenous ove yy = ln). Then the Lagrange,'® method br binding ib y= -y, (92% Up! given by Yplm 4 [ham tde (ae whee Yy Yo om ao banid of, solictiony of, the. corotesponding chomogenw ODE and W ethe weonskian of Yr and Yo, crus amothod 1 known ae method of Voounctien of paaarackeres : yl Plor)y! +. (a) 4 an: Solve yey =socu: | aan Hernogenous equation [3 yl4y-0 The aunillaxy equation i A= 10 2, =! Az xi Tha general soubor. TS, Yy= Cy Cx +c, Sine choose Gy = COX — Ya sine. yf = —sine y= | = com +sin te = Up = Hf Ya? dx + 42 (9% de w Ww = osx P Sinee-sece dx + sina forsx-secmd™ wl ~ews [and asinx fide = COs & Un|secx| pe REINA X 9 — sx un|secx| +x sin: . solution ib Y= YntYp = cease + GSnxe —cosx An |seor| +7¢snn0. = (osx (¢, —In|secrl) +sinx ( G+») u ‘ ei 2% nsec % a yn 4y + 5y re ‘ . = sol! The hemogenous equation rR yy) +54 <5 The aucillaxy equation > A» 4A+526 de4st 16~20 a At 48.0f oe = Qt! QM 2 Tha gensxal soluhion 1 Yn= © (cy c08 4 C2 9M) 2x Yr . cos Yo = E27 sx 5 y= e*% sine + cosxxaxe 2* 2 7 mt : = ~e™ sing +.2¢ * osx. = pat _€ (~sinx +20). an ' y= eo x ese + sinnxaxe?™ = 62% (vosx +asine) . = 1 wle YrYa! YY wn eS e?™ ws {-e" Coosx+ asinx) =" erXsinr -€2% (= sine +c) = Oth oping + ae pit ae Si ~t € Sin — 267 eos wt _ pAb = OT cps 404™ sinrx mw aoe = yar an (BE docs yo | Le dre W wW a Ya : e2ainx. 27 wsec% dr ot =e aa e4% Kor +e - aoe oF cose x eX axsec® el x Se ean ea =-e: cose fidx + er cinoe [Bade Jn lesingy ee Ln %) EX cose. 0 $ Or SINK * | — 2H ‘ = 2 (- ruse + SIN x folsiox|) * "The genval solution &- - a 08 (C1 COS % tp @83.S10%) + e 24 (_ ge eosa-+sinexn | sina)

You might also like