KEMBAR78
Linear Algebra and Numerical Methods Solved Questions | PDF
0% found this document useful (0 votes)
50 views23 pages

Linear Algebra and Numerical Methods Solved Questions

The document discusses various numerical methods for solving systems of equations, including the Newton-Raphson method, Gaussian elimination, and Jacobi method. It provides examples and formulas for each method, along with explanations of concepts such as eigenvalues and eigenvectors. Additionally, it touches on polynomial interpolation and least squares fitting techniques.

Uploaded by

bnsreehari
Copyright
© © All Rights Reserved
We take content rights seriously. If you suspect this is your content, claim it here.
Available Formats
Download as PDF or read online on Scribd
0% found this document useful (0 votes)
50 views23 pages

Linear Algebra and Numerical Methods Solved Questions

The document discusses various numerical methods for solving systems of equations, including the Newton-Raphson method, Gaussian elimination, and Jacobi method. It provides examples and formulas for each method, along with explanations of concepts such as eigenvalues and eigenvectors. Additionally, it touches on polynomial interpolation and least squares fitting techniques.

Uploaded by

bnsreehari
Copyright
© © All Rights Reserved
We take content rights seriously. If you suspect this is your content, claim it here.
Available Formats
Download as PDF or read online on Scribd
You are on page 1/ 23
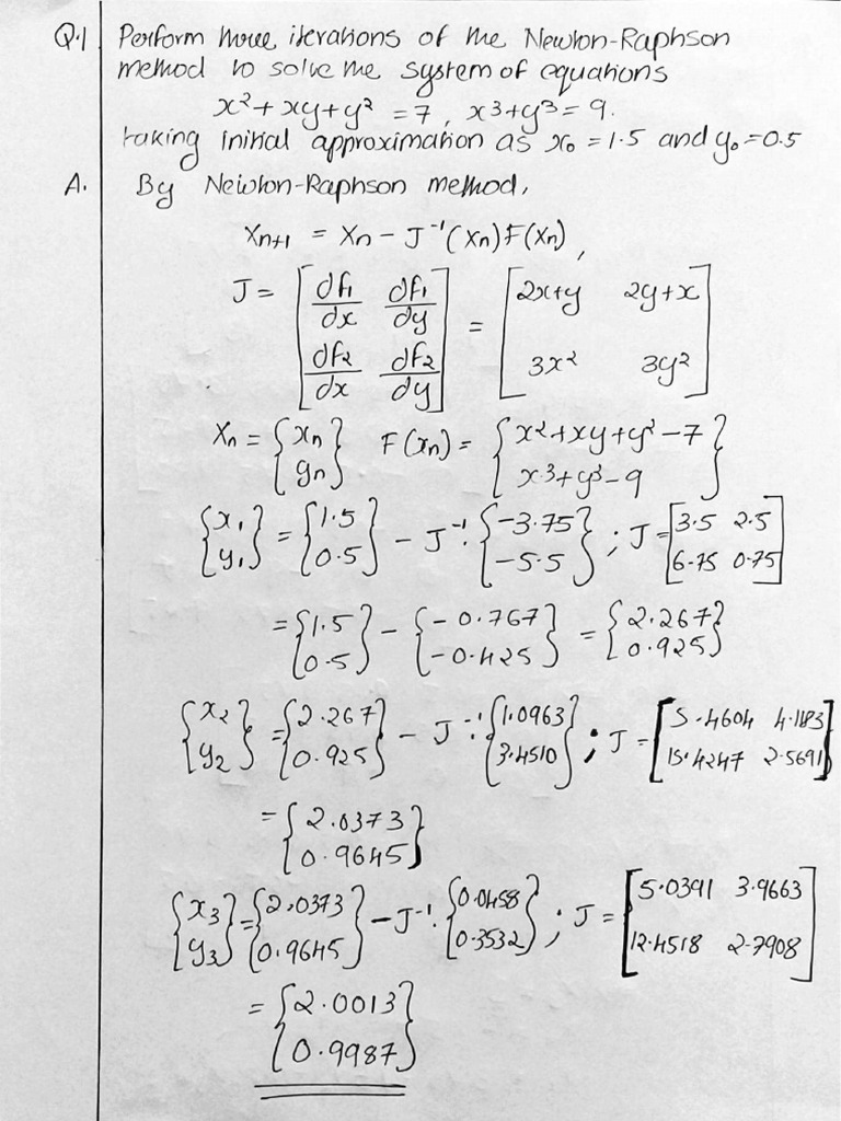
Q Potform Wwus, itevaions of Me, Newlon- Raphson Wehod Wo solve we, System of equahons IR+ MY+ Y? =F, X3447= GS ey initial approximahon QS Mr = 1-5 and qo FOS Be 4 Neivlon-Raphson mefrod, Xn = Xa - J 'CXn)F(X9) ; J= lh of Duy 2g +e Perce OR fb 2 e rae oa 3x ag? Xn = als Flm)= [xyty -# Gn x34 pg sgh o>. IS OS ae aS) 6-0-7967] 6 di QeF | i ia a CAs OS, ot 4, a 8 s( (0963 S -yboh IMPs Go (ox Ra 1 3-45I0 a I: hayf o-S6A = may 0: 1645. 15] (0093) oe 15 foo 388 ie (033) 7 [RASS O28 ieee 0.9934. Q2 Use Gaussian elininahon mettiod bo Solve, le, -Q7,4 X3 =18, -3G~ GAXS= 8M — 413% = 18 Avgmunkeel RIN Ne a pre “say "3g eae Ses S RDRy > Pl OS 02s 3-75 oo ah eet! 3 (3, [ee OG: 3°75 0 W-OS YAS ARS O -0°S 2-F5 425 RD Ry+3Ri = ee? RyRy R93 R,-5Rs Dl 05 Ovs #45 poet ot 0 05 0-75 F235 Ro Rg D]I 0S G25 345 O -0'5 Q45 425 Oa Oma (hax Rie) Rhos => |I -05 0.25 375 R39 Rs/_q 0 eo ok (o>) oO O Nees FS 7 oe Sat ee Xi = 3 #5 +0-54q -0:25%3= 2 a3 Use Jaco pits molod fo solve, 6%, -2%+%X =I1 Tit Q2)-$X3=-1 (XV AIX 4 AL3 = S! fom eg, %i= IH0%-% (7X iS an Me 6 (anger Coell in 10) from CGD, T= Statr-ary (oy, (5 hawing hhe 7 Aeeuges Cov anu. from C4) X53 = 14Xit, Geatior @ ond n O Yo Ve |} Me R\= lap QO wp] %] tT) 4% -€) x3 Vis Hs (o) ||| 263 Vx Let [i x, ty We oe lea 2 ome (eam 5/72 X 3 X> I/§ subshiuang 10 @), 1 jtoation ds XG 2.03% |, m4 ifombon 2 Xt) (2-084 Xa f =] 11804 ef =|1-053 13 6 8523 %3) (108 WV iloreinon 01) Coceys) Z"ioawon [+] (ani x =) J 001k X = 5-403 23 | O%Q X3 |-Oolh 3 from Ine Nextation values, X1 FR AQ z/ x3 21 oO Omer! | a) find fi Pseudo imerse 6 A for Mae mahix A= 2 | b) fiad as manic norms HAM, oe, Ile A a) Peoude inven, Saw T a At=]2 1 0 Bo-l eae oli ie ©. Se ais Ob O cil MialeOnlpen fon 10 (. Su B!=)0-7H -O-Ha8 TOHE 03571 BAT Jo-tim ose] [2 | O O-Hae 0-35Hi|]|3 0 -I = [o-thas 0-4. O-hges| _ 4? Oe = -0-4Q8 0.354 D) marx. norms All, and |All. & Al, = max = |ail- Maré 3,4f = 4 JEJEN Allo = rox [| = Ox fs, | 2S Q. n Use mulkiple Ainwas Suqvesson Fit of Ine fon Y atx + C% for He following dea : A2| 0 o|2 |2 [pier] oll ula: a otepator 5[0[s|-0] 0 a) compule Ws. coefficients a,A andl Avy si Last squeve bechnigues 4) How do you comple: it c3ing Moore perrose meter XTolo ez iey als & Feast Squc, moMocl, PmEA ENE ACA 8310 | 0 OURONIGMO | f) Is}]o]}! 0 Olisl o I9| |[o|t Alolo loft} FI tt frofiol s lis [2 [oly Olaal of eo 1 S|o|2{o/ 4/6 One Olan stots sl2iil[k{i |iols| 2 |-1o[ ! eee -lo|o! 3 TO) |ple| eal ale lea iR@n| Cs |e oops | “gate $0 i a Saphexr tC Zt ZY = Nat bEx4 (ZI =O San, = ex to 2X74 CEH OY) ASQ th DW xt G2x;—G) ZYXa = O => B22100+ Ut INC © 251 = 90+ B64 4c @ => [0 =lla4 Wt 2IC Solving, a= 1d0t = 2d-424 A=- vost he Pb He = ofa =-4: 4444 Ra 4) By Moore -Penvase. Inverse, merherl . GR AAMX +CLq The given data can Ae wHilen as , ay 100 q IS fee Oval le 19 0 [: 10 eatin [S78 | ae lee ae ©) Re Si 102 © fee pes 5 Miao -10 9-3 O (iar A B A=BxX BIB X=B'A x Chen Yow (7a) B= BT 5 Moovw- -penvose Inverse ov Peeuclo inverse. Q:7- r 2 Tae oe | ip 5) |OUMES 0-21 -0-lMh (B a) q d (6 ‘) yo 0-014 0-021 iT lI q 21 FOG 0.02) OMhly -I (6%) pT = at [sat Gor yar 18d 59 32, -Gq v3! jer 104 2000 2000 2000 2000 2000 2000 2000 2000 200 000 el fed 2 NEE 10nd 847 56e 607 87 | Joo Toco Joe00 10000 “Sa00 RS ood 00 [0000 Tan] abs ech) IE Bs Ss eT No ae 2 W5 1850 1000 SD BDO 626 S000 2500 SOCO “SMO Xe BTA =] 220% FE Done using NW 4A wiebsile, “VAS mawixaalc sore Use Crauss-Seicle! Me ted after piiohing it squid bo Solve Wao Following 8X14 GX; a 7 Pr HY; $9G =R — XL) = APRN; =-4--6) The given qquabers in mabix form is not clint dominant from @ X= &-%4%3 _@) 3 fom @) Xa = FXAING -®8 ZF From (3) X3 = 2 -2x FA -© | ' x, 6 -Ve Vegi} x n=] % © || 2] +|* %3\ |%q Iq of] iq @4 > I iterakon :- in ®, %=%,=0 =P2X= I in @, X, G70 FU -0:4h3 Mi), %6; 27, 20-FH3 Ys =[-03) F TT iletabon in @,Xg2O-Fb3, %y 2 (60317 DX = [10394 in OX = WOH, 1,2 097 DIy= [-O1bF 10 Or Xz OM HElOIy HOGA OWI ML ieiahon In @, LH) OFF, Lz = 0-F8E SY, = 0.9964 in ©, % OAM, Ny = 0/1895, = 0-464 in ©, 170-4464, ¥,=09 67 =D, = 1 C0/! TZ ierahon IN @ Xa OFT, Hy = [1 OO! DH =/:0006 in B, X= [-0006,% = 1:00 > % =/:0004 in ©, D1 = 10006, X= 0004 =P Ly = 0-4998 SUHt, N=! BH r a) Define ‘diagoralgahion of a mahi’ Give rutssar and subhcient condihon for agonadigeabsity ofa Wanx, 4) Dieegoncuiyg ae abies A.[E =6 2] | Be |! ] 6 F | & [RJ Qa ais} a) A Sq ucoe muhrs A is bp Lo aagoralivable. or nonabectve iF Muon exissan Investsble matrix. Pp anda Alagoa mahix D such Wat p'pp=aD OY Az PPP chew Pand P ate rot unigue- Ts nuepuyand Subhrion condihon foy’amann. Anxa to fe dia (sable 1S Wiel Mae mabix. Must haue n Linas Indepenctent clgen Vectors . Mw P= [Xi ky Ko] 1 x = Eigen Vector- 4) A=[8 -6 2|,lAATIK-' 9-4 -6 2 =o = Cle taar?y -6 7A t eee Q -h 3A > 6) [@ (3A) +14] EG oo 3 [ou = 1h 4d] Z G-A)] 21-3 _pathelo] + [BA- 156] + Ro+4A] > —At+@A~F7A 4160-0 Ay = 18:03h26 ,Ay = 9-483 40-470 Ay > 2-463 — 2.472] The ergenvechrs axe, UV, =P-1aasa], 0. [08833-0993 7 1 bhPh a 11ST ! U, = 0-163 + 0-443) (a 0: 393% +E MHSII I Eigen veehns aoe not indlpondent , tenia A Cannot Ae dha B= [: 4 , [B-Azl=0 oe) Erie Nees |e: ke SlFe A -2A-320 Are -! A= 3 for AzI (A-AT) K=O j [Ree HDX, AQ=O eS Xai Xr = -A sire, aera |! 1 EM, DK; [! for 4-3 (A-AD)X 70 =) 2X, =2X = ws - a S [ile X= Xy ie fx} X=", Xe Hl X | eigen Vechrs ae. inclypenctont Diagonabiged Manin D= " ‘BP who P= en me EDN] [05 2s] ee a i rd 0-5 -0- 0-5 0; Bg an Ss QI Criven We. Foo points (1,0), (2/16) (B,-a) Ev) WwriFe Ww Cubie 17 Lacrengian form tat (assess Mnvough mom - By (Cubic. Lagrangian form, Y= Lofot L.Gi tha, ths 4s Lo = (xx) Cx- x) (1-4) Cra) 2-9 009) Ho WO %a)(lo-%3)_ (144) (13) (149) Ly = Q-Xe) (X=%a) (X94) (1) (y-3) (09) (2,70) Oa cy (4-8) Cederad ea! i La = (2% OK) 03) Cy - Cx ta) (et) Or) -X1) 047%) B=1) (343) B+) by = Cee) (x) Oe) (1) Ga) (1-3) (ICP) 0-2) Ct) (E142) (1-3) Y =OLbo+ IbL, + “2La + 13 = ee ees een et =/Si ho (G3 = 72 -SL46)X! 8 Y = - 0.441693 4+ P85X*4 O44 FX 2:35 Valves of a funchon at differnt points ase given in feo. follocuing kable - X |20 | 25 |1-30 [1-35 [rho] 1-45 | 1-s0 | PCx) 0-1603]0-231|0 ah 0-200) [0-395 |03216|0-4055 Eskmate. (1-37) and P(0-77) & { inorpolakng Nei OS ed led Let FOO? 9G -atbx+oR Zy-nas bextczx2 —O Zyx-asxt bsxr4c2x3 —D Syreastrbart cox" —G) [x [4 [at [3] "Tua [ot VQ ]0-1623} J-41e4 |): 728 2-073 lO-enb4 0.2605] IQS [D231] [-56251]-453 1.434 0 -OF |0-395 13 DRGH 67 }0-197}2-5561 10:3411 (0-f43h| 15 35 |0:3001 [8225 124601332 |0-LyosilO-sho4 IH 10:3%8)-46 R-F44] 3-841 [o-4411)0-6545] J HS |6.3716)1025 13-048 |} 4,2010-538|0-7812 IS” |0-F,055} 22 10-6063] 0-11.23 & (FHS [2.0815] O 2-08 15 = 7049-4564 1d S29ST. OAD 2-638 = VASAt I. e95bt 17-505C ® > 3-953 = 10-824S5A4 [F-15056 + QM OIRC SOWING > Q = [2076 A= CAG C= -0:02 46F POD =Y = -[.Q0#6 + |'HIOW X4+ —0-0246FL2 F(o-4A)= —h 2076+ |-440h (0-77) + “baste = ~O'dd3hOok pea. “Hoh (1°34)4 C002 464)x PUI-34) = -|.2076-¢ J-A40h ( pe = 0-3IK4 S—_—— Qia| Find Me Loast square Line Wak Fite the, Following cea assuming Mab x-valies che Free. from erroy. Se RSs Pe | S16 5:04 | Bld |l0-64 [818 [16-20f20-04 Yemxate 2S g-mMzEx1nC-D Sry =MEx*tc5x-Q D> F3°M=M KM FOC @ P30716 = BAM HANC Solving / M25 9bF Cr -& 451 DY 0°892 = Gt gr-Y* EQ Aly) = si wie ge) Taking Liseetion mettoc| in hee inkerve [4,6]-Jo)-oj] FI0)= 0-108, Fol) = -0.20455,4 =-o05 Flgi) = -0-06908 Q: dae 28-09 = -0:098 ; FIGa) = 0-0134 Ces be ~O:025-0:05 . -0.0375 FIYs)=-0.008¢3 Dh > ~0:098 -0-02883 ~~ o,0.26915 5 Flgy) =0:0073 2 Us = -0.0375-0.026115 — 0.0308 1 F(45)=-0-011 @ Gp= —0:Q26US -0.0322 . —9.0245; FlYe)= ~O00195 5 Gp = -0/0295- 0.26415 = -0 102693 ; PIY) = 0-002661 ») Yy == 0:02823-0-0295 - _parpey: flee)= 0 000475 =) . for 2=0:892 , 4% 2002886 Tn Swclics of Solem-cheges Colechion by Focosing a field of Plane mirrors ona cenhal colby, Yon! al (let4¢) Abines an egeiabon for Jue geomebical conenhalon Fachy C c- AlnltosaRr 0-54D°(1+5inA -0-S(6A) whee Aismx vim angle, of he held, rs we fra hona coors of Mur Goel cuith minors , D is We camel of collector ancl hss We, heiqne of Ino Collechy -Find A jf h= 300, C<1200, Fog D=Iy. C= A (B0°/tos) (08) = 200 0-5 FMR ([+Si0A -0-5 cos A) 2 1200 X 0-SX1yXIh Vos Btox300X0-S ~~ ISinA-O-SCSA y hd | Bo ~ Cosh (14SI0N-0.5(05A)_ (038A (tt SI0A- 0-5 105A) = se = OG RANE 1 Let (osA =X => SinA= VirostA = iq Y=) 2H O38 -0-5x) = 0-6 02H4 B98 PO) x2 (14 [0X - 05x) — 0 6ldWHBIS= O Let Ma. Intotual oF considwiahon Ae x € [a,b] =(/0-4) Flo) = -0: 610244848 , Fl0-D) = 0:186 32 By Bisechion Memtocl, X= e4FO OHS, FOU) = —0:244h 4 “OSKOHS. 0.695; FG) = -0'043)6 23 > 0bIS+O4 =0.7875, Fl%s)> 0.18593 oe o-76ts +08 FS - 0.9315, Flta)= 0.04/71 X5 = 0615+ OFS _ 9.703105, FAS) =0-0598 ao persone. 0.661, Flt) = 0.04302 I = O6F14+0:64S =0.682, Pl%z) = 0034 XG = ne = 06785, FlIe) = 0-030] od Xq = 0:645540695 - 0.6364 , Pl%) = 0.0094 2 Alb Jo = OOF 4069S - 064585 F(Xu)= 0:026% RQ NEO 6498S = (OSA > Az (os'(0°64555)= 447 Lee and Duthy (1776) selafe fhe hichon Fuchy For Plow of a suspension oF fibrous promicles ho Me. Reynolels numbet Ay Mis empiriced egacthon ; t= [ee (REVF) + ( In-F6) qh mor swlahon , Fis te Richon facby, RE 1s Hee Remelds number, and k is a consiant deternuned ne Lomenabon Of fut Suspension «For a bg Suspension WWI 0.03% Contenhahon , K= 0.2% cohad 15 Me value OF £ if RE- 37507 > ae - CZ)" (REE + (ages ) Let t= 1 ie 14 -5:6 ey =D X= Ee) sn(6)+(( St) Subsphubsrg me knevn Vallucd oc = 3/541 [bn (3450) -fnx| —6 x= 003-3895 -3:57/ 40K} je id= Lt S94 llole) 233845 = O (2) = It 3:52) x By Newlorn Rephsoo Methael, Noe = Xn — AX) FG) Any In — Lot 35 HAN) —03-38FS, 4 357 min Let ini valut 0-5, pre) > 21916336, PLS) =f 740 Xi = SF 126336 = [3708 | FHO FOI) = 0264 M(t) = [0806 Ky = 1Q:3F084 Q02BF = 13-452 | G76 F(ta)= -0.0267, Fila) = 1560 Ny = 19-WO2TOOUE _ 134664 [2560 F013) = -0,00560F ; F'(%3) =/:955 685073 Hy = 13-oH+ 000860 3, @708 15255685073 Xs = 13°94066 SHQ furs 2% 13.4 7086542 = yp = Pe L, = 0:005)23 3240S oe eS Matlhivastiate tae fiadls a funthon of more Wan one independinr Variable «Suppose Wet 2 1's a funchon of om x and Y Finel ma normal equahons bo Fé Z> OXd byte and men use Me following cletta ho Ft Yue. Ls plane.lo Men. x0 [re [21 [sh [yo [4-2 [ 56 [Ss [e-4 ¥ | 0 | 5/60 0-5 |S+I [32 |I3 |F-4 [loa Ie [ra [34 [4644 [2H [F%2 |l3 [3-5 [1-3 | an ea eke 2 OR y2 10. | Ofte | 0 Oo 12 [005 | 34 |I-hey Z| [2:1 ]6-0 |Web |y-Al WI BH 105 14-4 |ihs6 AAS HOlS1/Q-4| [6 | 12-2H Wr |3-2|7-2 |l4-bh 2304] 5-613 | tes fyae sa 5-8 | Fh 13-5 139-64 25-4 6-4 [10-2 |h3 [yao 13.26) [33:2 [Bip 2 [38-6 [163.66 f2sien[in3a 77-24] 2-08] 2 FAxdby4e S2= Asx tb2y44+Ne —O Z2X=ASsrt+heryt cax—@) B24 -dsry+ h2y*+czq—@) OD > 38-6 = 33-204 2HQb4 IC © > [44:24 = 163: 664+ 164 32H+33-2C @ \ 72-08 = 169-324 F 233 Hb 434 AC. Solving, a £0 852,A = -1 Uh, C= [0398 D> Za 2-$5224 (1-44 + | 0348 Find Me easy Sucve value For Yue pareimelens of y-ae™ by thing me dala (ihe solubiihes of A-hukane 1n aniystos tat Fuori. acid a} fugh pressusas andl wuxe Bocl in design oF pono) m pefinewes) Io baw stelahon , nly) afnla+ bx G20) Slecbilihy We: Yo | 2-4 Tempera (°F: givens yae?™ > snap bo (ae*) = An@)+ ln(e?”) => Inly)= Dnla) +t =lnlq) = nynta+ 2% —O S yinly) = Mnla) soc +hox*—6) fw x Temperatve(*) ¥ > Solubility (7) Solving, Pnla)=oo# —DA=F'674 A= ~0: 000218 ye F644 P02 oS Let is suspected Chom Muorihtal considisions) Mat Mm vate aan Flow KOM a frehose is iene! 0 Some power OF Presse cu Me nbs atic. Po Mme Pollecuing dala tonfim nw speceahon? chat 5 Wo. Atast ‘sqpee valuo oF fue exporunt (Assume pesscce clala @.21 Cue more. accuvare) : [ Flow, galfons een minute | |x [iv#|180[240 [ Presscute +5: 10 1/6 ]25 [ho | 60 iven, Q= kp” -k > constant , (Flo, P-Pressiwie > Lnla)= Leb nlp) = On) = ndn(k)4+N Zone) se 2 = dnp)inla) =An(w estate) + n2.(bnl D) -Q) Dente) | SrC@) | onto) fn): 2:3025|4 543 | 5-30! |10-60 he stas |b 7706] 9-684 [13:22 | 8:2 168 |4:940} |10:3606 | 5 O6f 3-688 |519 4 | (3°60) | (4-14 -09h3 |5-43804| 16-760 [2d O18 & (16-076) | 2h BH © S2n-3h = 5a + (6.07614 @= $i:l66 = 16-0764 53'H34 Solving, A= 3 4O2F = lnk = 3-025 Kk = @3"05 — 30:034 A 0: A924 =n > O-KP” => a= 30-038I()° 4" In shdies of gooltabon-indutecl polymeuzabon, a soune oF Gammeivacys (was O 1 do give moasueted oF actliabon Odie obo’ vostiod UWA posthon in fre appestans , culm Ma Following Figuss eng secovcledl , paren O los 10 [rs To.0]3-0] 3-5 ho Dosage, [0% adr] }-90 [9-34 [2.711 2-49 3-20 [7.20 [2-47 10-7 For some season, tue sucacling ing ab 0% in. was not Hopovkecl » but me value at o95 75 needlecl » ft inten id ere oF Veosooes ak Mant cd data ho ran foo. missing (Mformaboan Coheyt dey Mink ie ho. os} eshte for Me dosage Aol by 0:5 in? Linas inetpo laning polynomial C hegre, 0 Ge = oats cet ES (x- Xr X= Yo. ie Ye Ga Gm Si Let Cte, Yo) = @,3:9), (Xu Yn) = (3:39) Ne “2 Site o-3) BQ at X= ao bis os.) a)-32 Quciohahe inkesipala hing polynomial G Degree 2) Y= Loot Ys + La 4a Lo = oes (4) = @ 33) z ee G4) =G)32) “Game —_ Cae) = B'5,.2:98) Ms (2 (Oe -%) (1a) Ab XQ Y= | 0664 +3.9—0:993 = 3-043 Cubic, intenpolahog polqnomiaa) ¢ Deqree 3) Yr Loot L Yt LaYa ths 43 Lo = (t-x1) Cx-Xa)(t-X3) VoYo)= 1-50-49) (Xo 1) (G-%) O0-%) @ @ ( s Li = (x-%) (4-4) 3) (3,9:) (2,3'2) (xo) (11-2) (44-43) = (3,32 La = (x46) (xe £1) (1-%3) (arya) ( Z (6 -%0) (%-%r) 0%) (3/43) (35,0) Ly = 0t-%e) (X-%) (1-0) OG -2e) HOU) C3) OF X=Q5, Ge -O/4466F A 0d 113334 F 02-13 334 — 0-4 1667 = 3.04834 Au best eshmale iS given by Mme Cubic Polynomial OF fnlerpolahon acttutak. Uplo decimals:

You might also like